Simplified Calculation Model for Typical Dou-Gong Exposed to Vertical Loads
Abstract
:1. Introduction
2. Mechanical Behavior of Typical Dou-Gongs
2.1. Typical Dou-Gongs of Early Chinese Traditional Timber Buildings
- Most of the Dou-gongs are Tou-xin-zao;
- Angs are commonly used (especially double ones), whose tail reaches the purlins behind;
- The rear part is usually connected with beams or columns.
2.2. Typical Dou-Gongs of Early Chinese Traditional Timber Buildings
3. A Beam-Truss Simplified Model
3.1. A Brief Review of Recent Simplified Approaches for Dou-Gongs
3.2. A New Simplified Finite Element Modeling Approach
3.3. Numerical Verification
4. Conclusions
- For Dou-gongs bearing the roof load, there are two load transferring paths, which are as follows: the load applied to the Yan-fang at the central axis is transferred downwards successively through the middle of the Ang, Hua-tou-zi, and Hua-gong; the pressure on the Liao-yan-fang is diagonally delivered to the Lu-dou, passing through the front of the Ang, Hua-tou-zi, and Hua-gong. The Chen-fang-tou and Shua-tou in the Ji-xin-zao Dou-gong bend together with the Angs;
- In the collapse condition, the load in the middle of the Dou-gong is transferred to the two sides through the Fangs. The Chen-fang-tou and Shua-tou in the Ji-xin-zao Dou-gong provided efficient connections among the different Fangs, which makes them share the load. However, in the Tou-xin-zao Dou-gong, only the Fangs at the central axis above the Lu-dou bear the load;
- A new beam-truss simplified model for the Dou-gong is proposed herein based on the results of the load transferring path obtained from the refined finite element analyses. When simplifying components into truss elements, the sections of truss elements have to be reduced, compared to the original sections. The analytical solution of the reduction factors is proposed based on the equal-rigidity principle;
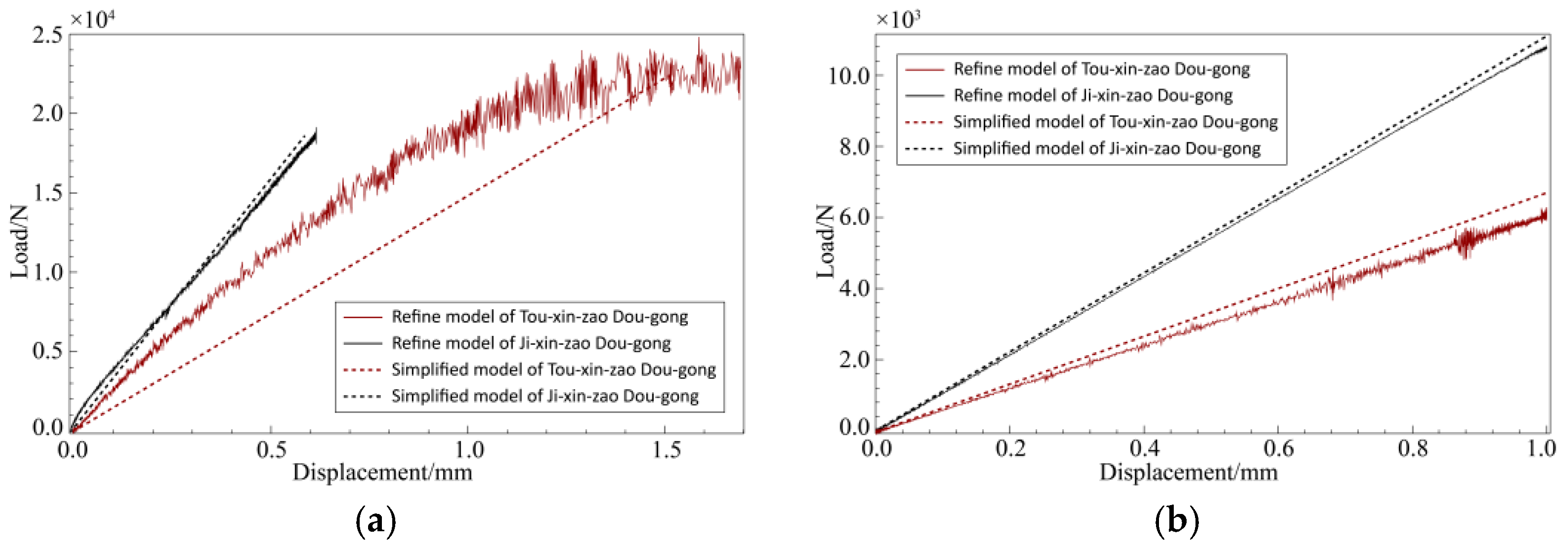
- Compared with the results of the refined model, the simplified model proposed in this study shows an acceptable computational accuracy concerning stress, deformation, and stiffness, with a 90–97% reduction in the time consumption, which is suitable for applications in large-scale structural simulations of early Chinese traditional timber buildings.
Author Contributions
Funding
Institutional Review Board Statement
Informed Consent Statement
Data Availability Statement
Conflicts of Interest
References
- Wang, J.; Cui, Z.; Zhang, X. The mechanical model of rocking columns in palace-style timber frames in tang dynasty. Eng. Mech. 2021, 38, 60–72. [Google Scholar] [CrossRef]
- Chen, L.; Li, S.; Zhao, K.; Chen, Z.; Song, T.; Zhang, L.; Jang, Z. Experimental and Numerical Investigation on Seismic Performance of One-Way Straight Mortise–Tenon Joints Based on a Novel Method to Simulate Damage of Deteriorated Ancient Chinese Timber Buildings. J. Perform. Constr. Facil. 2020, 34, 04019119. [Google Scholar] [CrossRef]
- Gao, D.; Zhang, H.; Wu, D.; Yang, Y. Research on seismic fragility of ancient Chinese timber structures with story based on multi- ground motion intensity parameter. Earthq. Eng. Eng. Dyn. 2019, 39, 41–51. [Google Scholar] [CrossRef]
- Wu, C.; Zhang, X.; Xue, J.; Ma, H.; Wu, J. Effect of Performance Degradation and Infilled Walls on Seismic Fragility Assessment of Traditional Chinese Timber-Frame Structure. Int. J. Archit. Herit. 2021. Available online: https://www.tandfonline.com/doi/abs/10.1080/15583058.2021.1879311 (accessed on 9 February 2021). [CrossRef]
- Wu, C.; Xue, J.; Song, D.; Zhang, Y. Seismic Performance Evaluation of a Roof Structure of a Historic Chinese Timber Frame Building. Int. J. Archit. Herit. 2021. Available online: https://www.tandfonline.com/doi/abs/10.1080/15583058.2021.1894503 (accessed on 19 March 2021). [CrossRef]
- Hua, Y.; Chun, Q.; Guo, H. Modified Structural Computing Model of Ancient City Gate Tower with Method of Structural Dynamical Characteristic Test-A Case Study of Nanjing Drum Tower. J. Basic Sci. Eng. 2019, 3, 58–66. [Google Scholar] [CrossRef]
- Zhang, X.; Han, Y.; Wu, C.; Hu, C.; Bai, F. Discrete element simulation and collapse vulnerability analysis of Chinese ancient timber-frame structure. J. Vib. Eng. 2020, 33, 1150–1161. [Google Scholar] [CrossRef]
- Hua, Y.; Chun, Q. Effect of Pu-zuo on progressive collapse of Chinese ancient timber buildings of Jiangnan area in the Song & Yuan dynasties. J. Civ. Environ. Eng. 2022, 44, 60–71. [Google Scholar] [CrossRef]
- Kitamor, A.; Jung, K.; Hassel, I.; Chang, W.S.; Komatsu, K.; Suzuki, Y. Mechanical analysis of lateral loading behaviour on Japanese tradiotinal frame structure depending on the vertical load. In Proceedings of the 11th World Conference on Timber Engineering, Riva del Garda, Italy, 20–24 June 2010; Volume 1, pp. 652–660. [Google Scholar]
- Chen, Z.; Zhu, E.; Pan, J. Lateral structural performance of Yingxian Wood Pagoda based on refined FE models. J. Build Struct. 2013, 34, 150–158. [Google Scholar] [CrossRef]
- Zhong, Y. Modelling the Structural Behavior of Dougong Brackets in Yingxian Wood Pagoda. Master’s Thesis, Harbin Institute of Technology, Harbin, China, 2010. [Google Scholar]
- Zhang, X.; Wu, C.; Xue, J.; Dai, W.; Qi, Z. A study of precise finite element model of Dougong subjected to vertical load. Earthq. Eng. Eng. Dyn. 2018, 38, 66–76. [Google Scholar] [CrossRef]
- Li, M. (Ed.) Yin-zao-fa-shi; The Commercial Press: Shanghai, China, 1929. [Google Scholar]
- Chen, Z.; Zhu, E.; Lam, F.; Pan, J. Structural performance of Dou-Gong brackets of Yingxian Wood Pagoda under vertical load—An experimental study. Eng. Struct. 2014, 80, 274–288. [Google Scholar] [CrossRef]
- Xie, W.; Chang, W.S.; Wang, T.H. Static behaviour of a two-tiered Dou-Gong system reinforced by super-elastic alloy. Proc. Inst. Civ. Eng. Eng. Hist. Herit. 2019, 172, 164–173. [Google Scholar] [CrossRef]
- Fujita, K. Dynamic performance of bracket complexes used in traditional timber structures in japan. Proc. Japan Acad. Ser. B Phys. Biol. Sci. 2019, 95, 568–580. [Google Scholar] [CrossRef] [PubMed] [Green Version]
- Yeo, S.Y.; Komatsu, K.; Hsu, M.F.; Que, Z. Mechanical model for complex brackets system of the Taiwanese traditional Dieh-Dou timber structures. Adv. Struct. Eng. 2016, 19, 65–85. [Google Scholar] [CrossRef] [Green Version]
- Xue, J.; Ma, L.; Dong, X.; Zhang, X.; Zhang, X. Investigation on the behaviors of Tou-Kung sets in historic timber structures. Adv. Struct. Eng. 2020, 23, 485–496. [Google Scholar] [CrossRef]
- Zhang, L.; Chang, Z.; Li, Q.; Zhou, T. Experimental Research on the Anti-Seismic Properties of a Five-Stamping Tou-Kung Joint of Ancient Chinese Buildings in the Ming Dynasty: A Case Study of Guang-yue Tower in Liaocheng City, Shandong Province. Int J. Arch. Herit. 2020, 14, 1360–1372. [Google Scholar] [CrossRef]
- Dai, L.; Chen, J.; Chen, X.; Ren, H. Influence of component damage on the mechanical performance of bracket set joints in ancient timber structures. Eur. J. Environ. Civ. Eng. 2020, 1, 1–18. [Google Scholar] [CrossRef]
- Liang, S. A Pictorial History of Chinese Architecture; Beijing Construction Industry Press: Beijing, China, 1984. [Google Scholar]
- Sun, C.; Liu, C.; Wang, X. Interpretation of measured data of the main hall of Hualin temple in Fuzhou. J. Chin. Arch. Hist. 2010, 2010, 181–225. [Google Scholar]
- Zhang, S. The Main Hall of Baoguo Temple in Ningbo—Survey, Analysis and Basic Research; Southeast University Press: Nanjing, China, 2012. [Google Scholar]
- Chen, W. Research on Sanqing Hall of Yuanmiao Temple in Putian. Cult Reli. 1996, 1996, 78–88. [Google Scholar]
- Zhang, S. Discussion on the restoration of the main hall of Baosheng Temple in Luzhi. Cult Reli. 2005, 2005, 75–87. [Google Scholar]
- Yu, M. Research on the Main Hall of Shisi Temple—A Case study of Song and Yuan Style Dian’ge Framework in Southern China. Hist Archit. 2013, 2013, 85–96. [Google Scholar]
- Liu, D. Investigation of Ancient Buildings in Suzhou; Society for the Study of Chinese Architecture: Beijing, China, 1936. [Google Scholar]
- Huang, Z. Yanfu Temple, A Chinese Ancient Timber Building Built in Yuan Dynasty; Cultural Relics Publishing House: Beijing, China, 2013. [Google Scholar]
- Li, M. The Basic Research of Historical Wooden Techniques of the Second Mountain Gate on the Huqiu in Suzhou—Research of History, Technique, Design Method. Master’s Thesis, Southeast University, Nanjing, China, 2015. [Google Scholar]
- Chen, C. Research on the Main Hall of Yangwan Temple in Dongshan. Cult. Relics Ref. 1954, 1954, 63–68. [Google Scholar]
- Zheng, H. A Chronological Study on the Evolution of tou-kung Styles in early Ming Dynasties’ Official Architectures. Master’s Thesis, Peking University, Beijing, China, 2013. [Google Scholar]
- Pan, D. Dougong; Southeast University Press: Nanjing, China, 2011. [Google Scholar]
- Ministry of Housing and Urban-Rural Construction of the People’s Republic of China. Standard for Design of Timber Structures GB 50005-2017; China Architecture and Building Press: Beijing, China, 2017.
- Forest Products Laboratory. Wood Handbook—Wood as An Engineering Material; United States Department of Agriculture Forest Service: Madison, WI, USA, 2010.
- Ministry of Housing and Urban-Rural Construction of the People’s Republic of China. Load Code for the Design of Building Structures GB 5009-2012; China Architecture and Building Press: Beijing, China, 2012.
- Pham, A.T.; Tan, K.H. Static and Dynamic Responses of Reinforced Concrete Structures under Sudden Column Removal Scenario Subjected to Distributed Loading. J. Struct. Eng. 2019, 145, 04018235. [Google Scholar] [CrossRef]
- Fu, Q.N.; Tan, K.H.; Zhou, X.H.; Yang, B. Three-Dimensional Composite Floor Systems under Column-Removal Scenarios. J. Struct. Eng. 2018, 144, 04018196. [Google Scholar] [CrossRef]
- Wei, G. Mechanical Behavior and ANSYS Analysis of Dougong in Chinese Ancient Timber Building. Master’s Thesis, Xi’an University of Architecture and Technology, Xi’an, China, 2007. [Google Scholar]
- Chen, W. Research on Mechanical Property and Simplified Analysis Model of Dougong of Yingxian Wooden Pagoda. Ph.D. Thesis, Yangzhou University, Yangzhou, China, 2010. [Google Scholar]
- Yuan, J.; Shi, Y.; Chen, W.; Wang, J. Finite element model of Dou-Gong based on energy dissipation by friction-shear. J. Build Struct. 2012, 33, 151–157. [Google Scholar] [CrossRef]
- Zhang, T. Dynamic Analysis on structural characteristics of Ancient Timber Tower. Master’s Thesis, National University of Defense Technology, Changsha, China, 2002. [Google Scholar]
- Li, H.; Xue, F.; Qin, D. Analysis and application of dynamic characteristics of Dougong in wood structure. In Proceedings of the 6th National Symposium on Modern Structural Engineering, Baoding, China, 21–24 July 2006; pp. 1655–1660. [Google Scholar]
- Chen, Z. Behaviour of Typical Joints and the Structure of Yingxian Wood Pagoda. Ph.D. Thesis, Harbin Institute of Technology, Harbin, China, 2011. [Google Scholar]
- Shi, Y.; Zhang, C.; Chen, Z. Simulation analysis based on Dougong beam element model: A case analysis of Yingxian’s Wood Tower in Shanxi. J. Shandong Jianzhu Univ. 2017, 32, 295–301. [Google Scholar]
- Liu, Y.; Jun, Y. Structural analysis and modeling simplification of Liao-dynasty structures in Dule Temple. J. Southeast Univ. (Nat. Sci. Ed.) 2007, 37, 887–891. [Google Scholar]
- Han, Y.; Chun, Q. Research on wind-induced response of the main hall of Baoguo Temple. Sci. Conserv. Archaeol. 2017, 29, 84–94. [Google Scholar] [CrossRef]
- Zhou, Q.; Yan, W.; Ji, J. Aseismic constitution components of Taihe Palace in the Forbidden City. China Civ. Eng. J. 2013, 46, 117–122. [Google Scholar] [CrossRef]
- Zhou, Q.; Yan, W.; Guan, H.; Ji, J. Seismic performance of Tai-he Palace in the Forbidden City under rear earthquake. J. Build Struct. 2014, 35, 25–32. [Google Scholar] [CrossRef]


















| Dynasty | Name of the Building | Location | Style | Cai | Arrangement of the Gong | Connections | Diagram | |||
|---|---|---|---|---|---|---|---|---|---|---|
| Front | Rear | Central Axis | Col. | Inter. | ||||||
| Song | The main hall of Hua-lin Temple [22] | Col. | 7-layer stacked, 2 Hua-gongs, 2 Angs | Dan | 2nd Tiao is Chong-gong (Ji-xin), 4th Tiao is Dan-gong (Ji-xin) | 2nd Tiao is Chong-gong (Ji-xin) | 3 Dan-gongs | Connected with beams, columns, and purlins | ![]() | ![]() |
| Inter. | Dan | 1st–5th Tiaos are Tou-xin | Connected with purlins | |||||||
| Song | The main hall of Bao-guo Temple [23] | Col. | 7-layer stacked, 2 Hua-gongs, 2 Angs | Zu | 2nd–4th Tiaos are Dan-gong (Ji-xin) | 1st–2nd Tiaos are Tou-xin | 2 Dan-gongs and 1 Chong-gong | Connected with beams, columns, and purlins | ![]() | ![]() |
| Inter. | Dan | 1st–4th Tiaos are Tou-xin | Connected with purlins | |||||||
| Song | The main hall of Yuan-miao Temple [24] | Col. | 7-layer stacked, 2 Hua-gongs, 2 Angs | Dan | 2nd Tiao is Chong-gong (Ji-xin), 4th Tiao is Dan-gong (Ji-xin) | 1st–2nd Tiaos are Tou-xin | 2 Dan-gongs and 1 Chong-gong | Connected with beams, columns, and purlins | ![]() | ![]() |
| Inter. | Dan | 1st–4th Tiaos are Tou-xin | Connected with purlins | |||||||
| Song | The main hall of Bao-sheng Temple [25] | Col. | 5-layer stacked, 1 Hua-gong, 1 Ang | Zu | 2nd Tiao is Dan-gong (Ji-xin) | 1st Tiaos is Tou-xin | 1 Dan-gong and 1 Chong-gong | Connected with beams and purlins | ![]() | ![]() |
| Inter. | Dan | 1st–2nd Tiaos are Tou-xin | Connected with purlins | |||||||
| Song | The main hall of Shi-si Temple [26] | Col. | 7-layer stacked, 3 Hua-gongs, 2 Ang | Dan | 2nd Tiao is Chong-gong (Ji-xin), 4th Tiao is Dan-gong (Ji-xin) | 2nd Tiao is Chong-gong (Ji-xin), 4th Tiao is Dan-gong (Ji-xin) | 3 Dan-gongs | Connected with beams | ![]() | ![]() |
| Inter. | Dan | Without any connection with the purlins or beams | ||||||||
| Song | The main hall of Xuan-miao Temple [27] | Col. | 7-layer stacked, 2 Hua-gongs, 2 Angs | Zu | 2nd–4th Tiaos are Dan-gong (Ji-xin) | 2nd–4th Tiaos are Dan-gong (Ji-xin) | 1 Chong-gong | Without any connection with the purlins or beams | ![]() | ![]() |
| Yuan | The main hall of Yan-fu Temple [28] | Col. | 6-layer stacked, 1 Hua-gongs, 2 Angs | Zu | 2nd–3rd Tiaos are Dan-gong (Ji-xin) | 1st–2nd Tiaos are Tou-xin | 3 Dan-gongs | Connected with beams and purlins | ![]() | ![]() |
| Inter. | Zu | 1st–2nd Tiaos are Tou-xin | Connected with purlins | |||||||
| Yuan | The main hall of Tian-ning Temple | Col. | 6-layer stacked, 1 Hua-gongs, 2 Angs | Zu | 2nd Tiao is Chong-gong (Ji-xin), 3rd Tiao is Dan-gong (Ji-xin) | 1st Tiaos is Tou-xin | 3 Dan-gongs | Connected with beams and purlins | ![]() | ![]() |
| Inter. | Zu | 1st Tiaos is Tou-xin | Connected with purlins | |||||||
| Yuan | The main hall of Yun-yan Temple [29] | Col. | 4-layer stacked, 1 Hua-gongs | Zu | 1st Tiao is Dan-gong (Ji-xin) | 1st Tiaos is Tou-xin | 1 Chong-gong | Connected with beams | ![]() | ![]() |
| Inter. | Zu | 1st–2nd Tiaos are Tou-xin | Connected with purlins | |||||||
| Yuan | The main hall of Xuan-yuan Palace [30] | Inter. | 5-layer stacked, 2 Angs | Zu | 1st Tiao is Chong-gong (Ji-xin), 2nd Tiao is Dan-gong (Ji-xin) | 1st–2nd Tiaos are Tou-xin | 1 Chong-gong | Connected with purlins | – | ![]() |
| Components | Roof Load Case | Collapse Case | |||
|---|---|---|---|---|---|
| Ji-Xin-Zao | Tou-Zin-Zao | Ji-Xin-Zao | Tou-Zin-Zao | ||
| Gong | Hua-gong | Locally compressed | Locally compressed | Low stress | Low stress |
| Gua-zi-gong | Compressed | – | Low stress | – | |
| Ni-dao-gong | Compressed | Compressed | Low stress | Low stress | |
| Man-gong | Bending | Bending | Low stress | Low stress | |
| Lin-gong | – | Bending | Low stress | Low stress | |
| Fang | Su-fang | Bending | Bending | Bending | Bending |
| Luo-han-fang | Bending | – | Bending | – | |
| Yan-fang | Bending | Bending | Bending | Bending | |
| Liao-yan-fang | Bending | Bending | Bending | Bending | |
| Others | Xue-xie | Low stress | Low stress | Low stress | Low stress |
| Chen-fang-tou | Bending | – | Bending | – | |
| Shua-tou | Bending | – | Low stress | – | |
| Ang | Bending | Bending | Locally bending | Locally compressed | |
| Hua-tou-zi | Locally compressed | Locally compressed | Low stress | Low stress | |
| Model | Element Type | Simplification | Efficiency | Consideration of the Component | Verification | Diagram |
|---|---|---|---|---|---|---|
| Corbel model | Solid | Dous are simplified as cubes, Gongs are simplified as cuboids | Low | Lu-dou, San-dou, Jiao-hu-dou, Hua-gong, Ni-dao-gong, and Man-gong | Verified through experiments | ![]() |
| Beam element model | Beam | Fangs are simplified as beam elements, Dous are simplified as short columns | High | Su-fang and Lu-dou | Verified through natural frequency and modal | ![]() |
| Beam-spring model | Beam, Spring | Fangs are simplified as beam elements, Dous are simplified as spring elements | High | Su-fang, Lu-dou, Jiao-hu-dou, and San-dou | Without verification | ![]() |
| Truss model | Truss | Entirely simplified as a truss element | High | Without considering details | Without verification | ![]() |
| Spring model | Spring | Entirely simplified as spring elements | High | Without considering details | Verified and calibrated through experiments | ![]() |
| Condition | Jin-Xin-Zao Dou-Gong | Tou-Xin-Zao Dou-Gong | ||||
|---|---|---|---|---|---|---|
| Refined Model/s | Simplified Model/s | Diff./% | Refined Model/s | Simplified Model/s | Diff./% | |
| Roof load | 488 | 13 | 97.3 | 724 | 18 | 97.5 |
| Progressive collapse | 459 | 15 | 90.2 | 367 | 17 | 95.4 |
| Max. Stress/ MPa | Max. Vertical Displacement/mm | Vertical Stiffness | Time Consumption/s | ||||
|---|---|---|---|---|---|---|---|
| Tangential 1 /104N mm−1 | Secant 2 /104N mm−1 | ||||||
| Ji-xin-zao Dou-gong | Roof load condition | Refined | 3.796 | −0.614 | 3.566 | 3.054 | 488 |
| Simplified | 3.655 | −0.586 | 3.175 | 3.175 | 13 | ||
| Diff. | 3.7% | 4.6% | 11.0% | 4.0% | 97.3% | ||
| Collapse condition | Refined | 3.733 | – | 1.007 | 1.079 | 459 | |
| Simplified | 3.149 | – | 1.111 | 1.111 | 15 | ||
| Diff. | 15.6% | – | 10.3% | 3.0% | 90.2% | ||
| Tou-xin-zao Dou-gong | Roof load condition | Refined | 3.128 | −1.693 | 2.722 | 1.513 | 724 |
| Simplified | 3.087 | −1.512 | 1.482 | 1.482 | 18 | ||
| Diff. | 1.3% | 10.7% | 45.6% | 2.0% | 97.5% | ||
| Collapse condition | Refined | 2.268 | – | 0.579 | 0.613 | 367 | |
| Simplified | 2.227 | – | 0.668 | 0.668 | 17 | ||
| Diff. | 1.8% | – | 15.4% | 9.0% | 95.4% | ||
Publisher’s Note: MDPI stays neutral with regard to jurisdictional claims in published maps and institutional affiliations. |
© 2022 by the authors. Licensee MDPI, Basel, Switzerland. This article is an open access article distributed under the terms and conditions of the Creative Commons Attribution (CC BY) license (https://creativecommons.org/licenses/by/4.0/).
Share and Cite
Hua, Y.; Chun, Q.; Jia, X. Simplified Calculation Model for Typical Dou-Gong Exposed to Vertical Loads. Buildings 2022, 12, 689. https://doi.org/10.3390/buildings12050689
Hua Y, Chun Q, Jia X. Simplified Calculation Model for Typical Dou-Gong Exposed to Vertical Loads. Buildings. 2022; 12(5):689. https://doi.org/10.3390/buildings12050689
Chicago/Turabian StyleHua, Yiwei, Qing Chun, and Xiaohu Jia. 2022. "Simplified Calculation Model for Typical Dou-Gong Exposed to Vertical Loads" Buildings 12, no. 5: 689. https://doi.org/10.3390/buildings12050689
APA StyleHua, Y., Chun, Q., & Jia, X. (2022). Simplified Calculation Model for Typical Dou-Gong Exposed to Vertical Loads. Buildings, 12(5), 689. https://doi.org/10.3390/buildings12050689

























