Analysis of Buckling Deformation for the Side Plate of Rectangular CSFT Column Based on Plate Theory with Bi-Axial Loads
Abstract
:1. Introduction
2. Buckling Theory Analysis of the Side Plate of the Rectangular Steel Tube
2.1. Elastic Buckling Behavior of the Side Plate of the Steel Tube under Unidirectional Load
2.2. Elastic Buckling Behavior of the Side Plate of the Steel Tube under Bidirectional Load
3. Buckling Characteristics of the Side Plate of the Steel Tube in Rectangular CSFT
3.1. Buckling Phenomenon of the Side Plate of the Steel Tube in Rectangular CSFT under the Axial Compression
3.2. The Axial Compression Experiment of Rectangular CSFT Short Column
4. Finite Element Verification of Elastic Buckling Development of the Side Plate of the Steel Tube in Rectangular CSFT Short Column
5. Discussion
6. Conclusions and Outlook
- (1)
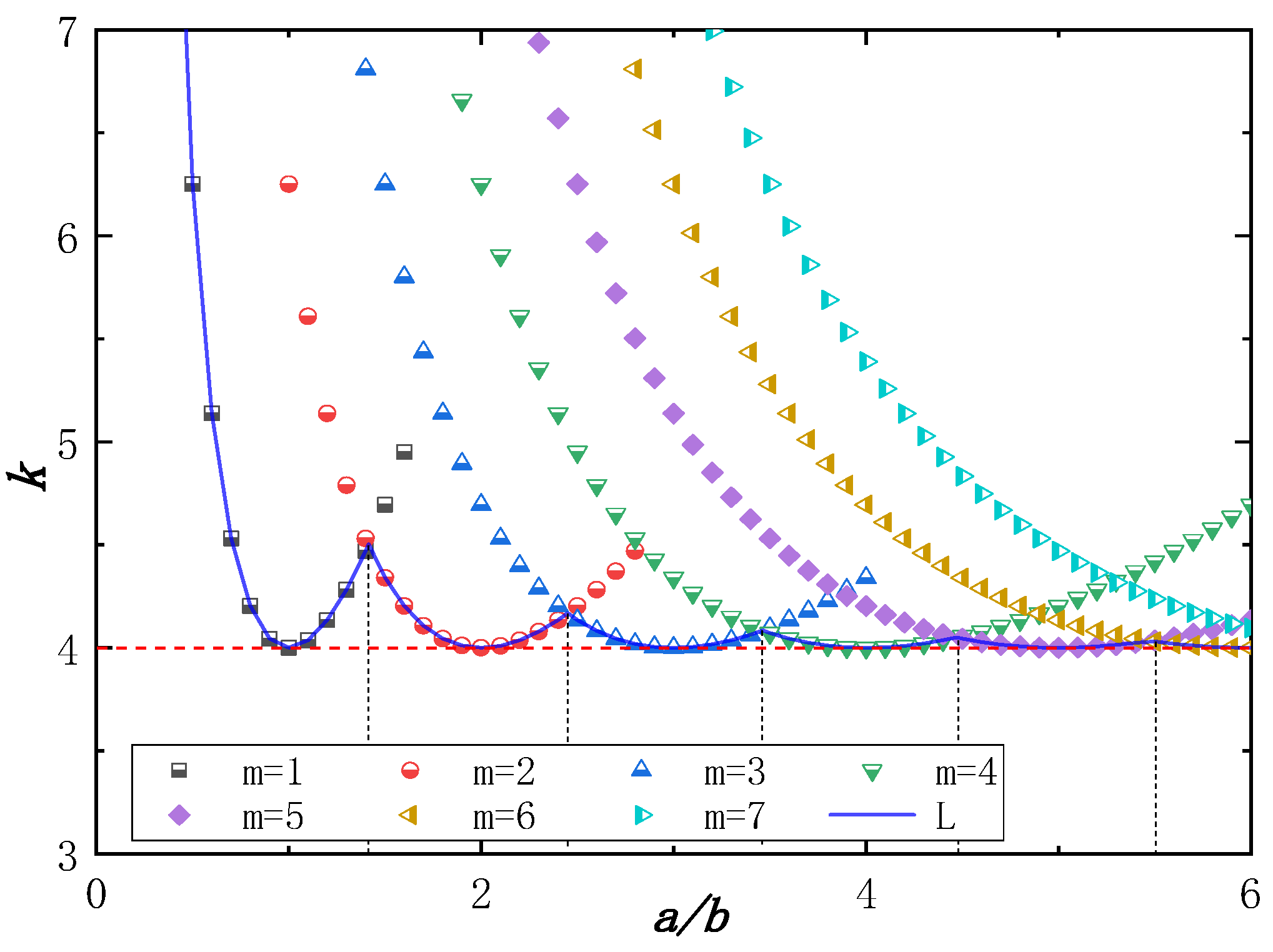
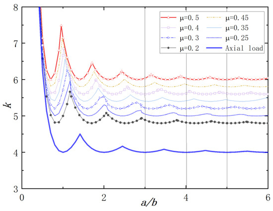
- For the condition of bidirectional stress, the buckling coefficient of the side plate is larger than the coefficient under the unidirectional stress, the corresponding value of m will increase. It can be explained that under the state of bidirectional stress when the buckling has occurred in the plate, the external loading and the number of buckling half-wave are both larger than the corresponding values under the condition of a unidirectional stress.
- (2)
- For the condition of longitudinal loading, when the failure has emerged in the side steel tube of the rectangular CSFT column, the number of buckling half-wave is larger than the height-width ratio () of the plate.
- (3)
- During the process of loading, for the side plate of the steel tube, the buckling form change can be owed to the stress state change of the component (from unidirectional stress to bidirectional stress). Meanwhile, with the increase of the transverse stress, the wavelength of the buckling half-wave will reduce while the number of buckling will rise.
- (4)
- For the same loading condition, in the intersection points of m-curve in the buckling coefficient curve, the interval between, adjacent of the height-width ratio () is fixed, and for the condition of bidirectional stress, the interval will decrease with the increasing Poisson’s ratio.
- (1)
- Although the analytical study and experimental validation have been conducted in this paper, we only consider the failure of rectangular CSFT column under the condition of the bidirectional stress; some other factors, such as high ambient temperature, horizontal spacing and diameter of binding bars, etc., should be also investigated.
- (2)
- Several specimens are used to verify the theocratical results, which can reflect the main forming of the buckling deformation; in the future, we are going to design more test specimens to obtain a more accurate result for the needs of practical applications.
Author Contributions
Funding
Institutional Review Board Statement
Informed Consent Statement
Data Availability Statement
Conflicts of Interest
References
- Xiang, K.; Pan, Y.; Wang, G. Axial compression analysis of square concrete-encased concrete filled steel tubular stub columns after fire exposure. Procedia Eng. 2018, 211, 1151–1159. [Google Scholar] [CrossRef]
- Cai, J.; He, Z.Q. Axial load behavior of square CFT stub column with binding bars. J. Constr. Steel Res. 2006, 62, 472–483. [Google Scholar] [CrossRef]
- Ding, F.; Lu, D.; Bai, Y.; Zhou, Q.-S.; Ni, M.; Yu, Z.-W.; Jiang, G.-S. Comparative study of square stirrup-confined concrete-filled steel tubular stub columns under axial loading. Thin Walled Struct. 2016, 98, 443–453. [Google Scholar] [CrossRef]
- Han, L.H.; Li, W.; Bjorhovde, R. Developments and advanced applications of concrete-filled steel tubular (CFST) structures: Members. J. Constr. Steel Res. 2014, 100, 211–228. [Google Scholar] [CrossRef]
- Yang, S.C.; Wang, F.M.; Qu, P. Brief Introduction to the Core Concrete’s Empty Influence on the Mechanical Performance of Concrete Filled Steel Tube Components. J. Chongqing Jiaotong Univ. Nat. Sci. 2008, 27, 360–365. (In Chinese) [Google Scholar]
- Shahwan, K.W.; Waas, A.M. A mechanical model for the buckling of unilaterally constrained rectangular plates. Int. J. Solids Struct. 1994, 31, 75–87. [Google Scholar] [CrossRef] [Green Version]
- Tao, Z.; Uy, B.; Liao, F.Y.; Han, L.H. Nonlinear analysis of concrete-filled square stainless steel stub columns under axial compression. J. Constr. Steel Res. 2011, 67, 1719–1732. [Google Scholar] [CrossRef]
- Zhou, X.H.; Liu, Y.J.; Lei, J.; Ning, Z. Review on Mechanical Behavior Research of Concrete Filled Rectangular Hollow Section Tube Stiffened with PBL. China J. Highw. Transp. 2017, 30, 45–62. (In Chinese) [Google Scholar]
- Uy, B.; Bradford, M.A. Elastic local buckling of steel plates in composite steel-concrete members. Eng. Struct. 1996, 18, 193–200. [Google Scholar] [CrossRef]
- Tao, Z.; Uy, B.; Han, L.; Wang, Z.-B. Analysis and design of concrete-filled stiffened thin-walled steel tubular columns under axial compression. Thin Walled Struct. 2009, 47, 1544–1556. [Google Scholar] [CrossRef]
- Standards Association of Australia. Australian Standard AS4100; Steel Structures. Standards Association of Australia: Sydney, Australia, 1998.
- Liang, Q.Q.; Uy, B.; Liew, J. Nonlinear analysis of concrete-filled thin-walled steel box columns with local buckling effects. J. Constr. Steel Res. 2006, 62, 581–591. [Google Scholar] [CrossRef] [Green Version]
- Yang, Z.Y.; Qiao, Q.Y.; Cao, W.L.; Gao, X. Axial compressive behavior of square steel tube confined rubberized concrete stub columns. J. Build. Eng. 2022, 52, 104371. [Google Scholar]
- Long, Y.L.; Zeng, L. A refined model for local buckling of rectangular CFST columns with binding bars. Thin-Walled Struct. 2018, 132, 431–441. [Google Scholar] [CrossRef]
- Lyu, X.; Xu, Y.; Xu, Q.; Yu, Y. Axial compression performance of square thin walled concrete-Filled steel tube stub columns with reinforcement stiffener under constant high-Temperature. Materials 2019, 12, 1098. [Google Scholar] [CrossRef] [Green Version]
- Kamil, G.M.; Liang, Q.Q.; Hadi, M.N.S. Local buckling of steel plates in concrete-filled steel tubular columns at elevated temperatures. Eng. Struct. 2018, 168, 108–118. [Google Scholar] [CrossRef]
- Song, Y.; Wang, R.; Li, J. Local and post-local buckling behavior of welded steel shapes in partially encased composite columns. Thin Walled Struct. 2016, 108, 93–108. [Google Scholar] [CrossRef]
- ACI (American Concrete Institute). Building Code Requirements for Structural Concrete and Commentary; American Concrete Institute: Farmington Hills, MI, USA, 2011. [Google Scholar]
- BSI (British Standards Institution). Steel, Concrete and Composite Bridges—Part 4: Code of Practice for Design of Concrete Bridges. BS5400; British Standards Institutions: London, UK, 2005. [Google Scholar]
- Li, B.; Guo, S.Z.; Gao, C.Y. Experimental research on mechanical behavior of concrete filleld thin-walled stiffened square steel tubular short column under axial load. J. Build. Struct. 2017, 38, 218–225. (In Chinese) [Google Scholar]
- Huang, H.; Chen, M.C.; Wan, C.Y. Behavior of concrete-filled stiffened square steel tubes subjected to eccentric compressive load. China Civ. Eng. J. 2011, 44, 26–34. (In Chinese) [Google Scholar]
- Zhang, J.G. Research on the Mechanical Performance of Concrete-Filled Square Steel Tube Stiffened with PBL under Axial Compression Load; Chang’an University: Xi’an, China, 2012. (In Chinese) [Google Scholar]
- Ye, Y.; Zhang, S.; Han, L.; Liu, Y. Square concrete-filled stainless steel/carbon steel bimetallic tubular stub columns under axial compression. J. Constr. Steel Res. 2018, 146, 49–62. [Google Scholar] [CrossRef]
- Chang, X.; Ru, Z.L.; Zhou, W.; Zhang, Y.-B. Study on concrete-filled stainless steel–carbon steel tubular (CFSCT) stub columns under compression. Thin Walled Struct. 2013, 63, 125–133. [Google Scholar] [CrossRef]
- Tao, Z.; Wang, Z.B.; Yu, Q. Finite element modelling of concrete-filled steel stub columns under axial compression. J. Constr. Steel Res. 2013, 89, 121–131. [Google Scholar] [CrossRef]












| Item | Number | Width | Thickness | Height | Number of Half-Wave |
|---|---|---|---|---|---|
| Figure 5a | CUS28 [21] | 280 | 2.5 | 840 | 4 |
| Figure 5b | SCA-30-2 [22] | 900 | 4 | 300 | 4 |
| Figure 5c | UCFT3-2 [20] | 250 | 2.5 | 750 | 2 |
| Figure 5d | t2c2-316 [23] | 202.64 | 4.62 + 1.32 | 600 | 4 |
| Figure 5e | t1c2-316 [23] | 201.68 | 4.14 + 0.84 | 600 | 5 |
| Figure 5f | t3c2-316 [23] | 203.76 | 5.18 + 1.88 | 600 | 4 |
| m = 1 | m = 2 | m = 3 | m = 4 | m = 5 | m = 6 | m = 7 | ||
|---|---|---|---|---|---|---|---|---|
| Unidirectional Stress | 1.415 | 2.45 | 3.464 | 4.473 | 5.477 | - | - | |
| Bidirectional Stress | 1.170 | 2.056 | 2.918 | 3.772 | 4.627 | 5.472 | - | |
| 1.126 | 1.984 | 2.817 | 3.642 | 4.465 | 5.285 | - | ||
| 1.086 | 1.918 | 2.725 | 3.525 | 4.322 | 5.117 | - | ||
| 1.049 | 1.858 | 2.642 | 3.419 | 4.192 | 4.963 | - | ||
| 1.016 | 1.804 | 2.566 | 3.321 | 4.073 | 4.822 | 5.571 | ||
| 0.987 | 1.753 | 2.497 | 3.232 | 3.963 | 4.693 | 5.421 | ||
| 0.957 | 1.708 | 2.432 | 3.149 | 3.862 | 4.573 | 5.284 | ||
Publisher’s Note: MDPI stays neutral with regard to jurisdictional claims in published maps and institutional affiliations. |
© 2022 by the authors. Licensee MDPI, Basel, Switzerland. This article is an open access article distributed under the terms and conditions of the Creative Commons Attribution (CC BY) license (https://creativecommons.org/licenses/by/4.0/).
Share and Cite
Xu, B.; Wang, L.; Xiang, C.; Han, Z. Analysis of Buckling Deformation for the Side Plate of Rectangular CSFT Column Based on Plate Theory with Bi-Axial Loads. Buildings 2022, 12, 626. https://doi.org/10.3390/buildings12050626
Xu B, Wang L, Xiang C, Han Z. Analysis of Buckling Deformation for the Side Plate of Rectangular CSFT Column Based on Plate Theory with Bi-Axial Loads. Buildings. 2022; 12(5):626. https://doi.org/10.3390/buildings12050626
Chicago/Turabian StyleXu, Bing, Lang Wang, Chunyan Xiang, and Zhenyu Han. 2022. "Analysis of Buckling Deformation for the Side Plate of Rectangular CSFT Column Based on Plate Theory with Bi-Axial Loads" Buildings 12, no. 5: 626. https://doi.org/10.3390/buildings12050626
APA StyleXu, B., Wang, L., Xiang, C., & Han, Z. (2022). Analysis of Buckling Deformation for the Side Plate of Rectangular CSFT Column Based on Plate Theory with Bi-Axial Loads. Buildings, 12(5), 626. https://doi.org/10.3390/buildings12050626

