E-Mobility in Positive Energy Districts
Abstract
:1. Introduction
2. Material and Methods
2.1. Data Used and Case Study
2.1.1. Data Used in the Simulation
2.1.2. Case Study Used for the Experimentation
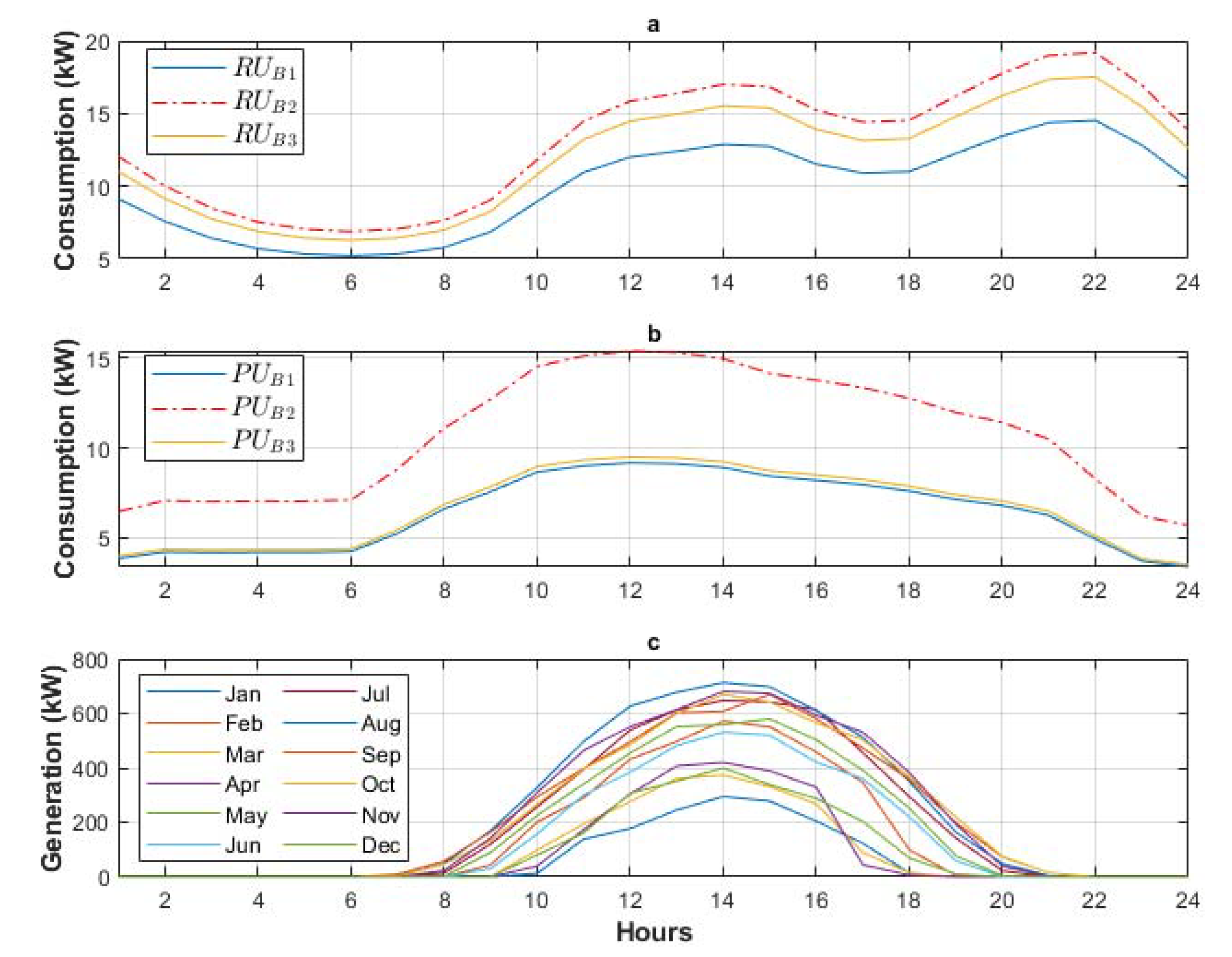
2.1.3. Electricity Consumption Profiles of Buildings
2.1.4. Thermal Energy Demand of Buildings
2.1.5. Experimental Assumptions for the Case of Use
2.2. Simulation Tool
- The PV arrays cover the rooftops of the buildings, giving a total surface of 3000 m2. The Monocrystalline Silicon technology employed provides an efficiency of 16%.
- The low temperature geothermal network is made up of 3 interconnected rings. The thermal heat is transformed into electricity by means of a set of 2 heat pumps with a COP (coefficient of performance) of 4.7.
- The district is considered to have 20 smart lighting units of 250 W/unit in the case of traditional lamps and 50 W/unit for LEDs.
- The EV charging infrastructure utilises the 2.3 kW rated power charger [42] generally used in residential installations. Depending on the number of EVs simulated, we assume charger hubs of 28 kW (12 charging points) or 48 kW (21 charging points). Public transport and public-use chargers are not considered in this analysis.
- The Energy Storage System (ESS) uses an ancillary system with an installed capacity of 252 kW.
2.3. Methodology Applied in the Evaluation
- —the consumption of each of the 6 buildings that compose the PED
- IUG—the current drawn from the utility grid
- IPV—the photovoltaic current generated
- IESS—the current of the ESS
- IEV—the current demanded by the EV charging port
3. Results
4. Discussion
- -
- A relatively small rooftop surface is available in relation to the energy demands of a building with 50–60 dwellings.
- -
- With appropriate PV orientation, irradiance values generate a considerable amount of energy (671 MW/year/m2).
- -
- Urban districts are made up of a balanced mixture of residential and public use buildings, with different patterns of energy demand. The most common situation is that electricity is provided by the general grid and thermal energy by natural gas.
- -
- Mobility patterns suggest that an average family uses 1.4 vehicles, and that each vehicle covers 12,947 km/year. The regular vehicle fleet in Spain is made up of fossil fuel vehicles.
- It is worth noting that scenarios with buildings with an energy rating of A or B achieve the targeted annual positivity. Only these scenarios can be considered as PEDs. Although the building requirements for an A or B rating are very high, these might be compensated for by other district measures not considered in this analysis, such as the flexibility provided by the use of optimisation tools, trading mechanisms, etc.
- Scenarios 1 to 3 do not achieve positivity; they feature older, low-efficiency buildings. In these cases, the energy deficit ranged from 4191.88 kWh/year to 7652.83 kWh/year, which includes the power demand of 405 EVs as an intrinsic part of the district. In terms of the power signal, the ESS considered (252 kW installed of Li-Ion technology) would not be enough to support demand in winter months. The reduction in carbon emissions due to e-mobility was equivalent to 12,885.44 tonnes of CO2eq as compared to vehicles running on fossil fuels (diesel and petrol). In Scenario 3, a positive annual energy balance would not be achieved even if the demand from the EVs were avoided (−3571.12 kWh annual balance).
- Scenario 4 consists only of B-rated buildings and includes LED street lighting and e-mobility. It can generate an energy surplus of 141.43 kWh. This small quantity of energy exported outside the bounds of the PED means that the district can supports 550 EVs (based on average annual Spanish vehicle usage), equivalent to about 6,907,807 green kilometres. In this regard, about 17,450.76 tonnes of CO2 is saved by replacing 550 fossil cars with their equivalent EVs. Of course, this extra energy could open new opportunities in terms of energy trading or other energy related businesses [44].
- Scenario 5, where all buildings have an A rating (highly efficient new constructions), will produce about 2670.94 kWh annual net energy surplus. Alternatively, it can supply the power demand of 695 EVs, equivalent to 8,728,956 green kilometres. It can also be measured as mobile energy storage, to be used inside or outside the PED. Daily demand pattern analysis shows that the ESS would require fine-tuned control (or an updated design) since it does not meet the energy demand in January. In annual terms, this scenario avoids 22,044.45 tonnes of CO2 emissions through the replacement of 695 fossil fuel cars by EV equivalents alone. The energy surpluses in Scenario 5 again open an opportunity to build energy communities that trade in energy, in line with prosumer behaviour (Figure 3).
- Figure 6 shows the relation between emissions saved by e-mobility, the annual balance of the PED in the five scenarios, and the emissions of each one. It can clearly be seen that positivity is achieved in Scenario 4 (B-rated buildings). This scenario features a PED that not only achieves positivity, but also cuts total emissions (by about 71% compared to Scenario 1, E-rated buildings). These profound renovations transform the district into an eco-friendly urban area [45]. Moreover, for Scenario 4 (Building certification B), we analyse the impact of e-mobility on the total energy balance of the district. When diesel and petrol are used, emissions from cars come to about 17,000 tonnes of CO2 for 550 cars.
- Figure 6 also shows that as the building energy (label) rating improves, the overall annual energy balance becomes positive. This translates into a greater reduction in carbon emissions from mobility since more EVs would be supported by the PED. In parallel, as the energy performance in buildings increases (from an E to an A rating), total energy demand decreases, with a subsequent reduction in savings through the use of renewable energy (geothermal and PV) as opposed to traditional sources (natural gas and the electricity grid). Nonetheless, this is still good news, since lower investment is required in renewables, a concept linked to the concept of the a Passive House or Passive District [46].
5. Conclusions
- -
- Analysing different strategies for decreasing direct electricity consumption in buildings. An agent-based simulation capable of tracking human behaviour would facilitate such an assessment.
- -
- Providing a dynamic management of energy storage systems by using automatic control strategies to improve the results for power and better deal with daily and demand patterns.
- -
- Making use of the flexibility that EVs can provide and implementing Vehicle2Grid strategies, which would flatten energy demand peaks.
Author Contributions
Funding
Institutional Review Board Statement
Informed Consent Statement
Data Availability Statement
Acknowledgments
Conflicts of Interest
References
- IEA. Global CO2 Emissions by Sector, 2018—Charts—Data & Statistics—IEA. 2020. Available online: https://www.iea.org/data-and-statistics/charts/global-co2-emissions-by-sector-2018 (accessed on 14 July 2021).
- C2ES. Global Emissions: Center for Climate and Energy Solutions; Center for Climate and Energy Solutions: Arlington, VA, USA, 2016; Available online: https://www.c2es.org/content/international-emissions/ (accessed on 14 July 2021).
- Seyboth, K.M.; Sverrisson, F. Renewables 2016 Global Status Report; REN21: Paris, France, 2016; ISBN 978-3-9818107-0-7. [Google Scholar]
- SmartGrids SRA 2035 Strategic Research Agenda Update of the SmartGrids SRA 2007 for the Needs by the Year 2035. Available online: https://www.etip-snet.eu/wp-content/uploads/2017/04/sra2035.pdf (accessed on 25 November 2021).
- Purohit, S.; Energy, W.; Purohit, S. Front-Loading Net Zero; Wärtsilä Energy: Paris, France, 2021; Available online: http://www.wartsila.com/brandhub/marketing-material#inpage-anchor-9 (accessed on 21 November 2021).
- Cozzi, L.; Gül, T. Net Zero by 2050: A Roadmap for the Global Energy Sector; International Energy Agency: Paris, France, 2021. [Google Scholar]
- Fichera, A.; Pluchino, A.; Volpe, R. Modelling Energy Distribution in Residential Areas: A Case Study Including Energy Storage Systems in Catania, Southern Italy. Energies 2020, 13, 3715. [Google Scholar] [CrossRef]
- Howell, S.; Rezgui, Y.; Hippolyte, J.-L.; Jayan, B.; Li, H. Towards the next generation of smart grids: Semantic and holonic multi-agent management of distributed energy resources. Renew. Sustain. Energy Rev. 2017, 77, 193–214. [Google Scholar] [CrossRef]
- Capasso, C.; Veneri, O. Experimental study of a DC charging station for full electric and plug in hybrid vehicles. Appl. Energy 2015, 152, 131–142. [Google Scholar] [CrossRef]
- Pearson, P.J.; Foxon, T.J. A low carbon industrial revolution? Insights and challenges from past technological and economic transformations. Energy Policy 2012, 50, 117–127. [Google Scholar] [CrossRef]
- Mies, J.J.; Helmus, J.R.; Hoed, R.V.D. Estimating the Charging Profile of Individual Charge Sessions of Electric Vehicles in The Netherlands. World Electr. Veh. J. 2018, 9, 17. [Google Scholar] [CrossRef]
- Zhang, J.; Yan, J.; Liu, Y.; Zhang, H.; Lv, G. Daily electric vehicle charging load profiles considering demographics of vehicle users. Appl. Energy 2020, 274, 115063. [Google Scholar] [CrossRef]
- Bhatti, A.R.; Salam, Z. A rule-based energy management scheme for uninterrupted electric vehicles charging at constant price using photovoltaic-grid system. Renew. Energy 2018, 125, 384–400. [Google Scholar] [CrossRef]
- Uimonen, S.; Lehtonen, M. Simulation of Electric Vehicle Charging Stations Load Profiles in Office Buildings Based on Occupancy Data. Energies 2020, 13, 5700. [Google Scholar] [CrossRef]
- Rodríguez, L.R. Achieving Energy-Efficient Districts: Contributions through Large-Scale Characterization and Demand Side Management. Ph.D. Thesis, Universidad de Sevilla, Seville, Spain, 2018. [Google Scholar]
- Fachrizal, R.; Munkhammar, J. Improved Photovoltaic Self-Consumption in Residential Buildings with Distributed and Centralized Smart Charging of Electric Vehicles. Energies 2020, 13, 1153. [Google Scholar] [CrossRef]
- Fachrizal, R.; Shepero, M.; Åberg, M.; Munkhammar, J. Optimal PV-EV sizing at solar powered workplace charging stations with smart charging schemes considering self-consumption and self-sufficiency balance. Appl. Energy 2021, 307, 118139. [Google Scholar] [CrossRef]
- Bossi, S.; Gollner, C.; Theierling, S. Towards 100 Positive Energy Districts in Europe: Preliminary Data Analysis of 61 European Cases. Energies 2020, 13, 6083. [Google Scholar] [CrossRef]
- International Energy Agency. Global EV Outlook 2021—Accelerating Ambitions Despite the Pandemic. Paris. 2021. Available online: https://iea.blob.core.windows.net/assets/ed5f4484-f556-4110-8c5c-4ede8bcba637/GlobalEVOutlook2021.pdf (accessed on 20 January 2022).
- Turci, G.; Alpagut, B.; Civiero, P.; Kuzmic, M.; Pagliula, S.; Massa, G.; Albert-Seifried, V.; Seco, O.; Soutullo, S. A Comprehensive PED-Database for Mapping and Comparing Positive Energy Districts Experiences at European Level. Sustainability 2021, 14, 427. [Google Scholar] [CrossRef]
- Hinterberger, R.; Gollner, C.; Noll, M.; Meyer, S.; Schwarz, H.-G. Reference Framework for Positive Energy Districts and Neighbourhoods. 2020. Available online: https://jpi-urbaneurope.eu/ped/ (accessed on 20 January 2022).
- Bottecchia, L.; Gabaldón, A.; Castillo-Calzadilla, T.; Soutullo, S.; Ranjbar, S.; Eicker, U. Fundamentals of Energy Modelling for Positive Energy Districts. In Sustainability in Energy and Buildings 2021; Littlewood, J.R., Howlett, R.J., Jain, L.C., Eds.; Springer: Singapore, 2022; pp. 435–445. [Google Scholar]
- Moreno, A.G.; Vélez, F.; Alpagut, B.; Hernández, P.; Montalvillo, C.S. How to Achieve Positive Energy Districts for Sustainable Cities: A Proposed Calculation Methodology. Sustainability 2021, 13, 710. [Google Scholar] [CrossRef]
- Bruck, A.; Ruano, S.D.; Auer, H. A Critical Perspective on Positive Energy Districts in Climatically Favoured Regions: An Open-Source Modelling Approach Disclosing Implications and Possibilities. Energies 2021, 14, 4864. [Google Scholar] [CrossRef]
- Paiho, S.; Hoang, H.; Hukkalainen, M. Energy and emission analyses of solar assisted local energy solutions with seasonal heat storage in a Finnish case district. Renew. Energy 2017, 107, 147–155. [Google Scholar] [CrossRef]
- Fichera, A.; Pluchino, A.; Volpe, R. Local Production and Storage in Positive Energy Districts: The Energy Sharing Perspective. Front. Sustain. Cities 2021, 3, 57. [Google Scholar] [CrossRef]
- Thiers, S.; Peuportier, B. Energy and environmental assessment of two high energy performance residential buildings. Build. Environ. 2012, 51, 276–284. [Google Scholar] [CrossRef]
- Komninos, N. Net Zero Energy Districts: Connected Intelligence for Carbon-Neutral Cities. Land 2022, 11, 210. [Google Scholar] [CrossRef]
- Tuerk, A.; Frieden, D.; Neumann, C.; Latanis, K.; Tsitsanis, A.; Kousouris, S.; Llorente, J.; Heimonen, I.; Reda, F.; Ala-Juusela, M.; et al. Integrating Plus Energy Buildings and Districts with the EU Energy Community Framework: Regulatory Opportunities, Barriers and Technological Solutions. Buildings 2021, 11, 468. [Google Scholar] [CrossRef]
- Junker, R.G.; Azar, A.G.; Lopes, R.A.; Lindberg, K.B.; Reynders, G.; Relan, R.; Madsen, H. Characterizing the energy flexibility of buildings and districts. Appl. Energy 2018, 225, 175–182. [Google Scholar] [CrossRef]
- Mehrjerdi, H.; Iqbal, A.; Rakhshani, E.; Torres, J.R. Daily-seasonal operation in net-zero energy building powered by hybrid renewable energies and hydrogen storage systems. Energy Convers. Manag. 2019, 201, 112156. [Google Scholar] [CrossRef]
- Florio, P.; Tendon, X.; Fleury, J.; Costantini, C.; Schueler, A.; Scartezzini, J.-L. Performance Assessment of a nZEB Carbon Neutral Living/Office Space and Its Integration into a District Energy-Hub. Energies 2022, 15, 793. [Google Scholar] [CrossRef]
- Castillo-Calzadilla, T.; Fessler, S.; Borges, C.E.; Andonegui, C.M. Urban District Modelling Simulation-Based Analysis: Under Which Scenarios Can We Achieve a Positive Energy District? In Proceedings of the 2021 18th International Multi-Conference on Systems, Signals & Devices (SSD), Monastir, Tunisia, 22–25 March 2021; pp. 1107–1114. [Google Scholar] [CrossRef]
- Makvandia, G. Safiuddin Obstacles to Developing Net-Zero Energy (NZE) Homes in Greater Toronto Area. Buildings 2021, 11, 95. [Google Scholar] [CrossRef]
- Zhang, X.; Penaka, S.; Giriraj, S.; Sánchez, M.; Civiero, P.; Vandevyvere, H. Characterizing Positive Energy District (PED) through a Preliminary Review of 60 Existing Projects in Europe. Buildings 2021, 11, 318. [Google Scholar] [CrossRef]
- European Commission. JRC Photovoltaic Geographical Information System (PVGIS)—European Commission. Available online: https://re.jrc.ec.europa.eu/pvg_tools/en/tools.html#PVP (accessed on 13 July 2021).
- Instituto Para la Diversificación y Ahorro de la Energía (IDAE). Calificación de Efficiencia Energética de Edificios; IDEA: Madrid, India, 2009. [Google Scholar]
- Directive 2010/31/EU of the European Parliament and of the Council of 19 May 2010 on the Energy Performance of Buildings. Available online: https://eur-lex.europa.eu/LexUriServ/LexUriServ.do?uri=OJ:L:2010:153:0013:0035:EN:PDF (accessed on 20 January 2022).
- Forococheselectricos. Así es la Curva de Carga del Volkswagen ID.3 Pro Performance: Se Mantiene a 100 kW Hasta Llegar al 40% de Carga. Available online: https://forococheselectricos.com/2020/10/curva-carga-volkswagen-id-3-pro-performance.html (accessed on 23 October 2020).
- Instituto Nacional de Estadística. Km Medios Recorridos al Año por los Vehículos para uso Personal, por Relación con la Actividad Económica de la Persona de Referencia y Antigüedad del Vehículo. 2008. Available online: https://www.ine.es/jaxi/Datos.htm?path=/t25/p500/2008/p08/l0/&file=08019.px (accessed on 14 July 2021).
- Instituto Para la Diversificación y Ahorro de la Energía (IDAE). Consumo y Emisiones de CO2. Vehículos Nuevos. 2016. Available online: http://coches.idae.es/consumo-de-carburante-y-emisiones (accessed on 19 July 2021).
- Volkswagen España. How Can I upload? Available online: https://www.volkswagen.es/es/electricos-hibridos/carga/como-puedo-cargar.html (accessed on 14 July 2021).
- Make a Good Choice: What Is the Difference between a Home with an a Energy Rating and a g Energy Rating? Available online: https://www.ennaranja.com/hipotecas/elegir-bien/elige-bien-que-diferencia-hay-entre-una-vivienda-con-calificacion-energetica-a-y-g/ (accessed on 13 December 2021).
- Pressmair, G.; Kapassa, E.; Casado-Mansilla, D.; Borges, C.E.; Themistocleous, M. Overcoming barriers for the adoption of Local Energy and Flexibility Markets: A user-centric and hybrid model. J. Clean. Prod. 2021, 317, 128323. [Google Scholar] [CrossRef]
- Baek, S.G. Plan for the Sustainability of Public Buildings through the Energy Efficiency Certification System: Case Study of Public Sports Facilities, Korea. Buildings 2021, 11, 589. [Google Scholar] [CrossRef]
- Wang, R.; Lu, S.; Feng, W. A three-stage optimization methodology for envelope design of passive house considering energy demand, thermal comfort and cost. Energy 2019, 192, 116723. [Google Scholar] [CrossRef]






| Scenario | RES with ESS | PED | Lighting | Energy Label | EVs (#) | Annual Balance (kWh) | Emissions Saved by E-Mobility (Tonnes of CO2eq) | Emissions Saved by Use of RES (Tonnes of CO2eq) | Total Emissions Saved (Tonnes of CO2eq) |
|---|---|---|---|---|---|---|---|---|---|
| 1 | Yes | No | Conventional | E | 405 | −7652.83 | 12,855 | 13,717 | 26,573 |
| 2 | Yes | No | Conventional | D | 405 | −6217.80 | 12,855 | 11,921 | 24,777 |
| 3 | Yes | No | LED | C | 405 | −4191.88 | 12,855 | 9816 | 22,673 |
| 4 | Yes | Yes | LED | B | 550 | 141.43 | 17,450 | 3945 | 21,396 |
| 5 | Yes | Yes | LED | A | 695 | 2670.94 | 22,044 | 349 | 22,393 |
Publisher’s Note: MDPI stays neutral with regard to jurisdictional claims in published maps and institutional affiliations. |
© 2022 by the authors. Licensee MDPI, Basel, Switzerland. This article is an open access article distributed under the terms and conditions of the Creative Commons Attribution (CC BY) license (https://creativecommons.org/licenses/by/4.0/).
Share and Cite
Castillo-Calzadilla, T.; Alonso-Vicario, A.; Borges, C.E.; Martin, C. E-Mobility in Positive Energy Districts. Buildings 2022, 12, 264. https://doi.org/10.3390/buildings12030264
Castillo-Calzadilla T, Alonso-Vicario A, Borges CE, Martin C. E-Mobility in Positive Energy Districts. Buildings. 2022; 12(3):264. https://doi.org/10.3390/buildings12030264
Chicago/Turabian StyleCastillo-Calzadilla, Tony, Ainhoa Alonso-Vicario, Cruz E. Borges, and Cristina Martin. 2022. "E-Mobility in Positive Energy Districts" Buildings 12, no. 3: 264. https://doi.org/10.3390/buildings12030264
APA StyleCastillo-Calzadilla, T., Alonso-Vicario, A., Borges, C. E., & Martin, C. (2022). E-Mobility in Positive Energy Districts. Buildings, 12(3), 264. https://doi.org/10.3390/buildings12030264
