Experimental Study on Shear Behavior of Precast High-Strength Concrete Segmental Beams with External Tendons and Dry Joints
Abstract
:1. Introduction
2. Experimental Program
2.1. Design of Specimens
2.2. Materials of Specimens
2.3. Fabrication of Specimens
2.4. Test Setup and Instrumentation
3. Test Results and Discussion
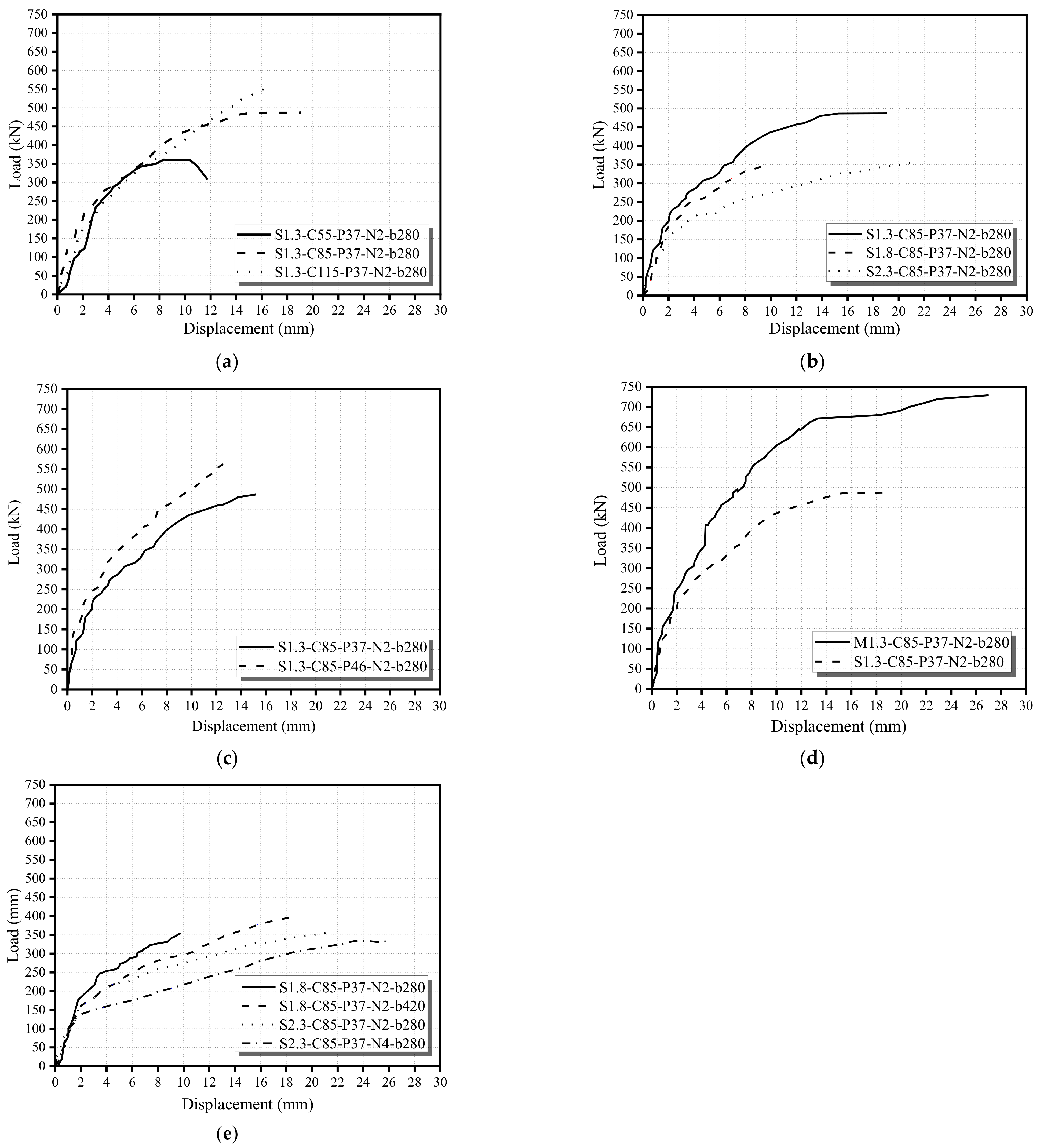
3.1. Cracking Propagations and Failure Modes
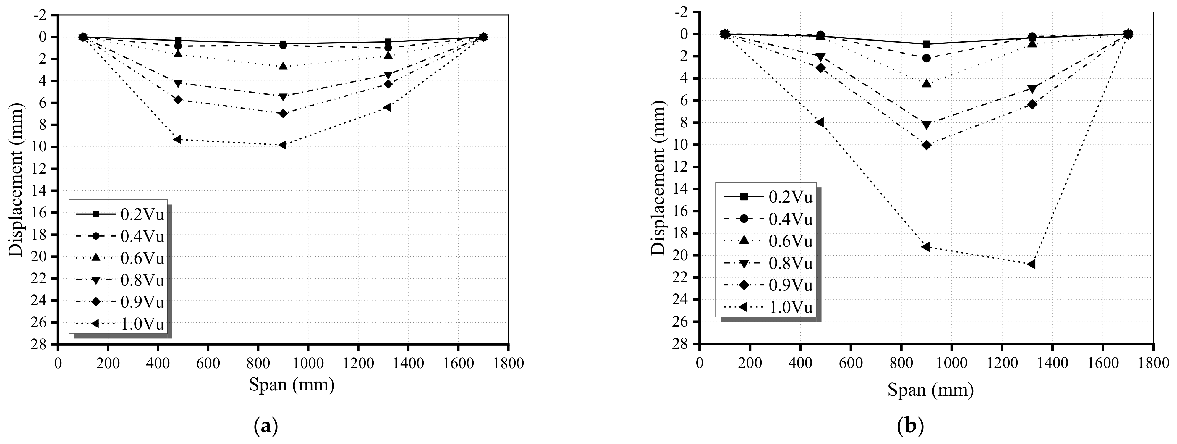
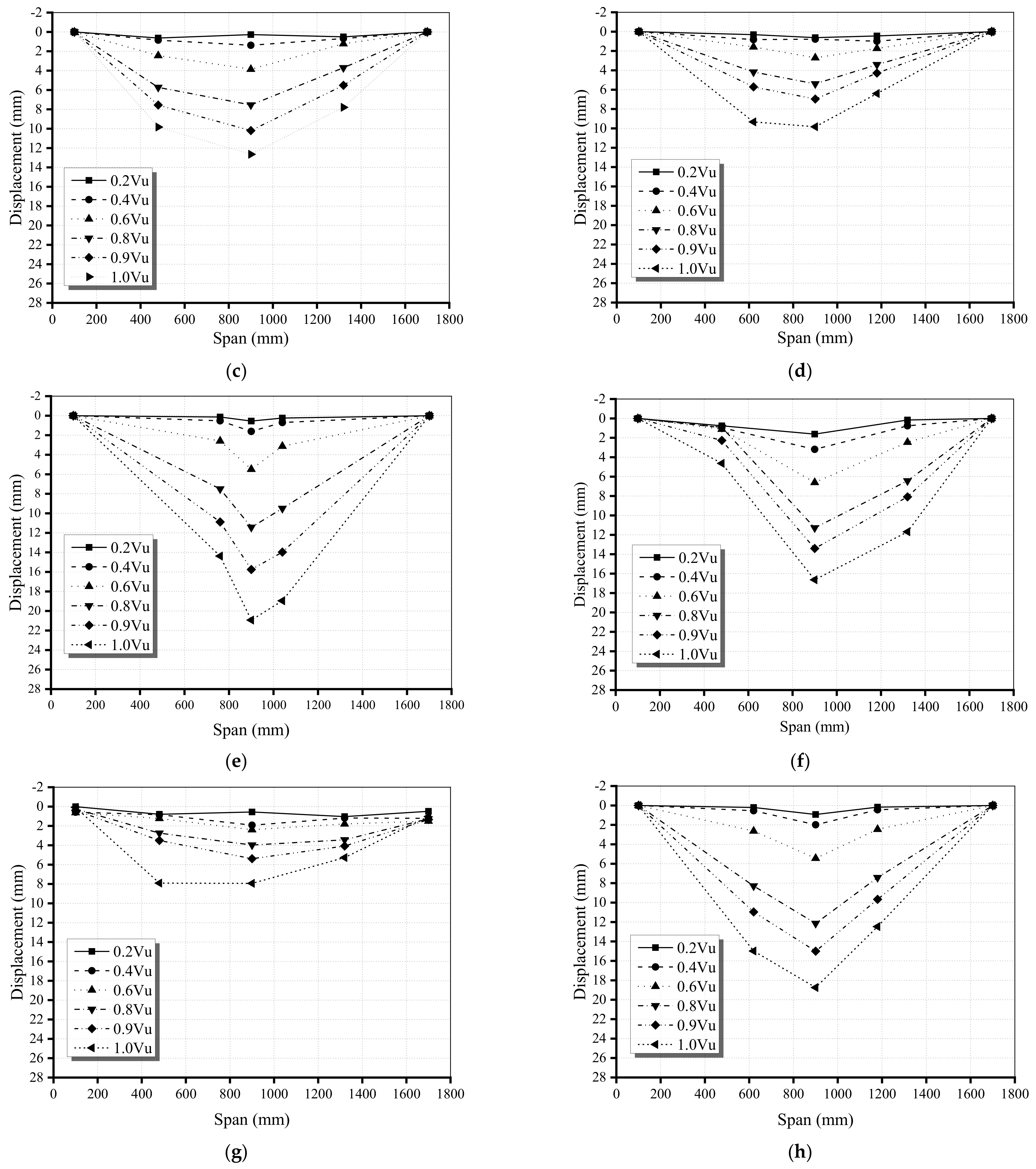
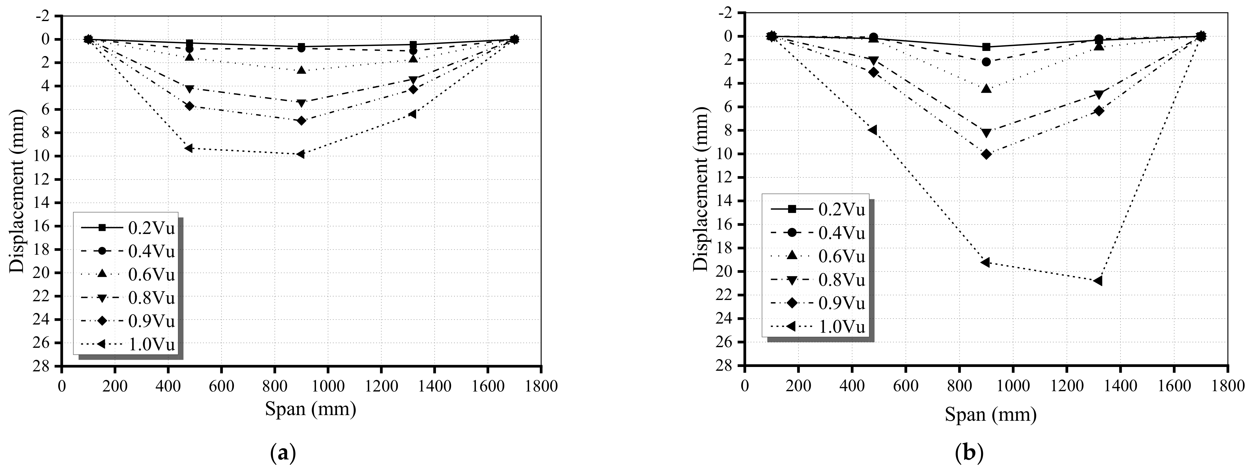
3.2. Deflection Characteristics
3.3. Variations of Tendons Stresses
3.4. Opening Width of Joints
3.5. Steel Strain Variations
3.6. Effect of Test Parameters on Ultimate Load Capacity
3.6.1. Concrete Strength
3.6.2. Shear Span-Depth Ratio
3.6.3. Stirrup Ratio
3.6.4. Joint Number and Joint Location
4. Comparison of Experimental Results with Theoretical Prediction
4.1. AASHTO 2017
4.2. Chinese Code 2018
4.3. Comparison between ACI 318-14 and Test Results
5. Recommendation
Shear Capacity Equation Based on Modified STM
6. Conclusions
- For monolithic beams, the flexural cracks were initiated first at the bottom of the web. The initial web-shear cracks of the segmental beams occurred from the root of the shear keys. These web cracks propagated along the line linking the loading point and the support, and a diagonal primary crack caused the shear failure of the monolithic and segmental beams. The higher the concrete strength and the higher the stirrup ratio, the fewer cracks were observed in the segmental beams when failure occurred.
- The tension stress in external tendons kept almost constant until the opening of the joints. After joints opened, the tension stress increased rapidly while the increasing rate of the load is descended.
- The segmental beams with external tendons and dry joints reduced the shear strength by about 30% compared to the monolithic beam. Increasing the strength of concrete or stirrup ratio can effectively improve the ultimate shear capacity of the precast high-strength segmental beams. The shear span-depth ratio is inversely proportional to ultimate shear capacity for all specimens.
- The average ratios of the experimental results to the predictions by AASHTO 2017 and Chinese Code 2018 were 2.12 and 1.80, with a standard deviation of 0.58, and 0.44, respectively. AASHTO 2017 calculations show an over-conservative estimation of shear strengths for test beams. When it was extended to calculate the shear strength of ED-PHCSBs, the calculated results of Chinese Code 2018 were closer to the experimental results than those by AASHTO 2017.
- The ACI 318-14 Appendix A provisions predicted the shear strength of precast high-strength concrete segmental beams conservatively; the average ratio of experimental shear strength to the calculated value was 1.74 with a standard deviation of 0.24. The calculation value of the concrete struts in ACI 318-14 Appendix A provision is significantly larger than the ties. The failure controlling factor of the test beams is determined by the controlling factor of ties. It was contradicted by the fact that some test beams were destroyed by the concrete shear compression.
- The modified STM presented in this paper comprehensively considered two failure modes of concrete shear failure and steel strand fracture. The reduction factor of 0.85 for the effect of dry joints based on AASHTO 2003 was adopted to predict the shear capacity of ED-PHCSBs. The average ratios of experimental shear strengths to the calculated values by modified STM were 0.98 with a standard deviation of 0.08. It is indicated that the strength reducing factor of 0.85 suiting for the conventional concrete also calculate accurately to the ultimate shear strength of ED-PHCSBs.
Author Contributions
Funding
Conflicts of Interest
References
- Muller, J. Construction of Long Key Bridge. PCI J. 1980, 25, 97–111. [Google Scholar] [CrossRef]
- Brockmann, C.; Rogenhofer, H. Bang Na Expressway, Bangkok, Thailand—World’s longest bridge and largest precasting operation. J. Prestress. Concr. Inst. 2000, 45, 26–38. [Google Scholar] [CrossRef]
- Zhang, Y.J. Cantilever erection of PC continuous rigid-frame main span of Zhuhai-Macau Lotus Bridge. World Bridges 2003, 02, 12–15. (In Chinese) [Google Scholar]
- Huang, H.J.; Xiao, X.Y. Erection Control on Precast assembly segmental Bridges in Humen Second Bridge by short-line match casting method. J. Highw. Transp. Res. Dev. 2016, 07, 198–200. (In Chinese) [Google Scholar]
- Jiang, H.; Chen, L.; Ma, Z.J.; Feng, W. Shear Behavior of Dry Joints with Castellated Keys in Precast Concrete Segmental Bridges. J. Bridge Eng. 2015, 20, 04014062. [Google Scholar] [CrossRef]
- Jiang, H.; Wei, R.; Ma, Z.J.; Li, Y.; Jing, Y. Shear Strength of Steel Fiber-Reinforced Concrete Dry Joints in Precast Segmental Bridges. J. Bridge Eng. 2016, 21, 04016085. [Google Scholar] [CrossRef]
- Liu, T.; Wang, Z.; Guo, J.; Wang, J. Shear Strength of Dry Joints in Precast UHPC Segmental Bridges: Experimental and Theoretical Research. J. Bridge Eng. 2019, 24, 04018100. [Google Scholar] [CrossRef]
- Yuan, A.; Zhao, X.; Lu, R. Experimental investigation on shear performance of fiber-reinforced high-strength concrete dry joints. Eng. Struct. 2020, 223, 111159. [Google Scholar] [CrossRef]
- AASHTO. Guide Specifications for Design and Construction of Segmental Concrete Bridges: 2003 Interim Revision, 2nd ed.; AASHTO: Washington, DC, USA, 2003. [Google Scholar]
- Aparicio, A.C.; Ramos, G.; Casas, J. Testing of externally prestressed concrete beams. Eng. Struct. 2002, 24, 73–84. [Google Scholar] [CrossRef]
- Li, G.; Zhang, C.; Niu, C. Experimental Study on Shear Behavior in Negative Moment Regions of Segmental Externally Prestressed Concrete Continuous Beams. J. Bridge Eng. 2013, 18, 328–338. [Google Scholar] [CrossRef]
- Ramos, G.; Aparicio, A.C. Ultimate Analysis of Monolithic and Segmental Externally Prestressed Concrete Bridges. J. Bridge Eng. 1996, 1, 10–17. [Google Scholar] [CrossRef]
- Ng, C.K. Tendon stress and flexural strength of externally prestressed beams. ACI Struct. J. 2003, 100, 644–653. [Google Scholar]
- Li, G.P.; Zhang, G.Q. Experimental study on the flexural behavior of externally prestressed concrete continuous beams. China Civ. Eng. J. 2007, 40, 53–57. (In Chinese) [Google Scholar]
- Yuan, A.; Dai, H.; Sun, D.; Cai, J. Behaviors of segmental concrete box beams with internal tendons and external tendons under bending. Eng. Struct. 2013, 48, 623–634. [Google Scholar] [CrossRef]
- Jiang, H.; Cao, Q.; Liu, A.; Wang, T.; Qiu, Y. Flexural behavior of precast concrete segmental beams with hybrid tendons and dry joints. Constr. Build. Mater. 2016, 110, 1–7. [Google Scholar] [CrossRef]
- Koseki, K.; Breen, J.E. Exploratory Study of Shear Strength of Joints for Precast Segmental Bridges. Dryness 1983. Available online: https://trid.trb.org/view/200691 (accessed on 4 December 2020).
- Li, G.P. Experimental study on the shear behavior of simply-supported externally prestressed concrete beams. China Civ. Eng. J. 2007, 40, 58–63. (In Chinese) [Google Scholar]
- Li, G.; Yang, D.; Lei, Y. Combined Shear and Bending Behavior of Joints in Precast Concrete Segmental Beams with External Tendons. J. Bridge Eng. 2013, 18, 1042–1052. [Google Scholar] [CrossRef] [Green Version]
- Yuan, A.; He, Y.; Dai, H.; Cheng, L. Experimental Study of Precast Segmental Bridge Box Girders with External Unbonded and Internal Bonded Posttensioning under Monotonic Vertical Loading. J. Bridge Eng. 2015, 20, 04014075. [Google Scholar] [CrossRef]
- Jiang, H.; Li, Y.; Liu, A.; Ma, Z.J.; Chen, L.; Chen, Y. Shear Behavior of Precast Concrete Segmental Beams with External Tendons. J. Bridge Eng. 2018, 23, 04018049. [Google Scholar] [CrossRef]
- Jiang, H.; Li, Y.; Liu, A.; Chen, L.; Chen, Y.; Xiao, J. Experimental Study on Shear Behavior of Precast Concrete Segmental Beams with Hybrid Tendons and Dry Joints. KSCE J. Civ. Eng. 2019, 23, 4354–4367. [Google Scholar] [CrossRef]
- Xiao, J.; Xu, Z.; Murong, Y.; Wang, L.; Lei, B.; Chu, L.; Jiang, H.; Qu, W. Effect of Chemical Composition of Fine Aggregate on the Frictional Behavior of Concrete–Soil Interface under Sulfuric Acid Environment. Fractal Fract. 2022, 6, 22. [Google Scholar] [CrossRef]
- Xiao, J.; Long, X.; Qu, W.; Li, L.; Jiang, H.; Zhong, Z. Influence of sulfuric acid corrosion on concrete stress–strain relationship under uniaxial compression. Measurement 2022, 187, 110318. [Google Scholar] [CrossRef]
- ACI Committee 318. Building Code Requirements for Structural Concrete; American Concrete Institute: Farmington Hills, MI, USA, 2014. [Google Scholar]
- AASHTO LRFD 2017 Bridge Design Specifications; AASHTO: Washington, DC, USA, 2017.
- JTG 3362-2018 Specifications for Design of Highway Reinforced Concrete and Prestressed Concrete Bridges and Culverts. 2018. Available online: http://std.samr.gov.cn/gb/ (accessed on 4 December 2020).
- American Society for Testing and Materials (ASTM). Standard Specification for Portland Cement (ASTM C150/C150M-17); American Society for Testing and Materials (ASTM): West Conshohocken, PA, USA, 2017. [Google Scholar]


















| Specimens | Stirrup Ratio Shear Span Number (%) | Concrete Strength | Number of Joints | Shear Span Ratio (a/h) | Test Parameter |
|---|---|---|---|---|---|
| M1.3-C85-P37-None-None | 0.37 | 81.09 | 0 | 1.3 | Construction method |
| S1.3-C85-P37-N2-b280 | 0.37 | 84.30 | 2 | 1.3 | Benchmark beam |
| S1.3-C85-P46-N2-b280 | 0.46 | 84.30 | 2 | 1.3 | Stirrup ratio |
| S1.8-C85-P37-N2-b280 | 0.37 | 86.64 | 2 | 1.8 | Shear span ratio |
| S2.3-C85-P37-N2-b280 | 0.37 | 85.46 | 2 | 2.3 | Shear span ratio |
| S1.3-C115-P37-N2-b280 | 0.37 | 114.85 | 2 | 1.3 | Concrete strength |
| S1.3-C55-P37-N2-b280 | 0.37 | 53.97 | 2 | 1.3 | Concrete strength |
| S1.8-C85-P37-N2-b420 | 0.37 | 85.46 | 2 | 1.8 | Joint location |
| S2.3-C85-P37-N4-b280 | 0.37 | 83.12 | 4 | 2.3 | Joint number |
| Concrete Type | Concrete Strength (MPa) | Elastic Modulus (GPa) | ||||||||
|---|---|---|---|---|---|---|---|---|---|---|
| 1 | 2 | 3 | Average Value (MPa) | Standard Deviation | 1 | 2 | 3 | Average Value (GPa) | Standard Deviation | |
| C55 | 53.97 | 57.41 | 50.53 | 53.97 | 2.81 | 32.30 | 40.32 | 35.41 | 36.01 | 3.30 |
| C85 | 82.73 | 88.13 | 83.78 | 84.88 | 2.34 | 40.80 | 40.18 | 39.59 | 40.19 | 2.21 |
| C115 | 114.86 | 116.04 | 113.65 | 114.85 | 0.98 | 44.56 | 48.48 | 43.28 | 45.44 | 0.49 |
| Concrete Type | Mixture Quantity (kg/m3) | |||||
|---|---|---|---|---|---|---|
| Coarse Aggregate | Sand | Water | Cement | Silica Fume | Super-Plasticizer | |
| C55 | 1234 | 608 | 200 | 408 | — | 4.88 |
| C85 | 1208 | 650 | 140 | 447 | — | 9.76 |
| C115 | — | 960 | 232 | 800 | 240 | 46 |
| Specimens | Ultimate Loads (kN) | Cracking Loads (kN) | Stress Increments of External Tendon ∆f (MPa) | Maximum Deflection at Midspan (mm) | Failure Modes | |||
|---|---|---|---|---|---|---|---|---|
| #1 | #2 | #3 | #4 | |||||
| M1.3-C85-P37-None-None | 729.0 | 364.6 | 771.9 | 817.5 | 927.0 | 470.8 | 23.604 | SC |
| S1.3-C85-P37-N2-b280 | 487.5 | 247.9 | 729.9 | 746.4 | 875.9 | 890.5 | 19.228 | SC |
| S1.3-C85-P46-N2-b280 | 565.2 | 253.1 | 618.6 | 715.3 | 833.9 | 885.0 | 12.646 | SC |
| S1.8-C85-P37-N2-b280 | 360.1 | 254.3 | 372.3 | 344.9 | 476.3 | 465.3 | 9.828 | SC |
| S2.3-C85-P37-N2-b280 | 358.0 | 218 | 788.3 | 801.1 | 861.3 | 852.2 | 20.934 | SC |
| S1.3-C115-P37-N2-b280 | 556.0 | 230 | 593.1 | 573 | 709.9 | 691.6 | 16.636 | AT |
| S1.3-C55-P37-N2-b280 | 363.0 | 222.9 | 386.9 | 390.5 | 498.2 | 505.5 | 7.937 | SC |
| S1.8-C85-P37-N2-b420 | 402.2 | 180 | 625.9 | 636.9 | 788.3 | 768.2 | 18.746 | SC |
| S2.3-C85-P37-N4-b280 | 339.5 | 156.8 | 660.6 | 748.2 | 863.1 | 826.6 | 23.681 | SC |
| Specimens | bv (mm) | dv (mm) | θ (°) | β | s (mm) | Shear Strength (kN) | VE/VA | |||
|---|---|---|---|---|---|---|---|---|---|---|
| VE | VA | |||||||||
| M1.3-C85-P37-None-None | 81.09 | 110.00 | 280.00 | 57.00 | 45.00 | 2.00 | 140 | 364.50 | 106.45 | 3.42 |
| S1.3-C85-P37-N2-b280 | 84.30 | 110.00 | 280.00 | 57.00 | 45.00 | 2.00 | 140 | 243.75 | 107.37 | 2.27 |
| S1.3-C85-P46-N2-b280 | 84.30 | 110.00 | 280.00 | 57.00 | 45.00 | 2.00 | 95 | 286.00 | 120.11 | 2.38 |
| S1.8-C85-P37-N2-b280 | 86.64 | 110.00 | 280.00 | 57.00 | 45.00 | 2.00 | 140 | 180.05 | 108.02 | 1.67 |
| S2.3-C85-P37-N2-b280 | 85.46 | 110.00 | 280.00 | 57.00 | 45.00 | 2.00 | 140 | 179.00 | 107.69 | 1.66 |
| S1.3-C115-P37-N2-b280 | 114.8 | 110.00 | 280.00 | 57.00 | 45.00 | 2.00 | 140 | 278.00 | 115.32 | 2.41 |
| S1.3-C55-P37-N2-b280 | 53.97 | 110.00 | 280.00 | 57.00 | 45.00 | 2.00 | 140 | 181.50 | 97.86 | 1.85 |
| S1.8-C85-P37-N2-b420 | 85.46 | 110.00 | 280.00 | 57.00 | 45.00 | 2.00 | 140 | 201.10 | 107.69 | 1.87 |
| S2.3-C85-P37-N4-b280 | 83.12 | 110.00 | 280.00 | 57.00 | 45.00 | 2.00 | 140 | 169.50 | 107.03 | 1.58 |
| For all beams: the average of VE/VA is 2.12, with the standard deviations of 0.58. | ||||||||||
| Specimens | b (mm) | h0 (mm) | P | Shear Strength (kN) | VE/VJ | ||||
|---|---|---|---|---|---|---|---|---|---|
| VE | VJ | ||||||||
| M1.3-C85-P37-None-None | 81.09 | 110.00 | 280.00 | 282.99 | 5.00 | 1.65 | 364.50 | 134.98 | 2.70 |
| S1.3-C85-P37-N2-b280 | 84.30 | 110.00 | 280.00 | 282.99 | 5s.00 | 0.92 | 243.75 | 126.02 | 1.93 |
| S1.3-C85-P46-N2-b280 | 84.30 | 110.00 | 280.00 | 282.99 | 5.00 | 0.92 | 286.00 | 139.58 | 2.05 |
| S1.8-C85-P37-N2-b280 | 86.64 | 110.00 | 280.00 | 282.99 | 5.00 | 0.92 | 180.05 | 126.20 | 1.43 |
| S2.3-C85-P37-N2-b280 | 85.46 | 110.00 | 280.00 | 282.99 | 5.00 | 0.92 | 179.00 | 126.10 | 1.42 |
| S1.3-C115-P37-N2-b280 | 114.85 | 110.00 | 280.00 | 282.99 | 5.00 | 0.92 | 278.00 | 135.04 | 2.06 |
| S1.3-C55-P37-N2-b280 | 53.97 | 110.00 | 280.00 | 282.99 | 5.00 | 0.92 | 181.50 | 111.51 | 1.63 |
| S1.8-C85-P37-N2-b420 | 85.46 | 110.00 | 280.00 | 282.99 | 5.00 | 0.92 | 201.10 | 126.22 | 1.59 |
| S2.3-C85-P37-N4-b280 | 83.12 | 110.00 | 280.00 | 282.99 | 5.00 | 0.92 | 169.50 | 125.83 | 1.35 |
| For all beams: the average of VE/VA is 1.80, with the standard deviations of 0.44. | |||||||||
| Specimens | b (mm) | |||||||||
|---|---|---|---|---|---|---|---|---|---|---|
| M1.3-C85-P37-None-None | 150 | 38.29 | 0.62 | 183.26 | 110.00 | 20158.79 | 0.75 | 81.09 | 1042.106 | 646.11 |
| S1.3-C85-P37-N2-b280 | 150 | 38.29 | 0.62 | 183.26 | 110.00 | 20158.79 | 0.75 | 84.30 | 1083.359 | 671.68 |
| S1.3-C85-P46-N2-b280 | 150 | 38.29 | 0.62 | 183.26 | 110.00 | 20158.79 | 0.75 | 84.30 | 1083.359 | 671.68 |
| S1.8-C85-P37-N2-b280 | 150 | 29.98 | 0.50 | 174.61 | 110.00 | 19207.43 | 0.75 | 86.64 | 1060.884 | 530.44 |
| S1.3-C115-P37-N2-b280 | 150 | 38.29 | 0.62 | 183.26 | 110.00 | 20158.79 | 0.75 | 114.85 | 1475.964 | 915.10 |
| S1.3-C55-P37-N2-b280 | 150 | 38.29 | 0.62 | 183.26 | 110.00 | 20158.79 | 0.75 | 53.97 | 693.5808 | 430.02 |
| S1.8-C85-P37-N2-b420 | 150 | 29.98 | 0.50 | 174.61 | 110.00 | 19207.43 | 0.75 | 85.46 | 1046.435 | 523.22 |
| Specimens | ||||||||
|---|---|---|---|---|---|---|---|---|
| M1.3-C85-P37-None-None | 226.20 | 461.50 | 219.20 | 961.00 | 1674.00 | 0.79 | 232.07 | 372.10 |
| S1.3-C85-P37-N2-b280 | 0.00 | 461.50 | 219.20 | 892.50 | 1674.00 | 0.79 | 144.14 | 289.69 |
| S1.3-C85-P46-N2-b280 | 0.00 | 461.50 | 219s.20 | 895.25 | 1674.00 | 0.79 | 144.58 | 289.69 |
| S1.8-C85-P37-N2-b280 | 0.00 | 461.50 | 219.20 | 870.00 | 1674.00 | 0.58 | 127.16 | 211.70 |
| S1.3-C115-P37-N2-b280 | 0.00 | 461.50 | 219.20 | 878.25 | 1674.00 | 0.79 | 134.78 | 289.69 |
| S1.3-C55-P37-N2-b280 | 0.00 | 461.50 | 219.20 | 834.75 | 1674.00 | 0.79 | 116.07 | 289.69 |
| S1.8-C85-P37-N2-b420 | 0.00 | 461.50 | 219.20 | 718.75 | 1674.00 | 0.58 | 104.91 | 211.70 |
| Specimens | Calculated Results Based on ACI 318-14 | Calculated Results Based on Modified STM | |||||||
|---|---|---|---|---|---|---|---|---|---|
| Control Factors | |||||||||
| M1.3-C85-P37-None-None | 646.11 | 232.07 | 232.07 | 340.47 | 372.10 | 340.47 | Struts | 364.50 | 1.07 |
| S1.3-C85-P37-N2-b280 | 671.68 | 144.14 | 144.14 | 289.40 | 289.69 | 289.40 | Struts | 243.75 | 0.84 |
| S1.3-C85-P46-N2-b280 | 671.68 | 144.58 | 144.58 | 289.40 | 289.69 | 289.40 | Struts | 286.00 | 0.99 |
| S1.8-C85-P37-N2-b280 | 530.44 | 127.16 | 127.16 | 193.45 | 211.70 | 193.45 | Struts | 180.05 | 0.93 |
| S1.3-C115-P37-N2-b280 | 915.10 | 134.78 | 134.78 | 394.27 | 289.69 | 289.69 | Ties | 278.00 | 0.96 |
| S1.3-C55-P37-N2-b280 | 430.02 | 116.07 | 116.07 | 185.28 | 289.69 | 185.28 | Struts | 181.50 | 0.98 |
| S1.8-C85-P37-N2-b420 | 523.22 | 104.91 | 104.91 | 190.81 | 211.70 | 190.81 | Struts | 201.10 | 1.05 |
| For all beams calculated based on ACI 318-14: the average of / is 1.74, with the STDEVA being 0.24. For all beams calculated based on modified STM: the average of / is 0.98, with the STDEVA being 0.08. | |||||||||
Publisher’s Note: MDPI stays neutral with regard to jurisdictional claims in published maps and institutional affiliations. |
© 2022 by the authors. Licensee MDPI, Basel, Switzerland. This article is an open access article distributed under the terms and conditions of the Creative Commons Attribution (CC BY) license (https://creativecommons.org/licenses/by/4.0/).
Share and Cite
Hu, Z.; Xu, Z.; Zhang, S.; Jiang, H.; Chen, Y.; Xiao, J. Experimental Study on Shear Behavior of Precast High-Strength Concrete Segmental Beams with External Tendons and Dry Joints. Buildings 2022, 12, 134. https://doi.org/10.3390/buildings12020134
Hu Z, Xu Z, Zhang S, Jiang H, Chen Y, Xiao J. Experimental Study on Shear Behavior of Precast High-Strength Concrete Segmental Beams with External Tendons and Dry Joints. Buildings. 2022; 12(2):134. https://doi.org/10.3390/buildings12020134
Chicago/Turabian StyleHu, Zebin, Zhenming Xu, Shufeng Zhang, Haibo Jiang, Yuanhang Chen, and Jie Xiao. 2022. "Experimental Study on Shear Behavior of Precast High-Strength Concrete Segmental Beams with External Tendons and Dry Joints" Buildings 12, no. 2: 134. https://doi.org/10.3390/buildings12020134
APA StyleHu, Z., Xu, Z., Zhang, S., Jiang, H., Chen, Y., & Xiao, J. (2022). Experimental Study on Shear Behavior of Precast High-Strength Concrete Segmental Beams with External Tendons and Dry Joints. Buildings, 12(2), 134. https://doi.org/10.3390/buildings12020134

