Properties of Mortar Containing Recycled Fine Aggregate Modified by Microbial Mineralization
Abstract
1. Introduction
2. Materials and Methods
2.1. Bacteria Strain
2.2. Recycled Fine Aggregate (RFA)
2.3. Optimization of Microbial Mineralization Conditions
2.4. Microbial-Mineralization Modification Process of RFA
2.5. Performance Evaluation of Modified RFA
2.5.1. Water Absorption
2.5.2. Crushing Index
2.6. Mortar Specimen Preparation
2.7. Performance Evaluation of Mortars
2.8. Microstructure Investigation
2.8.1. Characterization of Biodeposition Precipitation
2.8.2. Pore Structure Analysis of Mortars
3. Results and Discussion
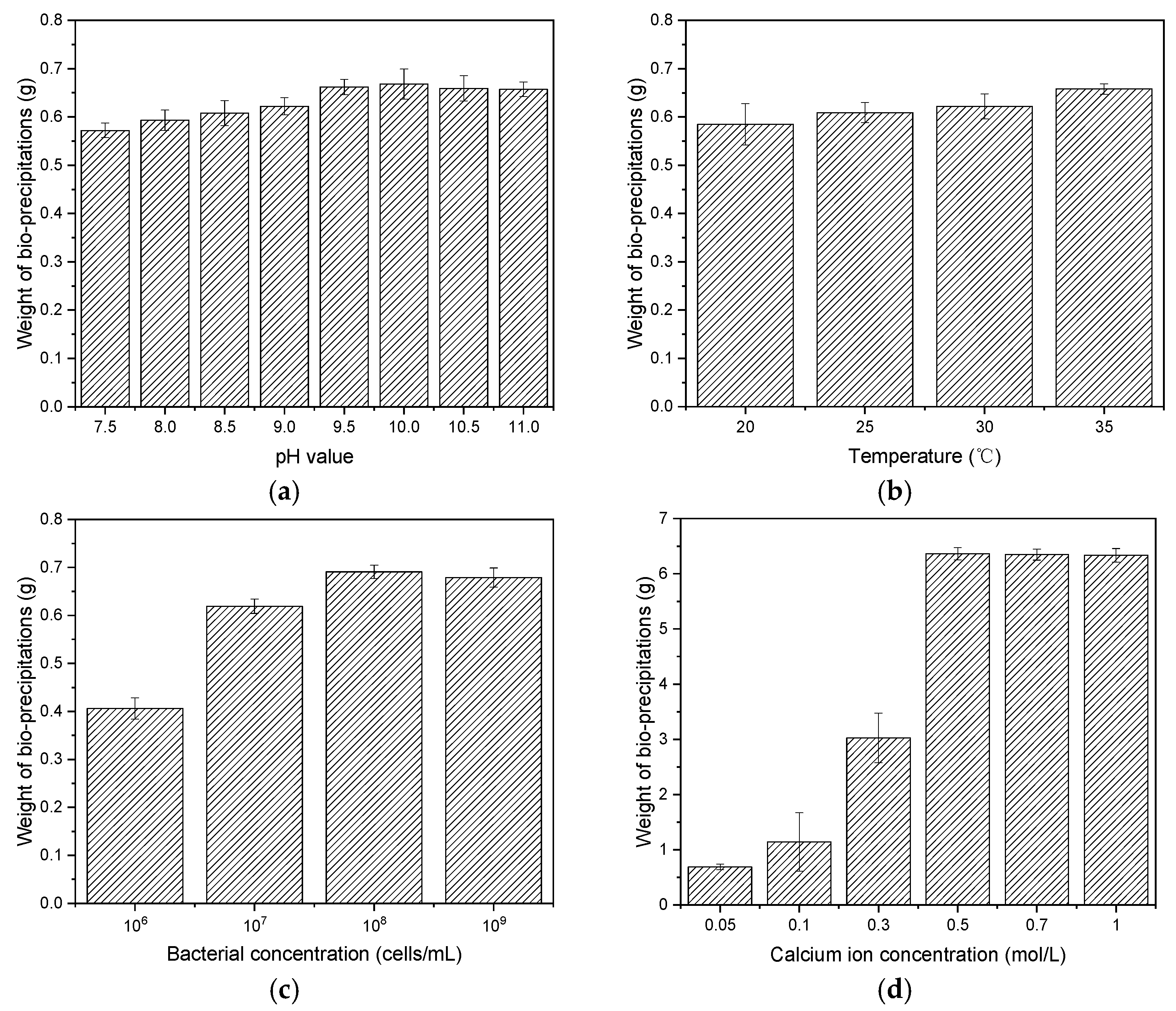
3.1. Optimization of Microbial Mineralization Conditions
3.2. Microbial-Mineralization-Modification Effect of RFA
3.3. Properties of Modified Recycled Mortar
3.3.1. Fluidity
3.3.2. Flexural and Compressive Strength
3.3.3. Resistance to Chloride Ion Penetration
3.3.4. Pore Structure Analysis of Modified Recycled Mortar
4. Conclusions
- The quality of the RFA was improved after microbial mineralization modification. The water absorption and crushing index of the modified RFA decreased by 25.7% and 4.2%, respectively. Compared with crushing index, the water absorption of the RFA was improved more obviously.
- The workability, mechanical performance and chloride ion penetration resistance of the recycled mortar were obviously inferior to those of the ordinary mortar. Microbial-mineralization pretreatment of the RFA enhanced the performance of the recycled mortar. Compared with the recycled mortar, the fluidity of the modified recycled mortar was 7.3% higher, the compressive strength of 28d was 7.0% higher and the 6h electric flux was 18.8% lower.
- The pore structure of the modified recycled mortar was improved. Compared with the unmodified recycled mortar, the porosity of the modified recycled mortar was reduced and the pore diameter had a clear trend of refinement.
5. Future Recommendations
Author Contributions
Funding
Data Availability Statement
Conflicts of Interest
References
- Wang, R.J.; Yu, N.N.; Li, Y. Methods for improving the microstructure of recycled concrete aggregate: A review. Constr. Build. Mater. 2020, 242, 118164. [Google Scholar] [CrossRef]
- Tam, V.W.Y.; Wattage, H.; Le, K.N.; Buteraa, A.; Soomro, M. Methods to improve microstructural properties of recycled concrete aggregate: A critical review. Constr. Build. Mater. 2021, 270, 121490. [Google Scholar] [CrossRef]
- Kisku, N.; Joshi, H.; Ansari, M.; Panda, S.K.; Nayak, S.; Dutta, S.C. A critical review and assessment for usage of recycled aggregate as sustainable construction material. Constr. Build. Mater. 2017, 131, 721–740. [Google Scholar] [CrossRef]
- Marvila, M.T.; Azevedo, A.R.G.; Monteiro, S.N. Verification of the application potential of the mathematical models of lyse, abrams and molinari in mortars based on cement and lime. J. Mater. Res. Technol. 2020, 9, 7327–7334. [Google Scholar] [CrossRef]
- Azevedo, A.R.; Marvila, M.T.; Zanelato, E.B.; Alexandre, J.; Xavier, G.C.; Cecchin, D. Development of mortar for laying and coating with pineapple fibers. Rev. Bras. Eng. Agr. Amb. 2020, 24, 187–193. [Google Scholar] [CrossRef]
- Raydan, R.; Khatib, J.; Jahami, A.; El Hamoui, A.K.; Chamseddine, F. Prediction of the mechanical strength of concrete containing glass powder as partial cement replacement material. Innov. Infrastruct. Solut. 2022, 7, 311. [Google Scholar] [CrossRef]
- Kou, S.C.; Poon, C.S.; Etxeberria, M. Influence of recycled aggregates on long term mechanical properties and pore size distribution of concrete. Cem. Concr. Compos. 2011, 33, 286–291. [Google Scholar] [CrossRef]
- Shi, C.; Li, Y.; Zhang, J.; Li, W.; Chong, L.; Xie, Z. Performance enhancement of recycled concrete aggregate: A review. J. Clean. Prod. 2016, 112, 466–472. [Google Scholar] [CrossRef]
- Wang, J.; Vandevyvere, B.; Vanhessche, S.; Schoon, J.; Boon, N.; Belie, N.D. Microbial carbonate precipitation for the improvement of quality of recycled aggregates. J. Clean. Prod. 2017, 156, 355–366. [Google Scholar] [CrossRef]
- Katz, A. Treatments for the Improvement of Recycled Aggregate. J. Mater. Civil. Eng. 2004, 16, 531–535. [Google Scholar] [CrossRef]
- Kou, S.C.; Poon, C.S. Properties of concrete prepared with PVA-impregnated recycled concrete aggregates. Cem. Concr. Compos. 2010, 32, 649–654. [Google Scholar] [CrossRef]
- Tsujino, M.; Noguchi, T.; Tamura, M.; Kanematsu, M.; Maruyama, I. Application of Conventionally Recycled Coarse Aggregate to Concrete Structure by Surface Modification Treatment. J. Adv. Concr. Technol. 2007, 5, 13–25. [Google Scholar] [CrossRef]
- Tam, V.W.Y.; Tam, C.M.; Le, K.N. Removal of cement mortar remains from recycled aggregate using pre-soaking approaches. Resour. Conserv. Recy. 2007, 50, 82–101. [Google Scholar] [CrossRef]
- Boquet, E.; Boronat, A.; Ramos-Cormenzana, A. Production of calcite (calcium carbonate) crystals by soil bacteria is a general phenomenon. Nature 1973, 246, 527–529. [Google Scholar] [CrossRef]
- Yu, X.N.; Rong, H. Seawater based MICP cements two-phase/one-phase cemented sand blocks. Appl. Ocean. Res. 2022, 118, 102972. [Google Scholar] [CrossRef]
- Yu, X.N.; Yang, H.Q.; Wang, H. A cleaner biocementation method of soil via microbially induced struvite precipitation: A experimental and numerical analysis. J. Environ. Manage. 2022, 316, 115280. [Google Scholar] [CrossRef] [PubMed]
- Qian, C.X.; Yu, X.N.; Zheng, T.W.; Chen, Y.Q. Review on bacteria fixing CO2 and bio-mineralization to enhance the performance of construction materials. J. CO2 Util. 2022, 55, 101849. [Google Scholar] [CrossRef]
- Muynck, W.D.; Belie, N.D.; Verstraete, W. Microbial carbonate precipitation in construction materials: A review. Ecol. Eng. 2010, 36, 118–136. [Google Scholar] [CrossRef]
- Wiktor, V.; Jonkers, H.M. Quantification of crack-healing in novel bacteria-based self-healing concrete. Cem. Concr. Compos. 2011, 33, 763–770. [Google Scholar] [CrossRef]
- Tittelboom, K.V.; Belie, N.D.; Muynck, W.D.; Verstraete, W. Use of bacteria to repair cracks in concrete. Cem. Concr. Res. 2010, 40, 157–166. [Google Scholar] [CrossRef]
- Grabiec, A.M.; Klama, J.; Zawal, D.; Krupa, D. Modification of recycled concrete aggregate by calcium carbonate biodeposition. Constr. Build. Mater. 2012, 34, 145–150. [Google Scholar] [CrossRef]
- Qiu, J.S.; Tng, D.; Yang, E.H. Surface treatment of recycled concrete aggregates through microbial carbonate precipitation. Constr. Build. Mater. 2014, 57, 144–150. [Google Scholar] [CrossRef]
- Zhao, Y.X.; Peng, L.G.; Zeng, W.L.; Poon, C.S.; Lu, Z.M. Improvement in properties of concrete with modified RCA by microbial induced carbonate precipitation. Cem. Concr. Compos. 2021, 124, 104251. [Google Scholar] [CrossRef]
- Wu, C.R.; Zhu, Y.G.; Zhang, X.T.; Kou, S.C. Improving the properties of recycled concrete aggregate with bio-deposition approach. Cem. Concr. Compos. 2018, 94, 248–254. [Google Scholar] [CrossRef]
- Zhu, Y.G.; Li, Q.Q.; Xu, P.Z.; Wang, X.R.; Kou, S.C. Properties of Concrete Prepared with Recycled Aggregates Treated by Bio-Deposition Adding Oxygen Release Compound. Matererials 2019, 12, 2147. [Google Scholar] [CrossRef]
- Zeng, W.L.; Zhao, Y.X.; Chi, S.P.; Zhang, Y.F.; Lu, Z.M.; Shah, S.P. Using microbial carbonate precipitation to improve the properties of recycled aggregate. Constr. Build. Mater. 2019, 228, 116743. [Google Scholar] [CrossRef]
- Singh, L.P.; Bisht, V.; Aswathy, M.S.; Chaurasia, L.; Gupta, S. Studies on performance enhancement of recycled aggregate by incorporating bio and nano materials. Constr. Build. Mater. 2018, 181, 217–226. [Google Scholar] [CrossRef]
- Feng, Z.Y.; Zhao, Y.X.; Zeng, W.L.; Lu, Z.M.; Shah, S.P. Using microbial carbonate precipitation to improve the properties of recycled fine aggregate and mortar. Constr. Build. Mater. 2020, 230, 116949. [Google Scholar] [CrossRef]
- Ouyang, J.Z.; Liu, K.W.; Sun, D.S.; Xu, W.Y.; Wang, A.G.; Ma, R. A focus on Ca2+ supply in microbial induced carbonate precipitation and its effect on recycled aggregate. J. Build. Eng. 2022, 51, 104334. [Google Scholar] [CrossRef]
- Wang, R.X.; Jin, P.; Ding, Z.C.; Zhang, W. Surface modification of recycled coarse aggregate based on Microbial Induced Carbonate Precipitation. J. Clean. Prod. 2021, 328, 129537. [Google Scholar] [CrossRef]
- Duan, Z.; Hou, S.; Xiao, J.; Li, B. Study on the essential properties of recycled powders from construction and demolition waste. J. Clean. Prod. 2020, 253, 119865. [Google Scholar] [CrossRef]
- Luo, M.; Liu, Y.; Li, X.; Dai, J. Crack self-healing of cement mortar containing ureolytic bacteria immobilized in artificial functional carrier under different exposure environments. Buildings 2022, 12, 1348. [Google Scholar] [CrossRef]
- Luo, M.; Li, X.; Liu, Y.; Jing, K. Application of artificial functional aggregates encapsulated bacteria for self-healing of cement mortars. J. Mater. Civil Eng. 2022, 34, 04022291. [Google Scholar] [CrossRef]
- Cuzman, O.A.; Rescic, S.; Richter, K.; Wittig, L.; Tiano, P. Sporosarcina pasteurii use in extreme alkaline conditions for recycling solid industrial wastes. J. Biotechnol. 2015, 214, 49–56. [Google Scholar] [CrossRef] [PubMed]
- Muynck, W.D.; Verbeken, K.; Belie, N.D.; Verstraete, W. Influence of temperature on the effectiveness of a biogenic carbonate surface treatment for limestone conservation. Appl. Microbiol. Biot. 2013, 97, 1335–1347. [Google Scholar] [CrossRef]
- Muynck, W.D.; Verbeken, K.; Belie, N.D.; Verstraete, W. Influence of urea and calcium dosage on the effectiveness of bacterially induced carbonate precipitation on limestone. Ecol. Eng. 2010, 36, 99–111. [Google Scholar] [CrossRef]
- Garcia-Gonzalez, J.; Rodriguez-Robles, D.; Wang, J.; De Belie, N.; Ma Moran-del Pozo, J.; Ignacio Guerra-Romero, M.; Juan-Valdes, A. Quality improvement of mixed and ceramic recycled aggregates by biodeposition of calcium carbonate, Constr. Build. Mater. 2017, 154, 1015–1023. [Google Scholar] [CrossRef]
- Wang, L.; Huang, Y.; Zhao, F.; Huo, T.; Chen, E.; Tang, S. Comparison between the Influence of Finely Ground Phosphorous Slag and Fly Ash on Frost Resistance, Pore Structures and Fractal Features of Hydraulic Concrete. Fractal Fract. 2022, 6, 598. [Google Scholar] [CrossRef]
- Wang, L.; He, T.; Zhou, Y.; Tang, S.; Tan, J.; Liu, Z.; Su, J. The influence of fiber type and length on the cracking resistance, durability and pore structure of face slab concrete. Constr. Build. Mater. 2021, 282, 122706. [Google Scholar] [CrossRef]









| Compositions | Content (g/L) |
|---|---|
| Yeast extract | 20 |
| Urea | 20 |
| Recycled Aggregate Type | Water Absorption/% | Crushing Index/% |
|---|---|---|
| Untreated RFA | 7.0 ± 0.3 | 24.6 ± 0.4 |
| Treated RFA | 5.2 ± 0.2 | 23.6 ± 0.5 |
| Mortar Type | Fluidity/mm |
|---|---|
| Ordinary mortar (M-JZ) | 220 |
| Recycled mortar (M-WG) | 182 |
| Modified recycled mortar (M-GX) | 198 |
Publisher’s Note: MDPI stays neutral with regard to jurisdictional claims in published maps and institutional affiliations. |
© 2022 by the authors. Licensee MDPI, Basel, Switzerland. This article is an open access article distributed under the terms and conditions of the Creative Commons Attribution (CC BY) license (https://creativecommons.org/licenses/by/4.0/).
Share and Cite
Luo, M.; Dai, J.; Ding, Z.; Liu, Y. Properties of Mortar Containing Recycled Fine Aggregate Modified by Microbial Mineralization. Buildings 2022, 12, 2035. https://doi.org/10.3390/buildings12112035
Luo M, Dai J, Ding Z, Liu Y. Properties of Mortar Containing Recycled Fine Aggregate Modified by Microbial Mineralization. Buildings. 2022; 12(11):2035. https://doi.org/10.3390/buildings12112035
Chicago/Turabian StyleLuo, Mian, Junjie Dai, Ziqi Ding, and Ye Liu. 2022. "Properties of Mortar Containing Recycled Fine Aggregate Modified by Microbial Mineralization" Buildings 12, no. 11: 2035. https://doi.org/10.3390/buildings12112035
APA StyleLuo, M., Dai, J., Ding, Z., & Liu, Y. (2022). Properties of Mortar Containing Recycled Fine Aggregate Modified by Microbial Mineralization. Buildings, 12(11), 2035. https://doi.org/10.3390/buildings12112035
