Experimental Study of LiCl/LiBr-Zeolite Composite Adsorbent for Thermochemical Heat Storage
Abstract
1. Introduction
2. Materials
2.1. Preparation of Composite Adsorbent
2.2. Properties of the Composite Adsorbent
2.2.1. Morphologies
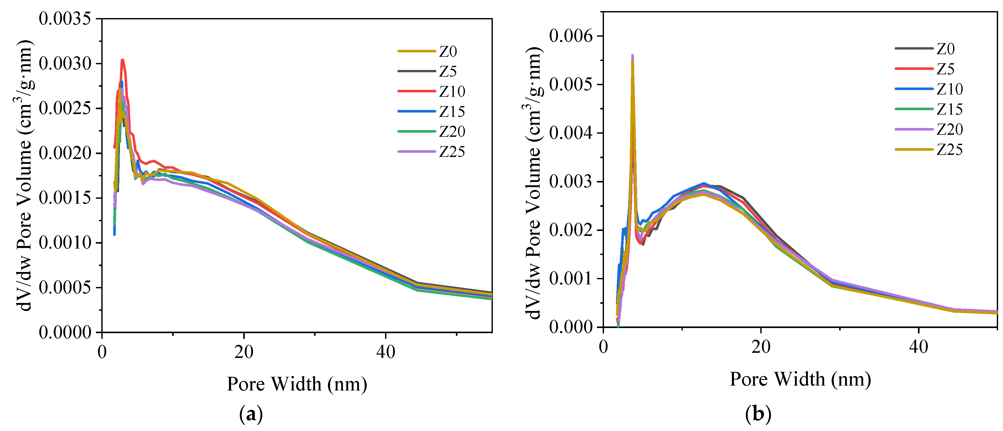
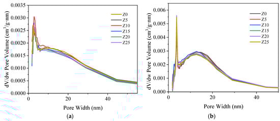
2.2.2. Pore Properties
2.2.3. Adsorption Kinetic Performance
2.2.4. Adsorption Heat
2.3. Selection of the Optimal Adsorbent
3. Experiment Overview
3.1. Test Rig
3.2. Experimental Procedures
3.3. Energy Density Calculate
4. Experimental Results and Discussion
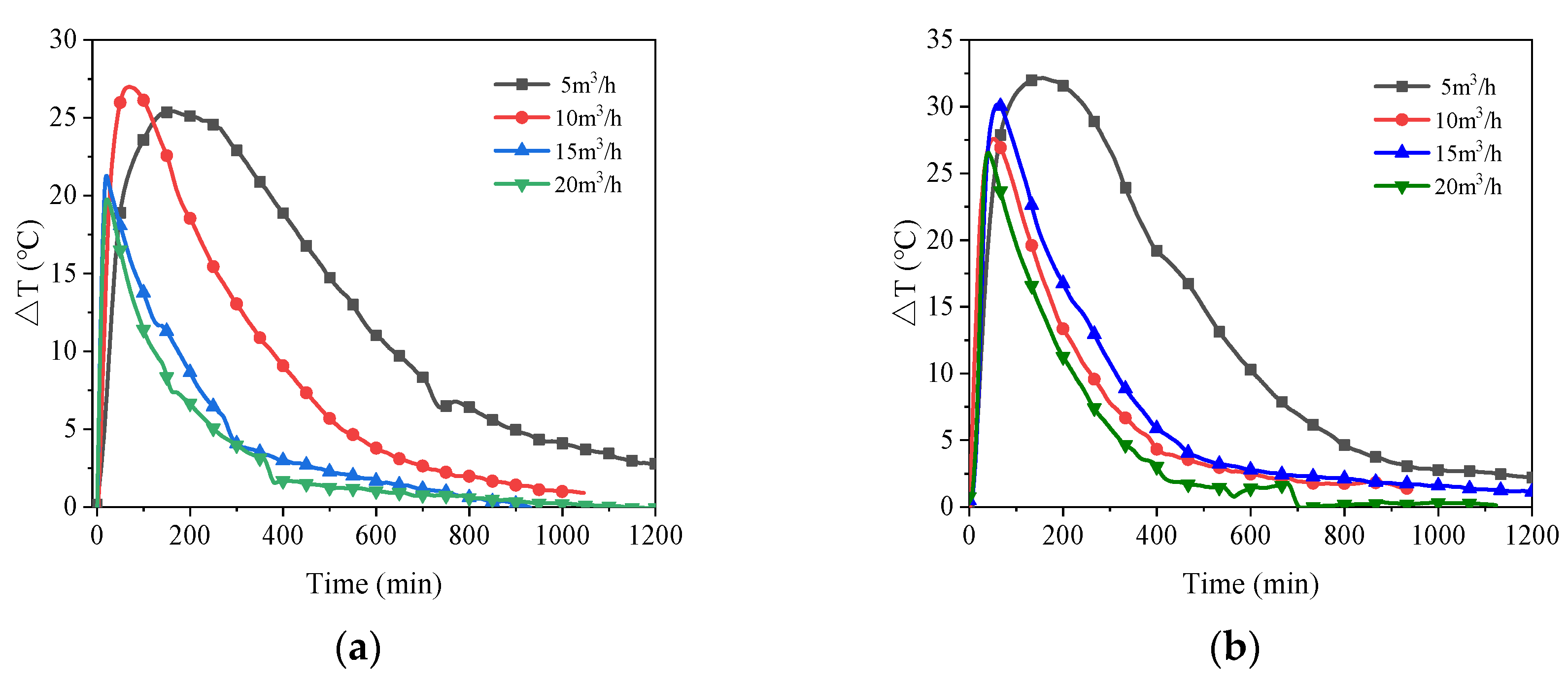
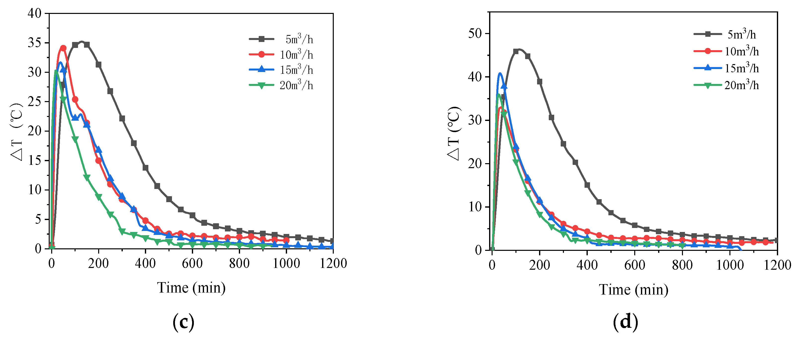
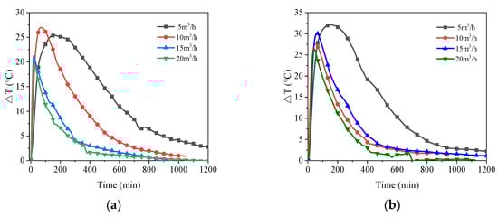
4.1. Effect of Air Flow Rate
4.2. Effect of Air Relative Humidity
4.3. Energy Storage Density
4.4. Cyclic Experiments
5. Numerical Simulation
5.1. System Description
5.2. Performance Analysis
5.2.1. Evaluation Indicators
5.2.2. Analysis of Residential Heating Performance Based on TCHS System
6. Conclusions
- The different salt concentrations resulted in different adsorption capacities and thermal storage properties. Under the same experimental conditions, composite Z15 shows the best adsorption performance.
- In the adsorption heat storage experiment using a lab-scale reactor, the temperature rise rate at the outlet of the reactor is influenced by the air flow rate and humidity. The studied composite adsorbent exhibited its highest heat density of 434.4 J/g at an air flow rate of 15 m3/h and an RH value of 70%, achieving an energy discharge efficiency value of 74.3%.
- The average error of 10 cycles repeating adsorption experiment was 0.41%. The decrease in temperature lift and adsorption heat showed a slowing down trend with the number of cycling experiments, and the heat density of the last cycle test decreased by only 0.17% which indicated a good periodicity and stability of composite adsorbent.
- The TRNSYS simulation found that the heating effectiveness of the TCHS system is dependent on the ambient temperature and humidity, and that the power consumption (i.e., fans and humidifiers) is lower in December, reaching a maximum COP of 6.67.
Author Contributions
Funding
Data Availability Statement
Acknowledgments
Conflicts of Interest
References
- Kuravi, S.; Trahan, J.; Goswami, Y.D.; Rahman, M.M.; Stefanakos, E.K. Thermal energstorage technologies and systems for concentrating solar power plants. Prog. Energy Combust. Sci. 2013, 39, 285–319. [Google Scholar] [CrossRef]
- Mahlia, T.M.I.; Saktisahdan, T.J.; Jannifar, A.; Hasan, M.H.; Matseelar, H.S.C. A review of available methods and development on energy storage; technology update. Renew. Sustain. Energy Rev. 2014, 33, 532–545. [Google Scholar] [CrossRef]
- Pardo, P.; Deydier, A.; Anxionnaz-Minvielle, Z.; Rougé, S.; Cabassud, M.; Cognet, P. A review on high temperature thermochemical heat energy storage. Renew. Sustain. Energy Rev. 2014, 32, 591–610. [Google Scholar] [CrossRef]
- Yan, T.; Wang, R.Z.; Li, T.X.; Wang, L.W.; Fred, I.T. A review of promising candidate reactions for chemical heat storage. Renew. Sustain. Energy Rev. 2015, 43, 13–31. [Google Scholar] [CrossRef]
- Li, T.X.; Wu, S.; Yan, T.; Wang, R.Z.; Zhu, J. Experimental investigation on a dual-mode thermochemical sorption energy storage system. Energy 2017, 140, 383–394. [Google Scholar] [CrossRef]
- Whiting, G.; Grondin, D.; Bennici, S.; Auroux, A. Heats of water sorption studies on zeolite-MgSO4 composites as potential thermochemical heat storage materials. Sol. Energy Mater. Sol. Cells 2013, 112, 112–119. [Google Scholar] [CrossRef]
- Liu, M.; Tay, N.H.S.; Bell, S.; Belusko, M.; Jacob, R.; Will, G.; Saman, W.; Bruno, F. Review on concentrating solar power plants and new developments in high temperature thermal energy storage technologies. Renew. Sustain. Energy Rev. 2016, 53, 1411–1432. [Google Scholar] [CrossRef]
- Mazzoni, S.; Ooi, S.; Nastasi, B.; Romagnoli, A. Energy storage technologies as techno-economic parameters for master-planning and optimal dispatch in smart multi energy systems. Appl. Energy 2019, 254, 113682. [Google Scholar] [CrossRef]
- Ryu, J.-Y.; Alford, A.; Lewis, G.; Ding, Y.; Li, Y.; Ahmad, A.; Kim, H.; Park, S.-H.; Park, J.-P.; Branch, S.; et al. A novel liquid air energy storage system using a combination of sensible and latent heat storage. Appl. Therm. Eng. 2021, 203, 117890. [Google Scholar] [CrossRef]
- Bellan, S.; Gonzalez-Aguilar, J.; Romero, M.; Rahman, M.M.; Goswami, D.Y.; Stefanakos, E.K.; Couling, D. Numerical analysis of charging and discharging performance of a thermal energy storage system with encapsulated phase change material. Appl. Therm. Eng. Des. Process. Equip. Econ. 2014, 71, 481–500. [Google Scholar] [CrossRef]
- Abedin, A.H.; Rosen, M.A. A critical review of thermochemical energy storage systems. Open Renew. Energy J. 2011, 4, 42–46. [Google Scholar] [CrossRef]
- Aydin, D.; Casey, S.P.; Riffat, S. The latest advancements on thermochemical heat storage systems. Renew. Sustain. Energy Rev. 2015, 41, 356–367. [Google Scholar] [CrossRef]
- Schmidt, M.; Szczukowski, C.; Roßkopf, C.; Linder, M.; Wörner, A. Experimental results of a 10 kW high temperature thermochemical storage reactor based on calcium hydroxide. Appl. Therm. Eng. 2014, 62, 553–559. [Google Scholar] [CrossRef]
- Li, W.; Luo, X.; Yang, P.; Wang, Q.; Zeng, M.; Markides, C.N. Solar-thermal energy conversion prediction of building envelope using thermochemical sorbent based on established reaction kinetics. Energy Convers. Manag. 2021, 252, 115117. [Google Scholar] [CrossRef]
- Scapino, L.; Zondag, H.A.; Van Bael, J.; Diriken, J.; Rindt, C.C.M. Sorption heat storage for long-term low-temperature applications: A review on the advancements at material and prototype scale. Appl. Energy 2017, 190, 920–948. [Google Scholar] [CrossRef]
- Lizana, J.; Chacartegui, R.; Barrios-Padura, A.; Valverde, J.M. Advances in thermal energy storage materials and their applications towards zero energy buildings: A critical review. Appl. Energy 2017, 203, 219–239. [Google Scholar] [CrossRef]
- Cabeza, L.F.; Solé, A.; Barreneche, C. Review on sorption materials and technologies for heat pumps and thermal energy storage. Renew. Energy 2017, 110, 3–39. [Google Scholar] [CrossRef]
- Gaeini, M.; Zondag, H.; Rindt, C. Effect of kinetics on the thermal performance of a sorption heat storage reactor. Appl. Therm. Eng. 2016, 102, 520–531. [Google Scholar] [CrossRef]
- Donkers, P.A.J.; Sogutoglu, L.C.; Huinink, H.P.; Fischer, H.R.; Adan, O.C.G. A review of salt hydrates for seasonal heat storage in domestic applications. Appl. Energy 2017, 199, 45–68. [Google Scholar] [CrossRef]
- Bertsch, F.; Mette, B.; Asenbeck, S.; Kerskes, H.; Müller-Steinhagen, H. Low temperature chemical heat storage—An investigation of hydration reactions. In Proceedings of the 11th Int. Conference on Thermal Energy Storages (Effstock), Stockholm, Sweden, 14–17 June 2009. [Google Scholar]
- Molenda, M.; Bouché, M.; Linder, M.; Blug, M.; Busse, J.; Wörner, A. Thermochemical energy storage for low temperature applications: Materials and first studies in a gas-solid reactor. In Proceedings of the 12th Int. Conference on Energy Storage (Innostock), Lleida, Spain, 16–18 May 2012. [Google Scholar]
- Zondag, H.; Kikkert, B.; Smeding, S.; de Boer, R.; Bakker, M. Prototype thermochemical heat storage with open reactor system. Appl. Energy 2013, 109, 360–365. [Google Scholar] [CrossRef]
- Yu, N.; Wang, R.Z.; Lu, Z.S.; Wang, L.W. Development and characterisation of silica gel-LiCl composite sorbents for thermal energy storage. Chem. Eng. Sci. 2014, 111, 73–84. [Google Scholar] [CrossRef]
- Yu, N.; Wang, R.Z.; Lu, Z.S.; Wang, L.W. Study on consolidated composite sorbents impregnated with LiCl for thermal energy storage. Int. J. Heat Mass Trans. 2015, 84, 660–670. [Google Scholar] [CrossRef]
- Brancato, V.; Calabrese, L.; Palomba, V.; Frazzica, A.; Fullana-Puig, M.; Solé, A.; Cabeza, L.F. MgSO4·7H2O filled macro cellular foams: An innovative composite sorbent for thermo-chemical energy storage applications for solar buildings. Sol. Energy 2018, 173, 1278–1286. [Google Scholar] [CrossRef]
- Piperopoulos, E.; Calabrese, L.; Bruzzaniti, P.; Brancato, V.; Palomba, V.; Caprì, A.; Frazzica, A.; Cabeza, L.F.; Proverbio, E.; Milone, C. Morphological and Structural Evaluation of Hydration/Dehydration Stages of MgSO4 Filled Composite Silicone Foam for Thermal Energy Storage Applications. Appl. Sci. 2020, 10, 453. [Google Scholar] [CrossRef]
- Zhao, H.Z.; Wang, Z.Y.; Li, Q.W.; Wu, T.H.; Zhang, M.; Shi, Q.Q. Water sorption on composite material “zeolite 13X modified by LiCl and CaCl2”. Microporous Mesoporous Mater. 2020, 299, 110109. [Google Scholar] [CrossRef]
- Macriss, R.A.; Gutraj, J.; Zawacki, T.S. Absorption Fluid Data Survey: Final Report on Worldwide Data; Oak Ridge National Lab.: Oak Ridge, TN, USA; Institute of Gas Technology: Chicago, IL, USA, 1988.
- Posern, K.; Kaps, C. Calorimetric studies of thermochemical heat storage materials based on mixtures of MgSO4 and MgCl2. Thermochim. Acta 2010, 502, 73–76. [Google Scholar] [CrossRef]
- Gordeeva, L.G.; Grekova, A.D.; Krieger, T.A.; Aristov, Y.I. Adsorption properties of composite materials (LiCl+LiBr)/silica. Microporous Mesoporous Mater. 2009, 126, 262–267. [Google Scholar] [CrossRef]
- Entezari, A.; Ge, T.S.; Wang, R.Z. Water adsorption on the coated aluminum sheets by composite materials (LiCl + LiBr)/silica gel. Energy 2018, 160, 64–71. [Google Scholar] [CrossRef]
- Druske, M.; Fopah-lele, A.; Korhammer, K.; Urs, H. Developed materials for thermal energy storage: Synthesis and characterization. Energy Procedia 2014, 61, 96–99. [Google Scholar] [CrossRef]
- Mohapatra, D.; Nandanavanam, J. Salt in matrix for thermochemical energy storage—A review. Mater. Today Proc. 2022. [Google Scholar] [CrossRef]
- Lim, K.; Che, J.; Lee, J. Experimental study on adsorption characteristics of a water and silica-gel based thermal energy storage (TES) system. Appl. Therm. Eng. 2017, 110, 80–88. [Google Scholar] [CrossRef]
- Erlund, R.; Zevenhoven, R. Thermal energy storage (TES) capacity of a lab scale magnesium hydro carbonates/silica gel system. J. Energy Storage 2019, 25, 100907. [Google Scholar] [CrossRef]
- Mahon, D.; Claudio, G.; Eames, P. A study of novel high performance and energy dense zeolite composite materials for domestic interseasonal thermochemical energy storage. Energy Procedia 2019, 158, 4489–4494. [Google Scholar] [CrossRef]
- Whiting, G.; Grondin, D.; Bennici, S.; Auroux, A.; Boer, D.R.; Smeding, S.F.; Zondag, H.A.; Krol, G. Development of a Prototype System for Seasonal Solar Heat Storage Using an Open Sorption Process; ECN: Petten, The Netherlands, 2014; Volume 99, pp. 1–9. [Google Scholar]
- Singh, A.P.; Khanna, S.; Paneliya, S.; Hinsu, H.; Patel, Y.; Mehta, B. Preparation and characterisation of solid-state neopentyl glycol/expanded graphite micro composite for thermal energy storage applications. Mater. Today Proc. 2021, 47, 621–625. [Google Scholar] [CrossRef]
- Xu, C.; Yu, Z.B.; Xie, Y.Y.; Ren, Y.X.; Ye, F.; Ju, X. Study of the hydration behavior of zeolite-MgSO4 composites for long-term heat storage. Appl. Therm. Eng. 2018, 129, 250–259. [Google Scholar] [CrossRef]
- Nonnen, T.; Preißler, H.; Kött, S.; Beckert, S.; Gläser, R. Salt inclusion and deliquescence in salt/zeolite X composites for thermochemical heat storage. Microporous Mesoporous Mater. 2020, 303, 110239. [Google Scholar] [CrossRef]
- Zhang, Y.N.; Wang, R.Z.; Zhao, Y.J.; Li, T.X.; Riffat, S.B.; Wajid, N.M. Development and thermochemical characterisations of vermiculite/SrBr2 composite sorbents for low-temperature heat storage. Energy 2016, 115, 120–128. [Google Scholar] [CrossRef]
- Wang, Q.; Xie, Y.Y.; Ding, B.; Yu, G.L.; Ye, F.; Xu, C. Structure and hydration state characterisations of MgSO4-zeolite 13x composite materials for long-term thermochemical heat storage. Sol. Energy Mater. Sol. Cells 2019, 200, 110047. [Google Scholar] [CrossRef]
- Wei, S.; Zhou, W.; Han, R.; Gao, J.; Zhao, G.; Qin, Y.; Wang, C. Influence of minerals with different porous structures on thermochemical heat storage performance of CaCl2-based composite sorbents. Sol. Energy Mater. Sol. Cells 2022, 243, 111769. [Google Scholar] [CrossRef]
- Ge, Y.Q.; Zhao, Y.; Zhao, C.Y. Transient simulation and thermodynamic analysis of pumped thermal electricity storage based on packed-bed latent heat/cold stores. Renew. Energy 2021, 174, 939–951. [Google Scholar] [CrossRef]
- Calabrese, L.; Antonellis, D.S.; Vasta, S.; Brancato, V.; Freni, A. Modified Silicone-SAPO34 Composite Materials for Adsorption Thermal Energy Storage Systems. Appl. Sci. 2020, 10, 8715. [Google Scholar] [CrossRef]
- Xu, C.; Xie, Y.Y.; Liao, Z.R.; Ren, Y.; Ye, F. Numerical study on the desorption process of a thermochemical reactor filled with MgCl2·6H2O for seasonal heat storage. Appl. Therm. Eng. 2019, 146, 785–794. [Google Scholar] [CrossRef]
- Li, W.; Klemeš, J.J.; Wang, Q.W.; Zeng, M. Development and characteristics analysis of salt-hydrate based composite sorbent for low-grade thermochemical energy storage. Renew. Energy 2020, 157, 920–940. [Google Scholar] [CrossRef]
- Safa, A.A.; Fung, A.S.; Kumar, R. Heating and cooling performance characterisation of ground source heat pump system by testing and TRNSYS simulation. Renew. Energy 2015, 83, 565–575. [Google Scholar] [CrossRef]
- Sakellari, D.; Forsén, M.; Lundqvist, P. Investigating control strategies for a domestic low-temperature heat pump heating system. Int. J. Refrig. 2006, 29, 547–555. [Google Scholar] [CrossRef]
- Voottipruex, K.; Sangswang, A.; Naetiladdanon, S.; Mujjalinvimut, E.; Wongyoa, N. PEM fuel cell emulator based on dynamic model with relative humidity calculation. In Proceedings of the 2017 14th International Conference on Electrical Engineering/Electronics, Computer, Telecommunications and Information Technology (ECTI-CON), Phuket, Thailand, 27–30 June 2017; pp. 529–532. [Google Scholar]
- Zhao, Y.J.; Wang, R.Z.; Zhang, Y.N.; Yu, N. Development of SrBr2 composite sorbents for a sorption thermal energy storage system to store low-temperature heat. Energy 2016, 115, 129–139. [Google Scholar] [CrossRef]
- Zhang, Y.N.; Wang, R.Z.; Li, T.X. Experimental investigation on an open sorption thermal storage system for space heating. Energy 2017, 141, 2421–2433. [Google Scholar] [CrossRef]
- Jarre, M.; Noussan, M.; Simonetti, M. Primary energy consumption of heat pumps in high renewable share electricity mixes. Energy Convers. Manag. 2018, 171, 1339–1351. [Google Scholar] [CrossRef]
- Martinek, J.; Jorgenson, J.; McTigue, J.D. On the operational characteristics and economic value of pumped thermal energy storage. J. Energy Storage 2022, 52, 105005. [Google Scholar] [CrossRef]





















| No. | Z0 | Z5 | Z10 | Z15 | Z20 | Z25 |
|---|---|---|---|---|---|---|
| Salt solution concentration | 0 wt% | 5 wt% | 10 wt% | 15 wt% | 20 wt% | 25 wt% |
| LiCl:LiBr mass ratio | - | 1:1 | 1:2 | 1:3 | 1:4 | 1:5 |
| Group | Surface Area (m2/g) | Pore Volume (cm3/g) | Adsorption/Desorption Average Pore Diameter (nm) |
|---|---|---|---|
| Z0 | 27.73 | 6.36 × 10−2 | 9.02/10.71 |
| Z5 | 28.11 | 6.22 × 10−2 | 8.74/10.41 |
| Z10 | 28.76 | 6.35 × 10−2 | 8.65/10.21 |
| Z15 | 26.90 | 6.07 × 10−2 | 8.89/10.53 |
| Z20 | 25.67 | 5.88 × 10−2 | 9.00/10.84 |
| Z25 | 25.83 | 5.83 × 10−2 | 8.86/10.63 |
| Surfaces | Thermal Properties |
|---|---|
| Doors | U = 2.82 W/m2·K Longwave emission coefficient = 0.9 Convection coefficient = 11 kJ/h·m2·k (inside), 64 kJ/h·m2·k (outside) |
| Windows | U = 1.27 W/m2·K g-value = 0.74 coefficient = 11 kJ/h·m2·k (inside), 64 kJ/h·m2·k (outside) |
| Floors | U = 0.25 W/m2·K Solar absorptance = 0.8 Longwave emission coefficient = 0.9 Convection coefficient = 11 kJ/h·m2·k |
| Walls | U = 0.54 W/m2·K Solar absorptance = 0.7 Longwave emission coefficient = 0.9 Convection coefficient = 11 kJ/h·m2·k |
| Roof | U = 2.69 W/m2·K Solar absorptance = 0.8 Longwave emission coefficient = 0.9 Convection coefficient = 11 kJ/h·m2·k (inside), 64 kJ/h·m2·k (outside) |
Publisher’s Note: MDPI stays neutral with regard to jurisdictional claims in published maps and institutional affiliations. |
© 2022 by the authors. Licensee MDPI, Basel, Switzerland. This article is an open access article distributed under the terms and conditions of the Creative Commons Attribution (CC BY) license (https://creativecommons.org/licenses/by/4.0/).
Share and Cite
Chen, D.; Chen, X.; Ma, Z.; Wang, Y.; Roskilly, A.P.; Zhou, J. Experimental Study of LiCl/LiBr-Zeolite Composite Adsorbent for Thermochemical Heat Storage. Buildings 2022, 12, 2001. https://doi.org/10.3390/buildings12112001
Chen D, Chen X, Ma Z, Wang Y, Roskilly AP, Zhou J. Experimental Study of LiCl/LiBr-Zeolite Composite Adsorbent for Thermochemical Heat Storage. Buildings. 2022; 12(11):2001. https://doi.org/10.3390/buildings12112001
Chicago/Turabian StyleChen, Depeng, Xin Chen, Zhiwei Ma, Yaodong Wang, Anthony Paul Roskilly, and Jian Zhou. 2022. "Experimental Study of LiCl/LiBr-Zeolite Composite Adsorbent for Thermochemical Heat Storage" Buildings 12, no. 11: 2001. https://doi.org/10.3390/buildings12112001
APA StyleChen, D., Chen, X., Ma, Z., Wang, Y., Roskilly, A. P., & Zhou, J. (2022). Experimental Study of LiCl/LiBr-Zeolite Composite Adsorbent for Thermochemical Heat Storage. Buildings, 12(11), 2001. https://doi.org/10.3390/buildings12112001

