Fault Assessment in Piezoelectric-Based Smart Strand Using 1D Convolutional Neural Network
Abstract
1. Introduction
2. Smart Strand and Potential Faults
2.1. Smart Strand Technique
2.2. Electromechanical Impedance Response
2.3. Potential Faults in Smart Strand
3. 1D CNN-Based Fault Assessment Method
3.1. Scheme of the Method
3.2. 1D CNN-Based Fault Detector
4. Finite Element Simulation
4.1. Experimental Test
4.2. Finite Element Modelling
4.3. Feasibility of Finite Element Model
5. Impedance Response of Smart Strand with Faults
5.1. Transducer Breakage Simulation
5.2. Transducer Disbond Simulation
5.3. Transducer Shear-Lag Simulation
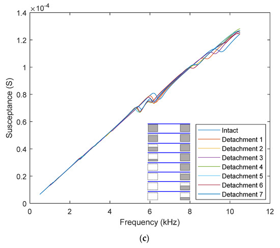
5.4. Device Detachment Simulation
5.5. Prestress-Loss Simulation
6. Fault Assessment in Smart Strand Using 1D CNN Model
6.1. Databank
6.2. Training and Testing 1D CNN-Based Fault Detector
7. Conclusions
- The resistance curve of the smart strand significantly shifts up when the transducer is broken. While the frequency of the first resonance remains quite stable, that of the third resonance is visibly decreased. These observations contradict those observed from the resistance curve in the previous study.
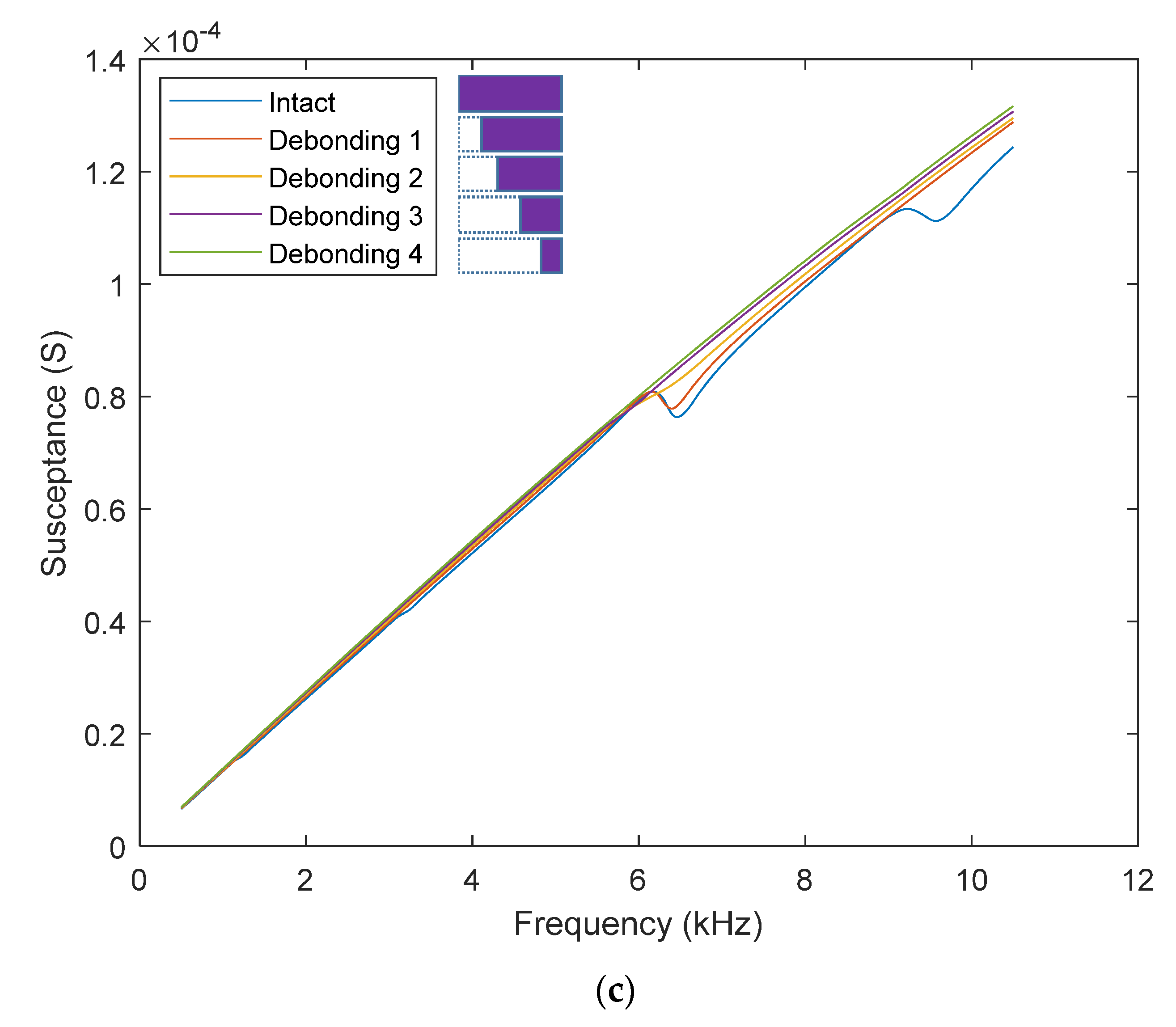
- The reactance response and the slope of the susceptance response remain nearly unchanged despite the disbond of the transducer. The result also contradicts the previous observation; that is, the debonding of the transducer causes a downward shift in the reactance curve and a decreased slope of the susceptance response.
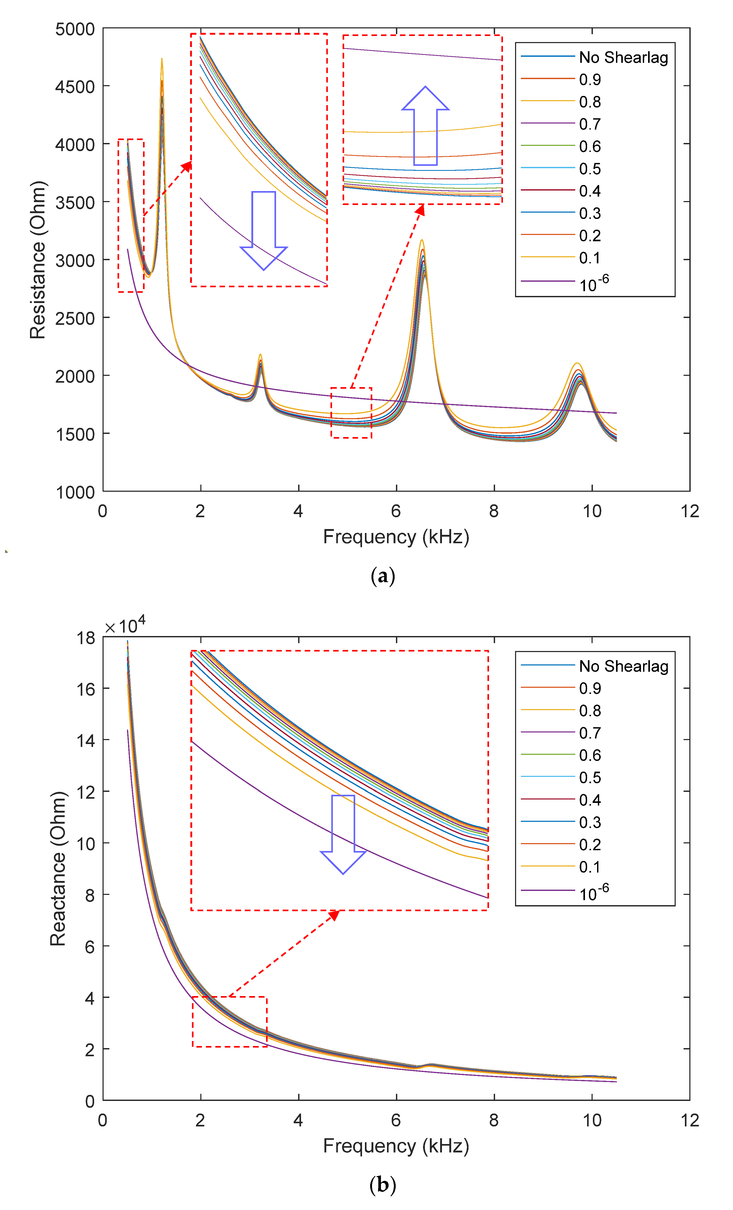
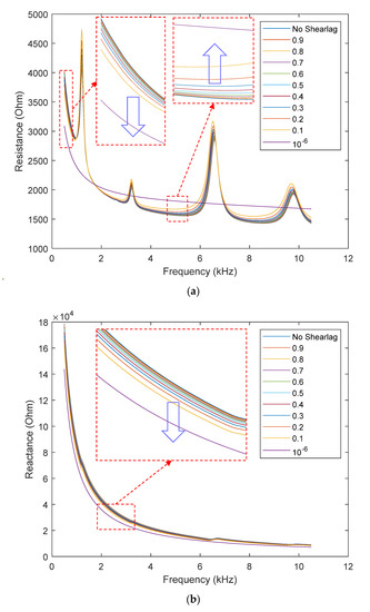
- Although the shear-lag defect induces downward shifts in the reactance curve like the previous observation, the reactance shifts are quite ignorable. Interestingly, some parts of the resistance curve shift down while other parts shift up. These observations contradict those observed on other piezoelectric devices.
- While the susceptance response is widely accepted as a promising feature for detecting faults in piezoelectric devices used in the impedance-based technique, the result from this study shows that the resistance response is more favorable for assessing faults in the smart strand through the 1D CNN method.
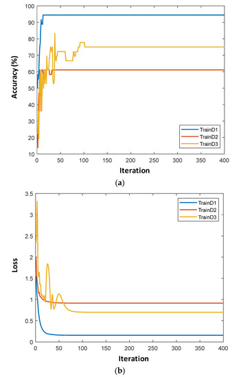
- The proposed 1D CNN model, which can automatically extract the optimal features without pre-processing, shows a good performance in classifying the faults of the smart strand. The overall testing accuracy is up to 94.1% when the resistance response is used as the training data.
- The proposed methodology can be integrated with existing impedance-based damage detection systems for real-time structural health monitoring.
Author Contributions
Funding
Data Availability Statement
Acknowledgments
Conflicts of Interest
References
- Ryu, J.-Y.; Huynh, T.-C.; Kim, J.-T. Tension force estimation in axially loaded members using wearable piezoelectric interface technique. Sensors 2019, 19, 47. [Google Scholar] [CrossRef] [PubMed]
- Le, T.-C.; Phan, T.T.V.; Nguyen, T.-H.; Ho, D.-D.; Huynh, T.-C. A Low-Cost Prestress Monitoring Method for Post-Tensioned RC Beam Using Piezoelectric-Based Smart Strand. Buildings 2021, 11, 431. [Google Scholar] [CrossRef]
- Park, G.; Sohn, H.; Farrar, C.R.; Inman, D.J. Overview of piezoelectric impedance-based health monitoring and path forward. Shock. Vib. Dig. 2003, 35, 451–464. [Google Scholar] [CrossRef]
- Pham, Q.-Q.; Dang, N.-L.; Kim, J.-T. Smart PZT-Embedded Sensors for Impedance Monitoring in Prestressed Concrete Anchorage. Sensors 2021, 21, 7918. [Google Scholar] [CrossRef]
- Yang, Y.; Liu, H.; Annamdas, V.G.M.; Soh, C.K. Monitoring damage propagation using PZT impedance transducers. Smart Mater. Struct. 2009, 18, 045003. [Google Scholar] [CrossRef]
- Yaowen, Y.; Yee Yan, L.; Chee Kiong, S. Practical issues related to the application of the electromechanical impedance technique in the structural health monitoring of civil structures: II. Numerical verification. Smart Mater. Struct. 2008, 17, 035009. [Google Scholar]
- Nguyen, T.-T.; Ho, D.-D.; Huynh, T.-C. Electromechanical impedance-based prestress force prediction method using resonant frequency shifts and finite element modelling. Dev. Built Environ. 2022, 12, 100089. [Google Scholar] [CrossRef]
- Nguyen, T.-T.; Hoang, N.-D.; Nguyen, T.-H.; Huynh, T.-C. Analytical impedance model for piezoelectric-based smart Strand and its feasibility for prestress force prediction. Struct. Control. Health Monit. 2022, 29, e3061. [Google Scholar] [CrossRef]
- Min, J.; Park, S.; Yun, C.-B.; Song, B. Development of a low-cost multifunctional wireless impedance sensor node. Smart Struct. Syst. 2010, 6, 689–709. [Google Scholar] [CrossRef]
- PPerera, R.; Pérez, A.; García-Diéguez, M.; Zapico-Valle, J.L. Active Wireless System for Structural Health Monitoring Applications. Sensors 2017, 17, 2880. [Google Scholar] [CrossRef]
- Nguyen, K.-D.; Kim, J.-T. Smart PZT-interface for wireless impedance-based prestress-loss monitoring in tendon-anchorage connection. Smart Struct. Syst. 2012, 9, 489–504. [Google Scholar] [CrossRef]
- Park, J.-H.; Kim, J.-T.; Hong, D.-S.; Mascarenas, D.; Lynch, J.P. Autonomous smart sensor nodes for global and local damage detection of prestressed concrete bridges based on accelerations and impedance measurements. Smart Struct. Syst. 2010, 6, 711–730. [Google Scholar] [CrossRef]
- Li, D.; Wang, Y.; Wang, J.; Wang, C.; Duan, Y. Recent advances in sensor fault diagnosis: A review. Sens. Actuators A: Phys. 2020, 309, 111990. [Google Scholar] [CrossRef]
- Zhang, Y.; Wang, X.; Ding, Z.; Du, Y.; Xia, Y. Anomaly detection of sensor faults and extreme events based on support vector data description. Struct. Control. Health Monit. 2022, 29, e3047. [Google Scholar] [CrossRef]
- Worden, K.; Dulieu-Barton, J.M. An Overview of Intelligent Fault Detection in Systems and Structures. Struct. Health Monit. 2004, 3, 85–98. [Google Scholar] [CrossRef]
- Huynh, T.-C.; Nguyen, T.-D.; Ho, D.-D.; Dang, N.-L.; Kim, J.-T. Sensor Fault Diagnosis for Impedance Monitoring Using a Piezoelectric-Based Smart Interface Technique. Sensors 2020, 20, 510. [Google Scholar] [CrossRef]
- Rao, A.R.M.; Kasireddy, V.; Gopalakrishnan, N.; Lakshmi, K. Sensor fault detection in structural health monitoring using null subspace–based approach. J. Intell. Mater. Syst. Struct. 2015, 26, 172–185. [Google Scholar] [CrossRef]
- Taylor, S.; Park, G.; Farinholt, K.; Todd, M. Diagnostics for piezoelectric transducers under cyclic loads deployed for structural health monitoring applications. Smart Mater. Struct. 2013, 22, 025024. [Google Scholar] [CrossRef]
- Park, G.; Farrar, C.R.; Rutherford, A.C.; Robertson, A.N. Piezoelectric active sensor self-diagnostics using electrical admittance measurements. J. Vib. Acoust. 2006, 128, 469–476. [Google Scholar] [CrossRef]
- Nguyen, T.-T.; Kim, J.-T.; Ta, Q.-B.; Ho, D.-D.; Phan, T.T.V.; Huynh, T.-C. Deep learning-based functional assessment of piezoelectric-based smart interface under various degradations. Smart Struct. Syst. Int. J. 2021, 28, 69–87. [Google Scholar]
- Gall, M.; Thielicke, B.; Schmidt, I. Integrity of piezoceramic patch transducers under cyclic loading at different temperatures. Smart Mater. Struct. 2009, 18, 104009. [Google Scholar] [CrossRef]
- Bhalla, S.; Moharana, S. A refined shear lag model for adhesively bonded piezo-impedance transducers. J. Intell. Mater. Syst. Struct. 2012, 24, 33–48. [Google Scholar] [CrossRef]
- Islam, M.M.; Huang, H. Understanding the effects of adhesive layer on the electromechanical impedance (EMI) of bonded piezoelectric wafer transducer. Smart Mater. Struct. 2014, 23, 125037. [Google Scholar] [CrossRef]
- Nguyen, B.-P.; Tran, Q.H.; Nguyen, T.-T.; Pradhan, A.M.S.; Huynh, T.-C. Understanding Impedance Response Characteristics of a Piezoelectric-Based Smart Interface Subjected to Functional Degradations. Complexity 2021, 2021, 5728679. [Google Scholar] [CrossRef]
- Park, S.; Park, G.; Yun, C.-B.; Farrar, C.R. Sensor Self-diagnosis Using a Modified Impedance Model for Active Sensing-based Structural Health Monitoring. Struct. Health Monit. Int. J. 2008, 8, 71–82. [Google Scholar] [CrossRef]
- Mueller, I.; Fritzen, C.-P. Inspection of Piezoceramic Transducers Used for Structural Health Monitoring. Materials 2017, 10, 71. [Google Scholar] [CrossRef]
- Huynh, T.-C.; Kim, J.-T. Impedance-Based Cable Force Monitoring in Tendon-Anchorage Using Portable PZT-Interface Technique. Math. Probl. Eng. 2014, 2014, 11. [Google Scholar] [CrossRef]
- Kim, J.-T.; Yun, C.-B.; Ryu, Y.-S.; Cho, H.-M. Identification of prestress-loss in PSC beams using modal information. Struct. Eng. Mech. 2004, 17, 467–482. [Google Scholar] [CrossRef]
- Liang, C.; Sun, F.P.; Rogers, C.A. Coupled Electro-Mechanical Analysis of Adaptive Material Systems—Determination of the Actuator Power Consumption and System Energy Transfer. J. Intell. Mater. Syst. Struct. 1994, 5, 12–20. [Google Scholar] [CrossRef]
- Mueller, I.; Fritzen, C.-P. Failure Assessment of Piezoelectric Actuators and Sensors for Increased Reliability of SHM Systems. In Structural Health Monitoring from Sensing to Processing; IntechOpen: London, UK, 2018. [Google Scholar] [CrossRef]
- Abdeljaber, O.; Avci, O.; Kiranyaz, M.S.; Boashash, B.; Sodano, H.; Inman, D.J. 1-D CNNs for structural damage detection: Verification on a structural health monitoring benchmark data. Neurocomputing 2018, 275, 1308–1317. [Google Scholar] [CrossRef]
- de Oliveira, M.; Monteiro, A.; Vieira Filho, J. A New Structural Health Monitoring Strategy Based on PZT Sensors and Convolutional Neural Network. Sensors 2018, 18, 2955. [Google Scholar] [CrossRef] [PubMed]
- Ince, T.; Kiranyaz, S.; Eren, L.; Askar, M.; Gabbouj, M. Real-Time Motor Fault Detection by 1-D Convolutional Neural Networks. IEEE Trans. Ind. Electron. 2016, 63, 7067–7075. [Google Scholar] [CrossRef]
- Kiranyaz, S.; Ince, T.; Gabbouj, M. Real-Time Patient-Specific ECG Classification by 1-D Convolutional Neural Networks. IEEE Trans. Biomed. Eng. 2016, 63, 664–675. [Google Scholar] [CrossRef]
- Kiranyaz, S.; Avci, O.; Abdeljaber, O.; Ince, T.; Gabbouj, M.; Inman, D.J. 1D convolutional neural networks and applications: A survey. Mech. Syst. Signal Process. 2021, 151, 107398. [Google Scholar] [CrossRef]
- Zhu, J.; Wang, Y.; Qing, X. A real-time electromechanical impedance-based active monitoring for composite patch bonded repair structure. Compos. Struct. 2019, 212, 513–523. [Google Scholar] [CrossRef]
- Li, H.; Ai, D.; Zhu, H.; Luo, H. Integrated electromechanical impedance technique with convolutional neural network for concrete structural damage quantification under varied temperatures. Mech. Syst. Signal Process. 2021, 152, 107467. [Google Scholar] [CrossRef]
- Nguyen, T.-T.; Tuong Vy Phan, T.; Ho, D.-D.; Man Singh Pradhan, A.; Huynh, T.-C. Deep learning-based autonomous damage-sensitive feature extraction for impedance-based prestress monitoring. Eng. Struct. 2022, 259, 114172. [Google Scholar] [CrossRef]
- Yan, Q.; Liao, X.; Zhang, C.; Zhang, Y.; Luo, S.; Zhang, D. Intelligent monitoring and assessment on early-age hydration and setting of cement mortar through an EMI-integrated neural network. Measurement 2022, 203, 111984. [Google Scholar] [CrossRef]
- Acharya, U.R.; Fujita, H.; Oh, S.L.; Hagiwara, Y.; Tan, J.H.; Adam, M. Application of deep convolutional neural network for automated detection of myocardial infarction using ECG signals. Inf. Sci. 2017, 415-416, 190–198. [Google Scholar] [CrossRef]
- Zhang, Y.; Wallace, B. A Sensitivity Analysis of (and Practitioners’ Guide to) Convolutional Neural Networks for Sentence Classification. arXiv 2015, arXiv:1510.03820b. [Google Scholar]
- Bishop, C.M.; Nasrabadi, N.M. Pattern Recognition and Machine Learning; Springer: Berlin/Heidelberg, Germany, 2006; Volume 4. [Google Scholar]
- Mutalib, A.A.; Mussa, M.H.; Taib, A.M. Behaviour of prestressed box beam strengthened with CFRP under effect of strand snapping. Građevinar 2020, 72, 103–113. [Google Scholar]
- Nguyen, T.-H.; Phan, T.T.V.; Le, T.-C.; Ho, D.-D.; Huynh, T.-C. Numerical Simulation of Single-Point Mount PZT-Interface for Admittance-Based Anchor Force Monitoring. Buildings 2021, 11, 550. [Google Scholar] [CrossRef]
- Huynh, T.-C.; Dang, N.-L.; Kim, J.-T. Preload monitoring in bolted connection using piezoelectric-based smart interface. Sensors 2018, 18, 2766. [Google Scholar] [CrossRef] [PubMed]
- Kitts, D.J.; Zagrai, A.N. Finite Element Modeling and Effect of Electrical/Mechanical Parameters on Electromechanical Impedance Damage Detection. In Proceedings of the ASME 2009 Conference on Smart Materials, Adaptive Structures and Intelligent Systems, Oxnard, CA, USA, 21–23 September 2009; pp. 487–497. [Google Scholar]
- Tashakori, S.; Farhangdoust, S.; Baghalian, A.; Tansel, I.N.; Mehrabi, A. Evaluating the performance of the SuRE method for inspection of bonding using the COMSOL finite element analysis package. In Health Monitoring of Structural and Biological Systems XIII; SPIE: Denver, CO, USA, 2019; pp. 558–568. [Google Scholar]
- Rugina, C.; Enciu, D.; Tudose, M. Numerical and experimental study of circular disc electromechanical impedance spectroscopy signature changes due to structural damage and sensor degradation. Struct. Health Monit. 2015, 14, 663–681. [Google Scholar] [CrossRef]
- Bathe, K.-J. Finite Element Procedures. Prentice Hall: Hoboken, NJ, USA, 2006. [Google Scholar]
- Okereke, M.; Keates, S. Finite Element Applications; Springer International Publishing AG: Cham, Switzerland, 2018. [Google Scholar]
- Cremer, L.; Heckl, M.; Petersson, B.A.T. Damping. In Structure-Borne Sound: Structural Vibrations and Sound Radiation at Audio Frequencies. Springer: Berlin/Heidelberg, Germany, 2005; pp. 149–235. [Google Scholar] [CrossRef]
- Zhou, D.; Ji, T. Free vibration of rectangular plates with continuously distributed spring-mass. Int. J. Solids Struct. 2006, 43, 6502–6520. [Google Scholar] [CrossRef]

























| No | Layer’s Type | Depth | Filter | Stride | No | Layer’s Type | Depth | Filter | Stride |
|---|---|---|---|---|---|---|---|---|---|
| 1 | Input | 501 | − | − | 8 | Conv | 64 | 1 × 4 | 1 |
| 2 | Conv | 8 | 1 × 128 | 1 | 9 | Batchnorm + ReLU | − | − | − |
| 3 | Batchnorm + ReLU | − | − | − | 10 | FC | 128 | − | − |
| 4 | Maxpool | 8 | 1 × 4 | 2 | 11 | FC | 64 | − | − |
| 5 | Conv | 64 | 1 × 8 | 1 | 12 | FC | 5 | − | − |
| 6 | Batchnorm + ReLU | − | − | − | 13 | Softmax | − | − | − |
| 7 | Maxpool | 64 | 1 × 2 | 2 | 14 | Classification | − | − | − |
| Parameters | Anchor Head & Strand | Sensor’s Body | Bonding Layer of PZT | Unit |
|---|---|---|---|---|
| Young’s modulus | 200 | 69 | 2.76 | GPa |
| Poisson’s ratio | 0.3 | 0.33 | 0.38 | |
| Mass density | 7850 | 2700 | 1700 | kg/m3 |
| Properties | Symbols | Value | Unit |
|---|---|---|---|
| Compliance matrix | 16.4 | ×10−12 (m2/N) | |
| 18.8 | |||
| 47.5 | |||
| 44.3 | |||
| −5.74 | |||
| −7.22 | |||
| −7.22 | |||
| Coupling matrix | −171 | ×10−12 (C/N) | |
| −171 | |||
| 374 | |||
| 584 | |||
| 584 | |||
| Relative permittivity | 1730 | ||
| 1730 | |||
| 1700 | |||
| Mass density | 7750 | (kg/m3) | |
| Dielectric loss factor | 0.02 |
Publisher’s Note: MDPI stays neutral with regard to jurisdictional claims in published maps and institutional affiliations. |
© 2022 by the authors. Licensee MDPI, Basel, Switzerland. This article is an open access article distributed under the terms and conditions of the Creative Commons Attribution (CC BY) license (https://creativecommons.org/licenses/by/4.0/).
Share and Cite
Le, B.-T.; Le, T.-C.; Luu, T.-H.-T.; Ho, D.-D.; Huynh, T.-C. Fault Assessment in Piezoelectric-Based Smart Strand Using 1D Convolutional Neural Network. Buildings 2022, 12, 1916. https://doi.org/10.3390/buildings12111916
Le B-T, Le T-C, Luu T-H-T, Ho D-D, Huynh T-C. Fault Assessment in Piezoelectric-Based Smart Strand Using 1D Convolutional Neural Network. Buildings. 2022; 12(11):1916. https://doi.org/10.3390/buildings12111916
Chicago/Turabian StyleLe, Ba-Tung, Thanh-Cao Le, Tran-Huu-Tin Luu, Duc-Duy Ho, and Thanh-Canh Huynh. 2022. "Fault Assessment in Piezoelectric-Based Smart Strand Using 1D Convolutional Neural Network" Buildings 12, no. 11: 1916. https://doi.org/10.3390/buildings12111916
APA StyleLe, B.-T., Le, T.-C., Luu, T.-H.-T., Ho, D.-D., & Huynh, T.-C. (2022). Fault Assessment in Piezoelectric-Based Smart Strand Using 1D Convolutional Neural Network. Buildings, 12(11), 1916. https://doi.org/10.3390/buildings12111916

