Experiment and Design Method of Cold-Formed Thin-Walled Steel Double-Lipped Equal-Leg Angle under Axial Compression
Abstract
1. Introduction
2. Experimental Program
2.1. Specimen Design
2.2. Material Properties
2.3. Initial Imperfection
2.4. Test Setup and Procedure
3. Test Results
3.1. Failure Modes
3.1.1. The Short Angle Columns
3.1.2. The Medium-to-Long Angle Columns
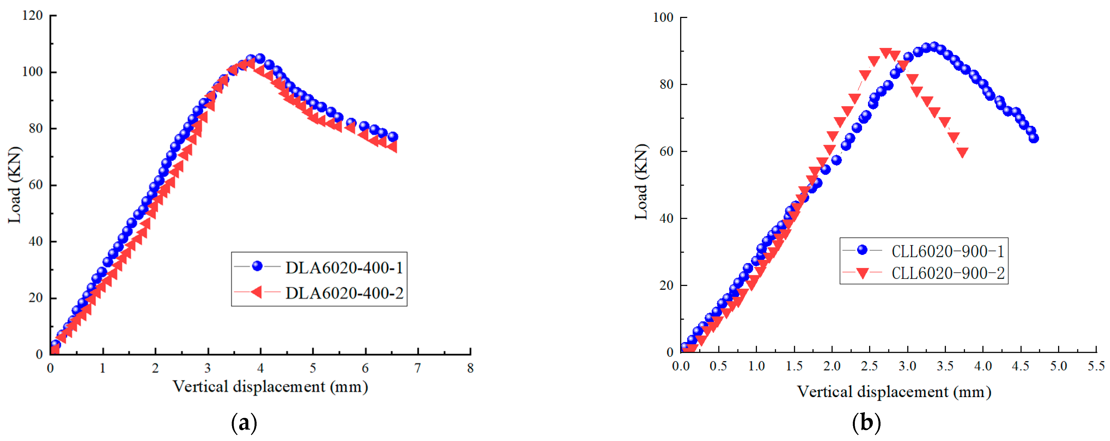
3.2. Test Strengths and Curves
4. Finite Element Analysis
4.1. Development of the Finite Element Model
4.2. Validation of Finite Element Model
5. Assessment and Suggested of the Design Method
5.1. Direct Strength Method
5.2. Effect Width Method
5.3. Recommendations for the Design of Double-Lipped Equal-Leg Angle
6. Conclusions
- (1)
- The axial compression test of 24 cold-formed thin-walled double-lipped equal-leg angles showed that the distortional buckling occurred for specimens with a small width-to-thickness ratio and small slenderness ratio. The buckling interactive with distortional and global flexural buckling was observed for the specimens with small width-to-thickness ratios and large slenderness ratios. The specimens with large width-to-thickness ratios and small slenderness ratios showed interactive buckling with local and distortion buckling, while the specimens with large width-to-thickness ratios and large slenderness ratios developed interactive buckling with local, distortional, and global flexural buckling. The ultimate strengths of specimens decreased with the increase of the length of the double-lipped equal-leg angle.
- (2)
- The ultimate strengths, buckling modes, and axial compression displacement curves of the specimens analyzed by the finite element method were in good agreement with the test results. The results showed that the developed finite element model was feasible for the buckling analysis of cold-formed thin-walled steel double-lipped equal-leg angle.
- (3)
- The distortional buckling of the leg with lip and the global torsional buckling angle for cold-formed thin-walled steel double-lipped equal-leg angle is consistent. The axial strength of the double-lipped equal-leg angle calculated by the direct strength and effective width methods indicated that the design methods were too conservative. Therefore, the suggested approaches were proposed by ignoring the global torsional buckling. The results obtained by the proposed direct strength method and effective width method were accurate, indicating that the proposed method can be used to determine the ultimate strength of the cold-formed thin-walled steel double-lipped equal-leg angle.
- (4)
- Further numerical and experimental studies are needed before the modified design method can be used in the codes. Meanwhile, the cold-formed thin-walled steel lipped equal-leg angle, unequal-leg angle, and lipped unequal-leg angle should be studied by experiment and numerical analysis.
Author Contributions
Funding
Data Availability Statement
Conflicts of Interest
References
- Yao, X.; Guo, Y.; Li, Y. Effective width method for distortional buckling design of cold-formed lipped channel sections. Thin-Walled Struct. 2016, 109, 344–351. [Google Scholar]
- Chen, B.; Roy, K.; Uzzaman, A.; Raftery, G.; Nash, D.; Clifton, C.; Pouladi, P.; Lim, B.P.J. Effects of edge-stiffened web openings on the behaviour of cold-formed steel channel sections under compression. Thin-Walled Struct. 2019, 144, 106307. [Google Scholar] [CrossRef]
- Chen, B.; Roy, K.; Uzzaman, A.; Lim, B.P. Moment capacity of cold-formed channel beams with edge-stiffened web holes, un-stiffened web holes and plain webs. Thin-Walled Struct. 2020, 157, 107070. [Google Scholar] [CrossRef]
- Chen, B.; Roy, K.; Uzzaman, A.; Raftery, G.; Nash, D.; Lim, B.P.J. Parametric study and simplified design equations for cold-formed steel channels with edge-stiffened holes under axial compression. J. Constr. Steel Res. 2020, 172, 106161. [Google Scholar] [CrossRef]
- Fang, Z.; Roy, K.; Mares, J.; Sham, C.W.; Chen, B.; Lim, J.B. Deep learning-based axial capacity prediction for cold-formed steel channel sections using Deep Belief Network. Structures 2021, 33, 2792–2802. [Google Scholar] [CrossRef]
- Fang, Z.; Roy, K.; Chen, B.; Sham, C.W.; Hajirasouliha, I.; Lim, J.B. Deep learning-based procedure for structural design of cold-formed steel channel sections with edge-stiffened and un-stiffened holes under axial compression. Thin-Walled Struct. 2021, 166, 108076. [Google Scholar] [CrossRef]
- Fang, Z.; Roy, K.; Chen, B.; Xie, Z.; Lim, J.B. Local and distortional buckling behaviour of aluminium alloy back-to-back channels with web holes under axial compression. J. Build. Eng. 2022, 47, 103837. [Google Scholar] [CrossRef]
- Fang, Z.; Roy, K.; Lakshmanan, D.; Pranomrum, P.; Li, F.; Lau, H.H.; Lim, J.B. Structural behaviour of back-to-back cold-formed steel channel sections with web openings under axial compression at elevated temperatures. J. Build. Eng. 2022, 54, 104512. [Google Scholar] [CrossRef]
- Chen, B.; Roy, K.; Fang, Z.; Uzzaman, A.; Pham, C.H.; Raftery, G.; Lim, B.P.J. Shear capacity cold-formed steel channels with edge -stiffened hole, un-stiffened hole, and plain web. J. Struct. Eng. ASCE 2022, 148, 3250. [Google Scholar] [CrossRef]
- Yang, F.; Han, J.; Yang, J.; Li, Z. Analysis and experimental study on ultimate bearing capacity of structural members of cold-bending angle steel for transmission tower under axial compression. J. Power Syst. Technol. 2010, 2, 194–199. [Google Scholar]
- Xu, B. Stability and Bearing Capacity of Doub1e Lipped Channel Cold-Formed Thin-Wall Steel Column; Xi’an University of Architecture and Technology: Xi’an, China, 2017. [Google Scholar]
- Al-Sayed, S.H.; Bjorhovde, R. Experimental study of single angle columns. J. Constr. Steel Res. 1989, 12, 83–102. [Google Scholar] [CrossRef]
- Popovic, D.; Hancock, G.J.; Rasmussen, K.J.R. Compression tests on cold-formed angles loaded parallel with a leg. J. Struct. Eng. ASCE 2001, 127, 600–607. [Google Scholar] [CrossRef]
- Young, B. Tests and design of fixed-ended cold-formed steel plain angle columns. J. Struct. Eng. 2004, 130, 1931–1940. [Google Scholar] [CrossRef]
- Chodraui, G.M.B.; Shifferaw, Y.; Malite, M. On the stability of cold-formed steel angles under compression. Rem Rev. Esc. de Minas 2007, 60, 355–363. [Google Scholar] [CrossRef]
- Landesmann, A.; Camotim, D.; Dinis, P.B.; Cruz, R. Short-to-intermediate slender pin-ended cold-formed steel equal-leg angle columns: Experimental investigation, numerical simulation and DSM design. J. Eng. Struct. 2017, 132, 471–493. [Google Scholar] [CrossRef]
- Silvestre, N.; Dinis, P.B.; Camotim, D. Developments on the design of cold-formed steel angles. J. Struct. Eng. 2013, 139, 680–694. [Google Scholar] [CrossRef]
- Camotim, D.; Dinis, P.B.; Landesmann, A. Behavior, failure, and direct strength method design of steel angle columns: Geometrical simplicity versus structural complexity. J. Struct. Eng. 2020, 146, 04020226. [Google Scholar] [CrossRef]
- Zhang, L.; Liang, Y.; Zhao, O. Flexural-torsional buckling behaviour and resistances of fixed-ended press braked S690 high strength steel angle section columns. Eng. Struct. 2020, 223, 111180. [Google Scholar] [CrossRef]
- Zhang, L.; Wang, F.; Liang, Y.; Zhao, O. Press-braked S690 high strength steel equal-leg angle and plain channel section stub columns: Testing, numerical simulation and design. Eng. Struct. 2019, 201, 109764. [Google Scholar] [CrossRef]
- Wang, F.; Zhao, O.; Young, B. Testing and numerical modelling of S960 ultra-high strength steel angle and channel section stub columns. Eng. Struct. 2020, 204, 109902. [Google Scholar] [CrossRef]
- Dinis, P.B.; Camotim, D.; Landesmann, A. Design of simply supported hot-rolled steel short-to-intermediate angle columns-design approach based on the Direct Strength Method (DSM). J. Constr. Steel Res. 2019, 12, 278–290. [Google Scholar]
- Young, B. Experimental investigation of cold-formed steel lipped angle concentrically loaded compression members. J. Struct. Eng. 2005, 131, 1390–1396. [Google Scholar] [CrossRef]
- Young, B.; Ellobody, E. Buckling analysis of cold-formed steel lipped angle columns. J. ASCE J. Struct. Eng. 2005, 131, 1570–1579. [Google Scholar] [CrossRef]
- Shifferaw, Y.; Schafer, B.W. Cold-formed steel lipped and plain angle columns with fixed ends. Thin-Walled Struct. 2014, 80, 142–152. [Google Scholar] [CrossRef]
- Zhou, Y. Study the Axial Bearing Capacity of Cold-Formed Thin-Wall Steel Columns with Complex Lipped and Unequal Angular Sections; Zhengzhou University: Zhengzhou, China, 2020. [Google Scholar]
- Ananthi, B.G.G.; Roy, K.; Chen, B.; Lim, J.B.P. Testing, simulation and design of back-to-back built-up cold-formed steel unequal angle sections under axial compression. J. Steel Compos. Struct. 2019, 33, 595–614. [Google Scholar]
- General Administration of Quality Supervision, Inspection and Quarantine of the People’s Republic of China. Metallic Material Tensile Test Part 1: GB/T 228.1—2010; China Standards Press: Beijing, China, 2010. [Google Scholar]
- ABAQUS. ABAQUS/Standard User’s Manual Volumes I–III and ABAQUS CAE Manual; Dassault Systemes Simulia Corporation: Johnston, RI, USA, 2014. [Google Scholar]
- Zhou, X.; Chen, M. Experimental investigation and finite element analysis of web-stiffened cold-formed lipped channel columns with batten sheets. Thin-Walled Struct. 2018, 125, 38–50. [Google Scholar]
- American Iron and Steel Institute. North American Specification for the Design of Cold-Formed Steel Structural Members: AISI S100—2016; American Iron and Steel Institute: Washington, DC, USA, 2016. [Google Scholar]
- Schafer, B.W. CUFSM4.05—Finite Strip Buckling Analysis of Thin-Walled Members; Department of Civil Engineering, Johns Hopkins University: Baltimore, MD, USA, 2012. [Google Scholar]
- Ministry of Construction of the People’s Republic of China. Technical Specification for Cold-Formed Thin-Wall Steel Structures: GB50018-2002; China Planning Press: Beijing, China, 2002.


















| Cross-Section | a1/mm | a2/mm | b1/mm | b2/mm | c1/mm | c2/mm | t/mm |
|---|---|---|---|---|---|---|---|
| DLA6020 | 60 | 60 | 20 | 20 | 10 | 10 | 2 |
| DLA9020 | 90 | 60 | 20 | 20 | 10 | 10 | 2 |
| DLA12024 | 120 | 120 | 24 | 24 | 10 | 10 | 2 |
| Specimen | a1/mm | a2/mm | b1/mm | b2/mm | c1mm | c2/mm | t/mm | L/mm |
|---|---|---|---|---|---|---|---|---|
| DLA6020-400-1 | 61.62 | 61.54 | 20.95 | 20.99 | 11.63 | 11.48 | 1.97 | 400.00 |
| DLA6020-400-2 | 61.27 | 61.59 | 21.46 | 21.31 | 11.35 | 10.47 | 1.97 | 400.00 |
| DLA6020-900-1 | 61.02 | 60.71 | 21.33 | 20.73 | 10.32 | 10.84 | 1.97 | 900.00 |
| DLA6020-900-2 | 61.64 | 61.52 | 21.36 | 21.35 | 10.84 | 10.99 | 1.96 | 900.00 |
| DLA6020-1500-1 | 62.20 | 62.08 | 21.75 | 21.90 | 10.70 | 10.20 | 1.97 | 1500.00 |
| DLA6020-1500-2 | 61.71 | 62.00 | 21.35 | 21.74 | 11.28 | 11.43 | 1.98 | 1500.00 |
| DLA6020-2100-1 | 61.74 | 61.71 | 22.37 | 21.88 | 10.84 | 11.22 | 1.97 | 2100.00 |
| DLA6020-2100-2 | 61.44 | 61.33 | 21.37 | 22.29 | 10.52 | 11.95 | 1.96 | 2101.00 |
| DLA9020-400-1 | 91.56 | 91.72 | 21.77 | 21.79 | 10.78 | 10.17 | 1.96 | 400.00 |
| DLA9020-400-2 | 91.57 | 91.29 | 21.88 | 21.50 | 11.32 | 10.27 | 1.97 | 400.00 |
| DLA9020-900-1 | 91.65 | 91.97 | 21.34 | 20.88 | 11.59 | 10.10 | 1.98 | 900.00 |
| DLA9020-900-2 | 91.70 | 91.72 | 22.15 | 20.85 | 10.27 | 10.62 | 1.97 | 900.00 |
| DLA9020-1500-1 | 92.16 | 91.42 | 21.18 | 21.21 | 10.90 | 10.43 | 1.98 | 1499.50 |
| DLA9020-1500-2 | 92.86 | 92.57 | 21.70 | 21.02 | 11.12 | 11.09 | 1.99 | 1499.50 |
| DLA9020-2100-1 | 91.77 | 91.72 | 21.29 | 21.97 | 10.49 | 10.70 | 1.96 | 2101.10 |
| DLA9020-2100-2 | 92.58 | 91.84 | 20.79 | 21.03 | 10.82 | 10.88 | 2.00 | 2101.50 |
| DLA12024-400-1 | 120.15 | 121.40 | 25.60 | 25.72 | 12.85 | 13.06 | 1.98 | 400.00 |
| DLA12024-400-2 | 120.61 | 122.35 | 25.86 | 25.29 | 12.95 | 13.04 | 1.98 | 400.67 |
| DLA12024-900-1 | 122.29 | 121.34 | 24.89 | 25.08 | 13.02 | 12.23 | 1.98 | 900.00 |
| DLA12024-900-2 | 120.64 | 121.85 | 25.80 | 25.40 | 12.11 | 13.31 | 1.98 | 900.00 |
| DLA12024-1500-1 | 121.55 | 121.29 | 25.16 | 25.72 | 12.42 | 12.46 | 1.97 | 1499.90 |
| DLA12024-1500-2 | 121.44 | 121.68 | 25.37 | 25.69 | 12.54 | 12.73 | 1.97 | 1499.10 |
| DLA12024-2100-1 | 122.31 | 121.93 | 25.65 | 25.14 | 13.92 | 12.11 | 1.98 | 2101.10 |
| DLA12024-2100-2 | 122.32 | 120.99 | 25.47 | 24.98 | 12.62 | 13.40 | 1.98 | 2101.10 |
| Specimens | Experiment | Finite Element Analysis | Pm/Pt | ||
|---|---|---|---|---|---|
| Pt/kN | Buckling Mode | Pm/kN | Buckling Mode | ||
| DLA6020-400-1 | 106.00 | D | 107.62 | D | 1.02 |
| DLA6020-400-2 | 113.00 | D | 110.69 | D | 0.98 |
| DLA6020-900-1 | 100.10 | D + F | 99.74 | D + F | 1.00 |
| DLA6020-900-2 | 92.50 | D + F | 95.36 | D + F | 1.03 |
| DLA6020-1500-1 | 73.60 | D + F | 72.11 | D + F | 0.98 |
| DLA6020-1500-2 | 69.10 | D + F | 70.49 | D + F | 1.02 |
| DLA6020-2100-1 | 46.90 | D + F | 46.56 | D + F | 0.99 |
| DLA6020-2100-2 | 44.30 | D + F | 45.71 | D + F | 1.03 |
| DLA9020-400-1 | 139.90 | L + D | 140.02 | L + D | 1.00 |
| DLA9020-400-2 | 139.50 | L + D | 138.84 | L + D | 1.00 |
| DLA9020-900-1 | 119.90 | D + F + L | 120.49 | D + F + L | 1.00 |
| DLA9020-900-2 | 127.60 | D + F + L | 129.24 | D + F + L | 1.01 |
| DLA9020-1500-1 | 62.00 | D + F + L | 65.50 | D + F + L | 1.06 |
| DLA9020-1500-2 | 76.10 | D + F + L | 75.96 | D + F + L | 1.00 |
| DLA9020-2100-1 | 56.20 | D + F + L | 57.00 | D + F + L | 1.01 |
| DLA9020-2100-2 | 48.70 | D + F + L | 47.96 | D + F + L | 0.98 |
| DLA 12024-400-1 | 165.89 | D + F + L | 164.70 | D + F + L | 1.01 |
| DLA 12024-400-2 | 164.69 | D + F + L | 165.10 | D + F + L | 1.00 |
| DLA 12024-900-1 | 143.14 | D + F + L | 148.10 | D + F + L | 0.97 |
| DLA 12024-900-2 | 145.24 | D + F + L | 147.90 | D + F + L | 0.98 |
| DLA 12024-1500-1 | 127.76 | D + F + L | 130.20 | D + F + L | 0.98 |
| DLA 12024-1500-2 | 120.44 | D + F + L | 124.70 | D + F + L | 0.97 |
| DLA 12024-2100-1 | 95.75 | D + F + L | 101.00 | D + F + L | 0.95 |
| DLA 12024-2100-2 | 96.64 | D + F + L | 99.10 | D + F + L | 0.98 |
| Specimens | Test | DSM | MDSM | EWM | MEWM | Pz/Pt | Pza/Pt | Py/Pt | Pya/Pt |
|---|---|---|---|---|---|---|---|---|---|
| Pt/kN | Pz/kN | Pza/kN | Py/kN | Pya/kN | |||||
| DLA6020-400-1 | 106 | 110.24 | 108.24 | 83.87 | 99.42 | 1.04 | 1.02 | 0.79 | 0.94 |
| DLA6020-400-2 | 113 | 113.45 | 112.4 | 83.55 | 105.06 | 1 | 0.99 | 0.74 | 0.93 |
| DLA6020-900-1 | 100.1 | 73.07 | 105.43 | 42.35 | 88.51 | 0.73 | 1.05 | 0.42 | 0.88 |
| DLA6020-900-2 | 92.5 | 75.2 | 101.33 | 44.03 | 83.21 | 0.81 | 1.1 | 0.48 | 0.9 |
| DLA6020-1500-1 | 73.6 | 35.41 | 80.36 | 19.87 | 63.73 | 0.48 | 1.09 | 0.27 | 0.87 |
| DLA6020-1500-2 | 69.1 | 35.75 | 75.39 | 20.35 | 63.87 | 0.52 | 1.09 | 0.29 | 0.92 |
| DLA6020-2100-1 | 46.9 | 22.49 | 51.36 | 12.51 | 35.31 | 0.48 | 1.1 | 0.27 | 0.75 |
| DLA6020-2100-2 | 44.3 | 22.25 | 50.56 | 12.31 | 37.73 | 0.5 | 1.14 | 0.28 | 0.85 |
| DLA9020-400-1 | 139.9 | 100.25 | 140.99 | 91.57 | 127.97 | 0.72 | 1.01 | 0.65 | 0.91 |
| DLA9020-400-2 | 139.5 | 100.83 | 141.44 | 91.19 | 122.94 | 0.72 | 1.01 | 0.65 | 0.88 |
| DLA9020-900-1 | 119.9 | 68.76 | 123.5 | 50.97 | 113.45 | 0.57 | 1.03 | 0.43 | 0.95 |
| DLA9020-900-2 | 127.6 | 68.68 | 130.99 | 52.03 | 120.07 | 0.54 | 1.03 | 0.41 | 0.94 |
| DLA9020-1500-1 | 62 | 40.14 | 74.66 | 23.71 | 76.89 | 0.65 | 1.2 | 0.38 | 1.24 |
| DLA9020-1500-2 | 76.1 | 38.23 | 82.05 | 22.09 | 77.08 | 0.5 | 1.08 | 0.29 | 1.01 |
| DLA9020-2100-1 | 48.7 | 24.08 | 54.47 | 37.13 | 55.44 | 0.49 | 1.12 | 0.76 | 1.14 |
| DLA9020-2100-2 | 49.3 | 24.69 | 56.06 | 38.61 | 55.46 | 0.5 | 1.14 | 0.78 | 1.12 |
| DLA12024-400-1 | 165.89 | 176.27 | 185.32 | 176.27 | 162.59 | 1.06 | 1.12 | 1.06 | 0.98 |
| DLA12024-400-2 | 164.69 | 175.97 | 185.09 | 184.56 | 162.81 | 1.07 | 1.12 | 1.12 | 0.99 |
| DLA12024-900-1 | 143.14 | 114.77 | 153.67 | 151.27 | 146.35 | 0.80 | 1.07 | 1.06 | 1.02 |
| DLA12024-900-2 | 145.24 | 119.15 | 156.07 | 153.67 | 148.54 | 0.82 | 1.07 | 1.06 | 1.02 |
| DLA12024-1500-1 | 127.76 | 47.59 | 129.36 | 100.76 | 119.81 | 0.37 | 1.01 | 0.79 | 0.94 |
| DLA12024-1500-2 | 120.44 | 47.78 | 129.85 | 101.36 | 120.60 | 0.40 | 1.08 | 0.84 | 1.00 |
| DLA12024-2100-1 | 95.75 | 26.99 | 98.17 | 57.24 | 101.33 | 0.28 | 1.02 | 0.60 | 1.06 |
| DLA12024-2100-2 | 96.64 | 26.66 | 98.34 | 56.48 | 100.69 | 0.28 | 1.03 | 0.58 | 1.04 |
| Mean value | 0.639 | 1.075 | 0.625 | 0.904 | |||||
| Variance | 0.234 | 0.193 | 0.272 | 0.160 | |||||
| Coefficient of variation | 0.366 | 0.179 | 0.435 | 0.177 | |||||
Publisher’s Note: MDPI stays neutral with regard to jurisdictional claims in published maps and institutional affiliations. |
© 2022 by the authors. Licensee MDPI, Basel, Switzerland. This article is an open access article distributed under the terms and conditions of the Creative Commons Attribution (CC BY) license (https://creativecommons.org/licenses/by/4.0/).
Share and Cite
Yao, X.; Liu, Y.; Zhang, S.; Guo, Y.; Hu, C. Experiment and Design Method of Cold-Formed Thin-Walled Steel Double-Lipped Equal-Leg Angle under Axial Compression. Buildings 2022, 12, 1775. https://doi.org/10.3390/buildings12111775
Yao X, Liu Y, Zhang S, Guo Y, Hu C. Experiment and Design Method of Cold-Formed Thin-Walled Steel Double-Lipped Equal-Leg Angle under Axial Compression. Buildings. 2022; 12(11):1775. https://doi.org/10.3390/buildings12111775
Chicago/Turabian StyleYao, Xingyou, Yafei Liu, Shile Zhang, Yanli Guo, and Chengli Hu. 2022. "Experiment and Design Method of Cold-Formed Thin-Walled Steel Double-Lipped Equal-Leg Angle under Axial Compression" Buildings 12, no. 11: 1775. https://doi.org/10.3390/buildings12111775
APA StyleYao, X., Liu, Y., Zhang, S., Guo, Y., & Hu, C. (2022). Experiment and Design Method of Cold-Formed Thin-Walled Steel Double-Lipped Equal-Leg Angle under Axial Compression. Buildings, 12(11), 1775. https://doi.org/10.3390/buildings12111775
