A Mesoscopic Viewpoint on Slurry Penetration and Pressure Transfer Mechanisms for Slurry Shield Tunneling
Abstract
1. Introduction
2. Methodology and Theoretical Background
2.1. Particle Motion Equation
2.2. Fluid Motion Equation
2.3. Fluid–Solid Coupling
3. Adopted Numerical Model
3.1. Modeling the Slurry Penetration Using CFD-DEM
3.2. CFD Numerical Model and Boundary Conditions
3.3. Sand Column Initialization
4. Parametric Study
5. Numerical Results
5.1. Validation of the Numerical Model
5.2. Type of Slurry Infiltration
5.3. Slurry Support Mechanism
5.4. Analysis of the Slurry Support Effect
5.5. Time Effect of the Slurry Infiltration
6. Conclusions
- (1)
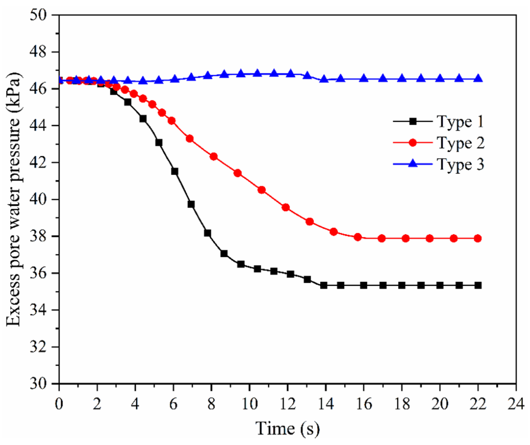
- There are three types of infiltration interactions between slurry and sand particles. When the slurry particle size is larger than the mean soil pore size (d85 ≥ 1.1 DP), the slurry particles are stagnantly deposited at the soil surface, and finally an intact filter cake will be formed. When the slurry particle size is close to the mean soil pore size (0.6 DP < d85 < 1.1 DP), the slurry particles will gradually fill the soil pores driven by the hydraulic gradient. With the development of penetration, loose filling will gradually transform into a dense filling network, and finally an intact filter cake will be formed. When the size of the slurry particles is smaller than the mean soil pore size (d85 ≤ 0.6 DP), the slurry particles will migrate through the soil pores.
- (2)
- The dense filling of soil pores by slurry particles significantly increases the water pressure gradient in the infiltration zone, which leads to a decrease in the pressure gradient within the deep soil. The slurry particles in the surface layer become denser and denser driven by the larger pressure gradient, and eventually develop into a dense filter cake. Once an intact filter cake or dense filling network is formed, a large excess pore water pressure drop will occur on both sides of the filter cake. The reduced excess pore water pressure on the inner side is the effective slurry support pressure acting on the soil skeleton. In that way, the slurry support pressure can eventually be converted to an effective support pressure.
- (3)
- The slurry infiltration process has an obvious time effect, in which the penetration distance of slurry particles entering the interior of the soil pore space gradually increases with time. The slurry penetration distance is an important evaluation index of the slurry support pressure efficiency. The larger the penetration distance, the worse the support pressure efficiency. The penetration distance varies nonlinearly with time and eventually tends to a constant value. However, for the purely infiltration zone mechanism, the slurry penetration distance basically changes linearly within the sand column height, which will result in large slurry filtration loss eventually.
Author Contributions
Funding
Institutional Review Board Statement
Informed Consent Statement
Data Availability Statement
Conflicts of Interest
References
- Horn, M. Horizontal earth pressure on perpendicular tunnel face. In Hungarian National Conference of the Foundation Engineer Industry; Hungary Press: Budapest, Hungary, 1961; pp. 7–16. [Google Scholar]
- Anagnostou, S.T.G. The contribution of horizontal arching to tunnel face stability. Geotechnik 2012, 35, 34–44. [Google Scholar] [CrossRef]
- Anagnostou, G.; Perazzelli, P. The stability of a tunnel face with a free span and a non-uniform support. Geotechnik 2013, 36, 40–50. [Google Scholar] [CrossRef]
- Leca, E.; Dormieux, L. Upper and lower bound solutions for the face stability of shallow circular tunnels in frictional material. Géotechnique 1990, 40, 581–606. [Google Scholar] [CrossRef]
- Soubra, A.H. Kinematical approach to the face stability analysis of shallow circular tunnels. In Proceedings of the 8th International Symposium on Plasticity, Vancouver, BC, Canada, 2000; pp. 443–445. Available online: https://hal.archives-ouvertes.fr/hal-01008370 (accessed on 14 September 2022).
- Subrin, D.; Wong, H. Stabilité du front d’un tunnel en milieu frottant: Un nouveau mécanisme de rupture 3D. CR Mécanique. 2002, 330, 513–519. [Google Scholar] [CrossRef]
- Ding, W.; Liu, K.; Shi, P.; Li, M.; Hou, M. Face stability analysis of shallow circular tunnels driven by a pressurized shield in purely cohesive soils under undrained conditions. Comput. Geotech. 2018, 107, 110–127. [Google Scholar] [CrossRef]
- Mollon, G.; Dias, D.; Soubra, A.-H. Face Stability Analysis of Circular Tunnels Driven by a Pressurized Shield. J. Geotech. Geoenviron. 2010, 136, 215–229. [Google Scholar] [CrossRef]
- Mollon, G.; Dias, D.; Soubra, A.-H. Rotational failure mechanisms for the face stability analysis of tunnels driven by a pressurized shield. Int. J. Numer. Anal. Methods Géoméch. 2010, 35, 1363–1388. [Google Scholar] [CrossRef]
- Huang, M.; Li, S.; Yu, J.; Tan, J.Q.W. Continuous field based upper bound analysis for three-dimensional tunnel face stability in undrained clay. Comput. Geotech. 2018, 94, 207–213. [Google Scholar] [CrossRef]
- Zou, J.; Chen, G.; Qian, Z. Tunnel face stability in cohesion-frictional soils considering the soil arching effect by improved failure models. Comput. Geotech. 2018, 106, 1–17. [Google Scholar] [CrossRef]
- Zhang, C.; Li, W.; Zhu, W.; Tan, Z. Face stability analysis of a shallow horseshoe-shaped shield tunnel in clay with a linearly increasing shear strength with depth. Tunn. Undergr. Space Technol. 2020, 97, 103291. [Google Scholar] [CrossRef]
- Zhang, Y.; Gong, G.; Yang, H.; Li, W.; Liu, J. Precision versus intelligence: Autonomous supporting pressure balance control for slurry shield tunnel boring machines. Autom. Constr. 2020, 114, 103173. [Google Scholar] [CrossRef]
- Morgenstern, N.; Amir-Tahmasseb, I. The Stability of a Slurry Trench in Cohesionless Soils. Géotechnique 1965, 15, 387–395. [Google Scholar] [CrossRef]
- Müller-Kirchenbauer, H. Stability of slurry trenches. In Proceedings of the 5th European Conference on Soil Mechanics and Foundation Engineering, Madrid, Spain, 10–13 April 1972; pp. 543–553. [Google Scholar]
- Kilchert, M.; Karstedt, J. Band 2 Standsicherheitsberechnung von Schlitzwaenden nach DIN 4126; Bauverlag GmbH (Beuth-Kommentare): Wiesbaden/Berlin, Germany, 1984. [Google Scholar]
- Zizka, Z.; Schoesser, B.; Thewes, M. Investigations on transient support pressure transfer at the tunnel face during slurry shield drive part 1: Case A–Tool cutting depth exceeds shallow slurry penetration depth. Tunn. Undergr. Space Technol. 2021, 118, 104168. [Google Scholar] [CrossRef]
- Talmon, A.M.; Mastbergen, D.R.; Huisman, M. Invasion of Pressurized Clay Ssuspension into Granular Soil. J. Porous Media 2013, 351–365. [Google Scholar] [CrossRef]
- Watanabe, T.; Yamazaki, H. Giant size slurry shield is a success in Tokyo. Tunn. Tunnell. 1981, 13, 13–17. [Google Scholar]
- Khan, R.A.; Sharma, R. Strength and Durability Characteristics of Rice Husk Ash Concrete Reinforced with Polypro-pylene Fibres. Jordan J. Civ. Eng. 2018, 12, 653–668. [Google Scholar]
- Simons, H.; Ruppert, F. Entwicklung geeigneter Verfahren zum Messen der physikalischen Eigenschaften von Ben-tonitsuspensionen auf Baustellen. In Mitteilung des Lehrstuhls für Grundbau und Bodenmechanik; Technische Universität: Braunschweig, Germany, 1982. [Google Scholar]
- Cheng, Z.L.; Wu, Z.M.; Xu, Y.Y. Experimental study on stability of excavation face of slurry shield tunnel construction in sandy ground. J. Yangtze River Sci. Res. Institute. 2001, 18, 53–55. (In Chinese) [Google Scholar]
- Fritz, P. Additives for Slurry Shields in Highly Permeable Ground. Rock Mech. Rock Eng. 2006, 40, 81–95. [Google Scholar] [CrossRef]
- Fritz, P.; Hermanns, S.R.; Heinz, A. Modified bentonite slurries for slurry shields in highly permeable soils. In Proceedings of the 4th International Symposium Geotechnical Aspects of Underground Construction in Soft Ground, Toulouse, France, 28–31 August 2002. [Google Scholar]
- Han, X.R.; Zhu, W.; Liu, Q.W.; Zhong, X.C.; Min, F.L. Influence of slurry property on filter cake quality on working face of slurry shield. Rock Soil Mech. 2008, 29, 288–292. (In Chinese) [Google Scholar]
- Min, F.-L.; Zhu, W.; Han, X.-R.; Zhong, X.-C. The Effect of Clay Content on Filter-Cake Formation in Highly Permeable Gravel. Geotech. Spec. Publ. 2010, 204, 210–215. [Google Scholar] [CrossRef]
- Min, F.; Zhu, W.; Han, X. Filter cake formation for slurry shield tunneling in highly permeable sand. Tunn. Undergr. Space Technol. 2013, 38, 423–430. [Google Scholar] [CrossRef]
- Krause, T. Schildvortrieb Flüssigkeitsgestuetzte Ortsbrust. Master’s Thesis, Technische Universität, Braunschweig, Germany, 1987. [Google Scholar]
- Anagnostou, G.; Kovdri, K. The face stability of slurry-shield-driven tunnels. Tunn. Undergr. Sp. Tech. 1994, 9, 165–174. [Google Scholar] [CrossRef]
- Xu, T.; Bezuijen, A. Analytical methods in predicting excess pore water pressure in front of slurry shield in saturated sandy ground. Tunn. Undergr. Space Technol. 2018, 73, 203–211. [Google Scholar] [CrossRef]
- Zhang, Z.; Yin, T.; Huang, X.; Dias, D. Slurry filtration process and filter cake formation during shield tunnelling: Insight from coupled CFD-DEM simulations of slurry filtration column test. Tunn. Undergr. Space Technol. 2019, 87, 64–77. [Google Scholar] [CrossRef]
- Itasca Consulting Group Inc. PFC 5.0 Documentation. Available online: https://www.itascacg.com/software/pfc (accessed on 20 October 2019).
- Tsuji, Y.; Kawaguchi, T.; Tanaka, T. Discrete particle simulation of two-dimensional fluidized bed. Powder Technol. 1993, 77, 79–87. [Google Scholar] [CrossRef]
- Wang, Y.; Chai, J.; Xu, Z.; Qin, Y.; Wang, X. Numerical Simulation of the Fluid–Solid Coupling Mechanism of Internal Erosion in Granular Soil. Water 2020, 12, 137. [Google Scholar] [CrossRef]
- Guyer, J.E.; Wheeler, D.; Warren, J.A. FiPy: Partial Differential Equations with Python. Comput. Sci. Eng. 2009, 11, 6–15. [Google Scholar] [CrossRef]
- Eichholz, C.; Nirschl, H.; Chen, F.; Hatton, T.A. DEM-simulation of the magnetic field enhanced cake filtration. AIChE J. 2012, 58, 3633–3644. [Google Scholar] [CrossRef]
- Zizka, Z.; Schoesser, B.; Thewes, M.; Schanz, T. Slurry Shield Tunneling: New Methodology for Simplified Prediction of Increased Pore Pressures Resulting from Slurry Infiltration at the Tunnel Face Under Cyclic Excavation Processes. Int. J. Civ. Eng. 2018, 17, 113–130. [Google Scholar] [CrossRef]
- Rui, J.; Wei, Z.; Fan-Lu, M. Effect of Particle Size Distribution of Slurry and Pore Size of Stratum on Formation of Filter Cake in Slurry Shield. China J. Highw. Transp. 2017, 30, 100–108. [Google Scholar] [CrossRef]
- Yang, D.; Xia, Y.M.; Wu, D.; Chen, P.; Zeng, G.Y.; Zhao, X.Q. Numerical investigation of pipeline transport character-istics of slurry shield under gravel stratum. Tunn. Undergr. Space Technol. 2018, 71, 223–230. [Google Scholar] [CrossRef]
- Bonkinpillewar, P.D.; Kulkarni, A.; Panchagnula, M.V.; Vedantam, S. A novel coupled fluid–particle DEM for simulating dense granular slurry dynamics. Granul. Matter 2015, 17, 511–521. [Google Scholar] [CrossRef]
- Wei, X.; Min, F.L.; Zhong, X.C. Slurry and Filter Cake in Slurry Shield; Science Press: Beijing, China, 2016. [Google Scholar]
- Kawano, K. Numerical Evaluation of Internal Erosion Due to Seepage Flow. Ph.D. Thesis, Imperial College London, London, UK, 2016. [Google Scholar]
- Sherard, J.L.; Dunnigan, L.P.; Talbot, J.R. Basic Properties of Sand and Gravel Filters. J. Geotech. Eng. 1984, 110, 684–700. [Google Scholar] [CrossRef]
- Mehta, A.J.; Lee, S.C. Problems in linking the threshold condition for thetransport of cohesionless and cohesive sediment grain. J. Coastal Res. 1993, 10, 170–177. [Google Scholar]
- Pierre, A.C.; Ma, K.; Barker, C. Structure of kaolinite floes formed in an aqueous medium. J. Mater. Sci. 1995, 30, 2176–2181. [Google Scholar] [CrossRef]
- Weiss, F. Die Standfestigkeit Flüssigkeitsgestützter Erdwände; Ernst & Sohn: München, Germany, 1967. [Google Scholar]
- Müller-Kirchenbauer, H. Zur Standsicherheit von Schlitzwänden in geschichteten Baugrund; Veröffentlichung des Grundbauinstitus der Technicschen Universität Berlin: Berlin, Germany, 1977; Volume 1, pp. 72–88. [Google Scholar]
















| Parameters | Value |
|---|---|
| Volumetric weight | 2000 kg/m3 |
| Young’s modulus | 70 GPa |
| Poisson’s ratio | 0.3 |
| Friction coefficient | 0.5 |
| Restitution | 0.3 |
| Particle number | 5689~5877 |
| Diameter | 250~2000 μm |
| Contact model | Hertz |
| Items | Parameters | Value |
|---|---|---|
| Slurry particle | Volumetric weight | 2000 kg/m3 |
| Young’s modulus | 5 MPa | |
| Poisson’s ratio | 0.3 | |
| Friction coefficient | 0.05 | |
| Restitution | 0.3 | |
| Particle number | 28,461~371,083 | |
| Diameter | 20~160 μm | |
| Contact model | Hertz | |
| Fluid | Volumic weight | 1000 kg/m3 |
| Kinematic viscosity | 1 × 10−6 m2/s | |
| Fluid type | Newtonian |
| Soil Types | Particle Size, D/(μm) | Coefficient of Nonuniformity, Cu | Coefficient of Curvature,Cc | Mean Grain Size, D0/(μm) | Permeability Coefficient k/(m·s−1) | Average Pore Size, DP/(μm) |
|---|---|---|---|---|---|---|
| S1 | 250~500 | 1.43 | 1.05 | 375 | 0.001 | 71 |
| S2 | 500~1000 | 1.45 | 1.01 | 750 | 0.004 | 142 |
| S3 | 1000~2000 | 1.40 | 1.02 | 1500 | 0.016 | 285 |
| Slurry Types | Slurry Particle Size d/(μm) | Characteristic Grain Size, d85/(μm) | Coefficient of Nonuniformity, Cu | Coefficient of Curvature, Cc |
|---|---|---|---|---|
| SL1 | 20~70 | 60 | 1.53 | 0.92 |
| SL2 | 40~90 | 80 | 1.27 | 1.03 |
| SL3 | 60~110 | 100 | 1.24 | 1.00 |
| SL4 | 90~140 | 130 | 1.14 | 1.01 |
| SL5 | 110~160 | 142 | 1.12 | 1.02 |
| Case Numbers | Particle Size, D/(μm) | Average Pore Size, DP/(μm) | Characteristic Grain Size, d85/(μm) | d85/DP | Model Size,(*r × h: mm) | Particles Number, (Soil/Slurry) |
|---|---|---|---|---|---|---|
| ① | S1:250~500 | 71 | SL1:60 | 0.8 | 3 × 15 | 5826/185,525 |
| ② | SL2:80 | 1.1 | 5826/126,488 | |||
| ③ | SL3:100 | 1.4 | 5826/94,254 | |||
| ④ | SL4:130 | 1.8 | 5826/42,850 | |||
| ⑤ | SL5:142 | 2.0 | 5826/28,461 | |||
| ⑥ | S2:500~1000 | 142 | SL1:60 | 0.4 | 6 × 30 | 5689/371,083 |
| ⑦ | SL2:80 | 0.6 | 5689/329,737 | |||
| ⑧ | SL3:100 | 0.7 | 5689/226,017 | |||
| ⑨ | SL4:130 | 0.9 | 5689/121,898 | |||
| ⑩ | SL5:142 | 1.0 | 5689/113,724 | |||
| ⑪ | S3:1000~2000 | 285 | SL3:100 | 0.4 | 12 × 60 | 5877/287,564 |
| ⑫ | SL5:142 | 0.5 | 5877/206,351 |
| Items | Penetration Path, L(mm) | Slurry Pressure Difference, △P(kPa) | Permeability Coefficient, k(mm/s) | Permeability Time, t(s) |
|---|---|---|---|---|
| Test model | L = 200 | △P = 50 | k1 | t |
| Numerical model | a × L | b × △P | k2 |
| Soil Slurry | S1 | S2 | S3 | ||||||
|---|---|---|---|---|---|---|---|---|---|
| d85/DP | *D15/d85 | Type | d85/DP | D15/d85 | Type | d85/DP | D15/d85 | Type | |
| SL1 | 0.8 | 5.5 | 2 | 0.4 | 10.6 | 3 | - | - | - |
| SL2 | 1.1 | 4.1 | 1 | 0.6 | 7.9 | 3 | - | - | - |
| SL3 | 1.4 | 3.3 | 1 | 0.7 | 6.4 | 2 | 0.4 | 12.7 | 3 |
| SL4 | 1.8 | 2.5 | 1 | 0.9 | 4.9 | 2 | - | - | - |
| SL5 | 2.0 | 2.3 | 1 | 1.0 | 4.5 | 2 | 0.5 | 8.9 | 3 |
Publisher’s Note: MDPI stays neutral with regard to jurisdictional claims in published maps and institutional affiliations. |
© 2022 by the authors. Licensee MDPI, Basel, Switzerland. This article is an open access article distributed under the terms and conditions of the Creative Commons Attribution (CC BY) license (https://creativecommons.org/licenses/by/4.0/).
Share and Cite
Liu, K.; Ding, W.; Qu, C. A Mesoscopic Viewpoint on Slurry Penetration and Pressure Transfer Mechanisms for Slurry Shield Tunneling. Buildings 2022, 12, 1744. https://doi.org/10.3390/buildings12101744
Liu K, Ding W, Qu C. A Mesoscopic Viewpoint on Slurry Penetration and Pressure Transfer Mechanisms for Slurry Shield Tunneling. Buildings. 2022; 12(10):1744. https://doi.org/10.3390/buildings12101744
Chicago/Turabian StyleLiu, Keqi, Wantao Ding, and Chunxu Qu. 2022. "A Mesoscopic Viewpoint on Slurry Penetration and Pressure Transfer Mechanisms for Slurry Shield Tunneling" Buildings 12, no. 10: 1744. https://doi.org/10.3390/buildings12101744
APA StyleLiu, K., Ding, W., & Qu, C. (2022). A Mesoscopic Viewpoint on Slurry Penetration and Pressure Transfer Mechanisms for Slurry Shield Tunneling. Buildings, 12(10), 1744. https://doi.org/10.3390/buildings12101744
