Next Article in Journal
Bearing Behavior of Axially Compressed High-Strength Steel Columns in Precipitator Casing Considering the Stressed-Skin Effect of Wallboard
Previous Article in Journal
Site Measurement Study on Mechanical Properties of SMW Piles of Building Structures in Sandy Soil Areas
Previous Article in Special Issue
Genetic Algorithm for Optimal Placement of Steel Plate Shear Walls for Steel Frames
 
 
Font Type:
Arial Georgia Verdana
Font Size:
Aa Aa Aa
Line Spacing:
Column Width:
Background:
Article

Optimal Design of Semirigid Connection Steel Frame with Steel Plate Shear Walls Using Dolphin Echolocation Algorithm

1
State Key Laboratory of Subtropical Building Science, South China University of Technology, Guangzhou 510640, China
2
Mechanical Engineering Department, University Center for Research & Development, Chandigarh University, Mohali 140413, Punjab, India
3
School of Mechanical and Automotive Engineering, Qingdao University of Technology, Qingdao 266520, China
4
Structural Engineering and Construction Management, Future University in Egypt, New Cairo 11835, Egypt
*
Author to whom correspondence should be addressed.
Buildings 2022, 12(10), 1735; https://doi.org/10.3390/buildings12101735
Submission received: 16 August 2022 / Revised: 10 October 2022 / Accepted: 13 October 2022 / Published: 19 October 2022

Abstract

Steel frame with steel plate shear walls (SPSWs) is used to resist lateral loads caused by wind and earthquakes in high-rise buildings. In this load-resisting system, the cost and performance are more efficient than in the moment frame system. Behaviors of beam-to-column connections are assumed to be pinned or fixed to simplify the calculation in the past few decades. However, studies have stated that such a simulation fails to reveal the response of beam-to-column connections. In this paper, a newly developed metaheuristic optimization algorithm—the dolphin echolocation algorithm (DE)—based on foraging prey using echolocation in dolphins is applied as the present study optimizer. Two different two-dimensional semirigid connection steel frames with SPSWs are optimized to obtain the minimum cost of semirigid connection steel frame with steel plate shear walls with constraints to element stresses and story drift ratio according to the American Institute of Steel Construction (AISC) Load and Resistance Factor Design (LFRD). SPSW is modeled as a brace with equivalent lateral stiffness, while the P effects are considered in the steel frame. Semirigid connections are used to reveal the actual responses of beam-to-column connections. The results demonstrate the proposed method’s effectiveness for optimizing semirigid connection steel frames with SPSWs and the interaction between semirigid connections and the SPSWs.

1. Introduction

Steel plate shear wall (SPSW) is a relatively new lateral bearing system that has been around since the 1970s. Several researchers have revealed that the strength caused by postbuckling plays a vital role in thin unstiffened SPSW systems, making it a more economical alternative than traditional lateral bearing systems. In addition, high initial stiffness, substantial ductility, stable hysteretic characteristics, and a large capacity for plastic energy absorption are also the advantages of SPSW [1]. During the 1980s and the 1990s, analytical and experimental works were conducted by various researchers, such as Thorburn et al. [2], Timler and Kulak [3], Tromposch and Kulak [4], Elgaaly [5], and Driver et al. [6]. In the last two decades, plastic analysis has been carried out by Berman and Bruneau [7], Kharmale and Ghosh [8], Zadeh et al. [9], and Guo et al. [10].
In 1931, Wagner [11] developed diagonal tension field theory, and it shifted the use of thick SPSW to thin SPSW by considering the postbuckling strength of infilled panels. On the basis of the diagonal tension field theory, Thorburn et al. [2] proposed a simple analytical model to represent the shear behavior of thin unstiffened SPSW. In this model, also known as the multistrip model (SM) (Figure 1), a series of pin-ended inclined members that can only be subjected to tension forces are used to model the tension field. The angle of the tension field was calculated using the principle of least work.
Apart from the multistrip model, Thorburn et al. [2] proposed a modified strip model (MSM) (Figure 2), in which the infilled panel is modeled as a single diagonal brace by sharing the same lateral stiffness. Compared with the multistrip model, the advantage of the equivalent brace model is the reduced computation. The downside of this model is the lack of accuracy in the results since it does not represent the distributed forces applied by the SPSW on the vertical boundary element (VBE) for a column and horizontal boundary element (HBE) for a beam.
Zhou [12] introduced a new analytical model named the unified strip model (USM) (Figure 3), which takes both pure shear and pure tension fields into account. The proportion of pure shear is η , while that of the tension field is ( 1 η ) in this model, and by changing the thickness of the infilled plate, the η consequently differs.
Metaheuristics shows tremendous advantages in the optimization problem. Inspired by biology, researchers developed various aspects of optimum design tools. Kaveh and Farhoudi [13] complied with four algorithms for the layout optimization of steel-braced frames. Toğan [14] introduced teaching–learning-based optimization (TLBO) technique to optimize planar steel moment-resisting frames. Kaveh and Farhoudi [15] proposed a new bio-based dolphin echolocation algorithm (DE). By comparing it with the other four algorithms, they concluded that DE shows higher convergence rates which makes it more efficient than other algorithms.
Studies on the optimization design of steel brace frames can be found, such as Doan and Lee [16], Lee and Shin [17], and Lee et al. [18]. Gholizadeh and Shahrezaei [19] studied the arrangement of steel plate shear walls, and Saedi Daryan et al. [20] presented an optimization design of steel frames with SPSW using a modified dolphin algorithm. Apart from the studies mentioned above, a few studies of steel frames with SPSW have also been conducted.
In this paper, the DE algorithm will be used to perform the optimization design of steel frames with SPSW. In addition, semirigid connections are applied instead of pinned or fixed connections. Moreover, the P effects are also considered. The USM model is used to evaluate the effects of shear and tension fields, and a brace with equivalent lateral stiffness is used to replace the SPSW.

2. Dolphin Echolocation (DE) Algorithm

During the hunting process, a dolphin generates clicks, and when the clicks hit its prey, it reflects toward the dolphin. As soon as the dolphin receives the sound, it generates another click. The time gap between two clicks allows the dolphin to locate the prey. By simulating the way of dolphin hunting, Kaveh and Farhoudi [15] introduced the DE algorithm.
Before conducting the algorithm, the alternatives should be sorted in an ascending or descending order, and the vector A j of the length L A j for variable j is created. Combining j th variable next to another, the matrix of alternatives with the dimension of M A × N V is generated, in which M A is m a x ( L A j ) j = 1 : N V , and N V is the number of variables.
A curve with the changing convergence factor during the optimization process is assigned.
P P ( L o o p i ) = P P 1 + ( 1 P P 1 )   L o o p   i P o w e r   1 ( L o o p s   N u m b e r   ) P o w e r   1
where P P is the predefined probability, P P 1 is the convergence factor of the first loop, L o o p i is the number of the current loop, P o w e r is the degree of the curve, and L o o p s   N u m b e r is the total number of loops in which the algorithm should reach the convergence point. This number is determined by the user.
The main steps for utilizing DE are as follows:
  • Generate NL locations for a dolphin randomly.
This step creates M A × N V matrix, in which M A is the number of locations and N V is the number of variables;
2.
Calculate the P P of the first loop using Equation (1);
3.
Calculate the fitness of each location.
The fitness of the better answers in one loop should be assigned higher values;
4.
Calculate the accumulative fitness
F ( A + k ) j = 1 R e × ( R e | k | )   F i t n e s s   ( i ) + A F ( A + k ) j
where   A F ( A + k ) j is the accumulative fitness of the ( A + k ) th alternative to be chosen for the j th variable, and R e is the effective radius in which the accumulative fitness of the alternative A ’s neighbors is affected by its fitness. It should be noticed that the A F is calculated using a reflective characteristic for alternatives near edges.
5.
A small value is added to all the arrays to distribute the possibility evenly with
A F = A F + ϵ
6.
Calculate the probability of each variable based on the following relationship:
P i j = A F i j i = 1 L A j A F i j
7.
Assign a probability equal to P P to all alternatives chosen for all variables of the best location and devote the rest of the probability to the other alternatives according to the following equation:
P i j = ( 1 P P ) P i j
8.
Generate the following location according to the probabilities assigned to each alternative.
Repeat steps 2–8 L o o p s   N u m b e r times. The flowchart is given in Figure 4.

3. Problem Formulation

Finding a set of design variables that satisfy the minimum cost is the main objective of an optimization problem. Certain conditions constrain these variables. In the steel frame, this type of optimization problem can be summarized as the following formulation to find X :
To minimize:
C ( X ) = n = 1 n e ρ 1 i A i L i + k = 1 n s ρ 2 k t k l k h k + m = 1 n c ρ 3 m S m
Subject to:
g j ( X ) 0 , j = 1 , 2 , , n g
where C is the structural cost and the total structural weight, n e is the number of members, ρ 1 i , A i , and L i are the cost per unit volume, cross-sectional area, and length of the i th member, respectively, n s is the number of SPSWs, ρ 2 k , t k , l k , and h k are the cost per unit volume, thickness, length, and height of the k th SPSW, respectively, β i is the density of steel, n c is the number of semirigid connections, ρ 3 m and S m are the cost per initial rotation stiffness and initial rotation stiffness of the m th connection, respectively, g j is the j th constraint, and n g is the number of constraints.
In this paper, the structural member should satisfy the American Institute of Steel Construction Load and Resistance Factor Design (AISC-LRFD) in terms of strength, inertia, and story drift.
(a)
Beam and column strength
f o r   P u ϕ c P n < 0.2 ; ( P u 2 ϕ c P n + M u x ϕ b M n x ) 1
f o r   P u ϕ c P n 0.2 ; ( P u ϕ c P n + 8 9 M u x ϕ b M n x ) 1
where P u is the required axial strength, P n is the nominal axial strength, c is the resistance factor, M u is the required flexural strength, M n is the nominal flexural strength, and b is the flexural resistance reduction factor.
(b)
For VBE and HBE, the stiffness requirement given by Sabelli and Bruneau [21] is as follows:
I V B E 0.00307 t w h 4 L
I H B E 0.003 Δ t w L 4 h
where t w is the difference between the web plate thickness above and below the HBE.
(c)
The design story drift at level i is as follows:
Δ i = ( δ e i δ e ( i 1 ) ) C d I e h s i 0.02
where h s i is the storey height below level i , δ e i is the deflection at level i determined by an elastic analysis, C d is the deflection amplification factor, I e is the important factor.
(d)
In the preliminary design stage, the shear is assumed to be carried by the SPSW only, and the thickness under the shear load is given as follows:
t w V u ϕ 0.42 F y L c f s i n ( 2 α )
where V u is the required shear strength, ϕ is the resistance factor given in AISC 341, F y is the infilled panel yield stress, L c f is the clear distance between VBE flanges, and α is assumed to be 45 ° .

4. Semirigid Connection Steel Frame with Steel Plate Shear Wall

4.1. Semirigid Connection

The present practical design process assumes the beam-to-column connections behave as pinned or fixed connections. This approach could lead to a less accurate prediction of the system’s response and exclude the effect of the internal force distribution because of the flexibility. Therefore, it is suggested that the complete nonlinear moment rotation characteristics of the connection should be considered during the design process. Additionally, Since the wall plate and beam are not meant to slip, the bolt slip does not affect stiffness in the strip model. As a design method, the base shear and the force exerted by the horizontal seismic force are assumed to be the same in the equivalent system with one degree of freedom.
The initial rotational stiffness, which is used for the elastic analysis of semirigid connection, is given as follows [22]:
S j , i n i = M j ϕ j = F z F z 1 k i = z 2 1 k i
where M j is the bending moment of connection, j is the rotation of connection, z is the distance between the bottom edge of the beam and the top edge of the slab, and k is the stiffness coefficient of the components.
According to Moghaddam and Sadrara [23,24], Qin et al. [25], Zhang et al. [26], Azizinamini et al. [27], and Brown and Anderson [28], the initial rotational stiffness varies between 1000 kNm / rad and 300,000 kNm / rad . It is thus the stiffness of joints, particularly their initial rotational stiffness, that is of importance in this regard. Consideration of the stiffness of semirigid joints at their initial rotation, both in the sway and rotation directions, has been shown to result in significant cost savings frames [23,24,25] and non-sway frames [26]. Members’ buckling behavior is also affected by rotational stiffness. For this reason, many design standards [23,24,25] and handbooks [26] provide chord stress functions for measuring the effects of these stresses on the joints’ resistances. A joint’s surface may be subject to normal stresses at the point where the connected member is mounted. Literary results reported that the axial stress in the main member of square hollow section joints is found to significantly affect the initial rotational stiffness of these joints based on 3D FEM analysis. With compressed loads, stiffness decreases by 50%, while tensile loads increase stiffness by 30%. Based on the brace-to-chord width ratio as well as the chord width-to-thickness ratio, it has been found that the observed effect is dependent on these variables [25,26].
According to Xu and Grierson [29], the cost of a semirigid connection is calculated as follows:
C = R i 0.225 w i a i R i j
where R i is the rotation stiffness of the joint i , w i and a i are the weight and cross-sectional area of a beam, and R i j is the average rotation stiffness of all joints.

4.2. P—Δ Effect

The flexibility of semirigid connections increases the deformation of a structure [30,31,32]. Therefore, the P effect should be considered during the analysis process.
Element second-order stiffness matrix of semirigid connections in local coordinates considering connection flexibility is given as follows [33]:
[ k ¯ ] i ( e ) = [ E A L 0 ( α i i + 2 α i j + α i j ) E I L 3 P ¯ L 0 ( α i i + α i j ) E I L 2 E I L α i i S Y M E A L 0 0 0 P ¯ L ( α i i + 2 α i j + α i j ) E I L 3 ( α i i + α i ) E I L 2 0 ( α i j + α i j ) E I L 2 E I L α i j E A L 0 ( α i i + 2 α i j + α i ) E I L 3 P ¯ L 0 ( α i j + α i j ) E I L 2 E I L α i j ]
α i i = 1 R [ C + K ( C 2 S 2 ) R k B ]
α j j = 1 R [ C + K ( C 2 S 2 ) R k A ]
α i j = S R
R = ( 1 + K C R k A ) ( 1 + K C R k B ) K 2 S 2 R k A R k B
K = E A L
C = u ( tg u u ) tg u ( 2 t g u 2 u )
S = u ( u sin u ) sin u [ 2 t g ( u 2 ) u ]
u = L P ¯ E I
where A is the area of the cross section, E is young’s modulus, I is the moment of inertia of the cross section, L is the length of the element, P ¯ is the axial force of the element, and R k A and R k B are the initial rotation stiffness of the end A and B of the element.

4.3. Unified Strip Model (USM)

Zhou [12] introduced a new model named USM. This model considers both tension field and shear by using a coefficient η . The proportion of the complete shear mechanism is η , and that of the entire tension field mechanism is 1 η .
Coefficient η is calculated as follows:
η = [ 1.0 , λ n 0.8 1 0.88 ( λ n 0.8 ) , 0.8 < λ n 1.2 0.94 λ n 2 , λ n > 1.2
λ n = τ y τ c r
λ n { ( , 0.8 ] ,         thick   plate   ( 0.8 , 1.2 ] ,   moderate - thick   plate ( 1.2 , + ) ,   thin   plate
where λ n is the common height/thickness ratio, τ y is the embedded steel plate’s shear yield stress, and τ c r is the infilled plate’s elastic critical buckling shear stress.

4.4. Simplified Model

In this paper, a brace with cross-sectional area A is used to replace the SPSW with equivalent lateral stiffness as the simplified model, as shown in Figure 5a,b, respectively. The lateral stiffness of the infilled plate caused by the tension field is given by Kharrazi [34]:
K w = ( τ c r + 1 2 × σ t y × s i n 2 θ ) ( τ c r G + 2 × σ t y E × s i n 2 θ ) × b × t d
Typically, the columns are assumed to be rigid under the tension force caused by the developed tension field. Consequently, the angle θ equals 45 ° to the horizontal, and Equation (15) is simplified as:
K w = E b t 4 d
where E is young’s modulus, b ,   t , and d are the width, thickness, and height of the infilled plate, respectively.
The lateral stiffness of the embedded wall caused by the shear is given by Guo et al. [35]:
K G = 1 Δ = G t 1.2 ( b d )
where G is the modulus of rigidity.
Therefore, the lateral stiffness of an infilled panel is calculated according to
K = ( 1 η ) K w + η K G
Additionally, the columns are affected by the tension field developed on the infilled plate, and the vertical component of the tensile force would cause an eccentric bending moment in the columns. The practical lateral stiffness of the VBE is:
K t = 12 E I h 3 ± E t s i n 3 θ c o s 2 θ 2 + E t h c s i n 2 θ c o s 2 θ 2 h
where θ = 45 ° is the angle when the columns are relatively rigid, and h c is the height of the VBE cross section.
Likewise, the practical lateral stiffness of the VBE under the shear force is:
K s = 12 E I h 3 + 5   G t h c 12 h
Therefore, the lateral stiffness of the infilled wall is calculated as follows:
K o v e r a l l = E t h c s i n 2 θ c o s 2 θ h + 5   G t h c 6 h + K
The elastic analysis can be performed by the following procedures:
(a)
calculate the lateral stiffness of the infilled panel ‘K’ from Equation (21);
(b)
the cross-sectional area ‘A’ is calculated by:
K = E A h c o s 2 θ s i n θ
(c)
The steel plate shear wall is replaced by a brace with cross-sectional area ‘A’.
To verify the simplified model, Matrix Laboratory (MATLAB) software is used for coding to calculate, and the results were compared with the experimental one obtained by Berman [36]. The analysis results in the elastic phase of the MATLAB coding and the testing model are presented in Figure 6. The testing model is around 15% higher than the MATLAB coding. The ABAQUS software is used to simulate the deformation of the structure.
The numerical example presented by Gholizadeh [19] in Section 5.1 is conducted for validation, and W40 × 372 is used for all the columns and beams, and the thickness of the infilled panels is 5.5mm. Several outcomes of point displacements are listed in Table 1.
As shown in Figure 7, Figure 8 and Figure 9, the nodal displacements had been compared using MATLAB and ABAQUS for the respective x, y, and z geometric positions.

5. Examples

In this study, two numerical examples are presented to verify the efficiency of the methodology. The first is a three-bay, five-story structure, and the second is a three-bay, 10-story structure. The dimensions of these two structures are identical, with 3 m for the length of each span and 5 m for the height of each floor. The modulus of elasticity and the weight density are 200 GPa and 7.68 t / m 3 , respectively. The yield stress for beam-column elements and web plates are 248.2 MPa and 220 MPa .
The earthquake-concentrated loads are calculated based on the ASCE/SEI 7-05 (2009), applying the following parameters: R = 7 ;   I e = 1 ;   C d = 6 ;   S s = 1.7035   g ;   s e i s m i c   d e s i g n   c a t e g o t y = D . The loading condition is shown in Table 2.
The sections of beams and columns are selected from the 283-W-section list from the AISC database, the infilled plates are chosen between 1 mm and 10 mm, and the initial rotation stiffness varies between 1000   kNm / rad and 300,000 kNm / rad .
The costs of columns, beams, and walls are USD 2500, USD 2500, and USD 2400 per ton, respectively. According to Xu et al. [29], the cost of a semirigid connection is calculated by Equation (23).
C o s t = 0.225 C i R × R i
where C i is the cost of the i th beam member, R is the average initial rotation stiffness, and R i is the initial rotation stiffness of the i th semirigid connection.

5.1. Example 1: Three-Bay, Five-Storey Structure

The dimension of the structure and the infilled plate placement are given in Figure 10a,b, respectively. Figure 10c is the numbering of semirigid connections.
A semirigid steel frame structure (SF) with the dimension shown in Figure 10a–c is performed as a cost optimization to compare with SF-SPSW. The results are given in Table 3.
The story drift ratio and stress ratio for frame elements in SF-SPSW and SF are shown in Figure 11 and Figure 12, respectively. Other constraint conditions listed in Equation (7) to Equation (10) are also satisfied. The results demonstrated in Table 4 indicate that the methodology is practical.
Figure 13 depicts the iteration process for SF and SF-SPSW. The outcomes vary at the beginning and converge at around 750 th iteration.
The best costs of SF, SF-SPSW, and F-SPSW are USD 38,095, USD 13,179, and USD 11,221, respectively, and the resulting total weights are 14.4 tons, 5.3 tons, and 4.5 tons. The results show that for a structure with 15 m height, the total weight of SF is significantly more than that of SF-SPSW and F-SPSW, which is about 2.7 times larger than that of SF-SPSW, 3.2 times larger than that of F-SPSW, and the cost of SF is about 2.9 times higher than that of SF-SPSW and 3.4 times higher than that of F-SPSW.
Rearrange the rotation stiffness in ascending order, and the composition of the total stiffness is given in Figure 14. The overall rotation stiffness in SF is significantly larger than in SF-SPSW, as indicated in Table 4 and Figure 14. In an SF-SPSW, the lateral forces are resisted by the SPSW. With SPSW, the structure can employ a semirigid connection with minor rotation stiffness. The story ratio and the stress ratio results reveal that, in the case of SF, SF-SPSW, and F-SPSW, the maximum story ratio is 0.0199 for both systems, which is less than the threshold value of 0.02. The maximum stress ratios for SF, SF-SPSW, and F-SPSW are 0.89, 0.63, and 0.82, respectively, which are less than 1.00. Therefore, these three systems are dominated by a story ratio. The total weight of F-SPSW is less than that of SF-SPSW because the semirigid connections give more deformation. To satisfy the story ratio, the cross sections enlarge and then increase the weight of the steel frame.
In this optimization problem, the total number of variables is 75, and the result and the iteration histories make the DE algorithm an acceptable methodology.

5.2. Example 2: Three-Bay, Ten-Storey Structure

The dimension of the structure and the infilled plates’ placement are given in Figure 15a,b, respectively. Figure 15c is the numbering of semirigid connections. The structure contains ten floors and three bays with 70 beam–column elements, ten infilled panels, and 60 beam-to-column semirigid connections in total. The height is 30 m, and the span of each beam is 5 m. Cost optimization is conducted for the 10-story semirigid connection steel frame (SF1) and the semirigid connection steel frame with steel plate shear wall (SF-SPSW1).
The portion of the final results is given in Table 5.
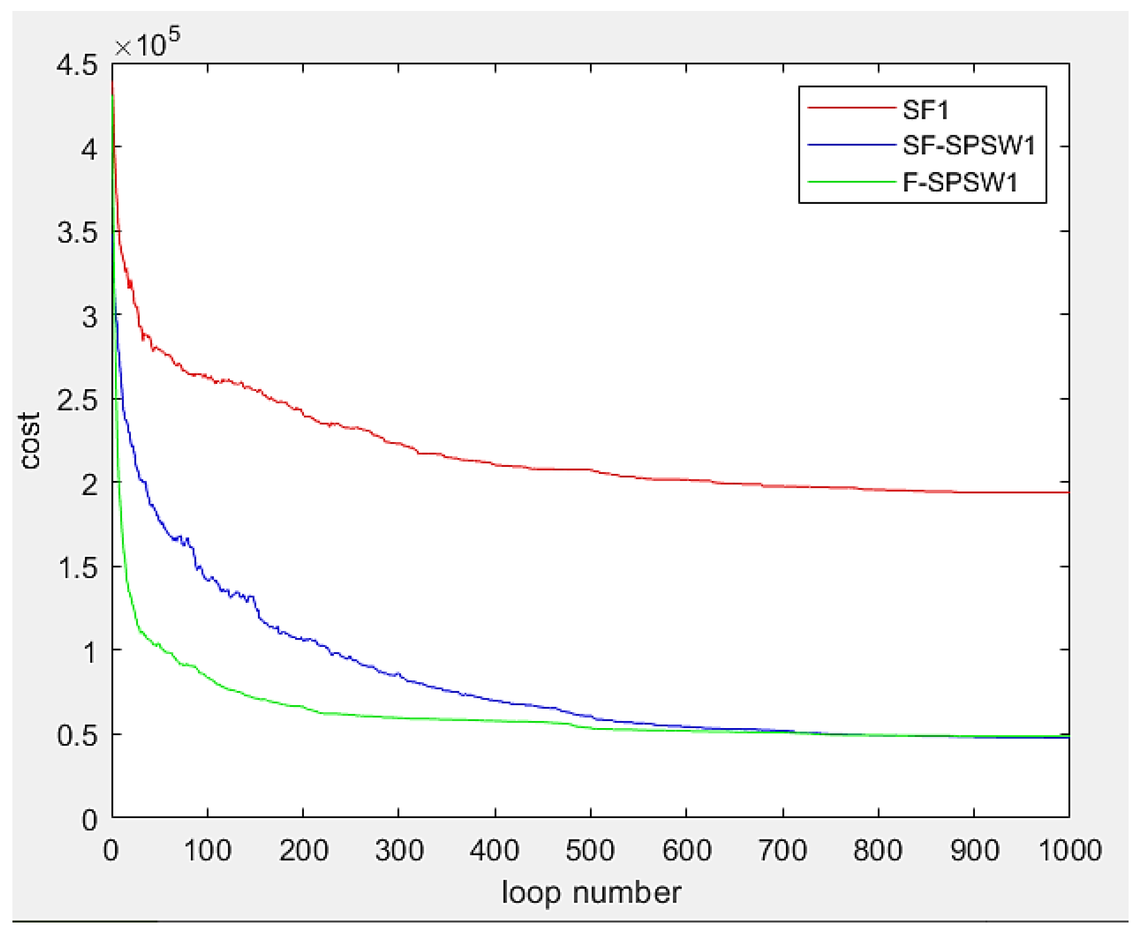
The iteration histories, story drift ratio, and stress ratio of the two systems are presented in Figure 16, Figure 17 and Figure 18, respectively. Sorting the rotation stiffness of semirigid connections in ascending order, the result is given in Figure 19. Comparing Figure 14 and Figure 19, which have shown a dramatic difference between SF1 and SF-SPSW1, the proportion of 300,000 kNm / rad semirigid joint in SF1 is much larger than that in SF. The cost and weight increase with the growing height, and the rotation stiffness of the beam-to-column joints enlarge as well. The total weight of SF1 is 67.4 tons, 17.9 tons for SF-SPSW1, and 19.2 tons for F-SPSW1, and the total cost of SF1, SF-SPSW1, and F-SPSW1 is USD 196,837, USD 44,909, and USD 47,982, respectively.
The stress ratio and story drift ratio are 0.99 and 0.0199, respectively. In other words, the stress ratio and story drift ratio dominate both systems simultaneously, as evident from similar studies [37,38]. This is the main reason why the weight of SF-SPSW1 is less than that of F-SPSW1 in this case.

6. Conclusions

This study presents a metaheuristics-based algorithm to optimize the cost of a semirigid connection steel frame with steel plate steel walls. The proposed solution—the Dolphin echolocation algorithm—provides a high-speed, highly efficient way of locating the lowest cost of the structure while satisfying all requirements. Using the simplified model, the steel plate shear wall is able to calculate the tension field and shear force simultaneously, as well as the additional lateral stiffness caused by the tension force acting on the HBE and VBE. Pinned or fixed joints hypothesis in the practical design procedures causes an underestimation of the deformation and a mistake in the bar internal forces. A semirigid connection with actual initial rotation stiffness reveals the precise response of a structure. Considering the different costs between W-sections, walls, and semirigid joints makes the optimum more realistic.
Two numerical examples are presented using a three-bay, five-story, and a three-bay, 10-story steel frame. For each example, three cases are applied to investigate the effects of semirigid connection and steel plate shear walls. The optimum results indicate that, in a low-rise building, the structure is dominated by the story drift ratio only, which makes the steel frame with SPSWs considering the semirigid joints heavier than the one without considering the semirigid joints. The case reverses in the high-rise building scenario because the stress ratio and story drift ratio are dominant in these cases. Moreover, the results also reveal that the semirigid connections reduce the internal force compared with the rigid connections. It is significant to consider the effect of semirigid connections during the analysis process. Finally, the results show that the application of SPSWs is a cost-efficient and weight-efficient alternative, especially in high-rise building schemes.

Author Contributions

Conceptualization Y.Q., Z.W., J.P., F.H. and S.S.; methodology, Y.Q., Z.W., J.P., F.H. and S.S.; formal analysis, Y.Q., Z.W., J.P., F.H. and S.S.; investigation, Y.Q., Z.W., J.P., F.H. and S.S.; writing—original draft preparation, Y.Q., Z.W., J.P., F.H. and S.S.; writing—review and editing, S.S. and A.F.D.; supervision, S.S. and A.F.D.; project administration, S.S. and A.F.D.; funding acquisition, S.S. and A.F.D. All authors have read and agreed to the published version of the manuscript.

Funding

This research was supported by the National Natural Science Foundation of China (Grant No. 51978279, 52108145), Guangdong Basic and Applied Basic Research Foundation (Grant No. 2020A1515011307, 2021B1212040003, 2021A1515010610).

Institutional Review Board Statement

Not applicable.

Informed Consent Statement

Not applicable.

Data Availability Statement

No data were used to support this study.

Acknowledgments

This research was supported by the National Natural Science Foundation of China (Grant No. 51978279, 52108145), Guangdong Basic and Applied Basic Research Foundation (Grant No. 2020A1515011307, 2021B1212040003, 2021A1515010610).

Conflicts of Interest

The authors declare no conflict of interest.

References

  1. Sabouri-Ghomi, S.; Ventura, C.E.; Kharrazi, M.H. Shear analysis and design of ductile steel plate walls. J. Struct. Eng. 2005, 131, 878–889. [Google Scholar] [CrossRef]
  2. Thorburn, L.J.; Montgomery, C.; Kulak, G.L. Analysis of Steel Plate Shear Walls; University of Alberta: Edmonton, AB, Canada, 1983. [Google Scholar]
  3. Timler, P.A.; Kulak, G.L. Experimental Study of Steel Plate Shear Walls; University of Alberta: Edmonton, AB, Canada, 1983. [Google Scholar]
  4. Tromposch, E.W.; Kulak, G.L. Cyclic and Static Behavior of Thin Panel Steel Plate Shear Walls; University of Alberta: Edmonton, AB, Canada, 1987. [Google Scholar]
  5. Elgaaly, M. Thin steel plate shear walls behavior and analysis. Thin-Walled Struct. 1998, 32, 151–180. [Google Scholar] [CrossRef]
  6. Driver, R.G.; Kulak, G.L.; Kennedy, D.L.; Elwi, A.E. Cyclic test of four-story steel plate shear wall. J. Struct. Eng. 1998, 124, 112–120. [Google Scholar] [CrossRef]
  7. Berman, J.; Bruneau, M. Plastic analysis and design of steel plate shear walls. J. Struct. Eng. 2003, 129, 1448–1456. [Google Scholar] [CrossRef]
  8. Kharmale, S.B.; Ghosh, S. Performance-based plastic design of steel plate shear walls. J. Constr. Steel Res. 2013, 90, 85–97. [Google Scholar] [CrossRef]
  9. Zadeh, H.B.; Mahjoub, R.; Raftari, M.; Sepahvand, M.F. Theory of plastic mechanism control for seismic design of steel plate shear walls. Eng. Struct. 2021, 235, 112104. [Google Scholar] [CrossRef]
  10. Guo, H.-C.; Hao, J.-P.; Liu, Y.-H. Behavior of stiffened and unstiffened steel plate shear walls considering joint properties. Thin-Walled Struct. 2015, 97, 53–62. [Google Scholar] [CrossRef]
  11. Wagner, H. Flat Sheet Metal Girders with Very Thin Metal Web. Part 3: Sheet Metal Girders with Spars Resistant to Bending-the Stress in Uprights-Diagonal Tension Fields. University of North Texas Libraries, UNT Digital Library, UNT Libraries Government Documents Department. February 1931. Available online: https://digital.library.unt.edu/ark:/67531/metadc63630/m1/30/ (accessed on 12 October 2022).
  12. Zhou, M. Studies on Design Method of Unstiffened or Buckling-Restrained Steel Plate Shear Wall Structures; Tsinghua University: Beijing, China, 2009. [Google Scholar]
  13. Kaveh, A.; Farhoudi, N. A unified approach to parameter selection in meta-heuristic algorithms for layout optimization. J. Constr. Steel Res. 2011, 67, 1453–1462. [Google Scholar] [CrossRef]
  14. Toğan, V. Design of planar steel frames using teaching–learning based optimization. Eng. Struct. 2012, 34, 225–232. [Google Scholar] [CrossRef]
  15. Kaveh, A.; Farhoudi, N. A new optimization method: Dolphin echolocation. Adv. Eng. Softw. 2013, 59, 53–70. [Google Scholar] [CrossRef]
  16. Doan, Q.H.; Lee, D. Optimal formation assessment of multi-layered ground retrofit with arch-grid units considering buckling load factor. Int. J. Steel Struct. 2019, 19, 269–282. [Google Scholar] [CrossRef]
  17. Lee, D.; Shin, S. High tensile UL700 frame module with adjustable control of length and angle. J. Constr. Steel Res. 2015, 106, 246–257. [Google Scholar] [CrossRef]
  18. Lee, D.; Shin, S.; Doan, Q.H. Real-time robust assessment of angles and positions of nonscaled steel outrigger structure with Maxwell-Mohr method. Constr. Build. Mater. 2018, 186, 1161–1176. [Google Scholar] [CrossRef]
  19. Gholizadeh, S.; Shahrezaei, A.M. Optimal placement of steel plate shear walls for steel frames by bat algorithm. Struct. Des. Tall Spec. Build. 2015, 24, 1–18. [Google Scholar] [CrossRef]
  20. Saedi, D.A.; Salari, M.; Farhoudi, N.; Palizi, S. Seismic design optimization of steel frames with steel shear wall system using modified Dolphin algorithm. Int. J. Steel Struct. 2021, 21, 771–786. [Google Scholar] [CrossRef]
  21. Sabelli, R.; Bruneau, M. Steel Plate Shear Walls (AISC Design Guide); American Institute of Steel Construction, Inc.: Chicago, IL, USA, 2007. [Google Scholar]
  22. IABSE/CEB/FIP/ECCS JC. Model Code for Composite Structures; Construction Press: London, UK, 1981. [Google Scholar]
  23. Moghaddam, H.; Sadrara, A. Experimental and numerical evaluation of the mechanical characteristics of semi-rigid saddle connections. Struct. Des. Tall Spec. Build. 2022, 31, e1923. [Google Scholar] [CrossRef]
  24. Moghaddam, H.; Sadrara, A. Improving the mechanical characteristics of semi-rigid saddle connections. J. Constr. Steel Res. 2021, 186, 106917. [Google Scholar] [CrossRef]
  25. Qin, J.; Wang, Z.; Pan, J.; Li, B.; Fan, Y. Moment–rotation curve characteristics and initial rotational stiffness calculation method of angle connections. Struct. Des. Tall Spec. Build. 2022, 31, e1906. [Google Scholar] [CrossRef]
  26. Zhang, A.-L.; Li, C.; Zhang, Y.-X.; Liu, X.-C. Experimental and theoretical analyses on semi-rigid pin joints under in-plane direction bending in modular reticulated shell. J. Constr. Steel Res. 2022, 190, 107128. [Google Scholar] [CrossRef]
  27. Azizinamini, A.; Bradburn, J.; Radziminski, J. Initial stiffness of semi-rigid steel beam-to-column connections. J. Constr. Steel Res. 1987, 8, 71–90. [Google Scholar] [CrossRef]
  28. Brown, N.; Anderson, D. Structural properties of composite major axis end plate connections. J. Constr. Steel Res. 2001, 57, 327–349. [Google Scholar] [CrossRef]
  29. Xu, L.; Grierson, D.E. Computer-automated design of semirigid steel frameworks. J. Struct. Eng. 1993, 119, 1740–1760. [Google Scholar] [CrossRef]
  30. Bjorhovde, R. Effect of end restraint on column strength-practical applications. Eng. J. 1984, 21, 1–13. [Google Scholar]
  31. Goto, Y.; Chen, W.F. On the computer-based design analysis for the flexibly jointed frames. J. Constr. Steel Res. 1987, 8, 203–231. [Google Scholar] [CrossRef]
  32. Vinnakota, F.S. Inelastic analysis of partially restrained unbraced steel frames. Eng. Struct. 1997, 19, 891–902. [Google Scholar]
  33. Huang, J. Study on Optimal Design of Steel Frame System; Tongji University: Shanghai, China, 2006. [Google Scholar]
  34. Kharrazi, M.H.K. Rational Method for Analysis and Design of Steel Plate Walls; University of British Columbia: Vancouver, BC, Canada, 2005. [Google Scholar]
  35. Guo, Y.L.; Zhou, M.; Dong, Q.L. Hysteretic behavior of buckling-restrained steel plate shear wall. Eng. Mech. 2009, 26, 108–114. [Google Scholar]
  36. Berman, J.W. Cyclic testing of light-gauge steel plate shear walls. In Stessa 2003; Routledge: Milton Park, UK, 2003. [Google Scholar]
  37. Kaveh, A.; Hamedani, K.B.; Hosseini, S.M.; Bakhshpoori, T. Optimal design of planar steel frame structures utilizing meta-heuristic optimization algorithms. Structures 2020, 25, 335–346. [Google Scholar] [CrossRef]
  38. Lacidogna, G.; Nitti, G.; Scaramozzino, D.; Carpinteri, A. Diagrid systems coupled with closed- and open-section shear walls: Optimization of geometrical characteristics in tall buildings. Procedia Manuf. 2020, 44, 402–409. [Google Scholar] [CrossRef]
Figure 1. Multistrip Model.
Figure 1. Multistrip Model.
Buildings 12 01735 g001
Figure 2. Modified Strip Model.
Figure 2. Modified Strip Model.
Buildings 12 01735 g002
Figure 3. Unified Strip Model.
Figure 3. Unified Strip Model.
Buildings 12 01735 g003
Figure 4. The flowchart of the DE algorithm.
Figure 4. The flowchart of the DE algorithm.
Buildings 12 01735 g004
Figure 5. (a) A simplified model with a depth of 40.6 inches, flange width of 16.1 inches, flange thickness of 2.05 inches, web thickness of 1.16 inches, and area of 109 inches2, respectively. (b) Model structure beam and column with cross-sectional dimensions.
Figure 5. (a) A simplified model with a depth of 40.6 inches, flange width of 16.1 inches, flange thickness of 2.05 inches, web thickness of 1.16 inches, and area of 109 inches2, respectively. (b) Model structure beam and column with cross-sectional dimensions.
Buildings 12 01735 g005
Figure 6. Comparison of numerical (MATLAB) and testing model results.
Figure 6. Comparison of numerical (MATLAB) and testing model results.
Buildings 12 01735 g006
Figure 7. Comparison of the nodal displacements for the respective geometric position of x-coordinate using MATLAB and ABAQUS.
Figure 7. Comparison of the nodal displacements for the respective geometric position of x-coordinate using MATLAB and ABAQUS.
Buildings 12 01735 g007
Figure 8. Comparison of the nodal displacements for the respective geometric position of y-coordinate using MATLAB and ABAQUS.
Figure 8. Comparison of the nodal displacements for the respective geometric position of y-coordinate using MATLAB and ABAQUS.
Buildings 12 01735 g008
Figure 9. Comparison of the nodal displacements for the respective geometric position of z-coordinate using MATLAB and ABAQUS.
Figure 9. Comparison of the nodal displacements for the respective geometric position of z-coordinate using MATLAB and ABAQUS.
Buildings 12 01735 g009
Figure 10. (ac). Dimensions of the structure and the infilled plates placement with the numbering of semirigid connections.
Figure 10. (ac). Dimensions of the structure and the infilled plates placement with the numbering of semirigid connections.
Buildings 12 01735 g010
Figure 11. Story drift ratio of SF-SPSW and SF.
Figure 11. Story drift ratio of SF-SPSW and SF.
Buildings 12 01735 g011
Figure 12. Stress ratio of SF-SPSW and SF.
Figure 12. Stress ratio of SF-SPSW and SF.
Buildings 12 01735 g012
Figure 13. Convergence histories.
Figure 13. Convergence histories.
Buildings 12 01735 g013
Figure 14. The proportion of the semirigid connections.
Figure 14. The proportion of the semirigid connections.
Buildings 12 01735 g014
Figure 15. (ac). Dimensions of the three-bay, ten-story structure and the infilled plates’ placement.
Figure 15. (ac). Dimensions of the three-bay, ten-story structure and the infilled plates’ placement.
Buildings 12 01735 g015
Figure 16. Convergence histories.
Figure 16. Convergence histories.
Buildings 12 01735 g016
Figure 17. Story drift ratio of SF-SPSW1 and SF1.
Figure 17. Story drift ratio of SF-SPSW1 and SF1.
Buildings 12 01735 g017
Figure 18. Stress ratio of SF-SPSW1 and SF1.
Figure 18. Stress ratio of SF-SPSW1 and SF1.
Buildings 12 01735 g018
Figure 19. The proportion of the semirigid connections.
Figure 19. The proportion of the semirigid connections.
Buildings 12 01735 g019
Table 1. Comparison of the nodal displacements from MATLAB and ABAQUS.
Table 1. Comparison of the nodal displacements from MATLAB and ABAQUS.
MATLABABAQUS
X (mm)Y (mm)Z (mm)X (mm)Y (mm)Z (mm)
Node 20.430.067−0.18Node 20.400.062−0.14
Node 62.80.13−0.11Node 62.30.10−0.09
Node 112.3−0.13−0.12Node 111.9−0.11−0.10
Node 122.7−0.15−0.082Node 122.5−0.14−0.080
Node 172.3−0.25−0.12Node 172.0−0.23−0.10
Node 221.7−0.42−0.16Node 221.4−0.39-0.14
Average error 13.15%
Table 2. Loading condition.
Table 2. Loading condition.
FloorUniform Distributed Gravity Load (kN/m)Earthquake Loads (kN)
Five-Story StructureTen-Story StructureFive-Story StructureTen-Story Structure
124.924.969.1122.97
224.924.9139.1952.31
324.924.9209.6484.66
424.924.9280.33119.13
524.924.9351.21155.27
6---24.9---192.81
7---24.9---231.54
8---24.9---271.32
9---24.9---312.06
10---24.9---353.64
Base shear------1049.481795.71
Table 3. Results of SF and SF-SPSW.
Table 3. Results of SF and SF-SPSW.
Design VariablesOptimum Results
SFSF-SPSWF-SPSW
1W36 × 160W6 × 12W6 × 8.5
2W40 × 183W6 × 8.5W8 × 10
3W24 × 76W6 × 8.5W6 × 8.5
4W21 × 55W6 × 8.5W8 × 10
5W21 × 55W6 × 8.5W6 × 8.5
6W8 × 18W14 × 43W16 × 26
7W6 × 8.5W24 × 55W14 × 30
8W24 × 76W18 × 65W14 × 26
9W36 × 135W16 × 26W14 × 22
10W24 × 76W14 × 22W16 × 31
11W16 × 31W21 × 83W16 × 26
12W12 × 16W16 × 45W16 × 26
13W40 × 149W16 × 26W14 × 22
14W21 × 44W14 × 22W14 × 26
15W12 × 16W12 × 19W12 × 14
16W40 × 372W6 × 8.5W6 × 8.5
17W40 × 183W6 × 8.5W6 × 8.5
18W21 × 68W6 × 8.5W6 × 9
19W21 × 44W6 × 8.5W6 × 8.5
20W12 × 14W6 × 8.5W6 × 8.5
21W8 × 13W6 × 8.5W6 × 8.5
22W16 × 31W10 × 15W10 × 15
23W24 × 68W12 × 16W6 × 8.5
24W21 × 62W6 × 12W6 × 9
25W30 × 99W10 × 15W6 × 9
26W6 × 8.5W10 × 12W16 × 26
27W30 × 99W14 × 22W18 × 35
28W30 × 116W14 × 38W16 × 26
29W27 × 102W10 × 12W12 × 14
30W18 × 35W24 × 55W24 × 55
31W6 × 8.5W6 × 8.5W6 × 8.5
32W36 × 135W6 × 8.5W6 × 9
33W18 × 40W6 × 8.5W6 × 8.5
34W18 × 40W6 × 8.5W6 × 8.5
35W6 × 8.5W6 × 8.5W6 × 9
P1( mm )-33
P2( mm )-33
P3( mm )-32.5
P4( mm )-22
P5( mm )-11
Steel frame weight ( t )14.44.13.4
Steel plate weight ( t )-1.21.1
Total weight ( t ) 14.45.34.5
Total cost ($)38,09513,17911,221
Table 4. The rotation stiffness after optimization.
Table 4. The rotation stiffness after optimization.
SF   ( kNm / rad ) SF - SPSW   ( kNm / rad )
Connection 110001000
Connection 310001000
Connection 550001000
Connection 710001000
Connection 970,0001000
Connection 12210,0001000
Connection 16120,0001000
Connection 1970,00050,000
Connection 2290,0001000
Connection 25210,00010,000
Connection 2710001000
Table 5. Results of SF1 and SF-SPSW1.
Table 5. Results of SF1 and SF-SPSW1.
Design VariablesOptimum Results
SF1SF-SPSW1F-SPSW1
1W44 × 335W6 × 12W21 × 44
5W40 × 183W12 × 22W14 × 34
10W16 × 40W6 × 8.5W18 × 60
15W44 × 262W30 × 173W21 × 48
20W30 × 90W10 × 19W14 × 22
25W44 × 230W14 × 38W14 × 22
30W30 × 90W16 × 26W14 × 22
35W40 × 149W8 × 13W5 × 16
40W21 × 48W18 × 35W16 × 40
41W30 × 90W14 × 26W12 × 19
45W40 × 183W8 × 13W24 × 55
50W16 × 40W10 × 12W10 × 12
55W44 × 262W27 × 84W21 × 73
60W30 × 90W36 × 160W30 × 90
65W44 × 230W6 × 8.5W16 × 31
70W6 × 9W8 × 10W18 × 35
P1( mm )-55
P3( mm )-55
P5( mm )-4.54
P7( mm )-3.53.5
P9( mm )-22.5
Steel frame weight ( t )67.414.616
Steel plate weight ( t )-3.33.2
Total weight ( t ) 67.417.919.2
Total cost ($)196,83744,90947,982
SF1 implies the 10-story semirigid connection steel frame; SF-SPSW1 implies the semirigid connection steel frame with steel plate shear wall. F-SPSW1 implies the frame with steel plate shear wall.
Publisher’s Note: MDPI stays neutral with regard to jurisdictional claims in published maps and institutional affiliations.

Share and Cite

MDPI and ACS Style

Qiu, Y.; Wang, Z.; Pan, J.; Hu, F.; Sharma, S.; Deifalla, A.F. Optimal Design of Semirigid Connection Steel Frame with Steel Plate Shear Walls Using Dolphin Echolocation Algorithm. Buildings 2022, 12, 1735. https://doi.org/10.3390/buildings12101735

AMA Style

Qiu Y, Wang Z, Pan J, Hu F, Sharma S, Deifalla AF. Optimal Design of Semirigid Connection Steel Frame with Steel Plate Shear Walls Using Dolphin Echolocation Algorithm. Buildings. 2022; 12(10):1735. https://doi.org/10.3390/buildings12101735

Chicago/Turabian Style

Qiu, Yudong, Zhan Wang, Jianrong Pan, Fangxin Hu, Shubham Sharma, and Ahmed Farouk Deifalla. 2022. "Optimal Design of Semirigid Connection Steel Frame with Steel Plate Shear Walls Using Dolphin Echolocation Algorithm" Buildings 12, no. 10: 1735. https://doi.org/10.3390/buildings12101735

APA Style

Qiu, Y., Wang, Z., Pan, J., Hu, F., Sharma, S., & Deifalla, A. F. (2022). Optimal Design of Semirigid Connection Steel Frame with Steel Plate Shear Walls Using Dolphin Echolocation Algorithm. Buildings, 12(10), 1735. https://doi.org/10.3390/buildings12101735

Note that from the first issue of 2016, this journal uses article numbers instead of page numbers. See further details here.

Article Metrics

Back to TopTop