Study on Mechanical and Rheological Properties of Solid Waste-Based ECC
Abstract
1. Introduction
2. Materials and Methods
2.1. Materials
2.2. Specimen Preparation
2.3. Test Device and Methods
2.3.1. Compressive Strength and Flexural Strength Test
2.3.2. Bending Toughness Test
2.3.3. Rheological Test
3. Result and Discussion
3.1. Effect of Different Types of Fly Ash on Compressive and Flexural Strength of ECC
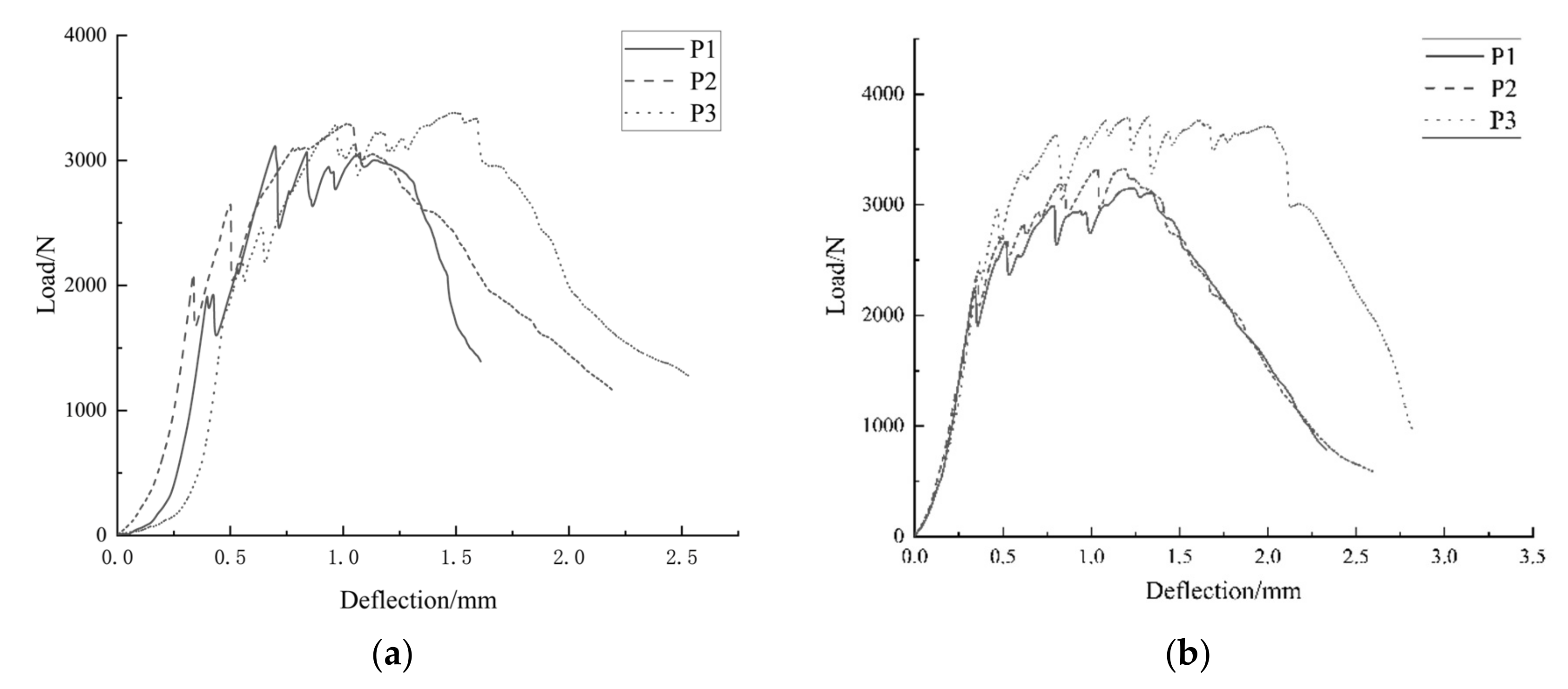
3.2. Effect of Different Types of Fly Ash on Bending Toughness of ECC
3.3. Effect of Different Types of Fly Ash on Rheological Properties of ECC
4. Conclusions
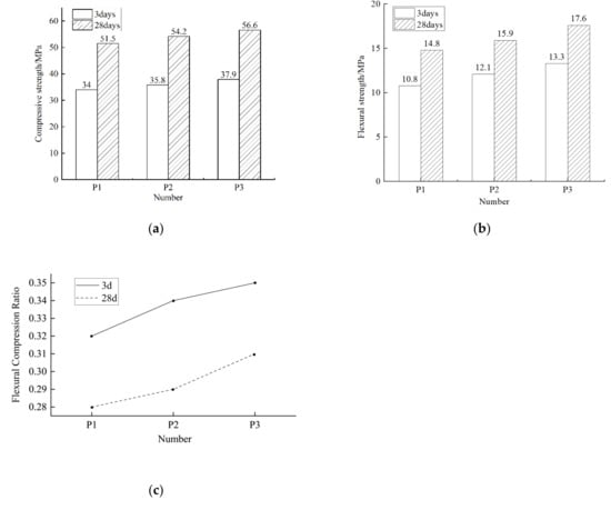
- Compared with raw fly ash and sorted fly ash, ground fly ash has a smaller particle size and a larger specific surface area. In the early stages of ECC hydration, it can play a filling role and increase the density of the ECC matrix. Compared with ECC prepared using raw fly ash and sorted fly ash, the 3 days compressive strength of ground fly ash group ECC matrix increased by 11.4% and 5.8%, respectively. In the later stages of ECC hydration, ground fly ash can better exert the pozzolanic effect and generate more cementitious materials. Compared with ECC prepared using raw fly ash and sorted fly ash, the 28 days compressive strength of ground fly ash group ECC increased by 9.7% and 4.2%, respectively.
- As the particle size of fly ash decreases with the decrease of fly ash particle size, the specific surface area increases. Under the condition of keeping the water cement ratio of ECC unchanged, the friction force between particles of the ground fly ash group ECC increases. Compared with the other two groups, the spherical particles of ground fly ash change to become irregular angular particles, which weakens their morphological effect, and increases the friction between particles in the ECC slurry. Therefore, the ground fly ash group ECC shows the maximum yield stress 246.9 Pa and plastic viscosity 1.21 Pa.s.
- The ground fly ash increases the yield stress and plastic viscosity of cement ECC slurry, thus improving the dispersion of PVA fiber in ECC. When the matrix is damaged by bending, failure occurs in the matrix, though the ground fly ash group ECC still maintains a good load−bearing holding capacity when reaching the peak load, showing better flexural strength and bending toughness. Compared with the raw fly ash group ECC and the sorted fly ash group ECC, the flexural strength of the ground fly ash group ECC increased by 18.92% and 10.69% in 28 days, and the bending toughness increased by 165.6% and 102.4% in 28 days, respectively.
Author Contributions
Funding
Conflicts of Interest
References
- Valvona, F.; Toti, J.; Gattulli, V.; Potenza, F. Effective seismic strengthening and monitoring of a masonry vault by using Glass Fiber Reinforced Cementitious Matrix with embedded Fiber Bragg Grating sensors. Compos. Part B-Eng. 2017, 113, 355–370. [Google Scholar] [CrossRef]
- Kunieda, M.; Rokugo, K. Recent Progress on HDFRCC in Japan. J. Adv. Concr. Technol. 2006, 4, 19–33. [Google Scholar] [CrossRef]
- Marcalikova, Z.; Cajka, R.; Bilek, V.; Bujdos, D.; Sucharda, O. Determination of Mechanical Characteristics for Fiber-Reinforced Concrete with Straight and Hooked Fibers. Crystals 2020, 10, 545. [Google Scholar] [CrossRef]
- Pujadas, P.; Blanco, A.; Cavalaro, S.H.P.; De La Fuente, A.; Aguado, A. The need to consider flexural post-cracking creep behavior of macro-synthetic fiber reinforced concrete. Constr. Build. Mater. 2017, 149, 790–800. [Google Scholar] [CrossRef]
- Li, V.C.; Kanda, T. Innovations Forum: Engineered Cementitious Composites for Structural Applications. J. Mater. Civ. Eng. 1998, 10, 66–69. [Google Scholar] [CrossRef]
- Curosu, I.; Liebscher, M.; Alsous, G.; Muja, E.; Li, H.; Drechsler, A.; Frenzel, R.; Synytska, A.; Mechtcherine, V. Tailoring the crack-bridging behavior of strain-hardening cement-based composites (SHCC) by chemical surface modification of poly(vinyl alcohol) (PVA) fibers. Cem. Concr. Compos. 2020, 114, 103722. [Google Scholar] [CrossRef]
- Lepech, M.D.; Li, V.C. Application of ECC for bridge deck link slabs. Mater Struct. 2009, 42, 1185–1195. [Google Scholar] [CrossRef]
- Haskett, M.; Mohamed Sadakkathulla, M.; Oehlers, D.; Guest, G.; Pritchard, T.; Sedav, V.; Stapleton, B. Adelaide Research and Scholarship: Deflection of GFRP and PVA fibre reinforced concrete beams. In Proceedings of the 6th International Conference on FRP Composites in Civil Engineering (CICE2012), Rome, Italy, 13–15 June 2012. [Google Scholar]
- Li, V.C.; Wang, S.; Wu, C. Tensile strain-hardening behavior of polyvinyl alcohol engineered cementitious composite (PVA-ECC). ACI. Mater. J. 2001, 98, 483–492. [Google Scholar]
- Hengmao, N.; Wenhong, W.; Yanru, Z. Analysis of flexural properties of cement-based materials based on PVA fiber matrix interface properties. Mater. Guide 2018, 32, 995–999. [Google Scholar]
- Hussein, A.A.E.; Shafiq, N.; Nuruddin, M.F. Compressive strength and interfacial transition zone of sugar cane bagasse ash concrete: A comparison to the established pozzolans. AIP Conf. Proc. 2015, 1660, 070002. [Google Scholar] [CrossRef]
- Kapoor, K.-M.-E.; Singh, S.-P.; Singh, B. Durability of self-compacting concrete made with Recycled Concrete Aggregates and mineral admixtures. Constr. Build. Mater. 2016, 128, 67–76. [Google Scholar] [CrossRef]
- Izabela, K.; Kacper, J. Study of compressive strength evolution in soil cement samples with fly-ash admixtures. Mater. Sci. Eng. 2018, 365, 032049. [Google Scholar]
- Liang, L.; Xu, Y.; Hu, S. Bending and Crack Evolution Behaviors of Cemented Soil Reinforced with Surface Modified PVA Fiber. Materials 2022, 15, 4799. [Google Scholar] [CrossRef]
- Alexandra, A.E.; Jarosław, R.; Damian, S.; Przemysław, Z. Basic Aspects of Deep Soil Mixing Technology Control. Mater. Sci. Eng. 2017, 245, 022019. [Google Scholar]
- Elena, A.E.; Alexander, L.I.; Marat, M.K.; Cheynesh, B.K.; Yulia, S.T. Creation of a Nanomodified Backfill Based on the Waste from Enrichment of Water-Soluble Ores. Materials 2022, 15, 3689. [Google Scholar]
- Zhang, Z.; Liu, J.-C.; Xu, X.; Yuan, L. Effect of sub-elevated temperature on mechanical properties of ECC with different fly ash contents. Constr. Build. Mater. 2020, 262, 120096. [Google Scholar] [CrossRef]
- Khatib, J.; Jahami, A.; El Kordi, A.; Sonebi, M.; Malek, Z.; Elchamaa, R.; Dakkour, S. Effect of municipal solid waste incineration bottom ash (MSWI-BA) on the structural performance of reinforced concrete (RC) beams. J. Eng. Des. Technol. 2021. [Google Scholar] [CrossRef]
- Liu, P.; Hai, R.; Liu, J.; Huang, Z. Mechanical Properties and Axial Compression Deformation Property of Steel Fiber Reinforced Self-Compacting Concrete Containing High Level Fly Ash. Materials 2022, 15, 3137. [Google Scholar] [CrossRef]
- Ma, J.; Wang, D.; Zhao, S. Influence of Particle Morphology of Ground Fly Ash on the Fluidity and Strength of Cement Paste. Materials 2021, 14, 283. [Google Scholar] [CrossRef]
- Chen, A.; Li, C. Strength analysis of fly ash cement prepared by grinding fly ash. Concrete 2020, 1, 64–68. [Google Scholar]
- Lee, S.H.; Kim, H.J.; Sakai, E. Effect of particle size distribution of fly ash–cement system on the fluidity of cement pastes. Cem. Concr. Res. 2003, 33, 763–768. [Google Scholar] [CrossRef]
- Yan, P. Action mechanism of fly ash in the hydration process of composite cementitious materials. J. Silicic Acid. 2007, S1, 172–179. [Google Scholar]
- Wang, Q.; Wen, W. Effect of fly ash content on strain hardening properties of PVA-ECC. J. Beijing Univ. Technol. 2021, 47, 321–327. [Google Scholar]
- Termkhajornkit, P.; Nawa, T. The fluidity of fly ash-cement paste containing naphthalene sulfocate superplasticizer. Cem. Concr. Res. 2004, 34, 1017–1024. [Google Scholar] [CrossRef]
- Barnes, H.A.; Hutton, J.F.; Walters, K. An Introduction to Rheology; Elsevier: Amsterdam, The Netherlands, 1989. [Google Scholar]
- Jiao, H.; Yachuang, W. Microscale mechanism of sealed water seepage and thickening from tailings bed in rake shearing thickener. Miner. Eng. 2021, 173, 107043. [Google Scholar] [CrossRef]
- Laskar, A.I.; Talukdar, S. Rheological behavior of high performance concrete with mineral admixtures and their blending. Constr. Build. Mater. 2007, 22, 8–10. [Google Scholar] [CrossRef]
- Jiao, H.; Chen, W. Flocculated unclassified tailings settling efficiency improvement by particle collision optimization in the feed-well. Int. Miner. Metall. Mater. 2022. [Google Scholar] [CrossRef]







| Chemical Composition | CaO | SiO2 | Al2O3 | Fe2O3 | MgO | SO3 | Others |
|---|---|---|---|---|---|---|---|
| Cement | 61.74 | 16.44 | 4.78 | 3.52 | 2.67 | 3.69 | 7.16 |
| Fly ash | 3.54 | 53.72 | 28.11 | 11.55 | 0.78 | 0.42 | 1.88 |
| Number | Cement | Raw Fly Ash | Sorted Fly Ash | Ground Fly Ash | Quartz Sand | Emulsion Power | PVA Fiber | Water | Water Reducer |
|---|---|---|---|---|---|---|---|---|---|
| P1 | 968.4 | 107.6 | 0 | 0 | 484 | 26.9 | 23.96 | 376.6 | 5.38 |
| P2 | 968.4 | 0 | 107.6 | 0 | 484 | 26.9 | 23.96 | 376.6 | 5.38 |
| P3 | 968.4 | 0 | 0 | 107.6 | 484 | 26.9 | 23.96 | 376.6 | 5.38 |
| Date | P1 | P2 | P3 |
|---|---|---|---|
| 3 days | 23 | 36 | 60 |
| 28 days | 32 | 42 | 85 |
| Number | Yield Stress τ0 | Plastic Viscosity μ | Rheology Equation |
|---|---|---|---|
| P1 | 164.0 | 0.33 | + 164 |
| P2 | 240.9 | 0.60 | + 240.9 |
| P3 | 246.9 | 1.21 | + 246.9 |
Publisher’s Note: MDPI stays neutral with regard to jurisdictional claims in published maps and institutional affiliations. |
© 2022 by the authors. Licensee MDPI, Basel, Switzerland. This article is an open access article distributed under the terms and conditions of the Creative Commons Attribution (CC BY) license (https://creativecommons.org/licenses/by/4.0/).
Share and Cite
Wang, X.; Sun, K.; Shao, J.; Ma, J. Study on Mechanical and Rheological Properties of Solid Waste-Based ECC. Buildings 2022, 12, 1690. https://doi.org/10.3390/buildings12101690
Wang X, Sun K, Shao J, Ma J. Study on Mechanical and Rheological Properties of Solid Waste-Based ECC. Buildings. 2022; 12(10):1690. https://doi.org/10.3390/buildings12101690
Chicago/Turabian StyleWang, Xiao, Ke Sun, Jinggan Shao, and Juntao Ma. 2022. "Study on Mechanical and Rheological Properties of Solid Waste-Based ECC" Buildings 12, no. 10: 1690. https://doi.org/10.3390/buildings12101690
APA StyleWang, X., Sun, K., Shao, J., & Ma, J. (2022). Study on Mechanical and Rheological Properties of Solid Waste-Based ECC. Buildings, 12(10), 1690. https://doi.org/10.3390/buildings12101690
