Experimental and Numerical Study of an Innovative Infill Web-Strips Steel Plate Shear Wall with Rigid Beam-to-Column Connections
Abstract
1. Introduction
2. Experimental Description
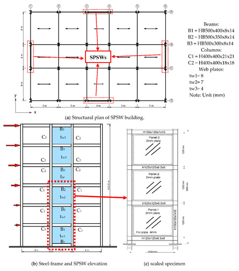
2.1. The SPSW System’s Design
2.2. Prototype of Test Specimens
2.3. Material Mechanical Properties
2.4. Test Setup and Instrumentation
2.5. Cyclic Loading Protocol
3. Experimental Results
3.1. Cyclic Behavior of USPSW Test Specimen
3.2. Cyclic Behavior of IWS-SPSW Test Specimen
3.3. Hysteresis and Envelope Curves Behavior of the Specimens
3.4. Initial Stiffness and Stiffness Degradation
3.5. Displacement Ductility of the Specimens
3.6. Energy Dissipation Capacity
4. Numerical Analysis
4.1. Material Properties
4.2. Loading Procedure and Boundary Conditions
4.3. Meshing and Analysis Methodology
5. Verification of FE Models
5.1. Hysteresis and Envelope Curve Comparisons
5.2. Comparisons of Deformation and Failure Mode
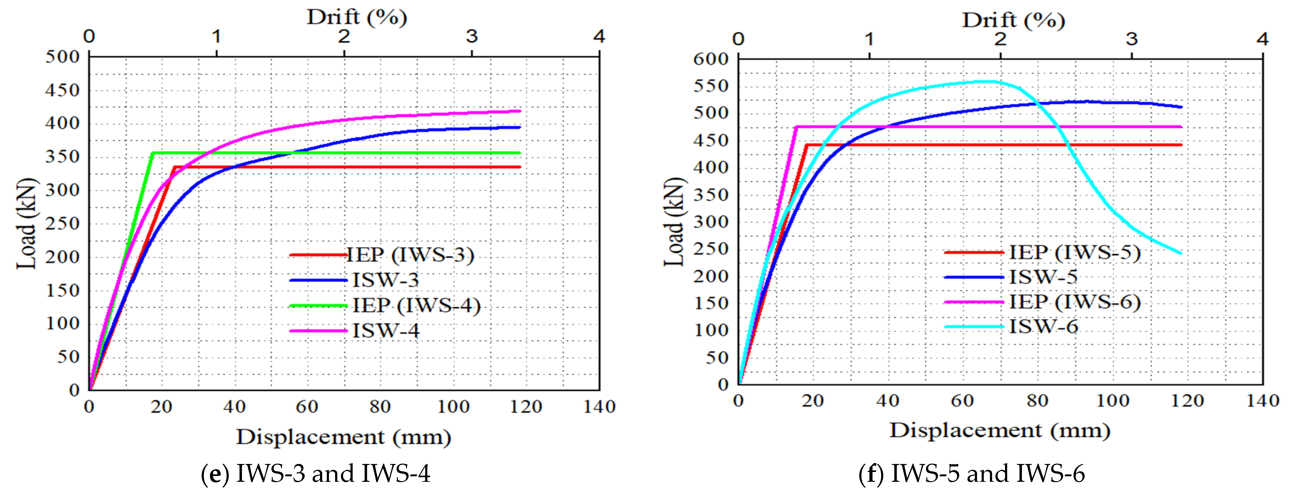
6. Parametric Analysis
6.1. Effect of The Infill-Strip Bolt Connections
6.2. Effect of the Infill Web-Strips Yield Strength
6.3. Effect of Infill Web-Strips Thickness
7. Conclusions
- The SPSWs specimen showed excellent shear load-bearing, lateral deformation, energy dissipation, and ductility. The ductility characteristics values for USPSW and IWS-SPSW were 4.54 and 5.15, respectively. ISW-SPSW was higher than the USPSW. Additionally, the ISW-SPSW displayed 23.7% less yield and the ultimate load. The USPSW showed load–displacement curve degradation after 2.72 % lateral story drift. At the same story drift and further, till 3.3 %, there was no load–displacement curve degradation of the IWS-SPSW specimen. The energy dissipation of IWS-SPSW was observed higher till 1% story drift than the USPSW. In 2–3.3% story drift, the USPSW showed more excellent energy dissipation because of the first-floor column’s inelastic deformation.
- The USPSW infill web plate transferred significant tension stress to the beam columns, which caused the out-of-plane failure of the first-floor columns. The ISW-SPSW columns were stable, and no local or global buckling was observed. This indicates that the infill stirps potentially impact the vertical boundary element’s axial force and flexural moments response.
- The load–displacement hysteresis curves and failure mechanisms of SPSWs were compared between the results of finite element models and the experimental results of SPSWs. Because of its ability to accurately identify the load resistance preceding buckling and post-buckling, it was found that the FE model could accurately predict these properties. The FE models accurately modeled post-buckling deformation, pinching phenomenon, and system stiffness. The equivalent plastic strain (PEEQ) and von Mises stress result revealed that FE models could better predict the likelihood of SPSW failure modes and mechanisms.
- The parametric study results indicate that the effects of the bolt connection of bi-diagonal strips, yield stress of the infill web-strips, and infill web-strips thickness were significant in shear load-bearing and out-of-plane buckling of infill web strips. It was found the SW-3, SW-4, and SW-5 models showed good seismic performance. The beam-column connection and length-to-height ratio of the specimen may impact the seismic performance of the proposed IWS-SPSW, which can be studied in future work.
Author Contributions
Funding
Data Availability Statement
Conflicts of Interest
References
- Sabouri-Ghomi, S.; Ventura, C.E.; Kharrazi, M.H. Shear Analysis and Design of Ductile Steel Plate Walls. J. Struct. Eng. 2005, 131, 878–889. [Google Scholar] [CrossRef]
- Berman, J.; Bruneau, M. Plastic analysis and design of steel plate shear walls. J. Struct. Eng.-Asce 2003, 129, 1448–1456. [Google Scholar] [CrossRef]
- Valizadeh, H.; Veladi, H.; Farahmand Azar, B.; Sheidaii, M.R. The cyclic behavior of Butterfly-shaped Link Steel Plate Shear Walls with and without Buckling-restrainers. Structures 2020, 27, 607–625. [Google Scholar] [CrossRef]
- Tan, J.-K.; Gu, C.-W.; Su, M.-N.; Wang, Y.-H.; Wang, K.; Shi, Y.; Lan, Y.-S.; Luo, W.; Deng, X.-W.; Bai, Y.-T.; et al. Finite element modelling and design of steel plate shear wall buckling-restrained by hat-section cold-formed steel members. J. Constr. Steel Res. 2020, 174, 106274. [Google Scholar] [CrossRef]
- Paslar, N.; Farzampour, A.; Hatami, F. Infill plate interconnection effects on the structural behavior of steel plate shear walls. Thin-Walled Struct. 2020, 149, 106621. [Google Scholar] [CrossRef]
- He, L.S.; Khadka, B. Study on the extended steel plate connection for steel slit shear walls. Structures 2020, 28, 816–824. [Google Scholar] [CrossRef]
- Gorji Azandariani, M.; Gholhaki, M.; Kafi, M.A. Experimental and numerical investigation of low-yield-strength (LYS) steel plate shear walls under cyclic loading. Eng. Struct. 2020, 203, 109866. [Google Scholar] [CrossRef]
- Astaneh-Asl, A. Seismic Behavior and Design of Steel Shear Walls; Structural Steel Educational Council: Moraga, CA, USA, 2001. [Google Scholar]
- Lubell, A.S.; Prion, H.G.L.; Ventura, C.E.; Rezai, M. Unstiffened Steel Plate Shear Wall Performance under Cyclic Loading. J. Struct. Eng. 2000, 126, 453–460. [Google Scholar] [CrossRef]
- Rezai, M. Seismic Behaviour of Steel Plate Shear Walls by Shake Table Testing; University of British Columbia: Vancouver, BC, Canada, 1999. [Google Scholar]
- Driver, R.G.; Kulak, G.L.; Kennedy, D.L.; Elwi, A.E. Cyclic test of four-story steel plate shear wall. J. Struct. Eng. 1998, 124, 112–120. [Google Scholar] [CrossRef]
- Sabelli, R.; Bruneau, M. Design Guide 20: Steel Plate Shear Walls; American Institute of Steel Construction: Chicago, IL, USA, 2007. [Google Scholar]
- Park, H.-G.; Kwack, J.-H.; Jeon, S.-W.; Kim, W.-K.; Choi, I.-R. Framed steel plate wall behavior under cyclic lateral loading. J. Struct. Eng. 2007, 133, 378–388. [Google Scholar] [CrossRef]
- Bhowmick, A.K.; Grondin, G.Y.; Driver, R.G. Nonlinear seismic analysis of perforated steel plate shear walls. J. Constr. Steel Res. 2014, 94, 103–113. [Google Scholar] [CrossRef]
- Berman, J.W.; Celik, O.C.; Bruneau, M. Comparing hysteretic behavior of light-gauge, steel plate shear walls and braced frames. Eng. Struct. 2005, 27, 475–485. [Google Scholar] [CrossRef]
- Belal, M.F.; Serror, M.H.; Mourad, S.A.; El Saadawy, M.M. Seismic behavior of light-gauge cold-formed steel stud walls under monotonic and cyclic loading. J. Build. Eng. 2021, 43, 103037. [Google Scholar] [CrossRef]
- Ghamari, A.; Haeri, H. Improving the behavior of high-performance steel plate shear walls using Low Yield Point steel. Case Stud. Constr. Mater. 2021, 14, e00511. [Google Scholar] [CrossRef]
- Chen, S.J.; Jhang, C. Experimental study of low-yield-point steel plate shear wall under in-plane load. J. Constr. Steel Res. 2011, 67, 977–985. [Google Scholar] [CrossRef]
- Bahrebar, M.; Lim, J.B.P.; Clifton, G.C.; Zirakian, T.; Shahmohammadi, A.; Hajsadeghi, M. Response assessment and prediction of low yield point steel plate shear walls with curved corrugated web plates and reduced beam sections. Structures 2020, 28, 1729–1745. [Google Scholar] [CrossRef]
- Lu, J.Y.; Zhang, H.Y.; Yu, S.J. Study on seismic behaviors of self-centering steel plate shear walls with slits. J. Constr. Steel Res. 2021, 185, 106878. [Google Scholar] [CrossRef]
- Ozcelik, Y. Expeditious strip model for steel plate shear walls with beam-connected web plates. J. Constr. Steel Res. 2021, 184, 106799. [Google Scholar] [CrossRef]
- Haji Mirsadeghi, M.R.; Fanaie, N. Steel plate shear walls with partial length connection to vertical boundary element. Structures 2021, 32, 1820–1838. [Google Scholar] [CrossRef]
- Dowden, D.M.; Clayton, P.M.; Li, C.H.; Berman, J.W.; Bruneau, M.; Lowes, L.N.; Tsai, K.C. Full-Scale Pseudodynamic Testing of Self-Centering Steel Plate Shear Walls. J. Struct. Eng. 2016, 142, 04015100. [Google Scholar] [CrossRef]
- Valizadeh, H.; Azar, B.F.; Veladi, H.; Sheidaii, M.R. The shear capacity assessment of steel plate shear walls with peripheral circular holes. Thin-Walled Struct. 2021, 163, 107638. [Google Scholar] [CrossRef]
- Yu, Y.; Hu, C.; Zhao, F.; Jiang, L. Research on the specially-shaped corrugated steel plate shear walls with horizontal corrugation. J. Constr. Steel Res. 2022, 188, 107012. [Google Scholar] [CrossRef]
- Dou, C.; Cheng, X.; Zhao, Y.-Y.; Yang, N. Shear Resistance and Design of Infill Panels in Corrugated-Plate Shear Walls. J. Struct. Eng. 2021, 147, 04021179. [Google Scholar] [CrossRef]
- Tong, J.-Z.; Guo, Y.-L.; Pan, W.-H. Ultimate shear resistance and post-ultimate behavior of double-corrugated-plate shear walls. J. Constr. Steel Res. 2020, 165, 105895. [Google Scholar] [CrossRef]
- Dou, C.; Pi, Y.-L.; Gao, W. Shear resistance and post-buckling behavior of corrugated panels in steel plate shear walls. Thin-Walled Struct. 2018, 131, 816–826. [Google Scholar] [CrossRef]
- Broujerdian, V.; Ghamari, A.; Abbaszadeh, A. Introducing an efficient compound section for steel shear wall using flat and corrugated plates. Structures 2021, 33, 2855–2871. [Google Scholar] [CrossRef]
- Hamed, A.A.; Asl, R.B.; Rahimzadeh, H. Experimental and numerical study on the structural performance of auxetic-shaped, ring-shaped and unstiffened steel plate shear walls. J. Build. Eng. 2021, 34, 101939. [Google Scholar] [CrossRef]
- Hajimirsadeghi, M.R.; Fanaie, N. Steel plate shear walls with large disconnected lengths of web plate to vertical boundary element. Structures 2021, 34, 4596–4615. [Google Scholar] [CrossRef]
- Elgaaly, M. Thin steel plate shear walls behavior and analysis. Thin-Walled Struct. 1998, 32, 151–180. [Google Scholar] [CrossRef]
- Elgaaly, M.; Caccese, V.; Du, C. Postbuckling behavior of steel-plate shear walls under cyclic loads. J. Struct. Eng. 1993, 119, 588–605. [Google Scholar] [CrossRef]
- Roberts, T.M.; Ghomi, S.S. Hysteretic characteristics of unstiffened plate shear panels. Thin-Walled Struct. 1991, 12, 145–162. [Google Scholar] [CrossRef]
- CSA S16; Design of Steel Structures. CSA Group: Toronto, ON, Canada, 2014.
- ANSI/AISC 341-16; Seismic Provisions for Structural Steel Buildings. American Institute of Steel Construction: Chicago, IL, USA, 2016.
- Choi, I.-R.; Park, H.-G. Steel plate shear walls with various infill plate designs. J. Struct. Eng. 2009, 135, 785–796. [Google Scholar] [CrossRef]
- Mohebbi, S.; Mirghaderi, R.; Farahbod, F.; Bagheri Sabbagh, A. Experimental work on single and double-sided steel sheathed cold-formed steel shear walls for seismic actions. Thin-Walled Struct. 2015, 91, 50–62. [Google Scholar] [CrossRef]
- Hosseinzadeh, S.A.A.; Tehranizadeh, M. Behavioral characteristics of code designed steel plate shear wall systems. J. Constr. Steel Res. 2014, 99, 72–84. [Google Scholar] [CrossRef]
- Abaqus, G. Abaqus 6.14.; Dassault Systemes Simulia Corporation: Providence, RI, USA, 2013. [Google Scholar]
- Wang, M.; Yang, W.; Shi, Y.; Xu, J. Seismic behaviors of steel plate shear wall structures with construction details and materials. J. Constr. Steel Res. 2015, 107, 194–210. [Google Scholar] [CrossRef]
- Wang, M.; Shi, Y.J.; Xu, J.; Yang, W.G.; Li, Y.X. Experimental and numerical study of unstiffened steel plate shear wall structures. J. Constr. Steel Res. 2015, 112, 373–386. [Google Scholar] [CrossRef]
- Hassani, F.; Javanbakht, Z. Effect of geometrical variations on the failure mechanisms of perforated steel plate shear Walls-a parametric study towards a new design. Thin-Walled Struct. 2021, 159, 107244. [Google Scholar] [CrossRef]
- Gorji Azandariani, M.; Gholhaki, M.; Kafi, M.A. Hysteresis finite element model for evaluation of cyclic behavior and performance of steel plate shear walls (SPSWs). Structures 2021, 29, 30–47. [Google Scholar] [CrossRef]
- Lu, J.Y.; Yu, S.J.; Xia, J.; Qiao, X.D.; Tang, Y. Experimental study on the hysteretic behavior of steel plate shear wall with unequal length slits. J. Constr. Steel Res. 2018, 147, 477–487. [Google Scholar] [CrossRef]
- Kordzangeneh, G.; Showkati, H.; Rezaeian, A.; Yekrangnia, M. Experimental cyclic performance of steel shear walls with single rectangular opening. Struct. Des. Tall Spec. Build. 2021, 30, 45–56. [Google Scholar] [CrossRef]




















| Specimen | Connection Type of Beam-Column | Plate Thickness (mm) | Middle Beam Sections | Top Beam Sections | Column Sections |
|---|---|---|---|---|---|
| IWS-SPSW | Moment-resistant | 2 | H125 × 125 × 6.5 × 9 | H150 × 150 × 7 × 10 | H150 × 150 × 7 × 10 |
| USPSW | Moment-resistant | 2 | H125 × 125 × 6.5 × 9 | H150 × 150 × 7 × 10 | H150 × 150 × 7 × 10 |
| Element | Steel Grade | Thickness (mm) | Modulus of Elasticity (GPa) | Yield Stress (MPa) | Ultimate Stress (MPa) | Elongation (%) |
|---|---|---|---|---|---|---|
| Web plate | Q235 | 2 | 200 | 242 | 370–460 | 21 |
| Beam & Columns | Q345 | 8.35 | 210 | 352 | 470–550 | 18 |
| Fin-plate | Q235 | 3.6 | 206 | 245 | 380–460 | 20 |
| Specimen | Py (kN) | Pmax (kN) | Kiy (kN/mm) | δy (mm)(drift%) | δmax (mm)(drift%) | Displ. Ductility |
|---|---|---|---|---|---|---|
| USPSW | 394.05 | 437.8 | 15.41 | 25.55 (0.70) | 116.1 (3.3) | 4.54 |
| IWS-SPSW | 284.7 | 334.93 | 12.62 | 22.56 (0.61) | 116.1 (3.3) | 5.15 |
| Steel | fy/MPa | Q∞/MPa | Biso | C1/Mpa | δ1 | C2/Mpa | δ2 | C3/Mpa | δ3 | C4/Mpa | δ4 |
|---|---|---|---|---|---|---|---|---|---|---|---|
| Q235 | 235 | 2100 | 1.2 | 7493 | 750 | 6273 | 514 | 2354 | 186 | 950 | 166 |
| Q345 | 345 | 1450 | 0.4 | 7994 | 650 | 6120 | 510 | 2265 | 176 | 875 | 158 |
| Model | Material Property | Strips Thickness (mm) | Infill-Strip Nut-Bolts | Kiy (kN/mm) | δy (mm) | δmax (mm) | Py (kN) | Pmax (kN) | µ | ED (kJ) | |
|---|---|---|---|---|---|---|---|---|---|---|---|
| Beam & Columns | Infill-Strips | ||||||||||
| IWS-SPSW | Q345 | Q235 | 2 | yes a | 12.62 | 22.6 | 116.1 | 284.7 | 334.9 | 5.6 | 243.9 |
| IWS-1 | Q345 | Q235 | 2 | no | 16.76 | 21.7 | 118 | 241.2 | 331.1 | 5.4 | 232.7 |
| IWS-2 | Q345 | Q235 | 2 | yes b | 14.11 | 20.7 | 118 | 292.5 | 344.1 | 5.7 | 306.2 |
| IWS-3 | Q345 | Q345 | 2 | yes a | 14.31 | 23.5 | 118 | 335.9 | 395.3 | 5.0 | 261.8 |
| IWS-4 | Q345 | Q235 | 3 | yes a | 20.51 | 17.4 | 118 | 356.4 | 419.3 | 6.8 | 340.8 |
| IWS-5 | Q345 | Q235 | 4 | yes a | 24.32 | 18.2 | 118 | 442.9 | 521.1 | 6.5 | 405.9 |
| IWS-6 | Q345 | Q235 | 5 | yes a | 30.89 | 15.4 | 118 | 475.8 | 559.7 | 7.3 | 477.1 |
Publisher’s Note: MDPI stays neutral with regard to jurisdictional claims in published maps and institutional affiliations. |
© 2022 by the authors. Licensee MDPI, Basel, Switzerland. This article is an open access article distributed under the terms and conditions of the Creative Commons Attribution (CC BY) license (https://creativecommons.org/licenses/by/4.0/).
Share and Cite
Abdul Ghafar, W.; Tao, Z.; Tao, Y.; He, Y.; Wu, L.; Zhang, Z. Experimental and Numerical Study of an Innovative Infill Web-Strips Steel Plate Shear Wall with Rigid Beam-to-Column Connections. Buildings 2022, 12, 1560. https://doi.org/10.3390/buildings12101560
Abdul Ghafar W, Tao Z, Tao Y, He Y, Wu L, Zhang Z. Experimental and Numerical Study of an Innovative Infill Web-Strips Steel Plate Shear Wall with Rigid Beam-to-Column Connections. Buildings. 2022; 12(10):1560. https://doi.org/10.3390/buildings12101560
Chicago/Turabian StyleAbdul Ghafar, Wahab, Zhong Tao, Yan Tao, Yingcheng He, Lei Wu, and Zhiqi Zhang. 2022. "Experimental and Numerical Study of an Innovative Infill Web-Strips Steel Plate Shear Wall with Rigid Beam-to-Column Connections" Buildings 12, no. 10: 1560. https://doi.org/10.3390/buildings12101560
APA StyleAbdul Ghafar, W., Tao, Z., Tao, Y., He, Y., Wu, L., & Zhang, Z. (2022). Experimental and Numerical Study of an Innovative Infill Web-Strips Steel Plate Shear Wall with Rigid Beam-to-Column Connections. Buildings, 12(10), 1560. https://doi.org/10.3390/buildings12101560

