Fragility Analysis of Wind-Induced Collapse of a Transmission Tower Considering Corrosion
Abstract
:1. Introduction
2. Probabilistic Evaluation Method for Wind Resistance of a Transmission Tower
3. Sensitivity Analysis of the Tower-Line System under Wind Loads
3.1. Finite Element Model
3.2. Uncertainty of Material and Geometric Parameters
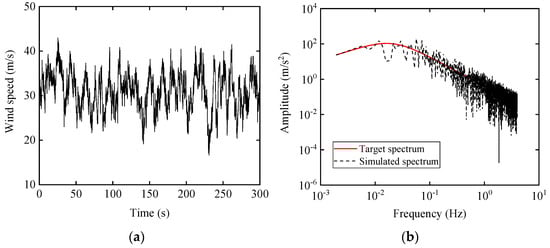
3.3. Simulation of Wind Load
3.4. Sensitivity Analysis
4. Fragility Analysis of Transmission Tower Considering Structural Uncertainty
4.1. Pushover Analysis
4.2. Incremental Dynamic Analysis
5. Prediction of Corrosion Depth Based on the BP Artificial Neural Network
5.1. Generation of the Artificial Neural Network Model
5.2. Corrosion Depth Prediction Results
6. Uncertainty Analysis of Transmission Tower Considering Corrosion and Strong Wind Effects
6.1. Results of Wind Resistance Degradation
6.2. Variation in Transmission Tower Failure Modes
7. Conclusions
- (1)
- The sensitivity analysis of the transmission tower shows that the angle steel thickness has the greatest impact on the wind-resistant performance of the transmission tower when the tower is in operation, and the yield strength of Q345 steel and the elastic modulus also have a significant impact on the collapse wind speed. The change in geometric parameters reduces the log-standard deviation of the basic collapse wind speeds, and the variations in the elastic modulus and Poisson ratio can make the basic collapse wind speed results more dispersed. Therefore, more attention should be paid to the thickness of steel when designing and manufacturing transmission towers.
- (2)
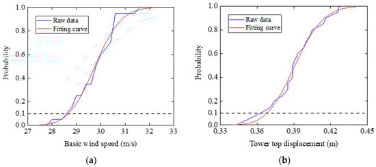
- The collapse wind speed results obtained using the pushover analysis based on the load code for the design of the overhead transmission line [35] were close to those obtained by the incremental dynamic analysis. The maximum relative error was 5.7% and the mean relative error was 3.18%. The starting positions of the fragility curves obtained by the two methods were almost coincident, and the basic collapse wind speed results corresponding to a 10% probability differed by only 0.97%. Therefore, probability analysis method can improve the accuracy of the results.
- (3)
- The accuracy of predicting the steel corrosion rate using a BP artificial neural network was high. The mean relative error between the predicted and measured values was 8.91% and the correlation coefficient was 0.9849. The mass loss ratios of the diagonal members were greater than those of the main leg members during the operation of the transmission tower, so in engineering design, it is feasible to use the artificial neural network method for corrosion prediction.
- (4)
- The corrosion of tower members will reduce the basic collapse wind speed of the tower and collapsed-tower top displacement, particularly in regions with severe acid rain and coastal industrial regions, and will result in variations in the failure mode and members of the transmission tower. With the increase in the exposure time, the possibility of brittle failure of the transmission tower increases; therefore, the transmission tower should be maintained in time according to the corrosion degree of the tower members in different regions.
Author Contributions
Funding
Institutional Review Board Statement
Informed Consent Statement
Data Availability Statement
Acknowledgments
Conflicts of Interest
References
- Roy, S.; Kundu, C.K. State of the art review of wind induced vibration and its control on transmission towers. Structures 2021, 29, 254–264. [Google Scholar] [CrossRef]
- Deng, H.Z.; Si, R.J.; Hu, X.Y. Wind Tunnel Study on Wind-Induced Vibration Responses of a UHV Transmission Tower-Line System. Adv. Struct. Eng. 2013, 16, 1175–1185. [Google Scholar] [CrossRef]
- Huang, M.F.; Lou, W.J.; Yang, L. Experimental and computational simulation for wind effects on the Zhoushan transmission towers. Struct. Infrastruct. E. 2012, 8, 781–799. [Google Scholar] [CrossRef]
- Prasad Rao, N.; Kalyanaraman, V. Non-linear behaviour of lattice panel of angle towers. J. Constr. Steel Res. 2001, 57, 1337–1357. [Google Scholar] [CrossRef]
- Zheng, H.D.; Fan, J. Progressive collapse analysis of a truss transmission tower-line system subjected to downburst loading. J. Constr. Steel Res. 2022, 188, 107044. [Google Scholar] [CrossRef]
- Zhang, J.; Xie, Q. Failure analysis of transmission tower subjected to strong wind load. J. Constr. Steel Res. 2019, 160, 271–279. [Google Scholar] [CrossRef]
- Yasui, H.; Marukawa, H.; Momomura, Y. Analytical study on wind-induced vibration of power transmission towers. J. Wind Eng. Ind. Aerod. 1999, 83, 431–441. [Google Scholar] [CrossRef]
- Battista, R.C.; Rodrigues, R.S.; Pfeil, M.S. Dynamic behavior and stability of transmission line towers under wind forces. J. Wind Eng. Ind. Aerod. 2003, 91, 1051–1067. [Google Scholar] [CrossRef]
- Yazdani, M.; Jahangiri, V.; Marefat, M.S. Seismic performance assessment of plain concrete arch bridges under near-field earthquakes using incremental dynamic analysis. Eng. Fail. Anal. 2019, 106, 104170. [Google Scholar] [CrossRef]
- Moazam, A.M.; Hasani, N.; Yazdani, M. Incremental dynamic analysis of small to medium spans plain concrete arch bridges. Eng. Fail. Anal. 2018, 91, 12–27. [Google Scholar] [CrossRef]
- Chen, D.H.; Yang, Z.H.; Wang, M. Seismic performance and failure modes of the Jin’anqiao concrete gravity dam based on incremental dynamic analysis. Eng. Fail. Anal. 2019, 100, 227–244. [Google Scholar] [CrossRef]
- Dolsek, M. Incremental dynamic analysis with consideration of modeling uncertainties. Earthq. Eng. Struct. D 2009, 38, 805–825. [Google Scholar] [CrossRef]
- Tian, L.; Zhang, X.; Fu, X. Fragility analysis of a long-span transmission tower-line system under wind loads. Adv. Struct. Eng. 2020, 23, 2110–2120. [Google Scholar] [CrossRef]
- Pan, H.Y.; Tian, L.; Fu, X. Sensitivities of the seismic response and fragility estimate of a transmission tower to structural and ground motion uncertainties. J. Constr. Steel Res. 2020, 167, 105941. [Google Scholar] [CrossRef]
- Lei, X.; Fu, X.; Xiao, K. Failure Analysis of a Transmission Tower Subjected to Wind Load Using Uncertainty Method. Proc. CSEE 2018, 38, 266–274. [Google Scholar] [CrossRef]
- Fu, X.; Wang, J.; Li, H.N. Full-scale test and its numerical simulation of a transmission tower under extreme wind loads. J. Wind Eng. Ind. Aerod. 2019, 190, 119–133. [Google Scholar] [CrossRef]
- Fu, X.; Li, H.N.; Li, G. Fragility analysis of a transmission tower under combined wind and rain loads. J. Wind Eng. Ind. Aerod. 2020, 199, 104098. [Google Scholar] [CrossRef]
- Fu, X.; Li, H.N.; Li, G. Fragility analysis and estimation of collapse status for transmission tower subjected to wind and rain loads. Struct. Saf. 2016, 58, 1–10. [Google Scholar] [CrossRef]
- Kenny, E.D.; Paredes, R.; Lacerda, L. Artificial neural network corrosion modeling for metals in an equatorial climate. Corros. Sci. 2009, 51, 2266–2278. [Google Scholar] [CrossRef]
- Kong, Z.Y.; Jin, Y.; Sabbir, H. Experimental and theoretical study on mechanical properties of mild steel after corrosion. Ocean Eng. 2022, 246, 110652. [Google Scholar] [CrossRef]
- Jia, C.; Shao, Y.S.; Guo, L.H. Incipient corrosion behavior and mechanical properties of low-alloy steel in simulated industrial atmosphere. Constr. Build. Mater. 2018, 187, 1242–1252. [Google Scholar] [CrossRef]
- Mccuen, R.H.; Albrecht, P. Effect of Alloy Composition on Atmospheric Corrosion of Weathering Steel. J. Mater. Civil Eng. 2005, 17, 117–125. [Google Scholar] [CrossRef]
- Wang, Z.F.; Liu, J.R.; Wu, L.X. Study of the corrosion behavior of weathering steels in atmospheric environments. Corros. Sci. 2013, 67, 1–10. [Google Scholar] [CrossRef]
- Feliu, S.; Morcillo, M. The prediction of atmospheric corrosion from meteorological and pollution parameters ―I. Annual corrosion. Corros. Sci. 1993, 34, 415–422. [Google Scholar] [CrossRef]
- Zhi, Y.J.; Fu, D.M.; Yang, T. Long-term prediction on atmospheric corrosion data series of carbon steel in China based on NGBM (1,1) model and genetic algorithm. Anti. Corros. Method. Mater. 2019, 66, 403–411. [Google Scholar] [CrossRef]
- Song, X.X.; Wang, K.Y.; Zhou, L. Multi-factor mining and corrosion rate prediction model construction of carbon steel under dynamic atmospheric corrosion environment. Eng. Fail. Anal. 2022, 134, 105987. [Google Scholar] [CrossRef]
- Mohammed, A.; Amer, M.; Ahmad, A. Predicting the Corrosion Rate of Medium Carbon Steel Using Artificial Neural Networks. Prot. Met. Phys. Chem. 2022, 58, 414–421. [Google Scholar] [CrossRef]
- Li, J.Y.; Men, C.; Qi, J.F. Impact factor analysis, prediction, and mapping of soil corrosion of carbon steel across China based on MIV-BP artificial neural network and GIS. J. Soil. Sediment. 2020, 20, 3204–3216. [Google Scholar] [CrossRef]
- Cai, J.P.; Cottis, R.A.; Lyon, S.B. Phenomenological modelling of atmospheric corrosion using an artificial neural network. Corros. Sci. 1999, 41, 2001–2030. [Google Scholar] [CrossRef]
- Halama, M.; Kreislova, K.; Van Lysebettens, J. Prediction of Atmospheric Corrosion of Carbon Steel Using Artificial Neural Network Model in Local Geographical Regions. Corrosion-US 2011, 67, 065004. [Google Scholar] [CrossRef]
- National Standards of the People’s Republic of China. Unified Standard for Reliability Design of Building Structures GB50068-2018; China Architecture & Building Press: Beijing, China, 2018. [Google Scholar]
- Chen, G.X.; Li, J.H. Statistical Parameters of material strength and geometric properties of shapes for steel members. J. Chongqing Jianzhu Univ. 1985, 1, 1–23. [Google Scholar]
- Alembagheri, M.; Seyedkazemi, M. Seismic performance sensitivity and uncertainty analysis of gravity dams. Earthq. Eng. Struct. Dyn. 2015, 44, 41–58. [Google Scholar] [CrossRef]
- Xu, Z.; Zhang, T.; Ge, X.D. Uncertainty analysis of transmission tower-line system under wind load. J. Shandong Univ. 2021, 51, 99–105. [Google Scholar]
- Power Industry Standards of the People’s Republic of China. Load Code for the Design of Overhead Transmission Line DL/T 5551-2018; China Planning Press: Beijing, China, 2018. [Google Scholar]
- National Materials Corrosion and Protection Data Center. Available online: https://www.corrdata.org.cn/index.php (accessed on 2 March 2022).
- Wang, R.B.; Xu, H.Y.; Li, B. Research on Method of Determining Hidden Layer Nodes in BP Neural Network. Comput. Technol. Dev. 2018, 28, 31–35. [Google Scholar]
- Chen, Y.; Qiang, C.M.; Wang, G.G. Corrosion and Protection of Transmission Towers. Elec. Power Constr. 2010, 31, 55–58. [Google Scholar]






















| Parameters | 2 × LGJ-400/35 | JLB20A-150 |
|---|---|---|
| Diameter (mm) | 26.82 | 15.75 |
| Elastic modulus (GPa) | 65 | 147.2 |
| Cross-sectional area (mm2) | 425.24 | 148.07 |
| Weight (per unit length) (kg/km) | 1349 | 989.4 |
| Tensile breaking force (N) | 103900 | 178570 |
| Parameter | Variable | Mean Value | Coefficient of Variation | Distribution Type |
|---|---|---|---|---|
| Elastic modulus (GPa) | 206 | 0.03 | Lognormal | |
| Poisson ratio | 0.3 | 0.03 | Lognormal | |
| Yield strength of Q235 steel (MPa) | 263.7 | 0.07 | Lognormal | |
| Yield strength of Q345 steel (MPa) | 387.1 | 0.07 | Lognormal | |
| Width of the angle steel | b | 1.001 | 0.008 | Normal |
| Thickness of the angle steel | t | 0.985 | 0.032 | Normal |
| Panel Number | Height above Ground (m) | Height of Panel (m) | Wind Pressure Height Variation Coefficient | Wind Vibration Coefficient | Shape Coefficient | Projected Area | Standard Value of Reference Wind Pressure | Standard Value of Wind Load (kN) | Design Value of Wind Load (kN) |
|---|---|---|---|---|---|---|---|---|---|
| 1 | 37.0 | 2.3 | 1.481 | 5.860 | 2.217 | 0.528 | 0.391 | 3.432 | 4.805 |
| 2 | 33.1 | 5.9 | 1.430 | 1.537 | 2.217 | 2.154 | 0.391 | 4.100 | 5.740 |
| 3 | 29.4 | 1.8 | 1.380 | 2.642 | 2.217 | 1.596 | 0.391 | 3.441 | 4.817 |
| 4 | 24.9 | 6.3 | 1.308 | 1.316 | 2.356 | 3.635 | 0.391 | 5.758 | 8.061 |
| 5 | 18.0 | 7.5 | 1.190 | 1.116 | 2.356 | 6.018 | 0.391 | 7.352 | 10.293 |
| 6 | 10.8 | 6.9 | 1.021 | 1.059 | 2.356 | 7.120 | 0.391 | 7.083 | 9.156 |
| 7 | 3.6 | 7.5 | 1.000 | 1.012 | 2.356 | 9.467 | 0.391 | 8.818 | 12.345 |
| Wind Speed (m/s) | Wind Load Design Value of Middle Conductor | Wind Load Design Value of Side Conductor | Wind Load Design Value of Ground Wire | Wind Load Design Value of Middle Insulator | Wind Load Design Value of Side Insulator |
|---|---|---|---|---|---|
| 15 | 4567 | 4344 | 1497 | 314 | 297 |
| 20 | 8118 | 7720 | 2662 | 558 | 528 |
| 25 | 12,679 | 12,056 | 4158 | 871 | 826 |
| 26 | 13,712 | 13,039 | 4497 | 942 | 893 |
| 27 | 14,786 | 14,059 | 4850 | 1016 | 963 |
| 28 | 15,900 | 15,118 | 5216 | 1093 | 1036 |
| 30 | 18,249 | 17,351 | 5987 | 1255 | 1189 |
| Network Parameter | Data Selection |
|---|---|
| Steel material | Carbon steel: 3C, 20, 15MnMoVN, 14MnMoNbB, 09MnNb(S), 08Al, 12CrMnCu, Q235; Low-alloy steel: 16MnQ, 10CrMoAl, 10CrCuSiV, 09CuPTiRE, 09CuPCrNi, 09CuPCrNiA, Q345 |
| Region | Beijing, Qingdao, Jiangjin, Guangzhou, Wuhan, Qionghai |
| Input factor | Material parameters: Content of carbon, manganese, sulfur, phosphorus, silicon, and copper Meteorological factors: annual average temperature, annual average relative humidity, annual sunshine hours, annual precipitation, SO2 concentration, Cl− concentration, NO2 concentration, pH value of rainwaterExposure time |
| Region | Annual Average Temperature (°C) | Annual Average Relative Humidity (%) | Annual Sunshine Hours (h) | Annual Precipitation (mm) | SO2 Concentration (mg/cm3) | Cl− Concentration (mg/cm3) | NO2 Concentration (mg/100 cm2/d) | pH Value of Rainwater |
|---|---|---|---|---|---|---|---|---|
| Beijing | 12.8 | 55 | 2368.6 | 578.7 | 0.06 | 0.85 | 0.11 | 6.52 |
| Qingdao | 12.8 | 70 | 2199.9 | 582.6 | 0.05 | 0.11 | 0.08 | 5.42 |
| Jiangjin | 19.8 | 77 | 1369.3 | 998 | 0.22 | 0.00 | 0.08 | 5.44 |
| Guangzhou | 21.5 | 81 | 1582.9 | 2095.4 | 0.06 | 0.03 | 0.08 | 6.68 |
| Wuhan | 17.1 | 77 | 2092.5 | 1434.2 | 0.08 | 0.02 | 0.14 | 6.81 |
| Qionghai | 24.6 | 82 | 1743.1 | 2506.1 | 0.02 | 0.05 | 0.01 | 6.38 |
| Steel Material | Region | A | n | R2 |
|---|---|---|---|---|
| Q235 | Beijing | 34.03 | 0.5951 | 0.9953 |
| Q235 | Qingdao | 65.37 | 0.6581 | 0.9988 |
| Q235 | Jiangjin | 66.78 | 0.6592 | 0.9887 |
| Q235 | Guangzhou | 51.89 | 0.6675 | 0.9886 |
| Q345 | Beijing | 32.94 | 0.6444 | 0.9944 |
| Q345 | Qingdao | 63.42 | 0.7219 | 0.9985 |
| Q345 | Jiangjin | 65.20 | 0.6817 | 0.9877 |
| Q345 | Guangzhou | 51.81 | 0.7044 | 0.9894 |
| Steel Type | Yield Strength | Ultimate Strength | Elastic Modulus |
|---|---|---|---|
| Q235 | 0.875 | 0.894 | 0.88 |
| Q345 | 0.96 | 0.99 | 0.98 |
| Exposure Time (Years) | VBJ (m/s) | VQD (m/s) | VJJ (m/s) | VGZ (m/s) |
|---|---|---|---|---|
| 0 | 28.68 | 28.68 | 28.68 | 28.68 |
| 5 | 27.96 | 27.00 | 26.79 | 27.31 |
| 10 | 27.47 | 26.09 | 25.82 | 26.45 |
| 15 | 27.12 | 25.23 | 25.16 | 25.78 |
| 20 | 27.06 | 24.22 | 24.75 | 25.35 |
| 25 | 26.67 | 23.45 | 24.19 | 24.96 |
| Exposure Time (Years) | UBJ (m) | UQD (m) | UJJ (m) | UGZ (m) |
|---|---|---|---|---|
| 0 | 0.368 | 0.368 | 0.368 | 0.368 |
| 5 | 0.359 | 0.346 | 0.346 | 0.349 |
| 10 | 0.353 | 0.336 | 0.332 | 0.340 |
| 15 | 0.350 | 0.326 | 0.323 | 0.330 |
| 20 | 0.350 | 0.310 | 0.318 | 0.326 |
| 25 | 0.342 | 0.301 | 0.313 | 0.321 |
| Exposure Time | Initial Failure Member | Failure Probability (%) | Probability of Plastic Instability (%) | Probability of Elastic Instability (%) |
|---|---|---|---|---|
| Initial state | No. 502 | 70 | 70 | 0 |
| No. 601 | 30 | 30 | 0 | |
| 5 to 20 years in Beijing | No. 502 | 70 | 70 | 0 |
| 5 years in Qingdao | No. 601 | 30 | 30 | 0 |
| 5 years in Jiangjin | ||||
| 5 years in Guangzhou | ||||
| 25 years in Beijing | No. 502 | 70 | 65 | 5 |
| 10 to 15 years in Qingdao | No. 601 | 30 | 30 | 0 |
| 10 to 15 years in Jiangjin | ||||
| 10 to 20 years in Guangzhou | ||||
| 20 years in Jiangjin | No. 502 | 70 | 55 | 15 |
| 25 years in Guangzhou | No. 601 | 30 | 25 | 5 |
| 20 years in Qingdao | No. 502 | 65 | 45 | 20 |
| 25 years in Jiangjin | No. 601 | 35 | 30 | 5 |
| 25 years in Qingdao | No. 502 | 65 | 45 | 20 |
| No. 601 | 35 | 20 | 15 |
Publisher’s Note: MDPI stays neutral with regard to jurisdictional claims in published maps and institutional affiliations. |
© 2022 by the authors. Licensee MDPI, Basel, Switzerland. This article is an open access article distributed under the terms and conditions of the Creative Commons Attribution (CC BY) license (https://creativecommons.org/licenses/by/4.0/).
Share and Cite
Liu, C.; Yan, Z. Fragility Analysis of Wind-Induced Collapse of a Transmission Tower Considering Corrosion. Buildings 2022, 12, 1500. https://doi.org/10.3390/buildings12101500
Liu C, Yan Z. Fragility Analysis of Wind-Induced Collapse of a Transmission Tower Considering Corrosion. Buildings. 2022; 12(10):1500. https://doi.org/10.3390/buildings12101500
Chicago/Turabian StyleLiu, Chuncheng, and Zhao Yan. 2022. "Fragility Analysis of Wind-Induced Collapse of a Transmission Tower Considering Corrosion" Buildings 12, no. 10: 1500. https://doi.org/10.3390/buildings12101500
APA StyleLiu, C., & Yan, Z. (2022). Fragility Analysis of Wind-Induced Collapse of a Transmission Tower Considering Corrosion. Buildings, 12(10), 1500. https://doi.org/10.3390/buildings12101500

