Abstract
Rapid visual screening is a quick and simple approach often used by researchers to estimate the seismic vulnerability of buildings in an area. In this study, preliminary seismic vulnerability assessment of 500 buildings situated at Northern and Eastern George Town, Malaysia, was carried out by utilizing a modified FEMA-154 (2002) method that suits Malaysian conditions. Data were collected from online sources via Google Maps and Google Earth instead of traditional surveying data collection through street screening. The seismic assessment analysis of this study was based on the RVS performance score and the damage state classification for each building typology. This approach generates, for each building, a final performance score based on governing parameters such as structural resisting system, height, structural irregularities, building age, and soil type. The findings revealed the immediate need for effective seismic mitigation strategies, as 90% of the studied buildings required a further detailed analyses to pinpoint their exact seismic vulnerability performance. Most of the surveyed buildings were predicted to experience moderate-to-substantial damage, with 220 out of 500 being classed as damage state 2 (D2) and damage state 3 (D3). A GIS map, “RVS Malaysian Form-George Town Area”, was generated via ArcGIS and shared with the public to provide vital information for further research.
1. Research Background
Earthquake events affect the buildings in urban areas drastically, causing extensive structural damage and the loss of lives around the world []. Due to this fact, a rising issue is facing the engineering community, of finding the most appropriate approaches for assessing the seismic vulnerability of a complex urban built zone under the effect of earthquakes, where the main objective is to build an efficient tool for the seismic evaluation of these buildings, and to find the best mitigation plans [].
Over the years, various vulnerability assessment approaches have been developed, by which the variation between approaches depends on the scale of the complexity of the region and the types of buildings under investigation. Mainly, when investigating a small number of buildings with small numbers of components, the most critical vulnerability assessment approach is related to the analytical methods, such as a detailed and simplified analytical approach for conducting fragility functions and the analytical Vulnerability Index (VI) [,,,,]. The analytical method needs a complex computational process and a broad knowledge of structural characteristics and components, where the method can be categorized into three main approaches: (i) the collapse mechanism approach, (ii) the capacity spectrum approach, and (iii) the displacement approach []. The analytical method is considered a precise method in assessing the seismic vulnerability of buildings; however, it is considered hard to conduct a computational model when analysing a large number of buildings and their structural characteristics and components.
Various researchers conducted the analytical methods in their research. For instance, Thuyet et al. [] conducted a study in Tawang, India, which focused on assessing the seismic vulnerability of masonry buildings. The main aim of the research was to compare the base-isolated buildings with respect to fixed-base buildings, through conducting analytical fragility functions on the basis of their varied mechanical properties. Furthermore, Chácara et al. [] developed an innovative method to assess the seismic vulnerability of buildings, by formulating a discrete macro-element model. The model defines the limit states and their main capacities on the basis of the analysed multi-directional pushover. Bhosale et al. [] investigated the seismic vulnerability of irregular building shape, by formulating a Vulnerability Index (VI) model. A new parameter was introduced in this study, the inter-storey drift ratio damage parameter. This parameter works by indicating the seismic vulnerability for vertical irregular structures. The analytical vulnerability assessment applications and their trends have been extensively reviewed and analysed for more information regarding this issue (see Silva et al. []).
On the contrary, the empirical method can handle the assessment of complex and numerous buildings in urban areas. The empirical method relies on the survey carried out before earthquakes, where the consistency of the method depends on the completeness of the data collection for past earthquakes. The empirical approach is used to formulate various vulnerability assessment models, such as empirical fragility functions, VI models that are based on empirical rating factors, and the Rapid Visual Screening (RVS) approach [,,,,].
For example, Bracchi et al. [] conducted an empirical approach on the basis of the Bayesian technique to assess the seismic vulnerability of masonry buildings. The Bayesian technique focuses on updating the factors of the building materials, which helps in updating the values of effectiveness for mechanical characteristics through adjusting the empirical correlations. Additionally, Kim [] considered a nesting theory between the fragility functions, by which it is correlated with possibility theory. Two important measures were used to conduct the fragility curves: the possibility and certainty. Ruggieri et al. [] assessed the seismic vulnerability of reinforced concrete buildings for schools, through formulating an RVS approach for prioritizing the vulnerability of buildings. The study used simplified parameters to indicate the safety index, and the structural and non-structural factors were considered through surveys. Various researchers reviewed empirical vulnerability assessment methods and their future trends; for detailed information regarding this issue, see El-Maissi et al. [].
The hybrid approach mainly combines the analytical method with the empirical method. It is considered an efficient tool in assessing seismic vulnerability, due to merging various data sources. Cocco et al. [] developed a hybrid model to assess the seismic vulnerability of historic buildings in Campotosto, Italy. Two different fragility functions were developed based on two different approaches (empirical and analytical). The results show a reduced error compared with other studies.
The RVS method has evolved rapidly in recent decades, and various simplified, fast, and reliable approaches are being developed. The combination of machine learning (ML) and fuzzy logic approaches with RVS methods is now considered the ideal for developing the risk assessment and reduction industry [,]. Different researchers used the fuzzy logic method to develop the RVS models. For instance, Harirchian and Lahmer [] developed an interesting model that uses the fuzzy logic approach to improve the safety of existing structures during earthquakes. The study covered the uncertainties of this approach by inducing an enhanced hierarchical structural model, through formulating the interval type of the fuzzy logic analysis. Moreover, Allali et al. [] introduced an assessment model for post-earthquake analysis using the fuzzy logic approach. It was assessed based on technical reports written by trained staff and modelled using a genetic algorithm to evaluate and optimize the global structural damage parameters. Şen [] also used fuzzy logic to develop an RVS model for evaluating buildings under the effect of earthquakes. The main aim of this research was to build a logical regulation based on the inference system methodology. In addition, various interesting studies tackled the RVS approach by using the emerging ML models and trending digital technologies [,]. For instance, Zhang [] presented an ML framework using algorithmic predictive models to classify structural safety on the basis of different damage patterns. Moreover, Morfidis and Kostinakis [] assessed Artificial Neural Networks (ANN) to enhance the reliability of developing RVS approaches, by which the levels of prediction were enhanced with respect to the influence of several configured limits. For more information regarding the trending and emerging technologies for developing RVS models, please refer to Harirchian et al. [] and Falcone et al. [].
Nevertheless, rapid visual screening (RVS) is a method to estimate the seismic vulnerability of a large number of structures in a city. It is based on correlations between the buildings’ predicted seismic performance and the structural typology (frame, shear wall, masonry, infills) []. While it is not considered a perfect method because it is based on expert and non-expert decisions, it is simple and can give a preliminary idea of the areas of a city that are vulnerable to seismic disturbances [,,]. Based on the information from RVS, government authorities can use quantitative tools to help them decide if, and how much, remedial work is required in a particular district []. Indeed, the assessment of earthquake resilience in a community can be achieved using a variety of fragility-based seismic vulnerability models that incorporate probabilistic building performance limit states [,,,]. For example, HAZUS and FEMA P-58 are damage-based loss estimation methods that compute direct and indirect losses using fragility functions and quantify the performance of each structural and non-structural component [,]. In contrast to the empirical approach (vulnerability index + expert judgment, RVS), which are based on observations, they rather focus on simulating the strong ground motions as an analytical procedure for determining the seismic physical vulnerability of structures.
In this research, the seismic performance of 500 existing buildings in Malaysia-George Town of Penang state were estimated using the RVS approachMany of the buildings in these areas were built following the same structural designed regulation of British Standards (BS). Since George Town is categorized as having low seismicity of 0.05 to 0.07 g according to the Malaysian National Annex, many buildings belonging to different cluster types (low-, mid-, and high-rise) have been designed without any attention to seismic loadings.
The assessment of seismic vulnerability of the buildings in this area has assumed importance in recent years for many reasons. First, the government and authorities are expected to release new regulations to enforce the integration of seismic designs for construction projects with medium ductility level (DCM). Secondly, from the perspective of structure, mixed-use buildings often have commercial or business spaces that are present on the ground floor, and such spaces lead often have soft stories in which, the lower columns have fewer shear walls (or significantly less shear stiffness) than the higher ones; this makes such buildings vulnerable to seismic disturbances. Finally, George Town houses many old buildings, especially within the heritage area; these buildings were constructed using unreinforced masonry structures and are vulnerable to damage from seismic excitation.
Therefore, the use of rapid visual screening (RVS) for preliminary vulnerability assessment can help in assigning appropriate vulnerability classes to buildings, which in turn would help in managing and implementing strategies for the safety of communities.
2. Rapid Visual Screening Methods
Rapid visual screening (RVS) is a qualitative method that estimates the seismic vulnerability of a large number of structures, based on correlations between buildings’ predicted seismic performance and structural typology []. There are various rapid evaluation methods, such as the street screening method, which can be used to gather information quickly. The street screening method is the quickest and most straightforward rapid evaluation strategy. There are no observations taken from a building’s façade, and there is no attention given to what is going on inside the building. This visual survey should take no more than 30 min to complete. Generally, RVS utilizes a scoring system to evaluate and estimate the level of risk of the buildings where there are a basic score (also known as structural score) and modifiers that correspond to the building’s strength and deficiencies during a seismic event []. Later, the seismic performance of the building can be predicted from the results of RVS through the final score. Despite the fact that RVS is not as exact as extensive modeling, it is quite simple and straightforward in detecting regions of a city that are weaker to seismic events than others [,,].
Therefore, RVS can be used as a preliminary process to screen structures with high seismic vulnerability in order to perform further detailed test and analysis. In this way, time is saved and resources are used efficiently.
There have been many studies in the past, to develop a more accurate and efficient RVS. These studies have largely been carried out in countries located within seismically active regions. The key mechanism of some of the well-known developed methodologies are discussed below.
2.1. RVS—United States Method
The Federal Emergency Management Agency (FEMA) of the United States has published many guidelines for the assessment and rehabilitation of seismically vulnerable structures. These include FEMA 178 (1992) [], which was first published in 1989 and revised in 1992, FEMA 310 (1998) [], which was designed as a revised version of FEMA 178 (1992), and FEMA 154 (2002) [], which was first published in 1988 and revised in 2002 and is used for rapid visual screening of structures.
FEMA 154 (2002) assigns a basic structural score to a building based on the lateral force resisting system of the structure as given in its Appendix B. Performance modifiers are stated to consider the influence of the number of stories, plan and vertical irregularities, pre-code or post-benchmark code details, and soil type on the overall performance of the building structure. With some adjustments to the data collecting methodology or the values of performance modifiers, this system has been used in a number of countries and nations, including the United States.
For example, the basic scores and modifiers assigned by FEMA 154 (2002) for lateral moment resisting frame are shown in Table 1. In general, there are 17 different types of buildings that were introduced for the RVS technique, and for each type, a Basic Structural Hazard (BSH) score was determined. The BSH score is a measure of the probability of a building structure collapsing. In Equation (1), the BSH score is given as the negative of the logarithm (in Base 10) to reflect the final score. Following this, the BSH is adjusted by including or excluding the score modifiers (SMs) of a structure, as given in Equation (2). Further detailed evaluation is needed if the final score of the building is lower than 2.0.
Table 1.
Basic scores and modifiers for a sample building typology—lateral moment resisting frame (C1).
The FEMA approach assigns a higher score for high rise buildings. For example, a building with four to seven stories gets a +0.4 score, whereas a building with more than seven stories gets a score of +0.6. In a high seismic zone, the technique treats vertical and horizontal irregularities using –1.5 and –0.5 modifiers. In addition, the vertical irregularities make a building significantly more vulnerable than plan imperfections; the modifier value is higher for vertical irregularities. Furthermore, vertical irregularities are easier to detect than plan irregularities during sidewalk surveys. Furthermore, FEMA displays a pre-code penalty for structures designed before seismic standards were enforced. Buildings designed and built after the code’s enhancements were enacted and enforced receive a post-benchmark positive attribute. Pre-code and post-benchmark modifications have been given weight to the basic structural scores.
2.2. RVS—Canadian Method
The National Research Council (NRC) of Canada proposed the widely used seismic screening process []. The goal of this approach was to calculate the seismic priority index (SPI), which was done by combining the structural (SI) and non-structural (NSI) indices, as stated in Equation (3). The following are the primary criteria that contributed to this screening score: the location of the building, the soil type, the duration or age of occupancy, the risk of falling, and others. Using the SPI index, researchers can group assessment into three stages: low detailing assessment (SPI less than 10) is deemed “low,” medium detailing assessment (10–20), and high detailing assessment (SPI greater than 20).
SI is the structural index that was derived by multiplying five components, viz., (A) seismicity index; (B) effect of soil condition; (C) type of structure; (D) building irregularities; and (E) importance of the building. The non-structural index (NSI) is the product of three components: B, E, and F, as formulated in Equations (4) and (5). Here, F is the highest value between F1 for life-threatening falling hazards and F2 for a threat to key operations.
2.3. RVS—New Zealand Method
Initial evaluation procedure (IEP) and detailed seismic assessment (DSA) are two steps of assessment proposed by the Society for Earthquake Engineering in New Zealand in 2012 []. In order to calculate the % New Building Standard (% NBS) value, it is necessary to collect information such as the seismic zone, soil type, construction age, and the design age of the structure. The assessment is completed after the % NBS values have been calculated. If the (% NBS) is less than 33, the building is considered to be vulnerable and more complete and precise assessment becomes necessary. If the % NBS is greater than 67, the buildings are considered capable of withstanding future earthquakes. It is possible that additional review will be necessary for (33 < % NBS < 67).
2.4. RVS—Japan Method
The Japanese Seismic Index system has three screening evaluation steps. The structure’s response to lateral seismic loading is first quantified using the compressive strengths of the vertical resisting elements. After that, the seismic capacity of the structure is evaluated solely on the basis of the dynamic properties of the resisting members (ductility and strength), and then, the strength and ductility of the vertical and horizontal members (columns, walls, and beams) are taken into consideration for evaluating the structure’s performance during earthquake movements [].
2.5. Other RVS Methods
In Greece, a fuzzy logic based RVS technique for categorizing structures into five different damage classifications in the case of a future earthquake was developed. The approach was created using data from 102 structures damaged in the 1999 Athens earthquake. The fuzzy-logic-based RVS (FLRVS) proposed a probabilistic reasoning method that treats the structural properties of a building holistically and generates a score indicating the potential for damage in the case of severe earthquakes delivering ground accelerations approximately equal to those specified by the applicable codes [].
When it comes to individual buildings in Turkey, Hassan and Sozen [] developed the the priority index procedure. The priority index procedure consists of two parts: the column index that is calculated as the proportion of column area to the floor area, and a wall index that is described as the ratio of areas, which is divided by the floor area, between the area of shear and infill walls divided by the floor area. In addition, Yakut [] developed a methodology that considered material and size attributes as well as elements’ orientation and vertical and plan imperfections, the length of columns and quality of workmanship. The Capacity Index (CI) can be calculated based on these criteria in order to classify the building’s risk exposure.
Sinha and Goyal [] proposed 3-level procedures that should be included in India’s national vulnerability assessment methodology. The three levels are: Level 1 procedure—rapid visual screening (RVS), Level 2 procedure—simplified vulnerability assessment (SVA) and Level 3 procedure—detailed vulnerability assessment (DVA). The RVS from Level 1 procedure was developed with reference to FEMA-154 (2002), in which, the evaluating mechanism was preserved, while some modifications were made to the scoring values and components to suit Indian conditions. However, for the basic score part, the type of lateral load-resisting system for wood and steel structure were reduced and completely removed for tilt-up construction, precast concrete, and reinforced masonry structure. Unreinforced masonry structures were subdivided into 4 categories (URM1, URM2, URM3, and URM4). For score modifiers, there is a combination of pre-code and post benchmark from FEMA-154 into code detailing and change the soil category from “dense, stiff and soft soil” to “medium, soft and liquefiable soil”. Similarly, the final score is calculated by taking the sum of basic score and score modifiers, as suggest to be taken 0.7 instead of 2 as cut off score to determine whether to proceed with Level 2 procedure or not. Further details of the 3-level procedures are included in “Seismic Evaluation and Strengthening of Existing Buildings” published by the Indian Institute of Technology Kanpur (IITK) [].
Moreover, Ruggieri et al. [] and Perrone et al. [] proposed an RVS method that may be implemented quickly to a large number of buildings, because it is based on calculating the Safety Index of hospital and school buildings while taking into consideration the characteristics affecting seismic risk. This approach is divided into two phases: the surveying phase, which is dependent on structural and non-structural data; the number of occupancies, emergency preparation, and peak ground acceleration of a specific site are all considered in this technique. Meanwhile, the other phase is concerned with risk assessment as it pertains to hazards, vulnerabilities, and exposures. Furthermore, Ruggieri et al. [] proposed a machine learning framework based on the vulnerability assessment of existing buildings named VULMA. This framework uses images to offer empirical vulnerability algorithms.
2.6. Review of Seismic Vulnerability Studies in Malaysia
In the past 10 years, there has been increasing concern about the performance of Malaysian buildings and structures under seismic influence, and many studies are being conducted in this area. These studies are geared in four directions, viz., detailed vulnerability assessment of individual selected building as shown in Table 2, detailed vulnerability assessment of selected building clusters as shown in Table 3, the development of new seismic vulnerability assessment methodologies, and preliminary vulnerability assessment of large building inventories as shown in Table 4 and Table 5, respectively.
Table 2.
Research conducted in the past 10 years on the detailed vulnerability assessment of individual selected building.
Table 3.
Research conducted in the past 10 years on the detailed vulnerability assessment of selected building or structure cluster.
Table 4.
Research conducted in the past 10 years on the development of new seismic vulnerability assessment methodologies.
Table 5.
Research conducted in the past 10 years on the preliminary vulnerability assessment of large building inventories.
A review of previous seismic-vulnerability-related studies in the Malaysian context shows that there is insufficient information on preliminary seismic vulnerability assessment of existing buildings. To fill this gap in understanding, this work performed preliminary seismic vulnerability assessment in George Town, Penang Island to provide a quantitative tool for the government to decide if, and how much, remedial work is required in a particular district []. The data from this preliminary screening will be presented to the public through the GIS mapping method, to enable further assessment based on the outcome of this research.
3. Modified RVS Method Based on Malaysia’s Condition
The RVS method adopted in this research followed FEMA-154 with some modifications made to suit Malaysian conditions. The first modification was that a conservative approach was taken in which, a “high seismicity” survey form was used to match the expectation that buildings in Malaysia may be influenced by either near-field or far-field intense Earthquake motion in future. However, Malaysia is divided into three regions according to their relative degree of seismic hazard—Peninsular Malaysia with low hazard (0.05 g–0.07 g), Sarawak with moderate hazard (0.07 g–0.09 g) and Sabah with high hazard (0.15 g–0.165 g), where g is the gravitational acceleration 9.81 m/s2 []. Similar to FEMA-154, general information of the building such as address, no. of stories, story height, total floor area and building name were recorded along with photographs and sketches of the buildings for the Malaysian RVS form, The GPS coordinates were also recorded for GIS mapping. Building type of occupancy and estimated number of people within the building were also noted. A general flowchart of this work is shown in Figure 1, and the Malaysian RVS data collection forms are shown in Figure 2 and Figure 3. The links related to RVS database related to google form and ArcGIS mapping were used as a reference database for the government and the authorities.
Due to financial constraints, the assessment work was done by a small research group and to accelerate the overall process, several online tools were used instead of the traditional field survey. All the information needed for the assessment were collected using Google Maps and Google Earth. The location, floor area and plan view of buildings were denoted through the Google Maps plan view while other parameters such as number of stories structural irregularities, and elevation view were obtained through the street view function. Information regarding construction date were obtained online and in case relevant data was not available, the buildings were assumed to be constructed before 2017. Knowing that, most of the buildings with difference clusters (low-, mid-, and high-rise) were designed according to the British standard code without any attention to seismic loadings, and before the issuance of the Malaysia National Annex in 2017. Finally, for the soil type on which the buildings were constructed were decided using the Penang soil type map generated by Tan, et al. [] in a research article titled “Seismic microzonation for Penang using geospatial contour mapping” is referred. All the aforementioned data were recorded and compiled using a survey form developed with Google Forms. Where the following are the links related to RVS database related to Google forms and ArcGIS mapping as a reference database for the government and the authorities.
Google Form Link:
https://docs.google.com/forms/d/1mhJK0mqP-ZXnvDn7TrHQosy2waojVx_1uTaqtoi7qOI/edit?usp=sharing (accessed on 10th September 2021)
ArcGIS Mapping Link:
https://www.arcgis.com/home/item.html?id=eb56f43da87c4ef9a11309a8b4f2e81c (accessed on 10th September 2021)
Figure 1.
General RVS approach with database links of this work.
Figure 2.
Modified data collection form for Malaysia.
Figure 3.
RVS Malaysian form using Google forms.
3.1. Site Selection
Peninsular Malaysia is built on the stable Sundaland (Sunda Plate), which lies at the intersection of the Indian–Australian, Philippine, and Eurasian plates. It is surrounded by complex convergent borders that are tectonically active. The same area tectonic settings are applicable to Penang Island because it is geologically part of Peninsular Malaysia. The seismically active Sumatran Subduction Zone and the Sumatran Fault have historically impacted Penang []. The 2004 Great Sumatra–Andaman earthquake (Mw = 9.3), the 2005 Nias–Simeulue earthquake (Mw = 8.7), and the 2007 Sumatra earthquakes (Mw = 8.4) all occurred at the Sumatran Subduction Zone. The earthquake of 2004 unleashed a devastating tsunami along the coasts of the Indian Ocean, killing many people on the island. Large earthquakes, up to 450 km away from the Sumatran Fault, caused tremors and tsunamis on the island, according to historical records. Because most of Sumatra’s large earthquakes occur within a 600 km radius of the island, all historical data of earthquakes with a magnitude of 4.0 or more are within that radius [].
Penang-George Town, Malaysia, was chosen as the study location for this research due to various reasons. The locations are shown in Figure 4 for North and East George Town. Being the administrative capital city of Penang state, George Town remains Malaysia’s second most populous city with a population of 2,412,616 people in 2018. In addition, George Town also serves as the historical center of Penang and was awarded with the status UNESCO World Heritage City with numerous cultural and historical attractions such as the 1880s Cheong Fatt Tze Mansion, Fort Cornwallis, the Kong Hock Keong Temple built in 1800, and other such heritage buildings [].
Due to its high population density and numerous old buildings, the seismic vulnerability of George Town has become a major concern, necessitating a seismic mitigation plan, for which, a preliminary assessment through RVS approach could be the first step. Moreover, there is information already available about the Penang soil type, which is one of the important parameters needed.
Figure 4.
George Town area site selection for RVS approach.
3.2. Data Collection
Data from a total of 500 buildings were collected through the rapid visual screening approach. Each of the key parameters (building occupancy, building clusters, vertical irregularity, horizontal irregularity, soil type and construction date) that contribute to the scoring system were collected using several online tools instead of traditional field survey. All the information needed for the assessment was collected using Google Maps and Google Earth. The location, floor area, and plan view of buildings were denoted through the Google Maps plan, while other parameters such as number of storeys, structural irregularities, and elevation view were obtained through the street view function. Due to time and manpower constraint, only 500 buildings within George Town area were assessed, of which 44 were in the northern region, and the remaining 456 buildings were in the eastern region. The following are some samples of data collected via online tools related to plan view, and elevation view, and street functioning view for the selected buildings as shown in Figure 5.
Figure 5.
Sample of data collection for the selected buildings, (a) plan views, (b) elevation views, and (c) street function view.
3.2.1. Building Occupancy
The buildings were categorized into 15 groups according to their building occupancy—“Residential”, “Commercial”, “Industrial”, “Assembly”, “Government”, “Office”, “School”, “Hospital”, “Emergency Services”, “Car Park”, “Religious”, “Storage”, “Transportation”, “Unknown” and “Mixed Use”. Apart from the obvious categories, “Assembly” referred to buildings that serve the purpose as sits of gathering, such as community hall; besides “Hospital” category in this particular screening work included clinics; “Storage” on the other hand referred to warehouse-type buildings; buildings were categorized as “Unknown” when it was not possible to determine the building occupancy from the outside; “Mixed Use” referred to buildings with more than one type of building occupancy.
Figure 6 depicts the overall composition of buildings with respect to building occupancy. The statistical distribution of building stocks in Figure 7 clearly shows that a majority of the buildings assessed were commercial buildings (52.80%), while hospital and transportation buildings were the least prevalent (0.20%). In descending order, the number of buildings for each occupancy categories were: 264 commercial buildings, 61 unknown buildings, 51 office buildings, 44 residential buildings, 34 mixed use buildings, 10 government buildings, 8 religious’ buildings, 6 assembly buildings, 6 storage buildings, 5 industrial buildings, 5 school buildings, 2 emergency buildings, 2 car parks, 1 hospital building and 1 transportation building. Figure 8 shows the maps generated based on building occupancy data.
Figure 6.
The overall distribution composition of building occupancy in George Town.
Figure 7.
The % distribution composition of building occupancy.
Figure 8.
The composition of building occupancy at (a) Eastern George Town and (b) Northern George Town.
3.2.2. Building Type
According to the Malaysian RVS data, there were a total of 15 building types available for screening, however in this assessment, the buildings belonged to only 7 types—“light wood frame (W1)”, “steel moment resisting frame (S1)”, “light metal frame (S3)”, “concrete moment resisting frame (C1)”, “concrete shear wall (C2)”, “concrete frame with unreinforced masonry infill (C3)” and “unreinforced masonry bearing-wall buildings (URM)”.
Figure 9 shows the statistical distribution of each of the 7 aforementioned building types from the 500 buildings assessed. Fifty percent of the buildings had URM as their main lateral load resisting system. This was because most of the buildings within The George Town UNESCO World Heritage Site were old and were constructed at least a centuries ago. Additionally, C3 buildings were the second most common types (31.40%) and comprised normal urban buildings built in recent years. Next, there were several C2 buildings (6.80%) within the survey area that were high rise buildings such as apartments and office building. For steel structures, there were (5.60%) of S3 buildings and (0.80%) of S1 buildings. Moreover, buildings that were categorized under S3 were usually smaller in scale and consisted of smaller sized beams and columns or studs while S1 buildings had larger beams and columns to support their relatively heavier roofing. All 25 timber structures (5.00%) were under light wood frame (W1) and were located at the northern region of George Town. Lastly, there were only 2 C1 buildings because most of the concrete frame buildings consisted of masonry walls, which were categorized under C3 category while C1 refers to skeletal buildings only. Table 6 shows the composition of building types according to region of survey while Figure 10 shows the map generated based on building type data.
Figure 9.
The overall composition of building type.
Table 6.
The composition of building type according to George Town region.
Table 6.
The composition of building type according to George Town region.
| Building Type | Northern George Town | Eastern George Town | ||
|---|---|---|---|---|
| Quantity | % Distribution | Quantity | % Distribution | |
| C1 | 0 | 0.00 | 2 | 0.44 |
| C2 | 6 | 13.64 | 28 | 6.14 |
| C3 | 13 | 29.55 | 144 | 31.58 |
| S1 | 1 | 2.27 | 3 | 0.66 |
| S3 | 3 | 6.82 | 25 | 5.48 |
| W1 | 16 | 36.36 | 9 | 1.97 |
| URM | 5 | 11.36 | 245 | 53.73 |
| Total | 44 | 100.00 | 456 | 100.00 |
Figure 10.
The composition of building type at (a) Eastern George Town and (b) Northern George Town.
3.2.3. Building Cluster
Building height is one of the factors that govern the seismic performance of a building, hence the number of stories of the building was recorded. These buildings were then categorized into low-rise (1–3 stories), mid-rise (4–7 stories) and high-rise (>7 stories). Positive score modifier was awarded to mid-rise and high-rise buildings as they are considered better structural designs to resist lateral load (mostly wind load in Malaysian buildings) such as shear wall, which may improve their overall seismic performance.
The classification of buildings with respect to height is shown in Figure 11. It is obvious that a majority (83.80%) of the buildings within assessment area were low-rise buildings with 3 or less stories, follow by mid-rise buildings (12.80%) that consisted of 4 to 7 stories and finally high-rise buildings with more than 7 stores were the least—there were only 17 of them (3.40%). Figure 12 shows the map generated based on building cluster data.
Although most of the low-rise buildings had story heights between 3 m to 4 m, there were some exceptions in which, the buildings had story heights greater than 4 m, up to 7 m. Such buildings should be given extra attention as they may behave differently from normal low-rise buildings under seismic influence.
Figure 11.
The overall composition of building cluster.

Figure 12.
The composition of building cluster at (a) Eastern George Town and (b) Northern George Town.
3.2.4. Building Irregularity
Regular buildings refer to buildings with almost symmetrical configuration about their axes while irregular buildings refer to buildings having discontinuities in geometry, mass, or load resisting elements. During an earthquake event, asymmetrical building arrangements generate large torsional forces that affect their seismic performances.
As for plan irregularities, a majority of the buildings assessed (81%) were free from any form of plan irregularity, while the remaining buildings had one of the different types of plan irregularities. Among several forms of plan irregularity, L-shaped top the list with 12.20% prevalence, followed by U-shaped (2.80%), Others (1.40%), T-shaped (1.20%), E-shaped (1.00%), while H-shaped and I-shaped were the least prevalent with only one building each (0.20%). Figure 13 shows the type of plan irregularities and the number of buildings affected. Figure 14 shows the map generated based on plan irregularity data.
As for vertical irregularities, more than half of the buildings (58.60%) were free from any type of vertical irregularities, while 192 of them (38.40%) had one vertical irregularity, 14 buildings (2.80%) had two vertical irregularities and 1 building (0.20%) had a total of three vertical irregularities as shown in Figure 15. There are several types of vertical irregularities specific in the Malaysian RVS Form, such as steps in elevation view (setbacks), soft story, inclined wall, building on hills and unbraced cripple walls; only the first three are presented in the building stocks. The composition of the first three vertical irregularities (setback, soft story, and inclined wall) are shown in % per 500 buildings in Table 7 where the setbacks topped the list with (39.20%), followed by soft story (5.00%) and inclined wall (0.40%). Figure 16 shows the map generated based on vertical irregularity data.
Structural irregularities significantly impact the seismic performances of buildings. Although theoretically, different type of irregularities would impact the building performance differently, in the Malaysian RVS form, the same score penalty is given no matter the type and number of irregularities as long as the irregularity is present, thus buildings with complex plan irregularity form and buildings with more than one vertical irregularity should be given extra attention.
Figure 13.
The composition of plan irregularity within the selected buildings.
Figure 14.
The plan irregularity data at (a) Eastern George Town and (b) Northern George Town.
Figure 15.
The composition and number of vertical irregularities within the selected buildings.
Table 7.
The composition of the vertical irregularities.
Table 7.
The composition of the vertical irregularities.
| Vertical Irregularity | No. of Buildings | % Distribution of Vertical Irregularity of the 500 Buildings |
|---|---|---|
| Setbacks | 196 | 39.20 |
| Soft Story | 25 | 5.00 |
| Inclined Wall | 2 | 0.40 |
Figure 16.
The vertical irregularity data at (a) Eastern George Town and (b) Northern George Town.
3.2.5. Construction Date
There are total of two parameters related to construction date in the Malaysia RVS form, namely “Pre-code” and “Post Benchmark”. According to FEMA-154, “Pre-code” applies if the particular building is designed and constructed prior to introduction of any national seismic code while “post benchmark” applies to building designed and constructed after significant improvements in seismic code requirements were enforced. However, since the Malaysian national seismic code was initiated in late 2017, the Malaysian National Annex of Eurocode 8, was the one and only seismic code present at the time. Thus, both “pre-code” and “post-benchmark” parameters will refer to year 2017 in this project. Since both “pre-code” and “post-benchmark” refer to 2017 as the cut-off year, all of the building assessed were considered to be “pre-code” as most of them were decades-old building while the relatively younger buildings were also constructed prior to 2017.
3.2.6. Soil Type
The soil type within Malaysia can be divided into 4 types, Types B, C, D and E as reference to Eurocode 8 and Malaysian National Annex 2017. The classification of soil types is governed by parameters such as Vs,30, NSPT and Cu. Generally, increasing score penalties are given following the alphabetical order of soil type except for buildings with tilt-up construction (PC1) and reinforced masonry with flexible floor and rood diaphragm (RM1), where highest penalty is given to buildings on soil Type C. The soil type information was extracted from a Penang soil type map generated by Tan et al. According to the map, all the buildings assessed were situated on soil Type C, for which the average shear wave velocity was between 360 m/s and 761 m/s.
After collecting all the necessary information and data, the final performance score (S) of a building can be calculated by taking the sum of BSH with all relevant score modifiers. Buildings with S less than 2.0 would require further detailed structural evaluation as they might have high seismic risk.
4. Mean Damage State and RVS Score
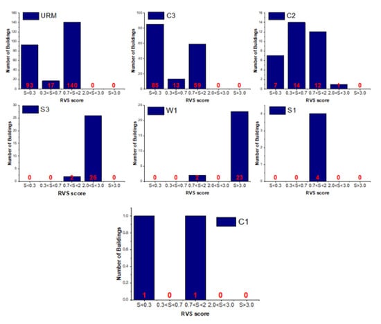
According to the data analysis procedure described in the previous sections, the RVS final performance score of the building stocks were calculated and are listed in Table 8 and illustrated in Figure 17. Later, the predicted damage state of buildings post-earthquake was determined from their performance score. The following assessment can be made using the above data.
It can be seen that a majority of the buildings suffers moderate to substantial damage where 220 buildings of 500 are classified between damage states (D2 and D3) which equals to 44% of the selected buildings. Moreover, 186 (37.20%) buildings are exposed to very heavy damage and could be collapse to be classified between damage states (D4 and D5). Besides, when earthquake strikes George Town, only a few buildings (10.00%) are able to survive with moderate or less damage, where there are 22 (5.40%) buildings suffered slight to moderate damage in order to be classified between damage state (D1 and D2). Twenty-three buildings range between D0 and D1, with negligible to slight damage, while the remaining buildings are predicted to suffer from substantial damage up to very heavy damage (D3 and D4) as shown in Figure 18 and must be considered for rehabilitation to restore strength, robustness, and physical direct losses. Therefore, remedial actions are required to ensure that all the assessed buildings can withstand seismic activity for a sufficient time to allow for safe evacuation of occupants during a seismic event.
Table 8.
RVS final performance score of buildings according to building type.
Table 8.
RVS final performance score of buildings according to building type.
| RVS Score | Damage State Classification | Number of Buildings | ||||||
| URM | C3 | C2 | S3 | W1 | S1 | C1 | ||
| S < 0.3 | D4-D5 | 93 | 85 | 7 | 0 | 0 | 0 | 1 |
| 0.3 ≤ S < 0.7 | D3-D4 | 17 | 13 | 14 | 0 | 0 | 0 | 0 |
| 0.7 ≤ S < 2.0 | D2-D3 | 140 | 59 | 12 | 2 | 2 | 4 | 1 |
| 2.0 ≤ S < 3.0 | D1-D2 | 0 | 0 | 1 | 26 | 0 | 0 | 0 |
| ≥3.0 | D0-D1 | 0 | 0 | 0 | 0 | 23 | 0 | 0 |
| Total | 250 | 157 | 34 | 28 | 25 | 4 | 2 | |
Figure 17.
RVS score distribution for the selected building typologies.
Figure 18.
Overall damage state of the selected buildings.
The damage state data were also analyzed according to building material and lateral resisting system—the selected buildings designated as C1, C2 and C3 were classified as reinforced concrete (RC), S1 and S3 were classified as steel, URM as masonry, and W1 as timber. From these findings, it can be seen that masonry buildings do not perform well when facing earthquakes—140 masonry buildings are seen to suffer from moderate to substantial damage to be ranged between D2 and D3 state due to their RVS score being between 0.7 and 2.0. Ninety-three URM buildings, amounting to 37.20% from the selected 250 masonry buildings are seen to be within the range of D4 and D5 damage state corresponding to very heavy damage to total collapse with RVS score less than 0.30, meanwhile the remaining 17 (6.80%) buildings are in the state of D3 and D4 with RVS score between 0.3 and 0.7. This result is within expectation because the mean value BSH for URM buildings (1.8) is the second lowest among the 15 categories.
When it comes to earthquake performance, the 193 reinforced concrete buildings are seen to have the worst results; nearly half of them (93 RC-buildings, or 48.19%) are predicted to suffer from very heavy to total collapse, with damage states classified between D4 and D5 and having an RVS score less than 0.30. Furthermore, there are 72 (37.31%) RC-buildings that suffer from substantial to extremely heavy damage, which are classified in the range of D2 and D3 damage, which is the second highest expected damage outcome after a seismic event. Similar to the masonry group, the overall performance of reinforced concrete buildings is poor since C3 buildings, which constitute the majority of the RC group, have the lowest mean BSH of 1.6, the lowest of all building types. Moreover, the damage status results for the steel and timber groups can only be used as a guideline because the sample size (40 units) is too small to detect any trend in their seismic performance. It was determined that the expected performance of steel structures was rather good; nonetheless, 81.25% of them suffer from minor-to-moderate damage (D1 and D2), and 18.75% of them classified in damage states D2 and D3. Timber constructions, on the other hand, are the most resistant to earthquake devastation, with more than 90% of all timber structures suffering just minor to moderate damage. Timber constructions have highest BSH rating, with W1 building receiving a rating of 4.4. Figure 19 shows the damage states classifications for the selected building topologies. Figure 20 shows the map generated based on overall damage state data.
Figure 19.
Damage states classifications of the selected buildings.
Figure 20.
The overall damage state of buildings at (a) Eastern George Town and (b) Northern George Town.
Given the cut-off score of 2.0, of the 500 buildings assessed, 450 (90%) buildings are seen to require further analysis to accurately determine their seismic vulnerability. Since the buildings of same lateral load resisting systems are very similar, typical buildings of each category can be created and further analyzed to obtain more information on the buildings’ seismic performance. Based on the outcome, it can be concluded that a majority of the buildings assessed possess substantial seismic hazard and may risk the occupant’s life during an earthquake event. Figure 21 shows the map generated based on the need for more detailed evaluation. Figure 22 and Figure 23 show samples of Malaysian RVS data collection forms associated with survey data.
Figure 21.
The need of detailed evaluation on buildings at (a) Eastern George Town and (b) Northern George Town.
Figure 22.
Sample of a Malaysian RVS data collection form for mid-rise buildings associated with survey data.
Figure 23.
Sample of a Malaysian RVS data collection form for high-rise building associated with survey data.
5. Conclusions
Penang Island has yet to experience any major earthquake incidents, but earthquake tremors originate from neighboring countries. In order to ensure that all residents in Penang are safe from potential near-field or far-field seismic influences, a preliminary seismic vulnerability screening of buildings is necessary to facilitate and provide foundation for future earthquake mitigation activities by either the state or federal government. In this study, an assessment of 500 buildings located within the Northern (44 units) and Eastern (456 units) George Town area in Penang, Malaysia, was carried out using modified FEMA-154 (2002) method that was modified to suit Malaysian conditions. The basic hazard score (also known as final performance score) of buildings were governed by building type, building height cluster, vertical irregularities, plan irregularities, construction date and soil type. From the data collected, a majority (50%) of the buildings assessed were unreinforced masonry bearing-wall buildings (URM) while concrete frame buildings with unreinforced masonry infill (C3) constituted the second largest building group (31.40%). A majority (83.80%) of the buildings were categorized as low-rise buildings with less than 4 stories, which does not affect the RVS scoring.
It was seen that a majority of the buildings would see moderate to substantial damage during a seismic event, with 220 out of 500 being classed as D2 and D3 on the damage scale. One hundred and eighty-six buildings may be severely damaged and may collapse (D4 and D5). It is seen that, were an earthquake to hit George Town, only a few buildings would survive with moderate or less damage, while all the other buildings would require some form of rehabilitation. In terms of building material or typology, reinforced concrete buildings are seen to be vulnerable structures, followed by URM, whereas the expected performance of steel structures is good and such buildings would only suffer minor-to-moderate damage.
It is also seen that 41.40% of the buildings have at least one vertical irregularity, of which, vertical setbacks were the most dominant, thus will certainly impact their seismic performance. On the other hand, only 19% of the buildings are seen to have re-entrant corners with L-shaped being the most common one.
Owing to many of the screened buildings being located within The George Town UNESCO World Heritage Site and being many decades old, and because the Malaysian seismic code was released only in 2017, all of the buildings within the study area fell under pre-code category in which seismic loadings have not been considered in their design.
Based on all the parameters, 90% of the buildings assessed in Northern and Eastern George Town area score less than 2.0, and are seismic hazards. Further detailed evaluation is required to accurately determine the seismic vulnerability of these buildings. Finally, most of the buildings (44.00%) are predicted to suffer Grade 2 to Grade 3 damage from future earthquakes. There is no doubt that it is less costly and more time efficient to carry out RVS through web-based application, instead of traditional surveying data collection through street screening. All of the aforementioned results have been included in a map created through the ArcGIS platform named “RVS Malaysian Form- George Town Area”.
Author Contributions
Conceptualization and Methodology: M.M.K. and F.M.N.; investigation, M.M.K., J.H.O., and C.G.T.; writing—original draft preparation, M.M.K. and A.M.E.-M.; writing—review and editing, F.M.N. and S.B.; visualization, F.M.N. and S.B.; supervision, F.M.N. and S.B. All authors have read and agreed to the published version of the manuscript.
Funding
This research was funded by Internal Research Grant OPEX, grant type “J5100D4103-BOLDREFRESH2025-CENTRE OF EXCELLENCE”.
Institutional Review Board Statement
Not applicable.
Informed Consent Statement
Not applicable.
Data Availability Statement
No new data were created or analyzed in this study. Data sharing is not applicable to this article.
Acknowledgments
The authors acknowledge Universiti Tenaga Nasional, Malaysia (J5100D4103-BOLDREFRESH2025-CENTER OF EXCELLENCE) for the financial supports for this study.
Conflicts of Interest
The authors declare no conflict of interest.
Abbreviations
| RVS | Rapid Visual Screening |
| BS | British Standard |
| DCM | Medium Ductility Level |
| FEMA | Federal Emergency Management Agency |
| BSH | Basic Structural Hazard |
| SMs | Score Modifiers |
| NRC | National Research Council |
| NBS | New Building Standard |
| JSI | Japanese Seismic Index |
| FLRVS | Fuzzy Logic Rapid Visual Screening |
| PI | Priority Index |
| CI | Capacity Index |
| SPI | Seismic Priority Index |
| SI | Structural Index |
| NSI | Non-Structural Index |
| IEP | Initial Evaluation Procedure |
| DSA | Detailed Seismic Assessment |
| SVA | Simplified Vulnerability Assessment |
| DVA | Detailed Vulnerability Assessment |
| IITK | Indian Institute of Technology Kanpur |
| VULMA | Machin Learning Vulnerability Analysis |
| SVI | Seismic Vulnerability Index |
| FAS | Fourier Amplitude Spectra |
| IDA | Incremental Dynamic Analysis |
| GNDT | Group of National Defence against Earthquake |
| EMS | European Macro-Seismic |
| URM | Unreinforced Masonry |
| FEM | Finite Element Modelling |
| THA | Time History Analysis |
| GIS | Geographic Information System |
References
- Parisi, F.; Augenti, N. Earthquake damages to cultural heritage constructions and simplified assessment of artworks. Eng. Fail. Anal. 2013, 34, 735–760. [Google Scholar] [CrossRef]
- Rapone, D.; Brando, G.; Spacone, E.; De Matteis, G. Seismic vulnerability assessment of historic centers: Description of a predictive method and application to the case study of Scanno (Abruzzi, Italy). Int. J. Arch. Herit. 2018, 12, 1171–1195. [Google Scholar] [CrossRef]
- Petridis, C.; Pitilakis, D. Fragility curve modifiers for reinforced concrete dual buildings, including nonlinear site effects and soil–structure interaction. Earthq. Spectra 2020, 36, 1930–1951. [Google Scholar] [CrossRef]
- Huang, Z.-K.; Pitilakis, K.; Tsinidis, G.; Argyroudis, S.; Zhang, D.-M. Seismic vulnerability of circular tunnels in soft soil deposits: The case of Shanghai metropolitan system. Tunn. Undergr. Space Technol. 2020, 98, 103341. [Google Scholar] [CrossRef]
- Choudhury, T.; Kaushik, H.B. Treatment of uncertainties in seismic fragility assessment of RC frames with masonry infill walls. Soil Dyn. Earthq. Eng. 2019, 126, 105771. [Google Scholar] [CrossRef]
- Baker, J.W. Efficient analytical fragility function fitting using dynamic structural analysis. Earthq. Spectra 2015, 31, 579–599. [Google Scholar] [CrossRef]
- Yu, K.; Chouinard, L.E.; Rosset, P. Seismic vulnerability assessment for Montreal. Georisk Assess. Manag. Risk Eng. Syst. Geohazards 2016, 10, 164–178. [Google Scholar]
- Shabani, A.; Kioumarsi, M.; Zucconi, M. State of the art of simplified analytical methods for seismic vulnerability assessment of unreinforced masonry buildings. Eng. Struct. 2021, 239, 112280. [Google Scholar] [CrossRef]
- Thuyet, V.N.; Deb, S.; Dutta, A. Mitigation of seismic vulnerability of prototype low-rise masonry building using U-FREIs. J. Perform. Constr. Facil. 2018, 32, 04017136. [Google Scholar] [CrossRef]
- Chácara, C.; Cannizzaro, F.; Pantò, B.; Caliò, I.; Lourenço, P.B. Seismic vulnerability of URM structures based on a Discrete Macro-Element Modeling (DMEM) approach. Eng. Struct. 2019, 201, 109715. [Google Scholar] [CrossRef] [Green Version]
- Bhosale, A.; Davis, R.; Sarkar, P. New seismic vulnerability index for vertically irregular buildings. ASCE-ASME J. Risk Uncertain. Eng. Syst. Part A Civ. Eng. 2018, 4, 04018022. [Google Scholar] [CrossRef]
- Silva, V.; Akkar, S.; Baker, J.; Bazzurro, P.; Castro, J.M.; Crowley, H.; Dolsek, M.; Galasso, C.; Lagomarsino, S.; Monteiro, R.; et al. Current challenges and future trends in analytical fragility and vulnerability modeling. Earthq. Spectra 2019, 35, 1927–1952. [Google Scholar] [CrossRef]
- Harirchian, E.; Kumari, V.; Jadhav, K.; Rasulzade, S.; Lahmer, T.; Raj Das, R. A Synthesized Study Based on Machine Learning Approaches for Rapid Classifying Earthquake Damage Grades to RC Buildings. Appl. Sci. 2021, 11, 7540. [Google Scholar] [CrossRef]
- Işık, E. The evaluation of existing buildings in Bitlis province using a visual screening method. Süleyman Demirel Univ. J. Nat. Appl. Sci. 2013, 17, 173–178. [Google Scholar]
- Harirchian, E.; Jadhav, K.; Kumari, V.; Lahmer, T. ML-EHSAPP: A prototype for machine learning-based earthquake hazard safety assessment of structures by using a smartphone app. Eur. J. Environ. Civ. Eng. 2021, 1–21. [Google Scholar] [CrossRef]
- Alam, N.; Alam, M.S.; Tesfamariam, S. Buildings’ seismic vulnerability assessment methods: A comparative study. Nat. Hazards 2012, 62, 405–424. [Google Scholar] [CrossRef]
- Pitilakis, K.; Crowley, H.; Kaynia, A.M. SYNER-G: Typology definition and fragility functions for physical elements at seismic risk. Geotech. Geol. Earthq. Eng. 2014, 27, 1–28. [Google Scholar]
- Bracchi, S.; Rota, M.; Magenes, G.; Penna, A. Seismic assessment of masonry buildings accounting for limited knowledge on materials by Bayesian updating. Bull. Earthq. Eng. 2016, 14, 2273–2297. [Google Scholar] [CrossRef]
- Kim, J.J. Development of empirical fragility curves in earthquake engineering considering nonspecific damage information. Adv. Civ. Eng. 2018, 2018, 6209137. [Google Scholar] [CrossRef]
- Ruggieri, S.; Perrone, D.; Leone, M.; Uva, G.; Aiello, M.A. A prioritization RVS methodology for the seismic risk assessment of RC school buildings. Int. J. Disaster Risk Reduct. 2020, 51, 101807. [Google Scholar] [CrossRef]
- El-Maissi, A.M.; Argyroudis, S.A.; Nazri, F.M. Seismic vulnerability assessment methodologies for roadway assets and networks: A state-of-the-art review. Sustainability 2021, 13, 61. [Google Scholar] [CrossRef]
- Cocco, G.; D’Aloisio, A.; Spacone, E.; Brando, G. Seismic Vulnerability of Buildings in Historic Centers: From the “Urban” to the “Aggregate” Scale. Front. Built Environ. 2019, 5, 78. [Google Scholar] [CrossRef] [Green Version]
- Harirchian, E.; Hosseini, S.E.A.; Jadhav, K.; Kumari, V.; Rasulzade, S.; Işık, E.; Wasif, M.; Lahmer, T. A review on application of soft computing techniques for the rapid visual safety evaluation and damage classification of existing buildings. J. Build. Eng. 2021, 43, 102536. [Google Scholar] [CrossRef]
- Nanda, R.; Majhi, D. Review on rapid seismic vulnerability assessment for bulk of buildings. J. Inst. Eng. Ser. A 2013, 94, 187–197. [Google Scholar] [CrossRef]
- Harirchian, E.; Lahmer, T. Developing a hierarchical type-2 fuzzy logic model to improve rapid evaluation of earthquake hazard safety of existing buildings. Structures 2020, 28, 1384–1399. [Google Scholar] [CrossRef]
- Allali, S.A.; Abed, M.; Mebarki, A. Post-earthquake assessment of buildings damage using fuzzy logic. Eng. Struct. 2018, 166, 117–127. [Google Scholar] [CrossRef]
- Şen, Z. Rapid visual earthquake hazard evaluation of existing buildings by fuzzy logic modeling. Expert Syst. Appl. 2010, 37, 5653–5660. [Google Scholar] [CrossRef]
- Gonzalez, D.; Rueda-Plata, D.; Acevedo, A.B.; Duque, J.C.; Ramos-Pollan, R.; Betancourt, A.; Garcia, S. Automatic detection of building typology using deep learning methods on street level images. Build. Environ. 2020, 177, 106805. [Google Scholar] [CrossRef]
- Salehi, H.; Burgueño, R. Emerging artificial intelligence methods in structural engineering. Eng. Struct. 2018, 171, 170–189. [Google Scholar] [CrossRef]
- Zhang, Y.; Burton, H.V.; Sun, H.; Shokrabadi, M. A machine learning framework for assessing post-earthquake structural safety. Struct. Saf. 2018, 72, 1–16. [Google Scholar] [CrossRef]
- Morfidis, K.; Kostinakis, K. Approaches to the rapid seismic damage prediction of r/c buildings using artificial neural networks. Eng. Struct. 2018, 165, 120–141. [Google Scholar] [CrossRef]
- Falcone, R.; Lima, C.; Martinelli, E. Soft computing techniques in structural and earthquake engineering: A literature review. Eng. Struct. 2020, 207, 110269. [Google Scholar] [CrossRef]
- Cardenas, O.; Farfan, A.; Huaco, G. Seismic Risk Assessment of Peruvian Public School Buildings Using FEMA P-154 Rapid Visual Screening. In Proceedings of the 2020 Congreso Internacional de Innovación y Tendencias en Ingeniería (CONIITI), Bogota, Colombia, 30 September–2 October 2020; pp. 1–5. [Google Scholar]
- Shah, M.F.; Ahmed, A.; Kegyes-B, O.K. A Case Study Using Rapid Visual Screening Method to Determine the Vulnerability of Buildings in two Districts of Jeddah, Saudi Arabia. In Proceedings of the 15th International Symposium on New Technologies for Urban Safety of Mega Cities in Asia, Tacloban, Philippines, 7–9 November 2016. [Google Scholar]
- Harirchian, E.; Lahmer, T.; Buddhiraju, S.; Mohammad, K.; Mosavi, A. Earthquake safety assessment of buildings through rapid visual screening. Buildings 2020, 10, 51. [Google Scholar] [CrossRef] [Green Version]
- Kaplan, O.; Guney, Y.; Topcu, A.; Ozcelikors, Y. A rapid seismic safety assessment method for mid-rise reinforced concrete buildings. Bull. Earthq. Eng. 2018, 16, 889–915. [Google Scholar] [CrossRef]
- Coskun, O.; Aldemir, A.; Sahmaran, M. Rapid screening method for the determination of seismic vulnerability assessment of RC building stocks. Bull. Earthq. Eng. 2020, 18, 1401–1416. [Google Scholar] [CrossRef]
- Burton, H.V.; Deierlein, G.; Lallemant, D.; Lin, T. Framework for incorporating probabilistic building performance in the assessment of community seismic resilience. J. Struct. Eng. 2016, 142, C4015007. [Google Scholar] [CrossRef] [Green Version]
- Sediek, O.A.; El-Tawil, S.; McCormick, J. Dynamic Modeling of In-Event Interdependencies in Community Resilience. Nat. Hazards Rev. 2020, 21, 04020041. [Google Scholar] [CrossRef]
- Sauti, N.S.; Daud, M.E.; Kaamin, M. Proposed Method and Framework for Evaluating and Calculating a Seismic Vulnerability Index of Malaysia. IOP Conf. Series: Earth Environ. Sci. 2020, 616, 012034. [Google Scholar] [CrossRef]
- Vona, M.; Mastroberti, M.; Mitidieri, L.; Tataranna, S. New resilience model of communities based on numerical evaluation and observed post seismic reconstruction process. Int. J. Disaster Risk Reduct. 2018, 28, 602–609. [Google Scholar] [CrossRef]
- FEMA P. 58-1. Seismic Performance Assessment of Buildings, Applied Technology Council and Federal Emergency Management Agency; Rep. No. P-58-1; FEMA: Washington, DC, USA, 2012.
- Fema-Nibs, E.L.E.M. HAZUS Technical Manual; Federal Emergency Management Agency and National Institute of Building Sciences: Washington, DC, USA, 2003.
- Ningthoujam, M.; Nanda, R.P. Rapid visual screening procedure of existing building based on statistical analysis. Int. J. Disaster Risk Reduct. 2018, 28, 720–730. [Google Scholar] [CrossRef]
- Federal Emergency Management Agency. NEHRP Handbook for the Seismic Evaluation of Existing Buildings (FEMA 178); FEMA: Washington, DC, USA, 1992.
- Federal Emergency Management Agency. Handbook for the Seismic Evaluation of Buildings—A Prestandard (FEMA 310); FEMA: Washington, DC, USA, 1998.
- Federal Emergency Management Agency. Rapid Visual Screening of Buildings for Potential Seismic Hazards: A Handbook (FEMA 154), 2nd ed.; FEMA: Washington, DC, USA, 2002.
- NRC. Manual for Screening of Buildings for Seismic Investigation; NRC Publications Archive: Ottawa, ON, Canada, 1993. [Google Scholar]
- New Zealand Society for Earthquake Engineering (NZSEE). Assessment and Improvement of the Structural Performance of Buildings in Earthquakes; Recommendations of a NZSEE Study Group on Earthquake Risk Buildings, June 2006; NZSEE: Wellington, New Zealand, 2006. [Google Scholar]
- Japan Building Disaster Prevention Association (JPDPA). Seismic Evaluation and Retrofit; JPDPA: Tokyo, Japan, 2001. [Google Scholar]
- Demartinos, K.; Dritsos, S. First-level pre-earthquake assessment of buildings using fuzzy logic. Earthq. Spectra 2006, 22, 865–885. [Google Scholar] [CrossRef]
- Hassan, A.F.; Sozen, M.A. Seismic vulnerability assessment of low-rise buildings in regions with infrequent earthquakes. ACI Struct. J. 1997, 94, 31–39. [Google Scholar]
- Yakut, A. Preliminary seismic performance assessment procedure for existing RC buildings. Eng. Struct. 2004, 26, 1447–1461. [Google Scholar] [CrossRef]
- Sinha, R.; Goyal, A. A National Policy for Seismic Vulnerability Assessment of Buildings and Procedure for Rapid Visual Screening of Buildings for Potential Seismic Vulnerability; Report to Disaster Management Division; Ministry of Home Affairs; Government of India: Hindistan, India, 2004.
- Rai, D.C. Seismic Evaluation and Strengthening of Existing Buildings; IIT Kanpur and Gujarat State Disaster Mitigation Authority: Gandhinagar, India, 2005; pp. 1–120. [Google Scholar]
- Perrone, D.; Aiello, M.A.; Pecce, M.; Rossi, F. Rapid visual screening for seismic evaluation of RC hospital buildings. Structures 2015, 3, 57–70. [Google Scholar] [CrossRef]
- Ruggieri, S.; Cardellicchio, A.; Leggieri, V.; Uva, G. Machine-learning based vulnerability analysis of existing buildings. Autom. Constr. 2021, 132, 103936. [Google Scholar] [CrossRef]
- Kassem, M.M.; Nazri, F.M.; Farsangi, E.N. The efficiency of an improved seismic vulnerability index under strong ground motions. Structures 2020, 23, 366–382. [Google Scholar] [CrossRef]
- Nizamani, Z.; Seng, S.K.; Nakayama, A.; Khan, M.S.B.O.; Bilal, H. Seismic Effects on a Horizontally Unsymmetrical Building using Response Spectrum Analysis. MATEC Web Conf. 2018, 203, 06014. [Google Scholar] [CrossRef]
- Ahmadi, R.; Mulyani, R.; Nazri, F.; Pilakoutas, K.; Hajirasouliha, I. Seismic vulnerability assessment of an industrial building in peninsular Malaysia. In Proceedings of the 5th Brunei International Conference on Engineering and Technology (BICET 2014), Bandar Seri Begawan, Brunei, 1–3 November 2014. [Google Scholar]
- Kamarudin, A.F.; Azmi, I.; Ibrahim, Z.; Madun, A.; Daud, M.E. Vulnerability assessment of existing low-rise reinforced concrete school buildings in low seismic region using ambient noise method. Adv. Mater. Res. 2014, 931–932, 483–489. [Google Scholar] [CrossRef]
- Aljwim, K.; Alih, S.C.; Vafaei, M.; Aisyah, S. Seismic Fragility Curves for Tall Concrete Wall Building in Malaysia Subjected to Near-Field Earthquakes. Int. J. Eng. Res. Technol. 2020, 13. [Google Scholar] [CrossRef]
- Aisyah, S.; Vafaei, M.; Alih, S.C.; Aljwim, K. Seismic Fragility of Tall Concrete Wall Structures in Malaysia under Far-Field Earthquakes. Open Civ. Eng. J. 2019, 13, 140–146. [Google Scholar] [CrossRef]
- Alih, S.C.; Vafaei, M. Performance of reinforced concrete buildings and wooden structures during the 2015 Mw 6.0 Sabah earthquake in Malaysia. Eng. Fail. Anal. 2019, 102, 351–368. [Google Scholar] [CrossRef]
- Ghazali, A.; Alaydrus, H.A.-H.; Alih, S.C.; Vafaei, M. Seismic fragility of concrete box girder bridges in Malaysia. IOP Conf. Series Earth Environ. Sci. 2019, 513, 012019. [Google Scholar] [CrossRef]
- Rosman, N.A.; Alih, S.C.; Anuar, N.A.; Fazilan, N.N.; Halim, N.H.F.A.; Shad, H. Effect of infill panels on the seismic vulnerability of non-ductile reinforced concrete frames. Int. J. Eng. Res. Technol. 2019, 12, 1278–1287. [Google Scholar]
- Fazilan, N.; Rosman, N.; Anuar, N.; Alih, S. Seismic fragility of low ductile reinforced concrete frame in malaysia. Int. J. Civ. Eng. Technol. 2018, 9, 1559–1571. [Google Scholar]
- Tan, K.T.; Suhatril, M.; Razak, H.A.; Lu, D. Seismic vulnerability of low-and mid-rise reinforced concrete buildings in malaysia designed by considering only gravity loads. Arab. J. Sci. Eng. 2018, 43, 1641–1654. [Google Scholar] [CrossRef]
- Ramli, M.Z.; Adnan, A. Malaysian bridges and the influence of Sumatran earthquake in bridge design. Malays. Constr. Res. J. 2016, 18, 123–134. [Google Scholar]
- Ismail, R.; Adnan, A.; Ibrahim, A. Vulnerability of Public Buildings in Sabah Subjected to Earthquake by Finite Element Modelling. Procedia Eng. 2011, 20, 54–60. [Google Scholar] [CrossRef] [Green Version]
- Kassem, M.M.; Nazri, F.M.; Farsangi, E.N. Development of seismic vulnerability index methodology for reinforced concrete buildings based on nonlinear parametric analyses. MethodsX 2019, 6, 199–211. [Google Scholar] [CrossRef]
- Yusoff, M.; Najib, F.M.; Ismail, R. Hybrid backpropagation neural network-particle swarm optimization for seismic damage building prediction. Indones. J. Electr. Eng. Comput. Sci. 2019, 14, 360–367. [Google Scholar] [CrossRef]
- Jainih, V.; Harith, N. Seismic vulnerability assessment in Kota Kinabalu, Sabah. IOP Conf. Ser. Earth Environ. Sci. 2020, 476, 012053. [Google Scholar] [CrossRef]
- Roslee, F.; Termizi, A.; Indan, E.; Tongkul, F. Earthquake vulnerability assessment (EVAs): A study of physical vulnerability assessment in Ranau area, Sabah, Malaysia. ASM Sci. J. 2018, 11, 66–74. [Google Scholar]
- Ghafar, M.; Ramly, N.; Alel, M.; Adnan, A.; Mohamad, E.T.; Yunus, M. A simplified method for preliminary seismic vulnerability assessment of existing building in Kundasang, Sabah, Malaysia. J. Teknol. 2015, 72. [Google Scholar] [CrossRef] [Green Version]
- Tan, C.G.; Majid, T.A.; Ariffin, K.S.; Bunnori, N.M. Seismic microzonation for Penang using geospatial contour mapping. Nat. Hazards 2014, 73, 657–670. [Google Scholar] [CrossRef]
- Gee, T.; Partners, L.; Ashford, K. Geological and geotechnical considerations for seismic hazards for Penang Island, Malaysia. In Proceedings of the XVII ECSMGE-2019, Reykjavik, Iceland, 1–6 September 2019; pp. 1–7. [Google Scholar]
- Azmi, M.; Kiyono, J.; Furukawa, A. Development of Probabilistic Seismic Hazard Map of Penang Island, Malaysia. J. Disaster Mitigat. Hist. Cities 2013, 7, 2–9. [Google Scholar]
- Sousa, G. Biggest Cities in Malaysia—WorldAtlas. 2018. Available online: https://www.worldatlas.com/articles/biggest-cities-in-malaysia.html (accessed on 1 October 2021).
Publisher’s Note: MDPI stays neutral with regard to jurisdictional claims in published maps and institutional affiliations. |
© 2021 by the authors. Licensee MDPI, Basel, Switzerland. This article is an open access article distributed under the terms and conditions of the Creative Commons Attribution (CC BY) license (https://creativecommons.org/licenses/by/4.0/).