Assessment of Green Building Materials’ Attributes to Achieve Sustainable Building Façades Using AHP
Abstract
1. Introduction
2. Research Scope
3. Literature Review
3.1. Criteria for Selecting Green Building Materials
3.2. Selecting Façade Building Materials Based on the Green Performance
3.3. Selecting Façade Building Materials Based on the Green Origin
3.4. Selecting Façade Building Materials Based on Performance and Origin
3.5. Comparison of Green Building Rating Systems
4. Methodology
5. Results and Discussion
5.1. Green Building Materials’ Evaluation Criteria
| Main Criteria | Green Materials’ Attributes | Sub-Criteria | Description | Unit | 
|---|---|---|---|---|
| 1- Resource efficiency | Green origin (O) | - Regional materials (O1a) - Recycled content (O1b) - Reusable or recyclable (O1c) - Renewable sources (O1c) - Durable (O1e) | The goal is to reduce material use, waste, and energy consumption by selecting regional, recycled, reusable, renewable, and durable materials, promoting resource-efficient building materials. | - | 
| Green performance (P) | - Life expectancy (P1a) | The selected building materials are expected to have a long-life expectancy as it affects the façade systems’ serviceability by reducing exposed materials’ short time until degradation and minimizing maintenance costs. | years | |
| - Weather, moisture, fire-resistant (P1b) | Selecting green materials capable of complying with climatic conditions to be weather, moisture, and fire-resistant is favorable. | - | ||
| - Compatibility with climate zone (P1c) | The goal is to select green materials compatible with climatic regions (as one of the buildings’ passive design measures), affecting thermal characteristics and material thickness. | - | ||
| 2- Environmental impacts | Green origin (O) | - Involve minimum levels of negative impacts (O2a) | The aim is to have lower environmental impacts of the built environment that can be performed using life cycle assessment LCA from cradle to cradle. | Physical units for each impact category | 
| - Low Embodied carbon (O2b) | Selecting material with lower embodied carbon is desirable, affecting global warming potential GWP [13]. | kgCO2eq/m2 | ||
| - Low-Emitting Materials (low VOC emissions) (O2c) | Selecting materials with none or lower volatile organic compound (VOC) emissions is desirable for an environmentally friendly building. | - | ||
| - Low or non-toxic content (O2d) | Selecting low or non-toxic content is recommended to ensure human health. | - | ||
| Green performance (P) | - Promoting the performance of Indoor Air Quality (P2a) | It reflects the performance of green building materials after installation during the operation stage to identify indoor air quality performance. | - | |
| - Efficient waste disposal (P2b) | The target is to reduce construction and demolition waste to minimize the environmental impacts of construction, demolition, and diverted construction waste to material reuse or recycle. | Weight or volume | ||
| - Healthfully maintained (P2c) | The goal is to select materials that do not release any toxic contents in the maintenance process. | - | ||
| 3- Social impacts | Green origin (O) | - Aesthetics (O3a) | The aesthetic criterion is relative from one person to another, depending on the designer’s preference based on the quality of the material finish [12]. | Points | 
| - Certified materials (O3b) | The material with a verified document (Environmental Product Declarations) makes it easier to select the material with less environmental impact within sustainable buildings [47]. Thus, it increases the awareness of using documented materials [48]. | - | ||
| Green performance (P) | - Thermal performance (thermal resistance) (P3a) | Identifying the good thermal resistance is based on the type of materials, the thickness that affects heating and cooling load requirements. Thus, thermal resistance contributes to occupants’ thermal comfort. | m2.k/w | |
| - Effect on occupant thermal comfort (P3b) | Selecting proper building materials affects having acceptable thermal comfort levels, which is an essential building characteristic. Additionally, it affects energy consumption levels [49]. The satisfaction of buildings’ occupants regarding health and comfort has a social sustainability impact [50,51]. | Index | ||
| - Effect on Acoustics (P3c) | Reducing indoor noise can be effective using proper external building materials [52], affecting occupants’ satisfaction levels. | The average noise level (Leq) | ||
| - Ease of implementation (P3d) | It reflects the selected green materials to be easy to handle and have the required expertise and skill for labor for installation. | - | ||
| 4- Economic impacts | Green origin (O) | - Affordability from cradle to cradle-Life Cycle Cost (O4a) | The goal is to optimize the cost-effectiveness of alternative building materials from cradle to cradle, including reasonable capital, transport, operation, labor, installation, maintenance, and replacement cost [53]. | Monetary units based on the currency in a country | 
| - Low Embodied Energy cost (O4b) | It reflects the cost of energy utilized during all building materials’ processes. | Monetary units(i.e., $/m2) | ||
| Green performance (P) | - Optimize the use of materials during the design (P4a) | The goal is to optimize materials in building design utilizing lightweight materials and materials with standard dimensions and designing for material reuse. Achieving material usage reduction while designing optimization procedures has an economic impact (economic profit) [46]. | Monetary units | |
| 5- Energy efficiency | Green origin (O) | - Energy efficiency during their life cycle (Embodied Energy) (O5a) | Low energy is demanded during the production processes of building material on-site construction, demolition, and disposal [14]. | MJ/m2 | 
| Green performance (P) | - Effect on energy consumption (P5a) | The impact of external envelope materials on the operating energy through heating and cooling affects the design of energy-efficient building facades. | kWh/m2 | 
5.2. Attributing Scores to Green Materials’ Assessment Criteria
- (1)
- ‘Weather, moisture, fire-resistant’ (P1b) is estimated to equal the credit point of ‘Compatibility with climate zone’ (P1c). This estimation is based on the green rating systems methodology, which award points to projects integrating passive design measures. One of these measures is that the building has to be adapted to climate change. Thus, sub-criteria credits of P1b and P1c are equals.
- (2)
- ‘Healthfully maintained’ (P2c) is estimated to equal the credit point of ‘Low or non-toxic content’ (O2d) as it has a relevant aim.
- (3)
- ‘Ease of implementation’ (P3d) is estimated to equal the credit point of ‘Optimize the use of materials during the design’ (P4a) as it is the most relative target based on optimized material design and selection to be easy to handle.
- (4)
- ‘Low Embodied Energy cost’ (O4b) is estimated to equal the credit point of ‘Affordability from cradle to cradle’ (O4a) based on having a related intent.
- (5)
- ‘Energy efficiency during their life cycle (Embodied Energy)’ (O5a) is estimated to equal the credit point of ‘Low Embodied carbon (O2b)’. The basis of this assumption is the methodology that there is a relationship between embodied energy and carbon footprint [54].
5.3. Analysis Results for Green Materials’ Credits of Green Building Rating Systems
5.4. Formulation of the Proposed Criteria Using AHP
- Developing a hierarchical model: The hierarchy consists of clusters arranged in levels to analyze the decision. The first level is the primary goal connected to five main criteria. Each criterion’s cluster has a group of sub-criteria which are connected to two alternatives (attributes): green origin (O) and green performance (P) (Figure 4).
- Deriving relative weights for the criteria: In this step, a pairwise comparison matrix is made for each criterion based on the primary goal.
- 3.
- Deriving local priorities for the alternatives: It is calculated based on the importance comparison between each alternative (green origin and green performance) regarding each sub-criteria (26 sub-criteria). Appendix C represents an example of the local priorities based on the sub-criteria O3a. As shown in this figure and based on the points in Table 5, O3a has the lowest point between sub-criteria, and the total points for green performance (for the main criteria social impacts) have the highest value. Therefore, green performance is ranked 9 as extremely more important than green origin regarding the sub-criteria O3a.
- 4.
- Deriving overall priorities (model synthesis): The weights are combined to synthesize the ratings and calculate the overall economic impact priorities. Therefore, the final ranking criteria of green building materials indicate three different levels (Table 7) as follows:
- Ranking of main criteria (represents the priority of each main criteria):
- b.
- Ranking of local criteria (represents the priority of sub-criteria based on main criteria):
- c.
- Ranking of global criteria (represents the final priority of each sub-criteria)
- 5.
- Perform sensitivity analysis: (will be discussed later in Section 5.5).
- 6.
- Making the final decision: The results representing the highest and the lowest priority evaluation criteria of green buildings, decision-makers could identify the proper green material for each project.
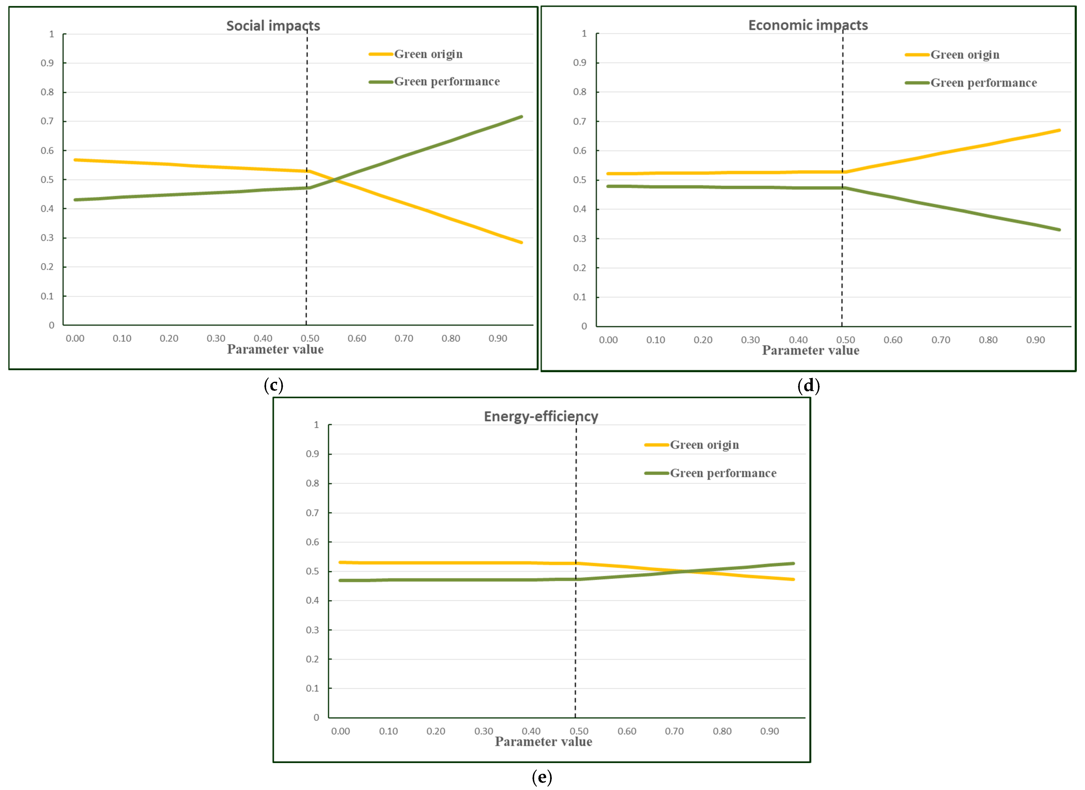
5.5. Sensitivity Analysis
5.6. Comparing the Previous Studies’ Results
6. Conclusions
Author Contributions
Funding
Conflicts of Interest
Appendix A

Appendix B

Appendix C

References
- Sandanayake, M.; Gunasekara, C.; Law, D.; Zhang, G.; Setunge, S.; Wanijuru, D. Sustainable Criterion Selection Framework for Green Building Materials—An Optimisation Based Study of Fly-Ash Geopolymer Concrete. Sustain. Mater. Technol. 2020, 25, e00178. [Google Scholar] [CrossRef]
- Khoshnava, S.M.; Rostami, R.; Valipour, A.; Ismail, M.; Rahmat, A.R. Rank of Green Building Material Criteria Based on the Three Pillars of Sustainability Using the Hybrid Multi Criteria Decision Making Method. J. Clean. Prod. 2018, 173, 82–99. [Google Scholar] [CrossRef]
- Ragheb, A.; El-Shimy, H.; Ragheb, G. Green Architecture: A Concept of Sustainability. Procedia-Soc. Behav. Sci. 2016, 216, 778–787. [Google Scholar] [CrossRef]
- Masood, O.A.I.; Al-Hady, M.I.A.; Ali, A.K.M. Applying the Principles of Green Architecture for Saving Energy in Buildings. Energy Procedia 2017, 115, 369–382. [Google Scholar] [CrossRef]
- Mattoni, B.; Guattari, C.; Evangelisti, L.; Bisegna, F.; Gori, P.; Asdrubali, F. Critical Review and Methodological Approach to Evaluate the Differences among International Green Building Rating Tools. Renew. Sustain. Energy Rev. 2018, 82, 950–960. [Google Scholar] [CrossRef]
- Moghtadernejad, S.; Chouinard, L.E.; Mirza, M.S. Design Strategies Using Multi-Criteria Decision-Making Tools to Enhance the Performance of Building Façades. J. Build. Eng. 2020, 30, 101274. [Google Scholar] [CrossRef]
- Verbeke, S.; Audenaert, A. Thermal Inertia in Buildings: A Review of Impacts across Climate and Building Use. Renew. Sustain. Energy Rev. 2018, 82, 2300–2318. [Google Scholar] [CrossRef]
- Aksamija, A. Design Methods for Sustainable, High-Performance Building Facades. Adv. Build. Energy Res. 2016, 10, 240–262. [Google Scholar] [CrossRef]
- Prateep Na Talang, R.; Sirivithayapakorn, S. Comparing Environmental Burdens, Economic Costs and Thermal Resistance of Different Materials for Exterior Building Walls. J. Clean. Prod. 2018, 197, 1508–1520. [Google Scholar] [CrossRef]
- Franzoni, E. Materials Selection for Green Buildings: Which Tools for Engineers and Architects? Procedia Eng. 2011, 21, 883–890. [Google Scholar] [CrossRef]
- Kubba, S. Green Building Materials and Products. In Handbook of Green Building Design and Construction; Elsevier: Amsterdam, The Netherlands, 2012; Chapter 6; pp. 227–311. [Google Scholar] [CrossRef]
- Moussavi Nadoushani, Z.S.; Akbarnezhad, A.; Ferre Jornet, J.; Xiao, J. Multi-Criteria Selection of Façade Systems Based on Sustainability Criteria. Build. Environ. 2017, 121, 67–78. [Google Scholar] [CrossRef]
- Vilcekova, S.; Sedlakova, A.; Burdova, E.K.; Vojtus, J. Comparison of Environmental and Energy Performance of Exterior Walls. Energy Procedia 2015, 78, 231–236. [Google Scholar] [CrossRef][Green Version]
- Balali, A.; Valipour, A. Identification and Selection of Building Façade’s Smart Materials According to Sustainable Development Goals. Sustain. Mater. Technol. 2020, 26, e00213. [Google Scholar] [CrossRef]
- Saaty, T.L. What Is the Analytic Hierarchy Process? Mathematical Models for Decision Support; Springer: Berlin, Germany, 1988; pp. 109–121. [Google Scholar] [CrossRef]
- Moghtadernejad, S.; Chouinard, L.E.; Mirza, M.S. Multi-Criteria Decision-Making Methods for Preliminary Design of Sustainable Facades. J. Build. Eng. 2018, 19, 181–190. [Google Scholar] [CrossRef]
- Aziz, N.F.; Sorooshian, S.; Mahmud, F. MCDM-AHP Method in Decision Makings. ARPN J. Eng. Appl. Sci. 2016, 11, 7217–7220. [Google Scholar] [CrossRef]
- Saaty, T.L. Fundamentals of the Analytic Hierarchy Process. In The Analytic Hierarchy Process in Natural Resource and Environmental Decision Making; Springer: Berlin, Germany, 2001; pp. 15–35. [Google Scholar]
- Ivanco, M.; Hou, G.; Michaeli, J. Sensitivity Analysis Method to Address User Disparities in the Analytic Hierarchy Process. Expert Syst. Appl. 2017, 90, 111–126. [Google Scholar] [CrossRef]
- Gomaa Mayhoub, M.M.; Ibrahim, M.G.; Tarek El Sayad, Z.M.; Abdel Monteleb Ali, A.M. Development of Green Building Materials’ Evaluation Criteria to Achieve Optimum Building Facade Energy Performance. In Proceedings of the 2019 International Conference on Sustainable Energy Engineering and Application: Innovative Technology Toward Energy Resilience, ICSEEA, Serpong, Indonesia, 23–24 October 2019; pp. 48–55. [Google Scholar]
- Chandel, S.S.; Agarwal, T. Review of Current State of Research on Energy Storage, Toxicity, Health Hazards and Commercialization of Phase Changing Materials. Renew. Sustain. Energy Rev. 2017, 67, 581–596. [Google Scholar] [CrossRef]
- Yang, J.; Ogunkah, I.C.B. A Multi-Criteria Decision Support System for the Selection of Low-Cost Green Building Materials and Components. J. Build. Constr. Plan. Res. 2013, 1, 89–130. [Google Scholar] [CrossRef]
- Akadiri, P.O.; Olomolaiye, P.O.; Chinyio, E.A. Multi-Criteria Evaluation Model for the Selection of Sustainable Materials for Building Projects. Autom. Constr. 2013, 30, 113–125. [Google Scholar] [CrossRef]
- Yüksek, Í. The Evaluation of Building Materials in Terms of Energy Efficiency. Period. Polytech. Civ. Eng. 2015, 59, 45–58. [Google Scholar] [CrossRef]
- Azouz, M. The Future of Green Building Materials in Egypt: A Framework for Action. Resourceedings 2018, 1, 1–13. [Google Scholar] [CrossRef]
- Streimikiene, D.; Skulskis, V.; Balezentis, T.; Agnusdei, G.P. Uncertain Multi-Criteria Sustainability Assessment of Green Building Insulation Materials. Energy Build. 2020, 219, 110021. [Google Scholar] [CrossRef]
- Lin, Y.; Zhou, S.; Yang, W.; Li, C.Q. Design Optimization Considering Variable Thermal Mass, Insulation, Absorptance of Solar Radiation, and Glazing Ratio Using a Prediction Model and Genetic Algorithm. Sustainability 2018, 10, 336. [Google Scholar] [CrossRef]
- Fonseca i Casas, A.; Ortiz, J.; Garrido, N.; Fonseca, P.; Salom, J. Simulation Model to Find the Best Comfort, Energy and Cost Scenarios for Building Refurbishment. J. Build. Perform. Simul. 2018, 11, 205–222. [Google Scholar] [CrossRef]
- Huang, H.; Binti Wan Mohd Nazi, W.I.; Yu, Y.; Wang, Y. Energy Performance of a High-Rise Residential Building Retrofitted to Passive Building Standard—A Case Study. Appl. Therm. Eng. 2020, 181, 115902. [Google Scholar] [CrossRef]
- Bellia, L.; Borrelli, M.; De Masi, R.F.; Ruggiero, S.; Vanoli, G.P. University Building: Energy Diagnosis and Refurbishment Design with Cost-Optimal Approach. Discussion about the Effect of Numerical Modelling Assumptions. J. Build. Eng. 2018, 18, 1–18. [Google Scholar] [CrossRef]
- El-Darwish, I.; Gomaa, M. Retrofitting Strategy for Building Envelopes to Achieve Energy Efficiency. Alex. Eng. J. 2017, 56, 579–589. [Google Scholar] [CrossRef]
- Mahdy, M.; Barakat, M. Thermal Behaviour Assessment for the Different Building Envelope Parts in Egypt under Climate Change Scenarios. J. Eng. Sci. Mil. Technol. 2017, 1, 72–85. [Google Scholar] [CrossRef]
- Moghtadernejad, S.; Mirza, M.S.; Chouinard, L.E. Determination of the Fuzzy Measures for Multicriteria and Optimal Design of a Building Façade Using Choquet Integrals. J. Build. Eng. 2019, 26, 100877. [Google Scholar] [CrossRef]
- Wu, M.H.; Ng, T.S.; Skitmore, M.R. Sustainable Building Envelope Design by Considering Energy Cost and Occupant Satisfaction. Energy Sustain. Dev. 2016, 31, 118–129. [Google Scholar] [CrossRef]
- Ben-Alon, L.; Loftness, V.; Harries, K.A.; DiPietro, G.; Hameen, E.C. Cradle to Site Life Cycle Assessment (LCA) of Natural vs Conventional Building Materials: A Case Study on Cob Earthen Material. Build. Environ. 2019, 160, 106150. [Google Scholar] [CrossRef]
- Dekkiche, H.; Taileb, A. The Importance of Integrating LCA into the LEED Rating System. Procedia Eng. 2016, 145, 844–851. [Google Scholar] [CrossRef]
- Farahzadi, L.; Urbano Gutierrez, R.; Riyahi Bakhtiari, A.; Azemati, H.; Hosseini, S.B. Assessment of Alternative Building Materials in the Exterior Walls for Reduction of Operational Energy and CO2 Emissions. Int. J. Eng. Adv. Technol. 2016, 5, 183–189. [Google Scholar]
- Najjar, M.; Figueiredo, K.; Palumbo, M.; Haddad, A. Integration of BIM and LCA: Evaluating the Environmental Impacts of Building Materials at an Early Stage of Designing a Typical Office Building. J. Build. Eng. 2017, 14, 115–126. [Google Scholar] [CrossRef]
- Amani, N.; Kiaee, E. Developing a Two-Criteria Framework to Rank Thermal Insulation Materials in Nearly Zero Energy Buildings Using Multi-Objective Optimization Approach. J. Clean. Prod. 2020, 276, 122592. [Google Scholar] [CrossRef]
- Mostavi, E.; Asadi, S.; Boussaa, D. Development of a New Methodology to Optimize Building Life Cycle Cost, Environmental Impacts, and Occupant Satisfaction. Energy 2017, 121, 606–615. [Google Scholar] [CrossRef]
- Leo Samuel, D.G.; Dharmasastha, K.; Shiva Nagendra, S.M.; Maiya, M.P. Thermal Comfort in Traditional Buildings Composed of Local and Modern Construction Materials. Int. J. Sustain. Built Environ. 2017, 6, 463–475. [Google Scholar] [CrossRef]
- Green Building Council. LEED v4.1|U.S. Available online: https://www.usgbc.org/leed/v41#bdc (accessed on 18 December 2020).
- BREEAM UK Non-Domestic Refurbishment and Fit-Out 2014—Technical Manual. Available online: https://www.breeam.com/ndrefurb2014manual/ (accessed on 18 December 2020).
- Egyptian Green Building Council. Available online: http://www.egypt-gbc.org/index.html (accessed on 18 December 2020).
- Abu Dhabi Urban Planning Council. The Pearl Rating System for Estidama Building Rating System Design & Construction; Abu Dhabi Urban Planning Council: Abu Dhabi, United Arab Emirates, 2010. [Google Scholar]
- Gurgun, A.P.; Komurlu, R.; Arditi, D. Review of the LEED Category in Materials and Resources for Developing Countries. Procedia Eng. 2015, 118, 1145–1152. [Google Scholar] [CrossRef]
- Andersen, S.C.; Larsen, H.F.; Raffnsoe, L.; Melvang, C. Environmental Product Declarations (EPDs) as a Competitive Parameter within Sustainable Buildings and Building Materials. IOP Conf. Ser. Earth Environ. Sci. 2019, 323. [Google Scholar] [CrossRef]
- Secher, A.Q.; Collin, C.; Linnet, A. Construction Product Declarations and Sustainable Development Goals for Small and Medium Construction Enterprises. Procedia CIRP 2018, 69, 54–58. [Google Scholar] [CrossRef]
- Taleghani, M.; Tenpierik, M.; Kurvers, S.; Van Den Dobbelsteen, A. A Review into Thermal Comfort in Buildings. Renew. Sustain. Energy Rev. 2013, 26, 201–215. [Google Scholar] [CrossRef]
- Jafari, A.; Valentin, V.; Bogus, S.M. Identification of Social Sustainability Criteria in Building Energy Retrofit Projects. J. Constr. Eng. Manag. 2019, 145, 04018136. [Google Scholar] [CrossRef]
- Olakitan Atanda, J. Developing a Social Sustainability Assessment Framework. Sustain. Cities Soc. 2019, 44, 237–252. [Google Scholar] [CrossRef]
- Zuhaib, S.; Manton, R.; Griffin, C.; Hajdukiewicz, M.; Keane, M.M.; Goggins, J. An Indoor Environmental Quality (IEQ) Assessment of a Partially-Retrofitted University Building. Build. Environ. 2018, 139, 69–85. [Google Scholar] [CrossRef]
- Zuo, J.; Pullen, S.; Rameezdeen, R.; Bennetts, H.; Wang, Y.; Mao, G.; Zhou, Z.; Du, H.; Duan, H. Green Building Evaluation from a Life-Cycle Perspective in Australia: A Critical Review. Renew. Sustain. Energy Rev. 2017, 70, 358–368. [Google Scholar] [CrossRef]
- Cabeza, L.F.; Barreneche, C.; Miró, L.; Morera, J.M.; Bartolí, E.; Inés Fernández, A. Low Carbon and Low Embodied Energy Materials in Buildings: A Review. Renew. Sustain. Energy Rev. 2013, 23, 536–542. [Google Scholar] [CrossRef]
- Reda, F.; Tuominen, P.; Hedman, Å.; Ibrahim, M.G.E. Low-Energy Residential Buildings in New Borg El Arab: Simulation and Survey Based Energy Assessment. Energy Build. 2015, 93, 65–82. [Google Scholar] [CrossRef]
- Super Decisions|Homepage. Available online: https://www.superdecisions.com/ (accessed on 19 December 2020).
- Mu, E.; Pereyra-Rojas, M. Practical Decision Making Using Super Decisions V3; Springer: Berlin, Germany, 2018. [Google Scholar] [CrossRef]
- Saaty, T.L. A Scaling Method for Priorities in Hierarchical Structures. J. Math. Psychol. 1977, 15, 234–281. [Google Scholar] [CrossRef]
- Illankoon, I.M.C.S.; Tam, V.W.Y.; Le, K.N.; Shen, L. Key Credit Criteria among International Green Building Rating Tools. J. Clean. Prod. 2017, 164, 209–220. [Google Scholar] [CrossRef]
- Castro-Lacouture, D.; Sefair, J.A.; Flórez, L.; Medaglia, A.L. Optimization Model for the Selection of Materials Using a LEED-Based Green Building Rating System in Colombia. Build. Environ. 2009, 44, 1162–1170. [Google Scholar] [CrossRef]







| Ref. | Main and Sub-Criteria | |||||
|---|---|---|---|---|---|---|
| [12] | Four main criteria are considered: | |||||
| Environmental impacts Embodied energy/carbonemission Heating load Cooling load Resource sustainability | Life cycle costs Material cost Labor cost Transport cost Maintenance cost Design cost | Performance Weight Thermal resistance Thermal mass Acoustic insulation Resistance to decay | Social benefits Aesthetics Suitability to location Suitability to climate | |||
| [14] | Five main criteria are considered: | |||||
| Environment Low or non-toxic Compatibility with the environment Compatibility with the climate Decreasing environmental pollution Decreasing indoor heat Decreasing acoustic pollution Decreasing urban heat islands and greenhouse gases Saving natural resources | Economic Possessing lightweight Decreasing construction cost Decreasing purchase cost Decreasing implementation cost Decreasing life cycle cost Decreasing maintenance cost | Technical and executive Thermal insulation of materials Acoustic insulation of materials Repair-ability Resistant to earthquake Implementation speed Resistant to explosion Building’s life cycle Ease of implementation Safety increase Compatibility with executive codes Recyclability Novelty of materials | Social Beauty Compatibility with society’s architecture Compatibility with society’s culture Increasing society’s knowledge about sustainability Considering historical values | Energy consumption Decreasing energy consumption Energy renewability Storing energy Compatible with energy consumption codes Ability to use ventilation energy Decreasing embodied energy | ||
| [2] | Five main criteria are considered based on sustainability pillars (environment, social, and economic): | |||||
| Resource efficiency Recycled content Natural or renewable Resource-efficient manufacturing process Locally available Salvaged, refurbished Reusable or recyclable Recycled product packaging Durable | Affordability Affordable from cradle to gate Affordable during operation Affordable recycles process | Water efficiency Water conservation from cradle to gate Water conservation during operation Water conservation in recycle process | Indoor air quality Low or non-toxic Minimal chemical emissions Low VOC-assembly Moisture resistant Healthfully maintained Systems or equipment | Energy efficiency Energy efficiency from cradle to gate Energy efficiency during operation Energy efficiency in recycle process | ||
| [22] | Six main criteria are considered: | |||||
| Environmental/Health Safety/health of end-users The climatic condition of the region Material environmental impact Carbon emissions and toxicity Ozone Depletion Potential Environmental statutory compliance | Economic/Cost Maintenance/replacement cost Labor/installation cost Total LCC Capital/initial cost Material embodied energy cost | General factor Material availability The geographic location of the site Building and space usage The knowledge base in construction Withstand natural disasters Type of building material Building certification for use Design concept Spatial scale: building size/mass Project site geometry/condition Distance Building orientation | Socio-Cultural Knowledge of the custom material Compatible with traditions Compatible with client’s preference material Compatible with regional cultural Restriction on usury Family structure: type & size of the family unit | Technical Life expectancy Fire/heat resistance Moisture/weather resistance The available technical skills Resistance to decay/scratch/chemicals Maintenance requirement Recyclability and reusability Ease to replace/remove Weight & mass of material Renewability Compatible with other materials UV Resistance | Sensorial Temperature Odor Lighting effect Acoustic Aesthetic Texture Color Thickness/Thinness Hardness Glossiness/Fineness Structure Translucence | |
| [23] | Six main criteria are considered: | |||||
| Environmental impact Environmental statutory compliance Zero or low toxicity Minimize pollution Ozone depletion Material effect on air quality | Life cycle cost Initial cost Maintenance cost Disposal cost | Resource efficiency Raw material extraction Wastage in use Embodied energy Environmental impact during material harvest | waste minimization Environmentally disposal options Recycling and reuse | Performance capability Fire resistance Resistance to decay Energy-saving, thermal insulation Ease of Construction Life expectancy Maintainability | social benefit Use of local materials Health and safety Aesthetics | |
| [5] | Four main criteria are considered based on the life cycle of building (ecological, social &: health, and economic impacts) | |||||
| Manufacturing & Construction Stage Local Availability Embodied Energy Recycled Content | In-Use stage Material toxicity Chemical emissions Flammability Moisture resistant Contribution to Energy efficiency/thermal comfort of buildings Contribution to acoustic comfort Water conservation Durability/longevity Healthfully maintained Functionality | End of Life Stage Reusability Recyclability Biodegradability | Whole Life Cycle Affordable & life-cycle cost (LCC) Technical quality | |||
| [26] | Two main criteria include: | |||||
| Environmental criteria LCA CO2 emissions Health impact | Technological indicators Density Specific heat Fire Classification Water vapor diffusion resistance | |||||
| [10,24] | Energy efficiency as a single main criterion is considered [24]: Local materials Recycled content Renewable sources Low-density industrial process Using human resources/renewable energy Consuming less energy at the site Low thermal conductivity | Criteria based on the slightest ‘Greenness’ requirement [10]: Mechanical properties (for structural materials) Thermal performance during the operating phase Acoustic performance Durability Weight and dimension limits Safety requirements Aesthetic Cost Impact on the environment and human health Performances connected to the specific use of buildings | ||||
 The color represents the green origin criteria,
 The color represents the green origin criteria,  this color represents the green performance criterion, and
 this color represents the green performance criterion, and  this color represents the main proposed criteria.
 this color represents the main proposed criteria.| Main Category | LEED | Relevant Criteria * | BREEAM | Relevant Criteria * | GPRS | Relevant Criteria * | Estidama | Relevant Criteria * | 
|---|---|---|---|---|---|---|---|---|
| Materials | Building Life Cycle Impact Reduction (5) | O2a (5 Points) | Environmental impacts from construction products (Building life cycle assessment LCA) (7) | O2a (7 Points) | Life Cycle Cost analysis of materials in the project (LCC) (1) | O4a (1 Point) | Non-Polluting Materials (3) | O2a (3 Points) | 
| Building Product Disclosure and Optimization (Environmental Product Declarations) (2) | O3b (1 point) | Environmental impacts from construction products (Environmental Product Declarations EPD) (1) | O3b (1 Point) | Reused or Certified Timber (2) | O3b (2 Points) | |||
| O2b (1 point) | ||||||||
| Building Product Disclosure and Optimization (Sourcing of Raw Materials) (2) | O1c (1 Point) | Material efficiency (1) | O1c (1 Point) | Use of salvaged materials (3) | O1c (3 Points) | Material Reuse (1) | O1c (1 Point) | |
| O2b (1 point) | ||||||||
| O1d (1 Point) | Use of readily renewable materials (3) | O1d (3 Points) | Rapidly Renewable Materials (1) | O1d (1 Point) | ||||
| O1b (1 Point) | Use of recycled materials (4) | O1b (4 Points) | Recycled Materials (6) | O1c (6 Points) | ||||
| O1a (2 Points) | Responsible sourcing of construction products (4) | O1a (1 Point) | Regionally procured materials (3) | O1a (3 Points) | Regional Materials (2) | O1a (2 Points) | ||
| O2d (2 Points) | Non-Polluting Materials (3) | O2d (2 Points) | ||||||
| Designing for durability and resilience (1) | O1e (1 Point) | Use of higher durability materials (1) | O1e (1 Point) | Design for Durability (1) | O1e (1 Point) | |||
| P1a (1 Point) | P1a (1 Point) | P1a (1 Point) | ||||||
| Material efficiency (1) | P4a (1 Point) | Design for Materials Reduction (1) | P4a (1 Point) | |||||
| Construction and Demolition Waste Management (2) | P2b (2 Points) | Improved Construction Waste Management (2) | P2b (2 Points) | |||||
| IEQ | Enhanced Indoor Air Quality Strategies (2) | P2a (2 Points) | Indoor air quality (4) | P2a (4 Points) | Optimized Ventilation (5) | P2a (5 Points) | Ventilation Quality (3) | P2a (3 Points) | 
| Low-Emitting Materials (3) | O2c (3 Points) | Controlling emissions from building materials (5) | O2c (5 Points) | Material Emissions: Paints & Coatings (1) | O2c (1 Point) | |||
| Thermal Comfort (1) | P3b (1 Point) | Thermal comfort (3) | P3b (3 Points) | Thermal Comfort (2) | P3b (2 Points) | Thermal Comfort & Controls: Occupant Control (2) | P3b (2 Points) | |
| Acoustic Performance (1) | P3c (1 Point) | Acoustic performance (4) | P3c (4 Points) | Acoustic Comfort (1) | P3c (1 Point) | Indoor Noise Pollution (1) | P3c (1 Point) | |
| Energy | Optimize energy performance (18) | P1c (1 Point) | Low carbon design (3) | P1c (1 Point) | Passive External Heat Gain/loss Reduction (7) | P3a (7 Points) | Cool Building Strategies (5) | P3a (5 Points) | 
| P1c (1 Point) | ||||||||
| P5a (6 Points) | Reduction of energy use and carbon emissions (13) | P5a (3 Points) | Optimized balance of Energy and Performance (4) | P1c (1 Point) | Improved Energy Performance (15) | P5a (8 Points) | ||
| Energy efficiency Improvement (10) | P5a (6 Points) | |||||||
| Integrated Process | Integrative process (1) | O4a (1 Point) | Life Cycle Costing (4) | O4a (4 Points) | ||||
| Management | Project brief and design (4) | O3a (1 Point) | ||||||
| Life cycle cost and service life planning (4) | O4a (4 Points) | 
| Green Origin of Building Materials (a) | Green Performance of Building Materials (b) | Original Total Credit Points (d) | Original Points for Materials’ Category (c) | The Original Percentage for Materials’ Category (c/d*100) | Proposed Percentage of Using GBMs ((a + b)/d) | |
|---|---|---|---|---|---|---|
| LEED | 18 | 13 | 110 | 13 | 12 | 28 | 
| BREEAM | 17 | 17 | 149 | 14 | 9 | 23 | 
| GPRS | 20 | 23 | 200 | 20 | 10 | 22 | 
| Estidama | 23 | 24 | 177 | 28 | 16 | 27 | 
| Proposed average credits | 31 | 32 | - | 
| Main Criteria | Sub-Criteria | Main Criteria | Sub-Criteria | Main Criteria | Sub-Criteria | Main Criteria | SubCriteria | Main Criteria | Sub Criteria | |||||||||||||||||||||
|---|---|---|---|---|---|---|---|---|---|---|---|---|---|---|---|---|---|---|---|---|---|---|---|---|---|---|---|---|---|---|
| 1- Resource efficiency | O1a | O1b | O1c | O1d | O1e | P1a | P1b | P1c | 2-Environmental impacts | O2a | O2b | O2c | O2d | P2a | P2b | P2c | 3- Social impacts | O3a | O3b | P3a | P3b | P3c | P3d | 4- Economic impacts | O4a | O4b | P4a | 5- Energy efficiency | O5a | P5a | 
| 2 | 4 | 2 | 2 | 1 | 1 | 4 * | 1 | 5 | 1 | 3 | 2 | 4 | 2 | 2 * | 1 | 1 | 6 | 2 | 2 | 1 * | 3 | 3 * | 1 | 1 * | 6 | |||||
| Sum a | 11 | 6 | Sum a | 11 | 8 | Sum a | 2 | 11 | Sum a | 6 | 1 | Sum a | 1 | 6 | ||||||||||||||||
| Sum b | 17 | Sum b | 19 | Sum b | 13 | Sum b | 7 | Sum b | 7 | |||||||||||||||||||||
| Judgment | Importance Value | 
|---|---|
| Equal important | 1 | 
| Moderately more important | 2 | 
| 3 | |
| Strongly more important | 4 | 
| 5 | |
| Very strongly more important | 6 | 
| 7 | |
| Extreme important | 8 | 
| 9 | 
| Main Criteria | Green Origin (O) | Green Performance (P) | Main Criteria | Green Origin (O) | Green Performance (P) | Main Criteria | Green Origin (O) | Green Performance (P) | Main Criteria | (O) | (P) | Main Criteria | (O) | (P) | ||||||||||||||||
|---|---|---|---|---|---|---|---|---|---|---|---|---|---|---|---|---|---|---|---|---|---|---|---|---|---|---|---|---|---|---|
| 1- Resource efficiency | Regional materials (O1a) | Recycled content (O1b) | Reusable or recyclable (O1c) | Renewable sources (O1d) | Durable (O1e) | Life expectancy (P1a) | Weather, moisture, fire-resistant (P1b) | Compatibility with climate zone (P1c) | 2- Environmental impacts | Involve minimum levels of adverse impacts (O2a) | Low Embodied carbon (O2b) | Low-Emitting Materials (O2c) | Low or non-toxic content (O2d) | Promoting the performance of Indoor Air Quality (P2a) | Efficient waste disposal (P2b) | Healthfully maintained (P2c) | 3- Social impacts | Aesthetics (O3a) | Certified materials (O3b) | Thermal performance (P3a) | Effect on occupant thermal comfort (P3b) | Effect on Acoustics (P3c) | Ease of implementation (P3d) | 4- Economic impacts | Life Cycle Cost. (O4a) | Low Embodied Energy cost (O4b) | Optimize the use of materials during the design (P4a) | 5- Energy efficiency | Energy efficiency during their life cycle (Embodied Energy) (O5a) | Effect on Energy consumption (P5a) | 
| Local weight (a) % | 10 | 30 | 10 | 10 | 4 | 4 | 30 | 4 | Local weight (a) % | 41 | 3 | 14 | 7 | 23 | 6 | 6 | Local weight (a) % | 5 | 5 | 60 | 13 | 13 | 5 | Local weight (a) % | 44 | 44 | 11 | Local weight (a) % | 10 | 90 | 
| Global weight (c) | 3.1 | 9.7 | 3.1 | 3.1 | 1.2 | 1.2 | 9.7 | 1.2 | Global weight (c) | 19.3 | 1.4 | 6.5 | 3.1 | 11 | 2.9 | 2.9 | Global weight (c) | 0.6 | 0.6 | 7.9 | 1.7 | 1.7 | 0.6 | Global weight (c) | 1.7 | 1.7 | 0.4 | Global weight (c) | 0.4 | 3.4 | 
| weight (b) % | 32 | weight (b) % | 47 | weight (b) % | 13 | weight (b) % | 4 | weight (b) % | 4 | |||||||||||||||||||||
| Publisher’s Note: MDPI stays neutral with regard to jurisdictional claims in published maps and institutional affiliations. | 
© 2021 by the authors. Licensee MDPI, Basel, Switzerland. This article is an open access article distributed under the terms and conditions of the Creative Commons Attribution (CC BY) license (https://creativecommons.org/licenses/by/4.0/).
Share and Cite
Mayhoub, M.M.G.; El Sayad, Z.M.T.; Ali, A.A.M.; Ibrahim, M.G. Assessment of Green Building Materials’ Attributes to Achieve Sustainable Building Façades Using AHP. Buildings 2021, 11, 474. https://doi.org/10.3390/buildings11100474
Mayhoub MMG, El Sayad ZMT, Ali AAM, Ibrahim MG. Assessment of Green Building Materials’ Attributes to Achieve Sustainable Building Façades Using AHP. Buildings. 2021; 11(10):474. https://doi.org/10.3390/buildings11100474
Chicago/Turabian StyleMayhoub, Marwa M. Gomaa, Zeyad M. Tarek El Sayad, Ahmed AbdelMonteleb M. Ali, and Mona G. Ibrahim. 2021. "Assessment of Green Building Materials’ Attributes to Achieve Sustainable Building Façades Using AHP" Buildings 11, no. 10: 474. https://doi.org/10.3390/buildings11100474
APA StyleMayhoub, M. M. G., El Sayad, Z. M. T., Ali, A. A. M., & Ibrahim, M. G. (2021). Assessment of Green Building Materials’ Attributes to Achieve Sustainable Building Façades Using AHP. Buildings, 11(10), 474. https://doi.org/10.3390/buildings11100474
 
         
                                                



 
       