Effect of CaF2 on the Viscosity and Microstructure of CaO–SiO2–Al2O3 Based Continuous Casting Mold Flux
Abstract
1. Introduction
2. Calculation and Experimental Procedures
2.1. Selection Principle of CaF2 Content
2.2. Fluorine Slag Viscosity Performance Test
- (1)
- First, 350 g of mold flux were placed into a muffle furnace. Then, the temperature of the muffle furnace was increased to 800 °C and maintained constant for 10 h to remove carbon from the mold residue.
- (2)
- A graphite crucible and a sleeve were placed into the rotating viscometer, and then 350 g of decarburization flux were added. When the temperature of the furnace increased to 1300 °C, the viscosity of the mold flux was measured at a constant temperature for 10 min.
- (3)
- The temperature was raised to 1400 °C and maintained constant for 10 min. Then, it was rapidly reduced at a rate of 5 °C/min, during which the viscosity at different temperatures was measured to obtain a viscosity temperature curve.
2.3. Model Establishment
3. Results and Discussion
3.1. Flurine Slag Viscosity Performance Test and Result Analysis
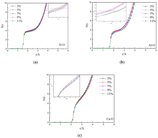
3.2. Microstructure Analysis
4. Conclusions
- (1)
- The thermodynamic calculations showed that the CaF2 content should be controlled within the range of below 12% when R = 1.0 in the CaO–SiO2–Al2O3-based continuous casting mold flux.
- (2)
- The rotating viscometer test results showed that when the CaF2 content in the CaO–SiO2–Al2O3-based continuous casting mold flux increased within the range of 3–11%, the maintained temperature viscosity of 1300 °C decreased from 0.854 to 0.241 Pa·s, the break temperature was reduced from 1280 to 1180 °C, and the viscous flow activation energy was reduced from 157.74 to 114.34 kJ·mol−1. The fluidity of the slag was enhanced.
- (3)
- Molecular dynamics simulations showed that when the CaF2 content increased from 3% to 11%, the fluorine ions in the slag replaced the oxygen ions in the Si–O–Si structure and Al–O–Al structure. The number of Al–F bonds and Si–F bonds that form nonbridging fluorine increased to 287. The maximum number of Si–F–Si bonds, Al–F–Si bonds, and Al–F–Al bonds in the system was only 17. In this range, the CaF2 content was more than that required for the formation of the network. The macromolecular group in the slag system split into numerous small complex anions, which reduced the polymerization degree of the network body and the viscosity of protective slag.
Author Contributions
Funding
Acknowledgments
Conflicts of Interest
References
- Long, X.; He, S.; Xu, J.; Huo, X.; Wang, Q. Properties of High Basicity Mold Fluxes for Peritectic Steel Slab Casting. J. Iron Steel Res. Int. 2012, 19, 39–45. [Google Scholar] [CrossRef]
- Wang, X.; Kong, L.; Du, F.; Yao, M.; Zhang, X.; Ma, H.; Wang, Z. Mathematical Modeling of Thermal Resistances of Mold Flux and Air Gap in Continuous Casting Mold Based on an Inverse Problem. ISIJ Int. 2016, 56, 803–811. [Google Scholar] [CrossRef]
- Wang, P. Study on Fluorine Emitting from Continuous Casting Mould Fluxes. Master’s Thesis, Chongqing University, Chongqing, China, 2006. [Google Scholar] [CrossRef]
- Hong, X.P. Fluorine and Acid Pollutant within Soil around Three Coal-Rich Areas in China. Ph.D. Thesis, China University Mining and Technology, Beijing, China, 2018. Available online: http://cdmd.cnki.com.cn/Article/CDMD-11413-1018096977.htm (accessed on 29 March 2018).
- Park, J.H.; Min, D.J.; Song, H.S. Amphoteric behavior of alumina in viscous flow and structure of CaO-SiO2 (-MgO)-Al2O3 slags. Metall. Mater. Trans. B. 2004, 35, 269. [Google Scholar] [CrossRef]
- Park, J.H.; Min, D.J. Effect of fluorspar and alumina on the viscous flow of calcium silicate melts containing MgO. J. Non-Cryst. Solids 2004, 337, 150–156. [Google Scholar] [CrossRef]
- Ueda, S.; Koyo, H.; Ikeda, T.; Kariya, Y.; Maeda, M. Infrared Emission Spectra of CaF2-CaO-SiO2 Melt. ISIJ Int. 2000, 40, 739–743. [Google Scholar] [CrossRef]
- Kim, H.; Sohn, I. Effect of CaF2 and Li2O Additives on the Viscosity of CaO–SiO2–Na2O Slags. ISIJ Int. 2011, 51, 1–8. [Google Scholar] [CrossRef]
- Asada, T.; Yamada, Y.; Ito, K. The Estimation of Structural Properties for Molten CaO–CaF2–SiO2 System by Molecular Dynamics Simulations. ISIJ Int. 2008, 48, 120–122. [Google Scholar] [CrossRef]
- Gao, Q.; Min, Y.; Liu, C.J.; Jiang, M. Structural behavior of F− in mould flux melt of CaO-SiO2-Al2O3-Na2O-CaF2 system. J. Iron Steel Res. Int. 2017, 24, 1152–1158. [Google Scholar] [CrossRef]
- Yan, W.; Chen, W.; Yang, Y.; Lippold, C.; McLean, A. Evaluation of B2O3 as replacement for CaF2 in CaO–Al2O3 based mould flux. Ironmak. Steelmak. 2016, 43, 316–323. [Google Scholar] [CrossRef]
- Sasaki, Y.; Urata, H.; Ishii, K. Structural Analysis of Molten Na2O-NaF-SiO2 System by Raman Spectroscopy and Molecular Dynamics Simulation. ISIJ Int. 2003, 43, 1897–1903. [Google Scholar] [CrossRef]
- Vincent, H.; Bertaut, E.F.; Baur, W.H.; Shannon, R.D. Polyhedral deformations in olivine-type compounds and the crystal structure of Fe2SiS4 and Fe2GeS4. Acta Crystallogr. Sect. B Struct. Crystallogr. Cryst. Chem. 1976, 32, 1749–1755. [Google Scholar] [CrossRef]
- Hayashi, M.; Nabeshima, N.; Fukuyama, H.; Nagata, K. Effect of Fluorine on Silicate Network for CaO-CaF2-SiO2 and CaO-CaF2-SiO2-FeOx Glasses. ISIJ Int. 2002, 42, 352–358. [Google Scholar] [CrossRef]
- Niu, Y.J.; You, J.L.; Wang, Y.Y.; Wang, Z.C.; Dai, S.J.; Xu, J.L.; Shen, S.B. Temperature Dependent Raman Spectra and Micro-Structure Study of Cuspidine in Solid and Liquid Phases. Spectrosc. Spectral Anal. 2010, 30, 3228–3231. [Google Scholar] [CrossRef]
- Wang, Z.; Tang, P.; Mi, X.X.; Hu, Q.; Lu, Y.F.; Wen, G.H. Effect of w((CaF2)) on crystallization properties of CaO-SiO2-Al2O3 based mold fluxes. Iron Steel. 2018, 53, 38–44. [Google Scholar] [CrossRef]
- Wu, T. Study on Microstructure and Macroproperty of Mould Fluxes with Low-Reactivity. Ph.D. Thesis, Chongqing University, Chongqing, China, 2017. [Google Scholar]
- Yang, B.J. Research on Inclusions Absorbability of Continuous Casting Mold Powder. Master’s Thesis, University of Science and Technology Liaoning, Anshan, China, 2006. Available online: http://cdmd.cnki.com.cn/Article/CDMD-10146-2007047863.htm (accessed on 24 July 2007).
- Huang, S.P.; Jiang, G.C.; You, J.L.; Yoshida, F.; Xu, K.D. The ionic properties of CaSiO3 melt. Metall. Mater. Trans. B 2000, 31, 1241–1245. [Google Scholar] [CrossRef]
- Delaye, J.; Louis-Achille, V.; Ghaleb, D. Modeling oxide glasses with Born–Mayer–Huggins potentials: Effect of composition on structural changes. J. Non-Cryst. Solids 1997, 210, 232–242. [Google Scholar] [CrossRef]
- Shimoda, K.; Saito, K. Detailed Structure Elucidation of the Blast Furnace Slag by Molecular Dynamics Simulation. ISIJ Int. 2007, 47, 1275–1279. [Google Scholar] [CrossRef]
- Meng, Y.; Thomas, B.G. Simulation of Microstructure and Behavior of Interfacial Mold Slag Layers in Continuous Casting of Steel. ISIJ Int. 2006, 46, 660–669. [Google Scholar] [CrossRef]
- Gao, E.Z.; Wang, W.L.; Zhang, L. Effect of alkaline earth metal oxides on the viscosity and structure of the CaO-Al2O3 based mold flux for casting high-al steels. J. Non-Cryst. Solids 2017, 473, 79–86. [Google Scholar] [CrossRef]
- Gao, J.X.; Wen, G.H.; Huang, T.; Tang, P.; Liu, Q. Effects of the composition on the structure and viscosity of the CaO–SiO2-based mold flux. J. Non-Cryst. Solids 2016, 435, 33–39. [Google Scholar] [CrossRef]
- Gan, L.; Lai, C.B.; Xiong, H.H. Non-Arrhenius Viscosity Models for Molten Silicate Slags with Constant Pre-Exponential Parameter: A Comparison to Arrhenius Model. High Temp. Mater. Process. 2016, 35, 261–267. [Google Scholar] [CrossRef]
- Kim, G.H.; Sohn, I. Influence of Li2O on the Viscous Behavior of CaO–Al2O3– 12 mass % Na2O– 12 mass % CaF2 Based Slags. ISIJ Int. 2012, 52, 68–73. [Google Scholar] [CrossRef]
- Lee, S.; Min, D.J. Anionic effect of chloride, fluoride, and sulfide ions on the viscosity of slag melt. J. Am. Ceram. Soc. 2017, 100, 2543–2552. [Google Scholar] [CrossRef]
- Feng, C.; Chu, M.S.; Tang, J.; Tang, Y.T.; Liu, Z.G. Effect of CaO/SiO2 and Al2O3 on Viscous Behaviors of the Titanium-Bearing Blast Furnace Slag. Steel Res. Int. 2016, 87, 1274–1283. [Google Scholar] [CrossRef]
- Park, J.H.; Ko, K.Y.; Kim, T.S. Influence of CaF2 on the Viscosity and Structure of Manganese Ferroalloys Smelting Slags. Metall. Mater. Trans. B 2014, 46, 741–748. [Google Scholar] [CrossRef]
- Dai, X.; He, J.; Bai, J.; Huang, Q.; Wen, X.D.; Xie, L.; Luo, K.; Zhang, J.; Li, W.; Du, S.Y. Ash Fusion Properties from Molecular Dynamics Simulation: Role of the Ratio of Silicon and Aluminum. Energy Fuels 2016, 30, 2407–2413. [Google Scholar] [CrossRef]
- Matsui, M. Molecular dynamics simulation of structures, bulk moduli, and volume thermal expansivities of silicate liquids in the system CaO-MgO-Al2O3-SiO2. Geophys. Res. Lett. 1996, 23, 395–398. [Google Scholar] [CrossRef]
- Wang, X.J.; Wu, B.B.; Zhu, L.G.; Fan, Y.P.; Tian, K. Study on Rheological Properties of Fluorine-free Continuous Casting Mould Powder. Iron Steel Vanadium Titan. 2017, 38, 135–139. [Google Scholar] [CrossRef]












| Component | SiO2 | Al2O3 | MgO | MnO2 | Fe2O3 | Na2O | CaO | K2O | CaF2 | R |
|---|---|---|---|---|---|---|---|---|---|---|
| Content 1 | 40.48 | 5.0 | 2.37 | 0.39 | 3.13 | 4.33 | 40.48 | 0.82 | 3 | 1.0 |
| Content 2 | 39.48 | 5.0 | 2.37 | 0.39 | 3.13 | 4.33 | 39.48 | 0.82 | 5 | 1.0 |
| Content 3 | 38.48 | 5.0 | 2.37 | 0.39 | 3.13 | 4.33 | 38.48 | 0.82 | 7 | 1.0 |
| Content 4 | 37.48 | 5.0 | 2.37 | 0.39 | 3.13 | 4.33 | 37.48 | 0.82 | 9 | 1.0 |
| Content 5 | 36.48 | 5.0 | 2.37 | 0.39 | 3.13 | 4.33 | 36.48 | 0.82 | 11 | 1.0 |
| Number | Basicity | Composition (wt %) | |||
|---|---|---|---|---|---|
| CaO | SiO2 | Al2O3 | CaF2 | ||
| 1 | 1 | 46 | 46 | 5 | 3 |
| 2 | 1 | 45 | 45 | 5 | 5 |
| 3 | 1 | 44 | 44 | 5 | 7 |
| 4 | 1 | 43 | 43 | 5 | 9 |
| 5 | 1 | 42 | 42 | 5 | 11 |
| Mole Fraction (%) | Atomic Number | Box Length (Å) | Density (g/cm3) | |||||
|---|---|---|---|---|---|---|---|---|
| CaF2 | Ca | Si | Al | F | O | Total | ||
| 3 | 1198 | 1070 | 137 | 106 | 3490 | 5999 | 43.345 | 2.820 |
| 5 | 1213 | 1047 | 137 | 179 | 3423 | 6000 | 43.332 | 2.829 |
| 7 | 1226 | 1026 | 137 | 252 | 3358 | 5999 | 43.464 | 2.838 |
| 9 | 1238 | 1006 | 137 | 323 | 3295 | 5999 | 43.584 | 2.846 |
| 11 | 1252 | 984 | 138 | 396 | 3229 | 5999 | 43.669 | 2.855 |
| Hydronium | Hydronium | Aij (V) | Bij(1/Å) | Cij (eV·Å6) |
|---|---|---|---|---|
| Ca | Ca | 5.274 × 10−21 | 6.25 | 4.33 |
| Ca | O | 1.150 × 10−20 | 6.06 | 8.67 |
| Ca | Al | 5.920 × 10−22 | 6.25 | 0 |
| Ca | F | 7.939 × 10−21 | 6.06 | 8.67 |
| Ca | Si | 4.275 × 10−22 | 6.25 | 0 |
| Si | O | 1.006 × 10−21 | 6.06 | 0 |
| Si | Si | 3.466 × 10−23 | 6.25 | 0 |
| Si | F | 6.945 × 10−22 | 6.06 | 0 |
| Si | Al | 4.797 × 10−23 | 6.25 | 0 |
| Al | O | 1.379 × 10−21 | 6.06 | 0 |
| Al | Al | 6.639 × 10−23 | 6.25 | 0 |
| O | O | 2.395 × 10−20 | 5.88 | 17.34 |
| O | F | 1.046 × 10−20 | 5.88 | 17.34 |
| F | F | 1.169 × 10−20 | 5.88 | 17.34 |
| Al | F | 9.518 × 10−22 | 6.06 | 0 |
| Mass% CaF2 | Arrhenius Equation | Eη/(kJ·mol−1) | Transition Temperature (°C) | Temperature Range (°C) |
|---|---|---|---|---|
| 3 | Lnη = 18,972/T − 13.57 | 157.74 | 1280 | 1280–1400 |
| 5 | Lnη = 16,313/T − 13.25 | 135.63 | 1230 | 1230–1400 |
| 7 | Lnη = 15,813/T − 12.43 | 131.47 | 1210 | 1210–1400 |
| 9 | Lnη = 14,892/T − 12.42 | 123.81 | 1195 | 1195–1400 |
| 11 | Lnη = 13,753/T − 12.25 | 114.34 | 1180 | 1180–1400 |
© 2019 by the authors. Licensee MDPI, Basel, Switzerland. This article is an open access article distributed under the terms and conditions of the Creative Commons Attribution (CC BY) license (http://creativecommons.org/licenses/by/4.0/).
Share and Cite
Wang, X.; Jin, H.; Zhu, L.; Xu, Y.; Liu, R.; Piao, Z.; Qu, S. Effect of CaF2 on the Viscosity and Microstructure of CaO–SiO2–Al2O3 Based Continuous Casting Mold Flux. Metals 2019, 9, 871. https://doi.org/10.3390/met9080871
Wang X, Jin H, Zhu L, Xu Y, Liu R, Piao Z, Qu S. Effect of CaF2 on the Viscosity and Microstructure of CaO–SiO2–Al2O3 Based Continuous Casting Mold Flux. Metals. 2019; 9(8):871. https://doi.org/10.3390/met9080871
Chicago/Turabian StyleWang, Xingjuan, Hebin Jin, Liguang Zhu, Ying Xu, Ran Liu, Zhanlong Piao, and Shuo Qu. 2019. "Effect of CaF2 on the Viscosity and Microstructure of CaO–SiO2–Al2O3 Based Continuous Casting Mold Flux" Metals 9, no. 8: 871. https://doi.org/10.3390/met9080871
APA StyleWang, X., Jin, H., Zhu, L., Xu, Y., Liu, R., Piao, Z., & Qu, S. (2019). Effect of CaF2 on the Viscosity and Microstructure of CaO–SiO2–Al2O3 Based Continuous Casting Mold Flux. Metals, 9(8), 871. https://doi.org/10.3390/met9080871
