Phase Formation and Magnetic Properties of Melt Spun and Annealed Nd-Fe-B Based Alloys with Ga Additions
Abstract
:1. Introduction
2. Materials and Methods
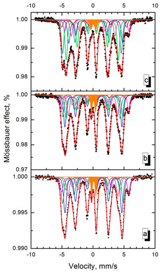
3. Results
4. Conclusions
Author Contributions
Funding
Conflicts of Interest
References
- Sasaki, T.T.; Ohkuboa, T.; Takada, Y.; Sato, T.; Kato, A.; Kaneko, Y.; Hono, K. Formation of non-ferromagnetic grain boundary phase in a Ga-doped Nd-rich Nd–Fe–B sintered magnet. Scripta Mat. 2016, 113, 218–221. [Google Scholar] [CrossRef]
- Hono, K. High-coercivity Dy-free Nd-Fe-B permanent magnets. In Proceedings of the 24th International Workshop on Rare Earth and Future Permanent Magnets and Their Applications (REPM 2016), Darmstadt, Germany, 28 August–1 September 2016; p. 74. [Google Scholar]
- Hao, Z.; Zhang, S.; Bao, D.; Han, X. Investigation of High Coercivity Dy-/Tb-free Sintered NdFeB Magnet Microstructure and Mass Production. In Proceedings of the 24th International Workshop on Rare Earth and Future Permanent Magnets and Their Applications (REPM 2016), Darmstadt, Germany, 28 August–1 September 2016; pp. 56–62. [Google Scholar]
- Schrefl, T.; Fidler, J.; Kronmüller, H. Remanence and coercivity in isotropic nanocrystalline permanent magnets. Phys. Rev. B 1994, 49, 6100. [Google Scholar] [CrossRef]
- Skomski, R.; Coey, J.M.D. Giant energy product in nanostructured two-phase magnets. Phys. Rev. B 1993, 21, 15812. [Google Scholar] [CrossRef]
- Schrefl, T.; Kronmüller, H.; Fidler, J. Exchange hardening in nano-structured two-phase permanent magnets. J. Magn. Magn. Mater. 1993, 127, 273–277. [Google Scholar] [CrossRef]
- Wang, Z.; Zhou, S.; Zhang, M.; Qiao, Y. High-performance alpha-Fe/Pr2Fe14B-type nanocomposite magnets produced by hot compaction under high pressure. J. Appl. Phys. 2000, 88, 591–593. [Google Scholar] [CrossRef]
- Li, X.H.; Gao, Z.S.; Li, W.; Zhang, K.W.; Zhang, J.W.; Zhang, X.Y. Study of the microstructure of α-Fe/Nd2Fe14B nanocomposites prepared by electropulsing heating amorphous NdFeCoB. Mater. Lett. 2005, 59, 2782–2785. [Google Scholar] [CrossRef]
- Fukunaga, H.; Tagawa, A.; Nakano, M. Preparation of high-performance PrFeB/α-Fe nanocomposite magnets by direct Joule heating. J. Magn. Magn. Mater. 2004, 272, 1901–1903. [Google Scholar] [CrossRef]
- Murakami, Y.; Tanigaki, T.; Sasaki, T.T.; Takeno, Y.; Park, H.S.; Matsuda, T.; Ohkubo, T.; Hono, K.; Shindo, D. Magnetism of ultrathin intergranular boundary regions in Nd–Fe–B permanent magnets. Acta Mater. 2014, 71, 370–379. [Google Scholar] [CrossRef]
- Gutfleisch, O. Controlling the properties of high energy density permanent magnetic materials by different processing routes. J. Phys. D 2000, 33, 157–172. [Google Scholar] [CrossRef]
- Menushenkov, V.P.; Shchetinin, I.V.; Gorshenkov, M.V.; Savchenko, A.G.; Ketov, S.V. Microstructure and Magnetic Properties of Melt-Spun Nd-Rich Nd-Fe Alloys. IEEE Magn. Lett. 2016, 7, 5201304. [Google Scholar] [CrossRef]
- Nguyen, H.D.; Nguyen, H.Y.; Pham, T.T.; Hguen, T.T.H.; Hguen, H.D.; Duong, D.T.; Dinh, H.L.; Nguen, V.D.; Tran, D.T.; Vu, H.K.; Do, K.T.; Luu, T.H. Nd–Fe–B-based anisotropic nanocrystalline hard magnetic alloys. Adv. Nat. Sci: Nanosci. Nanotechnol. 2012, 3, 015016. [Google Scholar] [CrossRef]
- Hu, J.; Wang, Y.; Li, X.; Yin, L.; Feng, M.; Dai, D.; Wand, T.; Zhao, J.; Wang, Z. The effects of addition of Nb, Mo and Ga on the magnetic properties of Nd-Fe-B alloys. J. Phys. Coll. 1988, 49, C8-601–C8-602. [Google Scholar] [CrossRef]
- Ahmad, I.; Davies, H.A.; Buckley, R.A. Ultra high coercivity Nd-Fe-B permanent magnet alloy with small addition of Ga. Mater. Lett. 1994, 20, 139–142. [Google Scholar] [CrossRef]
- Kanekiyo, H.; Uehara, M.; Hirosawa, S. Microstructure and magnetic properties of high-remanence Nd5Fe71.5Co5B18.5 M (M = Al, Si, Ga, Ag, Au) rapidly solidified and crystallized alloys for resin-bonded magnets. IEEE Trans. Magn. 1993, 29, 2863–2865. [Google Scholar] [CrossRef]
- Shiyan, Z.; Hui, X.; Jiansen, N.; Hailong, W.; Qin, B.; Yuanda, D. Effect of Gallium Addition on Magnetic Properties of Nd2Fe14B-Based/α-Fe Nanocomposite Magnets. J. Rare Earths 2007, 25, 74–78. [Google Scholar] [CrossRef]
- Cui, B.Z.; Sun, X.K.; Liu, W.; Zhang, Z.D.; Geng, D.Y.; Zhao, X.G.; Sellmyer, D.J. Effects of Ga substitution for Fe on the structure and magnetic properties of Nd8.4Fe87.1−xGaxB4.5 (x = 0–2.2) alloys prepared by mechanical alloying. J. Appl. Phys. 2000, 87, 5335–5337. [Google Scholar] [CrossRef]
- Pan, S. The Third Generation Rare Earth Permanent Magnet. In Rare Earth Permanent-Magnet Alloys’ High Temperature Phase Transformation; Springer: Heidelberg, Germany; Dordrecht, The Netherland; London, UK; New York, NY, USA, 2013; pp. 129–229. [Google Scholar]
- Kaihong, D.; Zhongjie, P.; Zhanji, D.; Xiulei, C. Sintered R-T-B based permanent magnet and a method of making the sintered R-T-B based permanent magnet. U.S. Patent US2019/0051435A1, 14 February 2019. [Google Scholar]
- Sasaki, T.T.; Takada, Y.; Okazaki, H.; Ohkubo, T.; Nakamura, T.; Sato, T.; Kato, A.; Kaneko, Y.; Hono, K. Role of Ga on the high coercivity of Nd-rich Ga-doped Nd-Fe-B sintered magnet. J. Alloy. Compd. 2019, 790, 750–759. [Google Scholar] [CrossRef]
- Hu, B.-P.; Li, H.-S.; Shen, B.-G.; Wang, F.-W.; Cadogan, J.M.; Zhan, W.-H. A 57Fe Mössbauer study of Gd2Fe17−xGaxC2 (x = 0–6). J. Appl. Phys. 1996, 79, 5713. [Google Scholar] [CrossRef]
- Dahal, J.N.; Syed Ali, K.S.; Mishra, S.R.; Alam, J. Structural, Magnetic, and Mössbauer Studies of Transition Metal-Doped Gd2Fe16Ga0.5TM0.5 Intermetallic Compounds (TM = Cr, Mn, Co, Ni, Cu, and Zn). Magnetochemistry 2018, 4, 54. [Google Scholar] [CrossRef]
- Savchenko, A.G.; Medvedeva, T.M.; Shchetinin, I.V.; Menushenkov, V.P.; Gorshenkov, M.V.; Savchenko, E.S.; Bordyuzhin, I.G. Phase-structural state diagrams and hysteresis properties of rapidly solidified alloy Nd10.4Zr4.0Fe75.1Co4.1B6.4 after heat treatment. J. Alloy. Compd. 2017, 707, 205–209. [Google Scholar] [CrossRef]
- Manivel Raja, M.; Narayanasamy, A.; Ravichandran, V. 57Fe Mössbauer effect and X-ray studies od Nd-Fe-Sn-B permanent magnetic materials. J. Magn. Magn. Mater. 1996, 159, 345–351. [Google Scholar] [CrossRef]







| Sample, Conditions | Chemical Composition (Fe-Basis), % | Phase Composition, % | Lattice Spacing Nd2Fe14B, nm | Magnetic Properties | |||||||||
|---|---|---|---|---|---|---|---|---|---|---|---|---|---|
| Nd | Co | Ga | B | Dy | Ni | Cu | Nd2Fe14B | Amorphous | Hci, kA/m (Oe) | σr, A × m2/kg | σs, A × m2/kg | ||
| SG1 Vs = 10 m/s | 34.7 ± 0.5 | 8.7 ± 0.3 | 0.5 ± 0.1 | 1.2 ± 0.1 | 0.11 ± 0.05 | 0.10 ± 0.05 | 0.09 ± 0.05 | 65 ± 5 | 35 ± 5 | a = 0.8782 c = 1.2192 | 137.2 (1720) | 19.9 | 79.2 |
| SG2 Vs = 20 m/s | 34.6 ± 0.5 | 8.7 ± 0.3 | 0.4 ± 0.1 | 1.3 ± 0.1 | 0.10 ± 0.05 | 0.11 ± 0.05 | 0.08 ± 0.05 | 50 ± 5 | 50 ± 5 | a = 0.8782 c = 1.2192 | 14.4 (180) | 12.7 | 106.1 |
| SG3 Vs = 10 m/s | 32.8 ± 0.5 | 0.10 ± 0.05 | 2.1 ± 0.2 | 1.2 ± 0.1 | - | 0.10 ± 0.05 | 0.10 ± 0.05 | 80 ± 5 | 20 ± 5 | a = 0.8823 c = 1.2251 | 253.3 (3176) | 27.7 | 93.8 |
| Annealing Temperature, °C | Phase Composition, % | Parameters of Nd2Fe14B Phase | Magnetic Properties | |||||
|---|---|---|---|---|---|---|---|---|
| Nd2Fe14B | Nd-rich | Crystalline Size, nm | a, nm | c, nm | Hci, kA/m (kOe) | σr, A × m2/kg | σs, A × m2/kg | |
| SG1 | ||||||||
| 560 | 90 ± 2 | 10 ± 1 | 39 ± 3 | 0.8773 | 1.2194 | 238.7 (3.0) | 65.5 | 130.3 |
| 580 | 89 ± 2 | 11 ± 1 | 39 ± 3 | 0.8774 | 1.2185 | 1161.8 (14.6) | 65.4 | 127.5 |
| 600 | 97 ± 2 | 3 ± 1 | 37 ± 3 | 0.8779 | 1.2199 | 1559.7 (19.6) | 64.9 | 130.3 |
| 625 | 100 ± 3 | <3 | 40 ± 2 | 0.8791 | 1.2201 | 1313.0 (16.5) | 65.5 | 129.5 |
| 650 | 100 ± 3 | <3 | 47 ± 2 | 0.8784 | 1.2186 | 222.8 (2.8) | 65.5 | 128.7 |
| SG2 | ||||||||
| 560 | 94 ± 3 | 6 ± 2 | 35 ± 2 | 0.8774 | 1.2187 | 326.3 (4.1) | 52.0 | 130.2 |
| 580 | 92 ± 3 | 8 ± 2 | 37 ± 2 | 0.8774 | 1.2186 | 867.4 (10.9) | 65.2 | 129.8 |
| 600 | 97 ± 3 | 3 ± 1 | 37 ± 2 | 0.8779 | 1.2199 | 1838.2 (23.1) | 65.8 | 130.6 |
| 625 | 100 ± 3 | <3 | 40 ± 2 | 0.8791 | 1.2201 | 1297.1 (16.3) | 67.2 | 129.7 |
| 650 | 100 ± 3 | <3 | 47 ± 2 | 0.8784 | 1.2186 | 1090.2 (13.7) | 66.6 | 130.9 |
| SG3 | ||||||||
| 560 | 95 ± 1 | 5 ± 2 | 37 ± 3 | 0.8787 | 1.2251 | 191.0 (2.4) | 50.3 | 127.7 |
| 580 | 97 ± 2 | 3 ± 1 | 36 ± 2 | 0.8786 | 1.2242 | 891.3 (11.2) | 64.9 | 130.6 |
| 600 | 100 ± 3 | <3 | 42 ± 3 | 0.8793 | 1.2250 | 779.9 (9.8) | 58.9 | 133.3 |
| 625 | 100 ± 3 | <3 | 47 ± 3 | 0.8804 | 1.2242 | 549.1 (6.9) | 62.3 | 133.3 |
| 650 | 100 ± 3 | <3 | 44 ± 3 | 0.8799 | 1.2249 | 135.3 (1.7) | 63.9 | 131.2 |
| Mössbauer Parameters | Fe Site | |||||||
|---|---|---|---|---|---|---|---|---|
| k1 | k2 | j1 | j2 | c | e | Doublet | ||
| Hhf, kOe | SG1 | 284.4 | 304.0 | 272.1 | 334.9 | 249.4 | 231.0 | - |
| SG2 | 285.2 | 305.8 | 273.2 | 333.9 | 250.1 | 246.0 | - | |
| SG3 | 260.7 | 293.3 | 269.0 | 321.6 | 324.0 | 218.5 | - | |
| Isomer shift (IS), mm/s | SG1 | −0.06 | −0.111 | −0.104 | 0.074 | −0.061 | −0.040 | 0.112 |
| SG2 | −0.062 | −0.107 | −0.083 | 0.063 | −0.087 | −0.067 | 0.08 | |
| SG3 | −0.12 | −0.173 | 0.085 | 0.237 | −0.009 | −0.070 | 0.055 | |
| Quadrupole splitting (QS), mm/s | SG1 | 0.243 | 0.190 | 0.141 | 0.560 | 0.082 | 0.588 | 0.687 |
| SG2 | 0.236 | 0.184 | 0.152 | 0.597 | 0.106 | 0.449 | 0.649 | |
| SG3 | −0.002 | −0.014 | 0.685 | 0.730 | 0.359 | 0.166 | 0.801 | |
| Relative intensity, % | SG1 | 30.78 | 22.58 | 11.16 | 12.87 | 16.27 | 2.07 | 4.27 |
| SG2 | 26.12 | 22.9 | 15.4 | 11.8 | 4.2 | 16.8 | 4.7 | |
| SG3 | 29.15 | 24.41 | 17.03 | 8.39 | 5.5 | 11.91 | 3.6 | |
© 2019 by the authors. Licensee MDPI, Basel, Switzerland. This article is an open access article distributed under the terms and conditions of the Creative Commons Attribution (CC BY) license (http://creativecommons.org/licenses/by/4.0/).
Share and Cite
Shchetinin, I.; Aggrey, P.; Bordyuzhin, I.; Savchenko, A.; Gorshenkov, M.; Zhelezniy, M.; Menushenkov, V.; Mogil’nikov, P. Phase Formation and Magnetic Properties of Melt Spun and Annealed Nd-Fe-B Based Alloys with Ga Additions. Metals 2019, 9, 497. https://doi.org/10.3390/met9050497
Shchetinin I, Aggrey P, Bordyuzhin I, Savchenko A, Gorshenkov M, Zhelezniy M, Menushenkov V, Mogil’nikov P. Phase Formation and Magnetic Properties of Melt Spun and Annealed Nd-Fe-B Based Alloys with Ga Additions. Metals. 2019; 9(5):497. https://doi.org/10.3390/met9050497
Chicago/Turabian StyleShchetinin, Igor, Patrick Aggrey, Igor Bordyuzhin, Alexander Savchenko, Mikhail Gorshenkov, Mark Zhelezniy, Vladimir Menushenkov, and Pavel Mogil’nikov. 2019. "Phase Formation and Magnetic Properties of Melt Spun and Annealed Nd-Fe-B Based Alloys with Ga Additions" Metals 9, no. 5: 497. https://doi.org/10.3390/met9050497
APA StyleShchetinin, I., Aggrey, P., Bordyuzhin, I., Savchenko, A., Gorshenkov, M., Zhelezniy, M., Menushenkov, V., & Mogil’nikov, P. (2019). Phase Formation and Magnetic Properties of Melt Spun and Annealed Nd-Fe-B Based Alloys with Ga Additions. Metals, 9(5), 497. https://doi.org/10.3390/met9050497

