Effect of SiO2 on the Mechanical Property and Reduction of Calcium Ferrite
Abstract
1. Introduction
2. Experimental Materials and Methods
2.1. Materials
2.2. Mechanics and Reduction Experiments
3. Results and Discussion
3.1. Effect of SiO2 on the Mechanical Properties of Calcium Ferrite
3.2. Effect of SiO2 on the Reduction of Calcium Ferrite
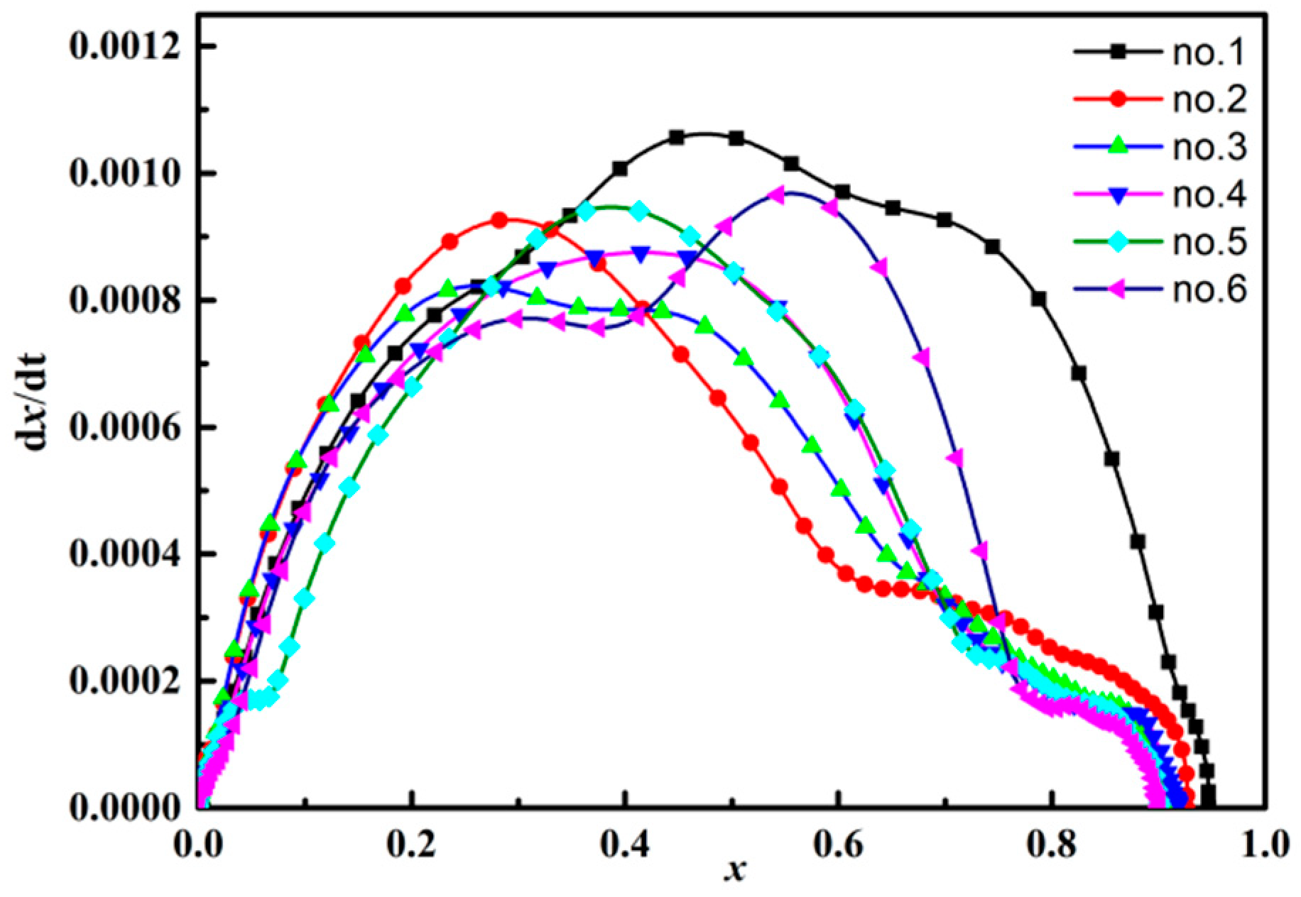
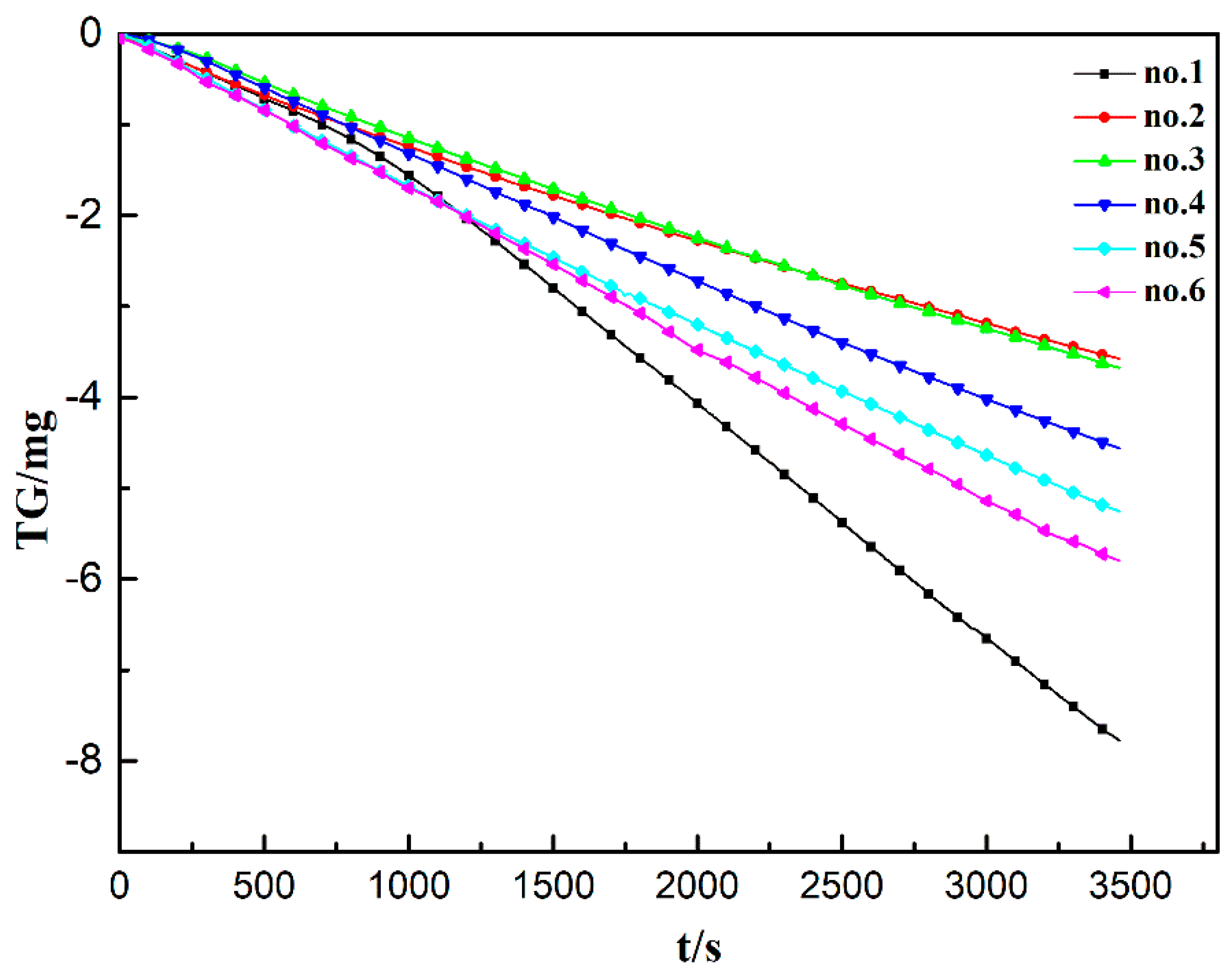
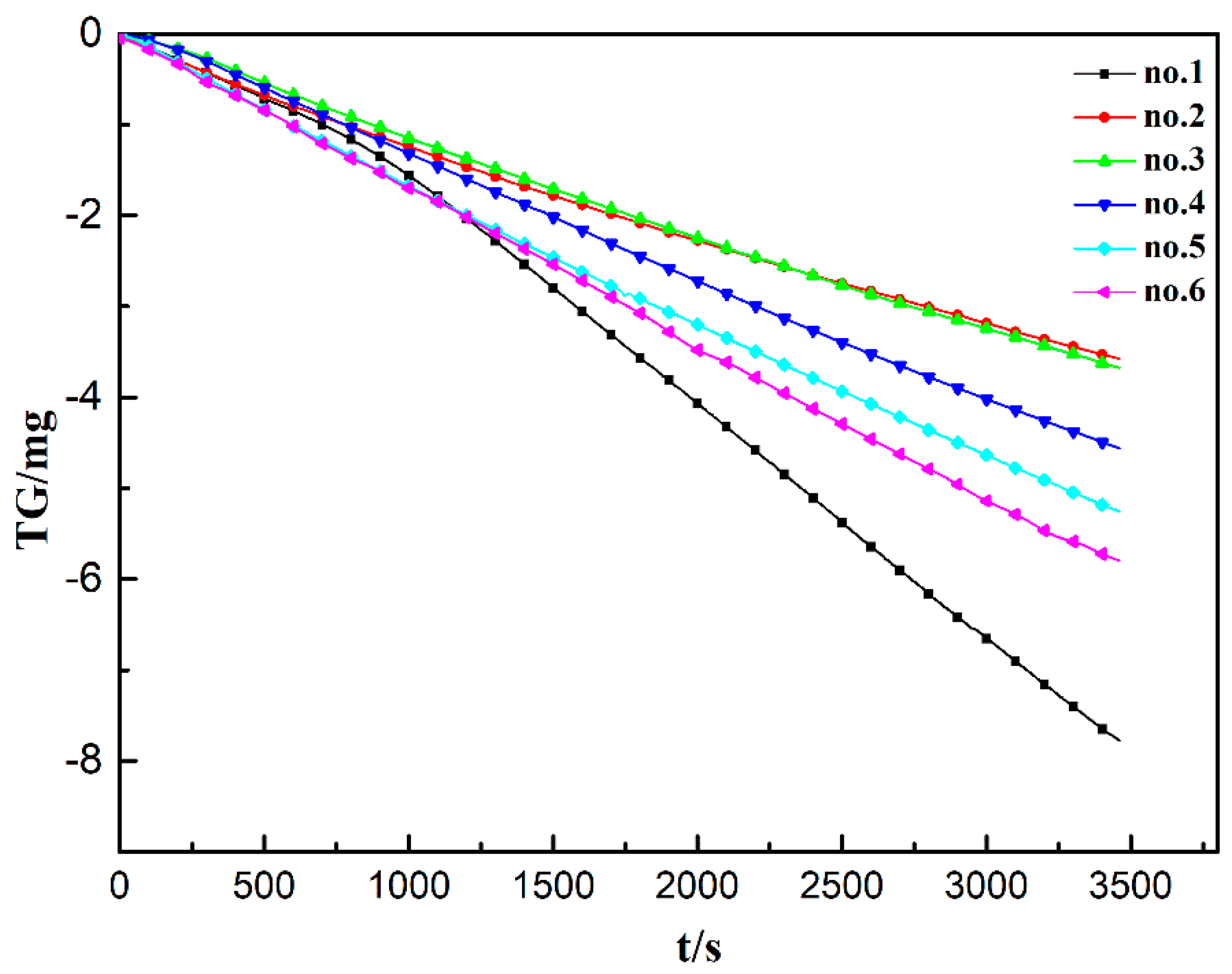
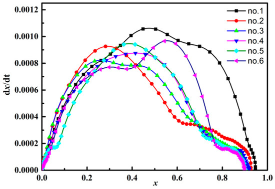
3.2.1. Reduction Kinetic Analysis of Powder Sample
3.2.2. Reduction Analysis of Lump Sample
4. Conclusions
Author Contributions
Funding
Acknowledgments
Conflicts of Interest
References
- Fernández-González, D.; Ruiz-Bustinza, I.; Mochón, J.; González-Gasca, C.; Verdeja, L.F. Iron ore sintering: Process. Miner. Proc. Extr. Metall. Rev. 2017, 38, 215–227. [Google Scholar] [CrossRef]
- Fernández-González, D.; Ruiz-Bustinza, I.; Mochón, J.; González-Gasca, C.; Verdeja, L.F. Iron ore sintering: Quality Indices. Miner. Proc. Extr. Metall. Rev. 2017, 38, 254–264. [Google Scholar] [CrossRef]
- Webster, N.A.S.; Pownceby, M.I.; Madsen, I.C. In situ X-ray Diffraction Investigation of the Formation Mechanisms of Silico-Ferrite of Calcium and Aluminium-I-type (SFCA-I-type) Complex Calcium Ferrites. ISIJ Int. 2013, 53, 1334–1340. [Google Scholar] [CrossRef]
- Webster, N.A.S.; O’Dea, D.P.; Ellis, B.G.; Pownceby, M.I. Effects of Gibbsite, Kaolinite and Al-rich Goethite as Alumina Sources on Silico-Ferrite of Calcium and Aluminium (SFCA) and SFCA-I Iron Ore Sinter Bonding Phase Formation. ISIJ Int. 2017, 57, 41–47. [Google Scholar] [CrossRef]
- Sinha, M.; Ramna, R.V. Effect of Variation of Alumina on the Microhardness of Iron Ore Sinter Phases. ISIJ Int. 2009, 49, 719–721. [Google Scholar] [CrossRef]
- Zhou, M.; Yang, S.T.; Jiang, T.; Xue, X.X. Influence of MgO in form of magnesite on properties and mineralogy of high chromium, vanadium, titanium magnetite sinters. Ironmak. Steelmak. 2015, 42, 217–225. [Google Scholar] [CrossRef]
- Sinha, M.; Nistala, S.H.; Chandra, S.; Mankhand, T.R.; Ghose, A.K. Correlating mechanical properties of sinter phases with their chemistry and its effect on sinter quality. Ironmak. Steelmak. 2017, 44, 100–107. [Google Scholar] [CrossRef]
- Loo, C.E.; Wan, K.T.; Howes, V.R. Mechanical properties of natural and synthetic mineral phases in sinters having varying reduction degradation indices. Ironmak. Steelmak. 1988, 15, 279–285. [Google Scholar]
- Ding, X.; Guo, X.-M. The Formation Process of Silico-Ferrite of Calcium (SFC) from Binary Calcium Ferrite. Metall. Mater. Trans. B-Process Metall. Mater. Proc. Sci. 2014, 45, 1221–1231. [Google Scholar] [CrossRef]
- Ding, X.; Guo, X.-M. The Sintering Characteristics of Mixing SiO2 with Calcium Ferrite at 1473 K (1200 degrees C). Metall. Mater. Trans. B-Process Metall. Mater. Proc. Sci. 2015, 46, 1742–1750. [Google Scholar] [CrossRef]
- Ding, X.; Guo, X.-M.; Ma, C.-Y.; Tang, K.; Zhao, Y.-D. Effect of SiO2 on the Crystal Structure Stability of SFC at 1473 K (1200 A degrees C). Metall. Mater. Trans. B-Process Metall. Mater. Proc. Sci. 2015, 46, 1146–1153. [Google Scholar] [CrossRef]
- Murakami, T.; Kodaira, T.; Kasai, E. Effect of the Reduction of Calcium Ferrite on Disintegration Behavior of Sinter under High Hydrogen Atmosphere. ISIJ Int. 2015, 55, 1197–1205. [Google Scholar] [CrossRef]
- Hessien, M.M.; Kashiwaya, Y.; Ishii, K.; Nasr, M.I.; El-Geassy, A.A. Sintering and heating reduction processes of alumina containing iron ore samples. Ironmak. Steelmak. 2008, 35, 191–204. [Google Scholar] [CrossRef]
- Ying, Z.W.; Xu, L.X.; Jiang, M.F.; Shen, Y.S. Effect of Calcium Ferrite Morphology on Anti-Fracture Ability of Sinters. J. Iron Steel Res. Int. 2006, 18, 55–58. [Google Scholar] [CrossRef]
- Hida, Y.; Okazaki, J.; Itoh, K.; Sasaki, M. Formation Mechanism of Acicular Calcium Ferrite of Iron Ore Sinter (Sinter). Tetsu Hagane 1987, 73, 1893–1900. [Google Scholar] [CrossRef]
- Cai, B.; Watanabe, T.; Kamijo, C.; Susa, M.; Hayashi, M. Comparison between Reducibilities of Columnar Silico-ferrite of Calcium and Aluminum (SFCA) Covered with Slag and Acicular SFCA with Fine Pores. ISIJ Int. 2018, 58, 642–651. [Google Scholar] [CrossRef]
- Ding, C.; Lv, X.; Xuan, S.; Qiu, J.; Chen, Y.; Bai, C. Effect of Silica on Reduction of Calcium Ferrite with CO-N-2 Gas Mixtures. ISIJ Int. 2017, 57, 634–642. [Google Scholar] [CrossRef]
- Xuan, S.; Lv, X.; Ding, C.; Tang, K.; Li, G.; Pei, G.; Wu, S. Reduction Behavior of Aluminate Calcium Ferrite (CFA) in CO-N-2 Atmosphere. Steel Res. Int. 2018, 89, 1700452. [Google Scholar] [CrossRef]
- Marshall, D.B.; Tatsuo, N.; Evans, A.C. A simpled method for determining elastic modulus to hardness ratios using Knoop indentation measurements. J. Am. Ceram. Soc. 1982, 65, 175–176. [Google Scholar] [CrossRef]
- Wang, G.; Zhang, J.; Hou, X.; Shao, J.; Geng, W. Study on CO2 gasification properties and kinetics of biomass chars and anthracite char. Bioresour. Technol. 2015, 177, 66–73. [Google Scholar] [CrossRef] [PubMed]
- Wang, G.; Zhang, J.; Shao, J.; Ren, S. Characterisation and model fitting kinetic analysis of coal/biomass co-combustion. Thermochim. Acta 2014, 591, 68–74. [Google Scholar] [CrossRef]
- Xu, R.; Zhang, J.; Wang, G.; Zuo, H.; Li, P.; Wang, H.; Lin, H.; Liu, S. Isothermal kinetic analysis on fast pyrolysis of lump coal used in COREX process. J. Therm. Anal. Calorim. 2016, 123, 773–783. [Google Scholar] [CrossRef]
- Xu, R.; Dai, B.; Wang, W.; Schenk, J.; Xue, Z. Effect of iron ore type on the thermal behaviour and kinetics of coal-iron ore briquettes during coking. Fuel Proc. Technol. 2018, 173, 11–20. [Google Scholar] [CrossRef]
- Xu, R.; Zheng, H.; Wang, W.; Schenk, J.; Xue, Z. Influence of Iron Minerals on the Volume, Strength, and CO2 Gasification of Ferro-coke. Energy Fuels 2018. [Google Scholar] [CrossRef]
- Zheng, H.; Wang, W.; Xu, R.; Zan, R.; Schenk, J.; Xue, Z. Effect of the particle size of iron ore on the pyrolysis kinetic behaviour of coal-iron ore briquettes. Energies 2018, 11, 2595. [Google Scholar] [CrossRef]
- Xu, R.; Wang, W.; Dai, B. Influence of particle size on the combustion behaviors of bamboo char used for blast furnace injection. J. Iron Steel Res. Int. 2018, 25, 1213–1222. [Google Scholar] [CrossRef]
- Wang, G.; Zhang, J.; Zhang, G.; Wang, H.; Zhao, D. Experiments and Kinetic Modeling for Reduction of Ferric Oxide-biochar Composite Pellets. ISIJ Int. 2017, 57, 1374–1383. [Google Scholar] [CrossRef]







| Sample Number | w(CaO) % | w(Fe2O3) % | w(SiO2) % |
|---|---|---|---|
| 1 | 25.9 | 74.1 | 0.0 |
| 2 | 25.7 | 73.3 | 1.0 |
| 3 | 25.4 | 72.6 | 2.0 |
| 4 | 25.1 | 71.9 | 3.0 |
| 5 | 24.9 | 71.1 | 4.0 |
| 6 | 24.6 | 70.4 | 5.0 |
| Samples | HV/Gg·m−2 | KIC/(MN·m−2/3) | |
|---|---|---|---|
| Range of Measurement | Average of Measurement | ||
| 1 | 490.8–623.3 | 578.7 | 0.94 |
| 2 | 567.7–747.5 | 681.7 | 1.36 |
| 3 | 639.4–762.8 | 716.3 | 1.39 |
| 4 | 686.3–890.3 | 758.8 | 1.56 |
| 5 | 633.5–744.8 | 681.8 | 2.10 |
| 6 | 600.2–710.9 | 658.8 | 1.83 |
| Symbol | Kinetic Models | Code | G(x) |
|---|---|---|---|
| Reaction-order | Instantaneous nucleation and unidimensional growth | F1 | −ln(1 − x) |
| Diffusion models | One-dimensional diffusion | D1 | x2 |
| Two-dimensional diffusion cylindrical symmetry | D2 | x + (1 − x)ln(1 − x) | |
| Three-dimensional diffusion spherical symmetry, N = 3 | D3 | [1 − (1 − x)1/3]2 | |
| Three-dimensional diffusion cylindrical symmetry | D4 | (1 − 2/3x) − (1 − x)2/3 | |
| Geometrical contraction | Phase boundary reaction, cylindrical symmetry, N = 1/2 | R2 | 1 − (1 − x)1/2 |
| Phase boundary reaction, spherical symmetry, N = 1/3 | R3 | 1 − (1 − x)1/3 | |
| Nucleation models | Random nucleation and subsequent growth, N = 1/2, M = 2 | A2 | [−ln(1 − x)]1/2 |
| Random nucleation and subsequent growth, N = 1/3, M = 3 | A3 | [−ln(1 − x)]1/3 |
| Samples | xm | Ti/°C | Tf/°C |
|---|---|---|---|
| 1 | 0.947 | 588.4 | 875.4 |
| 2 | 0.925 | 578.8 | 987.1 |
| 3 | 0.910 | 569.5 | 1035.2 |
| 4 | 0.918 | 546.5 | 1047.0 |
| 5 | 0.902 | 510.6 | 991.0 |
| 6 | 0.900 | 508.6 | 980.2 |
| Samples | The Best Mechanism Functions | E/(kJ·mol−1) | A/s−1 | R2 |
|---|---|---|---|---|
| 1 | F1 | 167.23 | 663514.90 | 0.995 |
| 2 | F1 | 84.36 | 17.02 | 0.882 |
| 3 | F1 | 87.90 | 29.36 | 0.899 |
| 4 | F1 | 96.02 | 89.62 | 0.910 |
| 5 | F1 | 92.44 | 70.23 | 0.903 |
| 6 | F1 | 107.83 | 568.32 | 0.952 |
| Sample Number | Elements | ||||
|---|---|---|---|---|---|
| Fe | O | Ca | Si | ||
| no.1 | CF | 29.07 | 55.85 | 15.08 | 0.00 |
| CW | 39.10 | 43.76 | 17.15 | 0.00 | |
| Fe | 89.97 | 6.02 | 4.01 | 0.00 | |
| no.2 | CF | 29.59 | 55.13 | 15.28 | 0.00 |
| CW | 35.39 | 46.88 | 17.72 | 0.00 | |
| Fe | 63.33 | 27.94 | 8.57 | 0.14 | |
| SFC | 24.10 | 54.98 | 16.72 | 3.67 | |
| no.3 | CF | 28.43 | 54.76 | 16.80 | 0.00 |
| CW | 35.93 | 51.52 | 12.43 | 0.10 | |
| Fe | 57.18 | 21.69 | 20.97 | 0.14 | |
| SFC | 21.52 | 62.11 | 13.16 | 2.82 | |
| no.4 | CF | 26.33 | 58.08 | 15.59 | 0.00 |
| CW | 37.01 | 50.63 | 12.24 | 0.11 | |
| Fe | 84.60 | 8.05 | 7.35 | 0.00 | |
| SFC | 19.59 | 62.53 | 13.16 | 4.13 | |
| no.5 | CF | 29.59 | 55.13 | 15.28 | 0.00 |
| CW | 36.93 | 50.60 | 12.23 | 0.21 | |
| Fe | 58.81 | 23.29 | 13.87 | 3.52 | |
| SFC | 20.98 | 59.03 | 16.70 | 2.88 | |
| no.6 | CW | 40.79 | 47.44 | 11.77 | 0.00 |
| Fe | 53.95 | 37.42 | 8.62 | 0.00 | |
| SFC | 33.31 | 47.02 | 16.78 | 2.53 | |
© 2019 by the authors. Licensee MDPI, Basel, Switzerland. This article is an open access article distributed under the terms and conditions of the Creative Commons Attribution (CC BY) license (http://creativecommons.org/licenses/by/4.0/).
Share and Cite
Yang, D.; Wang, W.; Xu, R.; Li, J.; Song, M. Effect of SiO2 on the Mechanical Property and Reduction of Calcium Ferrite. Metals 2019, 9, 152. https://doi.org/10.3390/met9020152
Yang D, Wang W, Xu R, Li J, Song M. Effect of SiO2 on the Mechanical Property and Reduction of Calcium Ferrite. Metals. 2019; 9(2):152. https://doi.org/10.3390/met9020152
Chicago/Turabian StyleYang, Daiwei, Wei Wang, Runsheng Xu, Jingxuan Li, and Mingming Song. 2019. "Effect of SiO2 on the Mechanical Property and Reduction of Calcium Ferrite" Metals 9, no. 2: 152. https://doi.org/10.3390/met9020152
APA StyleYang, D., Wang, W., Xu, R., Li, J., & Song, M. (2019). Effect of SiO2 on the Mechanical Property and Reduction of Calcium Ferrite. Metals, 9(2), 152. https://doi.org/10.3390/met9020152
