Abstract
Mn3Ge has a tetragonal Heusler-like D022 crystal structure, exhibiting a large uniaxial magnetic anisotropy and small saturation magnetization due to its ferrimagnetic spin structure; thus, it is a hard ferrimagnet. In this report, epitaxial growth of a Mn3Ge film on a Rh buffer layer was investigated for comparison with that of a film on a Cr buffer layer in terms of the lattice mismatch between Mn3Ge and the buffer layer. The film grown on Rh had much better crystalline quality than that grown on Cr, which can be attributed to the small lattice mismatch. Epitaxial films of Mn3Ge on Rh show somewhat small coercivity (Hc = 12.6 kOe) and a large perpendicular magnetic anisotropy (Ku = 11.6 Merg/cm3), comparable to that of the film grown on Cr.
1. Introduction
Magnetism in Mn-based alloys and compounds has been studied, and various types of Mn-based alloys and compounds are known to exist. Among them, to our knowledge, are four types of hard magnetic Mn-based alloys and compounds that show strong ferro/ferrimagnetism with both a high Curie temperature and high uniaxial magnetic anisotropy in their bulk forms. These are categorized in terms of their crystal structures as follows: (a) Tetragonal L10-type crystal structure, for example, MnAl [1,2] and MnGa [3] (Figure 1a); (b) Tetragonal D022-type crystal structure, for example, Mn3Ga [4,5] and Mn3Ge [6,7,8] (Figure 1b); (c) Tetragonal C38-type crystal structure, for example, MnAlGe [9] (Figure 1c); and (d) Hexagonal B81-type crystal structure, for example, MnBi [10,11] (Figure 1d). The distinct difference between Mn-based magnets and others such as Fe–Pt and Nd–Fe–B is that the former are composed of III and/or IV main group elements, and the latter are composed of heavy transition or rare-earth elements. This fact is important in today’s magnetism-based technology for two reasons. One is related to the developmentof permanent magnets without critical elements, and the other is related to spintronics applications. Hereafter, we focus on the use of hard magnetic Mn-based alloys for spintronics applications; the other topic regarding Mn-based alloys and compounds is discussed in the reviews [12,13].
Figure 1.
(a) Tetragonal L10-type crystal structure, e.g., MnGa and MnAl; (b) Tetragonal D022-type crystal structure, e.g., Mn3Ga and Mn3Ge; (c) Tetragonal C38-type crystal structure, e.g., MnAlGe; (d) Hexagonal B81-type crystal structure, e.g., MnBi; (e) Typical values of Ku as a function of the square of Ms for the c-axis-oriented Mn-based alloy epitaxial films. Solid stars (*) indicate our data; solid squares indicate other data. Values for conventional hard magnetic materials [11,14] are also shown as solid circles (•). Dashed line indicates the boundary between materials with the magnetic easy axis parallel to the film surface and those with the easy axis perpendicular to the film surface (perpendicular magnetization). References for the data are as follows. [a]: [15]; [b]: [16]; [c]: [17], [d]: [18], [e]: [19], [f]: [17], [g], [h]: [20], [i]: [21], [j]: [22], [k]: [23].
Figure 1.
(a) Tetragonal L10-type crystal structure, e.g., MnGa and MnAl; (b) Tetragonal D022-type crystal structure, e.g., Mn3Ga and Mn3Ge; (c) Tetragonal C38-type crystal structure, e.g., MnAlGe; (d) Hexagonal B81-type crystal structure, e.g., MnBi; (e) Typical values of Ku as a function of the square of Ms for the c-axis-oriented Mn-based alloy epitaxial films. Solid stars (*) indicate our data; solid squares indicate other data. Values for conventional hard magnetic materials [11,14] are also shown as solid circles (•). Dashed line indicates the boundary between materials with the magnetic easy axis parallel to the film surface and those with the easy axis perpendicular to the film surface (perpendicular magnetization). References for the data are as follows. [a]: [15]; [b]: [16]; [c]: [17], [d]: [18], [e]: [19], [f]: [17], [g], [h]: [20], [i]: [21], [j]: [22], [k]: [23].

Mn-based hard magnets are very good candidates for magnetic random access memory (MRAM) applications [24,25] because some of them show a small saturation magnetization as well as a large uniaxial magnetic anisotropy. The Gilbert magnetic damping is expected to be smaller than that of hard magnets containing heavy elements because the addition of heavy elements or rare-earth elements to magnetic materials tends to increase the Gilbert damping [25]. For this reason, it is crucial to investigate c-axis-oriented Mn-based hard magnetic films with a high degree of chemical order, as the exchange interaction between Mn atoms is very sensitive to the environment and the nearest-neighbor distance. This situation is distinct from that of other ordered alloys, such as Fe–Pt, which are ferromagnetic even in disordered states.
Figure 1e shows typical Ku and Ms data from our work and from other groups for c-axis-oriented epitaxial films of several Mn-based alloys and the values for conventional hard magnetic materials [14]. The L10 phase of the Mn–Al binary system is metastable, but epitaxial films were reported recently ([a], [b] in Figure 1e) [15,16]. The L10 phase of the Mn–Ga binary system is thermodynamically stable at room temperature (RT), and high-quality films have been grown on several types of buffer layers using various techniques ([c], [d] in Figure 1e) [17,18]. The reported values of Ms and Ku for the films are 190–600 emu/cm3 and 13.65–21.7 Merg/cm3, respectively. The D022 phase of the Mn–Ga binary system is also metastable according to recent reports [26], but high-quality epitaxial films can be obtained, as we reported for the first time [19]. The reported values of Ms and Ku for D022 Mn–Ga films are 140–470 emu/cm3 and 12.4–23.5 Merg/cm3, respectively ([e], [f], [g], [h] in Figure 1e) [17,19,20]. Epitaxial films of C38 MnAlGe can be easily grown; their Ms value is 250 emu/cm3, but Ku is small ([k] in Figure 1e) [23].
Quite recently, (001)-oriented epitaxial films of D022 Mn3Ge have also been reported to show small magnetization of about 73 emu/cm3 and a Ku value of 9.1 Merg/cm3 ([i] in Figure 1e) [21]. Higher-quality films were obtained using a Cr buffer layer and sophisticated control of the Mn composition and growth temperature [22,27]. Films with stoichiometric compositions exhibited a Ku value of 11.8 Merg/cm3 and an Ms value of ∼110 emu/cm3 ([j] in Figure 1e) [22]. D022 Mn3Ge is considered to have the properties most suitable for MRAM [28,29], although few examples of epitaxial growth have been reported. In particular, it is unclear how lattice matching between Mn3Ge and the buffer or substrate affect the magnetic properties of films. For example, films grown on the (001) SrTiO3 substrate, with negligible lattice mismatch, show very broad hysteresis curves with a large coercive force [21], whereas those grown on a Cr buffer layer showed well-squared out-of-plane hysteresis loops and smaller coercivity, even though the lattice mismatch is much greater than that with SrTiO3 [22,27]. In this article, the epitaxial growth of Mn3Ge films on a Rh buffer layer was investigated, as the lattice constant of Rh is identical to that of Mn3Ge and we can compare the result with previously reported films grown on a Cr buffer layer in terms of the lattice mismatch between Mn3Ge and the buffer.
2. Experimental Methods
Samples were prepared on single-crystal MgO (001) substrates by a UHV sputtering apparatus (MPS-3000, Ulvac, Chigasaki, Japan) whose base pressure and work pressure are <2×10−7 Pa and ∼0.1 Pa, respectively. We prepared two types of stacked films having a buffer layer consisting of a Cr single layer or a Cr/Rh bilayer. Before film preparation, the substrates were thermally flushed at 700 °C in the sputtering chamber. Cr layers 40 nm thick were deposited on the substrates at RT and subsequently annealed at 700 °C to form a flat surface. A 20-nm-thick Rh layer was deposited at RT on the Cr layer. Mn3Ge layers 130 nm thick were deposited by a co-sputtering technique from simple Mn and Ge targets on the substrates with the buffer layers, which were heated at 400 °C. Finally, 3-nm-thick MgO layers were deposited as cap layers. Schematic illustrations of the films are shown in Figure 2. The samples were characterized according to their surface roughness, crystal structure, magnetization hysteresis curves, and magnetic anisotropy by an ex-situ atomic force microscope (AFM) (SII NanoTechnology, SPI-3800N/SPA400, Chiba, Japan), X-ray diffractometer (XRD) (Rigaku, SmartLab, Akishima, Japan), vibrating sample magnetometer, and magnetic torquemeter, respectively. All the measurements were conducted at RT and ambient pressure.
Figure 2.
Schematic illustrations of films with (a) Cr and (b) Cr/Rh buffer layer.
Figure 2.
Schematic illustrations of films with (a) Cr and (b) Cr/Rh buffer layer.

3. Experimental Results and Discussion
Figure 3a,b show AFM images of the surfaces of the Cr and Cr/Rh buffer layers, respectively. Both show atomically flat surfaces whose Ra roughness is smaller than 0.2 nm. Figure 3c,d show AFM images of Mn3Ge layers on the Cr and Cr/Rh buffer layers, respectively. Their roughness is comparable, although the grain sizes differ significantly, which implies a difference in their crystallinity.
Figure 3.
Atomic force microscope (AFM) images of surfaces of (a) Cr buffer layer; (b) Cr/Rh buffer layer; (c) Mn3Ge on Cr buffer layer; and (d) Mn3Ge on Cr/Rh buffer layer.
Figure 3.
Atomic force microscope (AFM) images of surfaces of (a) Cr buffer layer; (b) Cr/Rh buffer layer; (c) Mn3Ge on Cr buffer layer; and (d) Mn3Ge on Cr/Rh buffer layer.

Figure 4.
(a) Full X-ray diffractometer (XRD) profiles of films with Cr (blue) and Cr/Rh (red) buffer layers; and the pole figures (φ-scan) of (b) D022-Mn3Ge (112) (c) Rh (111); and (d) MgO substrate (111); Magnifications of the XRD curve of (e) D022-Mn3Ge (002); (f) D022-Mn3Ge (004), and (g) Cr (200) peaks.
Figure 4.
(a) Full X-ray diffractometer (XRD) profiles of films with Cr (blue) and Cr/Rh (red) buffer layers; and the pole figures (φ-scan) of (b) D022-Mn3Ge (112) (c) Rh (111); and (d) MgO substrate (111); Magnifications of the XRD curve of (e) D022-Mn3Ge (002); (f) D022-Mn3Ge (004), and (g) Cr (200) peaks.

Figure 4a shows the XRD profiles of the films with Cr and Cr/Rh buffer layers. Peaks marked by asterisks are the background signals, such as those from the substrate and X-ray tube. Only the (200) peaks from Cr and Rh are observed for the films, indicating that both buffer layers are (001)-oriented as a result of epitaxial growth on their MgO (001) substrates. For the Mn3Ge layer, only the (002) and (004) peaks from D022-structured Mn3Ge were observed, which indicated that the Mn3Ge layers has the D022 structure and a completely (001)-preferred crystallographic orientation. Figure 4b–d show pole figures (φ-scans) of Mn3Ge, Rh, and MgO substrate, and those exhibit the four-fold symmetry. The φ value of the (111) peak from the MgO (001) substrate was the same as that of the (112) peak from D022-Mn3Ge and the (111) peak from Rh but was shifted by 45°from the (222) peak of Cr (not shown here), indicating the following epitaxial relationship: MgO[100](001)||Cr[110](001)||Rh[100](001)||D022-Mn3Ge[100](001). Figure 4e–g show magnified profiles of the Mn3Ge (002), Mn3Ge (004), and Cr (200) peaks, respectively. Note that the vertical axis is on a linear scale, whereas that of Figure 4a is on a logarithmic scale. The (002) and (004) peaks from Mn3Ge for the film with the Cr/Rh buffer layer are significantly more intense than those from the film with the Cr buffer layer. This indicates that the crystallinity of Mn3Ge on the Cr/Rh layer is better than that on the Cr buffer layer. Because the intensity of the Cr (200) peak is comparable, the effect of interdiffusion between the Cr and Mn3Ge layers is absent in the film. Hence, the Cr/Rh buffer layer intrinsically improves the crystallinity of the Mn3Ge above. This is possibly the result of the reduction in the lattice mismatch between the buffer layer and Mn3Ge layer due to the presence of Rh. Assuming that the epitaxial distortion in the Rh layer due to the lattice mismatch between Cr (a = 2.885 Å in bulk) and Rh (a = 3.805 Å in bulk) is sufficiently relaxed, the lattice mismatch between the buffer layer and the Mn3Ge (a = 3.80 Å in bulk) layer is reduced from 6.86% to 0.13% by the Rh layer. Although a flat surface is expected as the result of layer-by-layer growth due to the absence of distortion energy for such a small lattice mismatch, the Mn3Ge on Rh shows a rough surface whose Ra value is comparable with that of the film on Cr, as shown in the AFM images. The large roughness may be the result of the poor wettability of Rh for Mn3Ge. The use of a surfactant may be effective for obtaining a smooth surface of Mn3Ge on the Cr/Rh buffer layer [30,31].
Figure 5 shows magnetization field (M–H) curves of Mn3Ge on Cr and Cr/Rh buffer layers. The saturation magnetization (Ms) for the film with the Cr/Rh buffer layer (115 emu/cm3) is comparable with that for the film with the Cr buffer layer (100 emu/cm3), whereas the former has a lower coercivity (Hc = 12.6 kOe) than the latter (14.9 kOe). This is consistent with the previously reported experimental results, which suggested that highly crystalline Mn3Ge has a comparatively high Ms and low Hc [22,27].
Figure 5.
Magnetization field curves for films with Cr (blue) and Cr/Rh (red) buffer layer.
Figure 5.
Magnetization field curves for films with Cr (blue) and Cr/Rh (red) buffer layer.

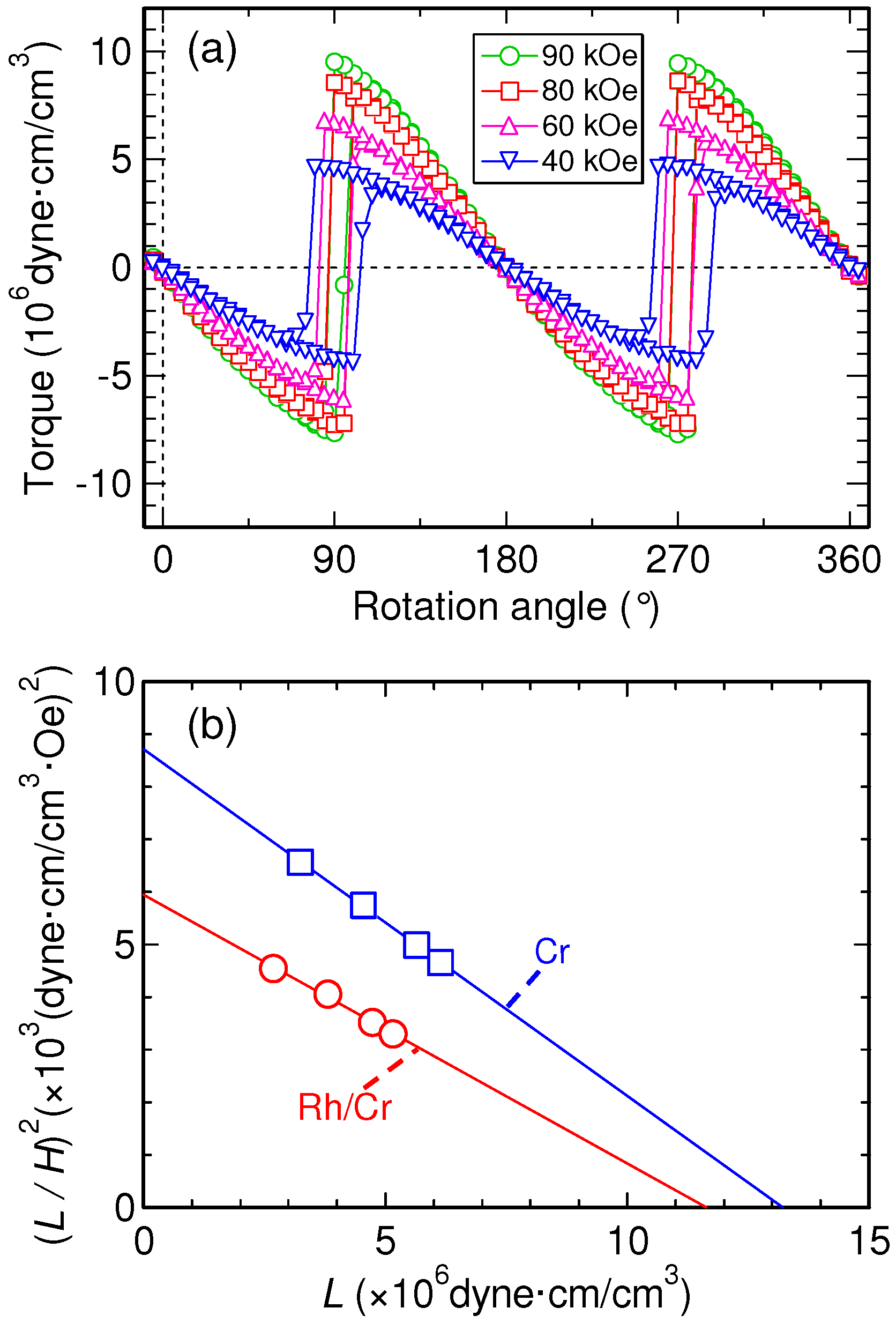
Figure 6a shows the magnetic torque curve of Mn3Ge with the Cr/Rh buffer layer measured at various applied fields. The curves have a sawtooth-like shape, which indicates that the Mn3Ge is not magnetically saturated during the measurements. In this case, a special method is needed to estimate the anisotropy constant. We employed the Miyajima method (45°method) [32]. Figure 6b shows plots based on the Miyajima method for the films on the Cr and Cr/Rh buffer layers; their x intercepts give the torque values at an infinite field (completely saturated state). From these plots, the anisotropy constants (Kus) are estimated to be 13.2 and 11.6 Merg/cm3 for the films on the Cr and Cr/Rh buffer layers, respectively Interestingly, the film on the Cr/Rh buffer layer has a lower Ku value than that on the Cr buffer layer despite its better crystallinity. The origin of this low Ku is not yet clear. One possibility is the difference between the optimal composition of the Mn–Ge layer on the Cr and Cr/Rh layers. Mn–Ge has different optimal compositions for obtaining D022 structure and the best magnetic properties, e.g., Mn3.4Ge in the bulk state [33], Mn3.55Ge in the thin film state on MgO (001) [28], and Mn3Ge in the thin film state on Cr (001) [22,27]. It may be necessary to optimize the composition of the Mn3Ge layer to obtain the best magnetic properties on a Cr/Rh buffer layer.
Figure 6.
(a) Magnetic torque curves measured at various applied fields for the film with a Cr/Rh buffer layer; (b) Miyajima plot for films with Cr (blue) and Cr/Rh (red) buffer layers.
Figure 6.
(a) Magnetic torque curves measured at various applied fields for the film with a Cr/Rh buffer layer; (b) Miyajima plot for films with Cr (blue) and Cr/Rh (red) buffer layers.

4. Conclusions
We prepared Mn3Ge layers on Cr and Cr/Rh buffered MgO (001) substrates and characterized their surface roughness, crystal structure, magnetization field curves, and magnetic anisotropy constants. The crystallinity of the epitaxially grown Mn3Ge layer on Cr/Rh was better than that of the layer grown on the Cr buffer layer. It was demonstrated that the epitaxial relationship among MgO, Cr, Rh, and Mn3Ge is MgO[100](001)||Cr[110](001)||Rh[100](001)||D022-Mn3Ge[100](001). The saturation magnetization and coercivity obtained from magnetization field curves also suggested that Mn3Ge on Cr/Rh had better crystallinity than that on Cr. Magnetic torque measurements exhibited that the anisotropy constant of Mn3Ge on the Cr/Rh buffer layer is comparable to that of the film on the Cr buffer layer despite the better crystallinity of the former.
Acknowledgments
This work was supported in part by the Development of an infrastructure for normally-off computing technology project from NEDO and the Asahi glass foundation.
Author Contributions
A.S. and K.S. performed the experiments. A.S., K.S., T.M., and S.M. discussed the experimental results. A.S. and S.M. wrote the manuscript. All the authors agree with the manuscript.
Conflicts of Interest
The authors declare no conflict of interest.
References
- Kono, H. On the ferromagnetic phase in manganese-aluminum system. J. Phys. Soc. Jpn. 1958, 13, 1444–1451. [Google Scholar] [CrossRef]
- Koch, A.J.J.; Hokkeling, P.; de Vos, K.J. New material for permanent magnets on a base of Mn and Al. J. Appl. Phys. 1960, 31, S75–S77. [Google Scholar] [CrossRef]
- Bither, T.A.; Cloud, W.H. Magnetic tetragonal δ phase in the Mn-Ga binary. J. Appl. Phys. 1965, 36, 1501–1502. [Google Scholar] [CrossRef]
- Kr´en, E.; Ka´da´r, G. Neutron diffraction study of Mn3Ga. Solid State Commun. 1970, 8, 1653–1655. [Google Scholar] [CrossRef]
- Niida, H.; Hori, T.; Onodera, H.; Yamaguchi, Y.; Nakagawa, Y. Magnetization and coercivity of Mn3−δGa alloys with a D022-type structure. J. Appl. Phys. 1996, 79, 5946–5948. [Google Scholar] [CrossRef]
- Ohoyama, T.; Yasukochi, K.; Kanematsu, K. A new phase of an intermetallic compound Mn3.4Ge and its magnetism. J. Phys. Soc. Jpn. 1961, 16, 352–353. [Google Scholar] [CrossRef]
- Ohoyama, T. X-ray and magnetic studies of the manganese-germanium system. J. Phys. Soc. Jpn. 1961, 16, 1995–2002. [Google Scholar] [CrossRef]
- Yamada, N. Atomic magnetic moment and exchange interaction between Mn atoms in intermetallic compounds in Mn-Ge system. J. Phys. Soc. Jpn. 1990, 101, 273–288. [Google Scholar] [CrossRef]
- Wernick, J.H.; Haszko, S.E.; Romanow, W.J. New magnetic ternary compound with a high crystalline anisotropy. J. Appl. Phys. 1961, 32, 2495. [Google Scholar] [CrossRef]
- Guillaud, C. Hexagonal crystals of Mn3−δI. Ph.D. Thesis, University of Strasbourg, Strasbourg, France, 1943. [Google Scholar]
- Williams, H.J.; Sherwood, R.C.; Boothby, O.L. Magnetostriction and magnetic anisotropy of MnBi. J. Appl. Phys. 1957, 28, 445–447. [Google Scholar] [CrossRef]
- Zhu, L.; Zhao, J. Perpendicularly magnetized MnxGa films: Promising materials for future spintronic devices, magnetic recording and permanent magnets. Appl. Phys. A 2013, 111, 379–387. [Google Scholar] [CrossRef]
- Coey, J.M.D. New permanent magnets; manganese compounds. J. Phys. Condens. Matter 2014, 26, 064211-1–064211-6. [Google Scholar] [CrossRef] [PubMed]
- Weller, D.; Moser, A.; Folks, L.; Best, M.E.; Lee, W.; Toney, M.F.; Schwickert, M.; Thiele, J.-U.; Doerner, M.F. High Ku materials approach to 100 Gbits/in2. IEEE Trans. Magn. 2000, 36, 10–15. [Google Scholar] [CrossRef]
- Hosoda, M.; Oogane, M.; Kubota, M.; Kubota, T.; Saruyama, H.; Iihama, S.; Naganuma, H.; Ando, Y. Fabrication of L10-MnAl perpendicularly magnetized thin films for perpendicular magnetic tunnel junctions. J. Appl. Phys. 2012, 111, 07A324-1–07A324-3. [Google Scholar] [CrossRef]
- Nie, S.H.; Zhu, L.J.; Lu, J.; Pan, D.; Wang, H.L.; Yu, X.Z.; Xiao, J.X.; Zhao, J.H. Perpendicularly magnetized τ-MnAl (001) thin films epitaxied on GaAs. Appl. Phys. Lett. 2013, 102, 152405-1–152405-4. [Google Scholar] [CrossRef]
- Mizukami, S.; Wu, F.; Sakuma, A.; Walowski, J.; Watanabe, D.; Kubota, T.; Zhang, X.; Naganuma, H.; Oogane, M.; Ando, Y.; et al. Long-lived ultrafast spin precession in manganese alloys films with a large perpendicular magnetic anisotropy. Phys. Rev. Lett. 2011, 106, 117201-1–117201-4. [Google Scholar] [CrossRef] [PubMed]
- Zhu, L.; Nie, S.; Meng, K.; Pan, D.; Zhao, J.; Zheng, H. Multifunctional L10-Mn1.5Ga films with ultrahigh coercivity, giant perpendicular magnetocrystalline anisotropy and large magnetic energy product. Adv. Mater. 2012, 24, 4547–4551. [Google Scholar] [CrossRef] [PubMed]
- Wu, F.; Mizukami, S.; Watanabe, D.; Naganuma, H.; Oogane, M.; Ando, Y.; Miyazaki, T. Epitaxial Mn2.5Ga thin films with giant perpendicular magnetic anisotropy for spintronic devices. Appl. Phys. Lett. 2009, 94, 122503-1–122503-3. [Google Scholar] [CrossRef]
- Kurt, H.; Rode, K.; Venkatesan, M.; Stamenov, P.; Coey, J.M.D. Mn3−xGa (0 ≤ x ≤ 1): Multifunctional thin film materials for spintronics and magnetic recording. Phys. Status Solidi B 2011, 248, 2338–2344. [Google Scholar] [CrossRef]
- Kurt, H.; Baadji, N.; Rode, K.; Venkatesan, M.; Stamenov, P.; Sanvito, S.; Coey, J.M.D. Magnetic and electronic properties of D022-Mn3Ge (001) films. Appl. Phys. Lett. 2012, 101, 132410-1–132410-3. [Google Scholar] [CrossRef]
- Sugihara, A.; Mizukami, S.; Yamada, Y.; Koike, K.; Miyazaki, T. High perpendicular magnetic anisotropy in D022-Mn3+xGe tetragonal Heusler alloy films. Appl. Phys. Lett. 2014, 104, 132404-1–132404-4. [Google Scholar] [CrossRef]
- Mizukami, S.; Sakuma, A.; Kubota, T.; Kondo, Y.; Sugihara, A.; Miyazaki, T. Fast magnetization precession for perpendicularly magnetized MnAlGe epitaxial films with atomic layered structures. Appl. Phys. Lett. 2013, 103, 142405-1–142405-4. [Google Scholar] [CrossRef]
- Yoda, H.; Kishi, T.; Nagase, T.; Yoshikawa, M.; Nishiyama, K.; Kitagawa, E.; Daibou, T.; Amano, M.; Shimomura, N.; Takahashi, S.; et al. High efficient spin transfer torque writing on perpendicular magnetic tunnel junctions for high density MRAMs. Curr. Appl. Phys. 2010, 10, e87–e89. [Google Scholar] [CrossRef]
- Ma, Q.; Sugihara, A.; Suzuki, K.; Zhang, X.; Miyazaki, T.; Mizukami, S. Tetragonal Heusler-like Mn-Ga alloys based perpendicular magnetic tunnel junctions. Spin 2014, 4, 1440024-1–1440024-14. [Google Scholar] [CrossRef]
- Minakuchi, K.; Umetsu, R.Y.; Ishida, K.; Kainuma, R. Phase equilibria in the Mn-rich portion of Mn-Ga binary system. J. Alloys Compd. 2012, 537, 332–337. [Google Scholar] [CrossRef]
- Sugihara, A.; Suzuki, K.Z.; Miyazaki, T.; Mizukami, S. Structure and magnetic properties of tetragonal Heusler D022 Mn3Ge compound epitaxial films with high perpendicular magnetic anisotropy. J. Phys. D 2015, 48, 164009-1–164009-5. [Google Scholar] [CrossRef]
- Mizukami, S.; Sakuma, A.; Sugihara, A.; Kubota, T.; Kondo, Y.; Tsuchiura, H.; Miyazaki, T. Tetragonal D022 Mn3+xGe epitaxial films grown on MgO(100) with a large perpendicular magnetic anisotropy. Appl. Phys. Express 2013, 6, 123002-1–123002-4. [Google Scholar] [CrossRef]
- Miura, Y.; Shirai, M. Theoretical study on tunneling magnetoresistance of magnetic tunnel tunctions with D022-Mn3Z (Z = Ga, Ge). IEEE. Trans. Magn. 2014, 50, 1400504-1–1400504-4. [Google Scholar] [CrossRef]
- Van der Vegt, H.A.; van Pinxteren, H.M.; Lohmeier, M.; Vlieg, E. Surfactant-induced layer-by-layer growth of Ag on Ag(111). Phys. Rev. Lett. 1992, 68, 3335–3338. [Google Scholar] [CrossRef] [PubMed]
- Esch, S.; Hohage, M.; Michely, T.; Comsa, G. Origin of oxygen induced layer-by-layer growth in homoepitaxy on Pt(111). Phys. Rev. Lett. 1994, 72, 518–521. [Google Scholar] [CrossRef] [PubMed]
- Miyajima, H.; Sato, K.; Mizoguchi, T. Simple analysis of torque measurement of magnetic thin films. J. Appl. Phys. 1974, 47, 4669–4671. [Google Scholar] [CrossRef]
- Gokhale, A.B.; Abbaschian, R. The Ge-Mn (Germanium-Manganese) system. Bull. Alloy Phase Diagr. 1990, 11, 460–468. [Google Scholar] [CrossRef]
© 2015 by the authors; licensee MDPI, Basel, Switzerland. This article is an open access article distributed under the terms and conditions of the Creative Commons Attribution license (http://creativecommons.org/licenses/by/4.0/).