Abstract
In this study, the substitution of Mg with Zr in La0.7Mg0.3(Ni0.85Co0.15)3.5 was carried out with the purpose of improving the electrochemical performances. The structural and hydrogen storage properties in both gas-solid reaction and the electrochemical system were systematically studied on La0.7(Mg0.3−xZrx)(Ni0.85Co0.15)3.5 (x = 0.05, 0.1, 0.2, 0.3) alloys. Each tested alloy is composed of LaNi3 phase, LaNi5 phase and ZrNi3 phase with different phase abundances. The electrochemical studies indicated that all Zr-substituted anodes possessed a much higher cycling capacity retention than pristine La0.7Mg0.3(Ni0.85Co0.15)3.5. However, the maximum discharge capacity was reduced with the increase of Zr content. The potential-step tests showed that the diffusion of hydrogen atoms inside the anodes was decelerated after the introduction of Zr.
1. Introduction
Nowadays Ni/MH rechargeable batteries are employed diffusely in all kinds of portable electronic products because of longer working life and less environmental pollution [1,2]. Many classes of alloys have been used as anodes in Ni/MH batteries in past decades. At the very beginning, the first case was AB5-type alloys contained rare earth elements [3]. However, the lower theoretical discharge capacity impedes their practical application. Subsequently, Zr-based or Ti-based alloys [4], V-based solid solution alloys [5] and Mg-based amorphous alloys [6,7] were extensively studied. However, Ti-based or Zr-based anodes need too many charge/discharge cycles to achieve their maximum discharge capacities, while Mg-based anodes quickly lose their discharge capacities because of the corrosion of Mg in KOH electrolyte [8,9,10,11].
In 2000, a newly developed alloys with the chemical composition of RMg2Ni9 (R represents Ca or rare earth elements) were reported by Kadir et al. [10,11,12,13], among which (La0.65Ca0.35)(Mg1.32Ca0.68)Ni9 had a relatively high capacity of 1.87 wt% H2 in gas-solid system at 283 K under 3.30 MPa H2 pressure. Chen and coworkers demonstrated that a much higher discharge capacity of 356 mAh/g was achieved for LaCaMgNi9 alloy [8]. For the case of nonstoichiometric La–Mg–Ni–Co-type alloys, the discharge capacity could reach to an extremely high value of 410 mAh/g for La0.7Mg0.3Ni2.8Co0.5 alloy with the comparatively good cycle durability during the initial 30 cycles [14]. Furthermore, the partial substitution of Ni with Mn or Al could give rise to an enhancement of the electrochemical properties [15,16,17]. Although the overall electrochemical properties are improved to some extent in the aforementioned literatures, the charge/discharge cyclic stability and the high-rate dischargeability (HRD) of anodes are urgently requiring further improvement. In general, the elemental substitution to form multi-component alloy is perceived as a very accessible method to enhance the electrochemical performances [18,19,20]. Metallic Zr, as an element for absorbing hydrogen, tends to form an oxide passive film insoluble in 6 M KOH electrolyte, which prevents further corrosion of anodes [21]. This was evidenced in Mg-based alloys, in which the introduction of Zr could result in a remarkable amelioration of the cyclic life [21] and maximum discharge capacity [22].
In this paper, Zr was selected as a partially substituting element for Mg with the purpose of the performance enhancement of La–Mg–Ni–Co-type alloys as anodes in Ni/MH battery. The structural and hydrogen storage properties in both the electrochemical system and gas-solid reaction of La0.7(Mg0.3–xZrx)(Ni0.85Co0.15)3.5 (x = 0.05–0.3) alloys were systematically studied.
2. Experimental Section
2.1. Materials Preparation
The purity of all raw materials is above 99%. Under argon atmosphere, La0.7(Mg0.3–xZrx)(Ni0.85Co0.15)3.5 (x = 0.05, 0.1, 0.2, 0.3) hydrogen storage alloys were prepared by magnetic levitation melting in a water-cooled copper crucible. To obtain homogeneous samples, the ingots were turned over and melted again for three times. Then, the ingots were mechanically crushed and ground into the powder using a mortar and pestle. The global chemical composition of each alloy was measured on an ICP–OES (Optima 8000, Perkin Elmer Inc., Waltham, MA, USA).
2.2. Materials Characterization
The phase structure was characterized on a PANalytical X’pert diffractometer with Cu Kα radiation. The diffraction patterns were analyzed using Topas software [23]. P–C isotherms were determined by a conventional Sievert-type apparatus. The activation was performed at 303 K under 3 MPa H2 pressure. The following dehydrogenation was carried out at 573 K under dynamic vacuum for 3 h. After repeated three cycles, P–C isotherms were carried out at 303 K.
2.3. Electrochemical Tests
Each tested anode was fabricated through homogenously mixing alloy powder with Ni powder. The mixture was then pressed into a pellet with a diameter of 10 mm under a pressure of 30 MPa. Each side of the anode pellet was coated with a rounded foam nickel sheet of about 25 mm in a diameter, then pressed at 6 MPa and tightly spot-welded at the edge of foam nickel. A nickel lead wire was attached to this pressed foam nickel sheet by spot welding. The electrochemical measurements were performed in a standard open trielectrode electrolysis cell comprising a working anode of alloy pellet studied, a sintered Ni(OH)2/NiOOH counter electrode, and a Hg/HgO reference electrode immersed in 6 M KOH electrolyte. High-rate dischargeability (HRD) and charge/discharge cycles were tested on an automatic instrument (LAND). The anodes were charged for 3 h at a current density of 300 mAh/g, rested for 5 min and then discharged to the cut-off potential of −0.6 V versus Hg/HgO reference electrode at a current density of 100 mAh/g. To determine the high rate dischargeability of the alloy anodes, the discharge capacities at different discharge current density were measured. The other electrochemical measurements including linear polarization (LP), electrochemical impedance spectroscopy (EIS), anodic polarization (AP) and potential-step were conducted on a Zahner Elektrik IM6e electrochemical workstation. AP and LP were measured by scanning the anode potential at a rate of 0.1 mV/s from −5 to 5 mV (versus open circuit potential) and 5 mV/s from 0 to 600 mV (versus open circuit potential) at 50% depth of discharge (DOD), respectively. EIS was conducted from 10 kHz to 5 mHz with an amplitude of 5 mV versus open circuit potential at 50% DOD. Before EIS tests, the anodes were fully activated by charge-discharge for three cycles.
3. Results and Discussion
XRD patterns for La0.7(Mg0.3–xZrx)(Ni0.85Co0.15)3.5 alloys were shown in Figure 1. Each alloy is composed of LaNi3 phase and LaNi5 phase except for a residual phase of ZrNi3. The detailed information for crystal structure including phase composition, phase abundance, cell constants, and cell volume are summarized in Table 1. The solubility of Zr in LaNi5 phase is very limited [24] and can be seen from the negligible change in the cell volume of LaNi5 phase (Table 1). However, Zr must participate in LaNi3 phase which is obviously from the enlarged unit cell of LaNi3 phase due to Zr partially replacement of the smaller Mg and/or entrance into the Ni-site from x = 0.05 to 0.3. With Zr content increasing from 0.05 to 0.3, the phase abundance of LaNi3 increases, while the phase abundance of LaNi5 decreases. This indicates that the introduction of Zr into alloys facilitates the formation of LaNi3 phase, which is different from the gradual substitution of La with Zr in La–Mg–Ni-type alloys [25]. It is noted that the phase abundance of non-hydrogen-absorbing phase (ZrNi3) increases with x increasing. Therefore, such a variation of phase abundance will give rise to some effects on the electrochemical properties and gaseous hydrogen storage of La0.7(Mg0.3–xZrx)(Ni0.85Co0.15)3.5 alloys.
Figure 1.
XRD patterns of La0.7(Mg0.3–xZrx)(Ni0.85Co0.15)3.5 alloys.
Figure 1.
XRD patterns of La0.7(Mg0.3–xZrx)(Ni0.85Co0.15)3.5 alloys.

Table 1.
The detailed structural information of La0.7(Mg0.3–xZrx)(Ni0.85Co0.15)3.5 alloys.
| Samples | Phases | Space group (no.) | Phase abundance (wt%) | Lattice parameters (Å) | Cell volume (Å3) | Parameters of fit | |
|---|---|---|---|---|---|---|---|
| a | c | ||||||
| x = 0.05 | LaNi5 | P6/mmm (191) | 65.5 | 5.0301(5) | 3.9906(5) | 87.44(2) | Rwp = 2.7; Rp = 2.9 |
| LaNi3 | R-3m (166) | 24.1 | 5.0388(1) | 24.391(1) | 536.3(3) | ||
| ZrNi3 | P63/mmc (194) | 10.4 | 5.2805(3) | 4.2780(3) | 103.3(1) | ||
| x = 0.1 | LaNi5 | P6/mmm (191) | 49.1 | 5.0255(6) | 3.9862(5) | 87.19(2) | Rwp = 3.0; Rp = 3.4 |
| LaNi3 | R-3m (166) | 35.3 | 5.0484(1) | 24.601(1) | 543.0(3) | ||
| ZrNi3 | P63/mmc (194) | 15.6 | 5.3003(4) | 4.2805(6) | 104.1(2) | ||
| x = 0.2 | LaNi5 | P6/mmm (191) | 33.2 | 5.0232(6) | 3.9832(4) | 87.04(2) | Rwp = 4.8; Rp = 5.0 |
| LaNi3 | R-3m (166) | 40.6 | 5.0645(2) | 24.824(1) | 551.4(5) | ||
| ZrNi3 | P63/mmc (194) | 26.2 | 5.3166(3) | 4.2858(6) | 104.9(20) | ||
| x = 0.3 | LaNi5 | P6/mmm (191) | 23.5 | 5.0300(1) | 3.9872(8) | 87.36(4) | Rwp = 3.9; Rp = 4.3 |
| LaNi3 | R-3m (166) | 47.8 | 5.0797(2) | 25.087(1) | 560.6(4) | ||
| ZrNi3 | P63/mmc (194) | 28.7 | 5.4320(1) | 3.9806(1) | 101.7(5) | ||
To understand the hydrogen storage properties of La0.7(Mg0.3–xZrx)(Ni0.85Co0.15)3.5 alloys in gas-solid system, P–C isotherms were conducted through a Sieverts’ method [26] at 303 K. As shown in Figure 2, the plateau pressure clearly increases while the absorbed hydrogen capacity decreases from 1.51 (x = 0.05) to 1.02 wt% (x = 0.3), which is related to the gradual increase of the amount for non-hydrogen-absorbing ZrNi3 in the alloys.
Figure 2.
P–C isotherms of La0.7(Mg0.3–xZrx)(Ni0.85Co0.15)3.5 alloys.
Figure 2.
P–C isotherms of La0.7(Mg0.3–xZrx)(Ni0.85Co0.15)3.5 alloys.

Figure 3 shows charge/discharge cyclic life for La0.7(Mg0.3–xZrx)(Ni0.85Co0.15)3.5 anodes, and Table 2 lists their detailed electrochemical properties. All anodes could achieve their maximum discharge capacities (denoted as Cmax) within three cycles, indicating that they can be easily activated. The Cmax is reduced from 341.1 (x = 0.05) to 176.4 mAh/g (x = 0.3), which agrees well with the results obtained from P–C isotherms. Two factors may be responsible for this variation. First, LaMg-rich particles in the alloys serve as preferred sites for absorbing hydrogen, which is beneficial to the improvement of the discharge capacity [27]. As Mg content in the alloy is reduced by increasing substitution with Zr, the number of LaMg-rich particles is reduced, which gives rise to the gradual decrease of the discharge capacity. Second, the increasing amount of non-hydrogen-absorbing ZrNi3 could also result in the reduction of the discharge capacity. Figure 4 indicates that the capacities in both gas-solid hydrogen storage and the electrochemical reaction have similar reduction with increasing abundance of ZrNi3 phase. However, the cyclic stability is gradually improved with increasing content of Zr. For instance, the capacity retention after 60 cycles (denoted as C60/Cmax) increases from 53.9% (x = 0.05) to 60.8% (x = 0.2), then reduces to 58.4% (x = 0.3). Note that C60/Cmax of all anodes with Zr-substitution in our study is higher than that of Zr-free anode (C60/Cmax = 45.9%) [28]. In addition, C100/Cmax is still kept at 40.3% for anode with x = 0.1. As we all know, the capacity fading is mainly resulting from the particle pulverization upon cycling and the surface oxidation and/or corrosion of Mg, Ni and La elements [29]. In the La–Mg–Ni system, Mg and Ni were involved in a mixed hydroxide of (Mg, Ni)(OH)2 and La transformed into nanoporous La(OH)3 needles [30]. The cycling improvement in this study could be related to the fact that the extent of oxidation/corrosion of Mg and La is reduced because ZrO2 was formed as a passive film on anode surface. As Zr content increases, the thickness of formed ZrO2 film gradually increases at x = 0.05–0.2, which prevents the corrosion/oxidation of La and Mg and thus gives rise to an improvement of cyclic stability [25]. Similar improvements are observed in Zr-substituted Mg-based [21] and Ti-based anodes [31].
Figure 3.
Cyclic life curves of La0.7(Mg0.3–xZrx)(Ni0.85Co0.15)3.5 anodes.
Figure 3.
Cyclic life curves of La0.7(Mg0.3–xZrx)(Ni0.85Co0.15)3.5 anodes.

Figure 4.
Relationship between hydrogen capacity (discharge capacity) and phase abundance of ZrNi3.
Figure 4.
Relationship between hydrogen capacity (discharge capacity) and phase abundance of ZrNi3.

Table 2.
The electrochemical and gaseous hydrogen storage properties of La0.7(Mg0.3–xZrx)(Ni0.85Co0.15)3.5 alloys.
| Samples | H2 (wt.%) | Cmax (mAh/g) | Na | C60/Cmax (%) | HRD800 (%) |
|---|---|---|---|---|---|
| x = 0.05 | 1.51 ± 0.02 | 341.1 ± 0.5 | 1 | 53.9 ± 0.5 | 94.2 ± 0.8 |
| x = 0.1 | 1.45 ± 0.01 | 312.8 ± 0.8 | 1 | 55.2 ± 0.3 | 90.6 ± 0.6 |
| x = 0.2 | 1.23 ± 0.03 | 215.5 ± 0.6 | 3 | 60.8 ± 0.6 | 82.5 ± 0.3 |
| x = 0.3 | 1.02 ± 0.03 | 176.4 ± 0.4 | 2 | 58.4 ± 0.7 | 78.9 ± 0.4 |
Figure 5 shows HRD of La0.7(Mg0.3–xZrx)(Ni0.85Co0.15)3.5 anodes at several higher discharge current densities. At 800 mA/g, HRD is reduced from 94.2% (x = 0.05) to 78.9% (x = 0.3). As a rule of thumb, HRD is an important parameter for Ni/MH batteries, which is principally determined by the anode reaction kinetics. The detailed kinetic properties can be jointly described using the exchange current density I0, the limiting current density IL, and the hydrogen diffusion coefficient D, which will be discussed in the forthcoming sections.
Figure 5.
High-rate dischargeability (HRD) of La0.7(Mg0.3–xZrx)(Ni0.85Co0.15)3.5 anodes.
Figure 5.
High-rate dischargeability (HRD) of La0.7(Mg0.3–xZrx)(Ni0.85Co0.15)3.5 anodes.

Figure 6 shows EIS of La0.7(Mg0.3–xZrx)(Ni0.85Co0.15)3.5 anodes. Each EIS is comprised of a tilted line and two semicircles. Based on Kuriyama’s interpretation analyzed by an equivalent circuit (see the inset in Figure 6), the middle-frequency semicircle was ascribed to charge-transfer resistance [32]. Clearly shown in Figure 6, the radius of the middle-frequency semicircle is first increased to x = 0.2 and then remarkably reduced at x = 0.3, which demonstrates that the charge-transfer reaction resistance has the same variation trend. It was reported that a thicker passive film on anode surface gives rise to a higher charge-transfer reaction resistance [21]. In the present work, with the increase of Zr content, the passive film is gradually thickening, which blocks the charge-transfer reaction when x increases to x = 0.2. For the case of x = 0.3, Mg was completely substituted by Zr, the charge-transfer resistance is reduced to a certain extent, which can be related to the absence of MgO and/or Mg(OH)2. As a consequence, the thickness of passive film is reduced at x = 0.3 and thus the charge-transfer reaction is facilitated.
Figure 6.
Electrochemical impedance spectroscopy (EIS) of La0.7(Mg0.3–xZrx)(Ni0.85Co0.15)3.5 anodes. The insets show the enlargement of EIS in high-frequency region and an equivalent circuit.
Figure 6.
Electrochemical impedance spectroscopy (EIS) of La0.7(Mg0.3–xZrx)(Ni0.85Co0.15)3.5 anodes. The insets show the enlargement of EIS in high-frequency region and an equivalent circuit.

Table 3.
Several parameters related to the anode reaction kinetics of La0.7(Mg0.3–xZrx)(Ni0.85Co0.15)3.5 alloys.
| Samples | Polarization resistance, Rp (mΩ) | Exchange current density, I0 (mA/g) | Limiting current density, IL (mA/g) | Hydrogen diffusion coefficient, D (cm2/s) |
|---|---|---|---|---|
| x = 0.05 | 132.9 ± 1.0 | 196.5 ± 0.6 | 3432.1 ± 8.1 | (2.85 ± 0.04) × 10−10 |
| x = 0.1 | 141.7 ± 0.8 | 184.3 ± 0.8 | 2871.1 ± 5.4 | (2.62 ± 0.02) × 10−10 |
| x = 0.2 | 148.7 ± 0.4 | 175.6 ± 0.7 | 2802.4 ± 3.4 | (2.60 ± 0.01) × 10−10 |
| x = 0.3 | 80.4 ± 0.7 | 324.7 ± 0.9 | 2489.4 ± 9.4 | (2.39 ± 0.03) × 10−10 |
For the anode reaction kinetics, I0 is another important parameter [33,34], which can be determined from polarization resistance Rp. Rp could be determined from LP curve shown in Figure 7 and are summarized in Table 3. Rp increases first from 132.9 (x = 0.05) to 148.7 mΩ (x = 0.2) and then reduces to 80.4 mΩ (x = 0.3). Its variation is in line with charge-transfer resistance from EIS. Based on Rp, I0 can be calculated through the Equation (1) [34]:
in which R, F, and T are gas constant, Faraday constant and absolute temperature, respectively. Its variation with x increasing indicates that the anode reaction kinetics is first retarded and then improved due to the reduction of the active sites resulting from a gradually thickening of the passive film. For x = 0.3, I0 increases to a certain extent, which may be due to the reduction of passive film resulting from the absence of MgO and/or Mg(OH)2 on Mg-free anode surface.
Figure 7.
Linear polarization curves of La0.7(Mg0.3–xZrx)(Ni0.85Co0.15)3.5 anodes.
Figure 7.
Linear polarization curves of La0.7(Mg0.3–xZrx)(Ni0.85Co0.15)3.5 anodes.

Figure 8 shows the anodic polarization (AP) curves. For each AP curve, with the increase of overpotential, there is a maximum for the anodic current density, denoted as limiting current density IL, indicating an oxidation reaction occurring on anode surface and a resistance of further penetration for hydrogen atoms by generated oxidation products [35]. Therefore, IL can be related to hydrogen diffusion inside anodes and the resistance on anode surface [33]. IL decreases from 3432.1 (x = 0.05) to 2489.4 (x = 0.3), suggesting that the hydrogen diffusion is decelerated.
Figure 8.
Anodic polarization curves of La0.7(Mg0.3–xZrx)(Ni0.85Co0.15)3.5 anodes.
Figure 8.
Anodic polarization curves of La0.7(Mg0.3–xZrx)(Ni0.85Co0.15)3.5 anodes.

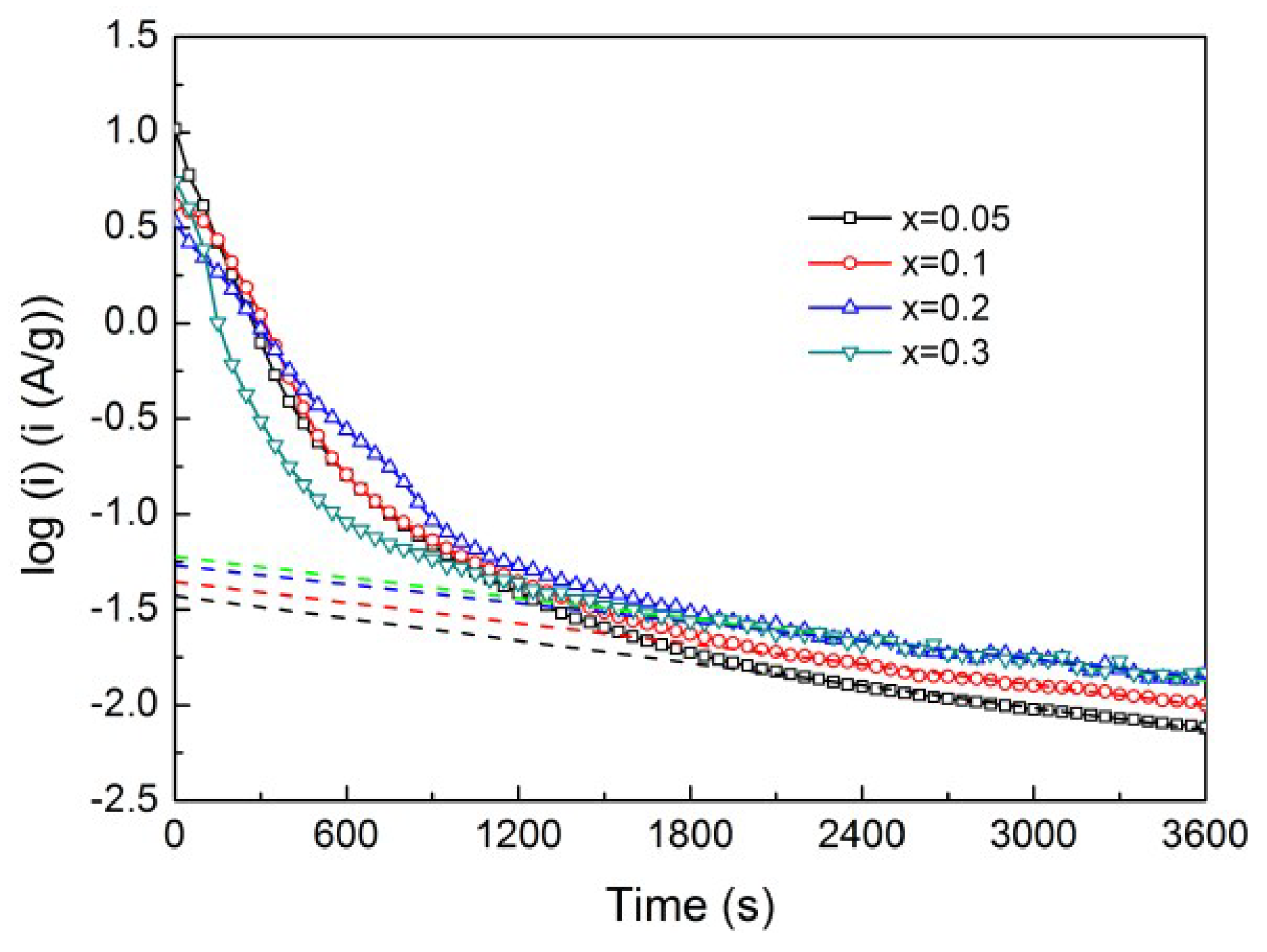
Figure 9 shows the discharging curves at a constant potential. Each curve of semilograrithmic plot has two regions during the tested time [36]. In the beginning of each curve, the current is quickly reduced because of a rapid hydrogen depletion in electro-oxidation. For the case of the latter region, the current shows a slow and linear decrease due to hydrogen diffusion as a rate-determining step. Under this circumstance, hydrogen is provided inside the anodes based on the hydrogen concentration. Modeled as the finite hydrogen diffusion [34], D could be calculated using the fitted slope of the linear part through the Equation (2) [37]:
where i, D, d, a, C0, Cs, and t represent the diffusion current density (A/g), the hydrogen diffusion coefficient (cm2/s), the alloy density (g/cm3), the alloy particle radius (cm), the initial hydrogen concentration (mol/cm3), the surface hydrogen concentration (mol/cm3), and the discharge time (s), respectively. Using the alloy particle radius of 25 μm roughly determined by sieving, D is calculated and also summarized in Table 3. D is monotonously reduced from 2.85 × 10−10 to 2.39 × 10−10 cm2/s, in line with the results from AP curves.
Figure 9.
Semilogarithmic curves of discharge curves of La0.7(Mg0.3–xZrx)(Ni0.85Co0.15)3.5 anodes.
Figure 9.
Semilogarithmic curves of discharge curves of La0.7(Mg0.3–xZrx)(Ni0.85Co0.15)3.5 anodes.

4. Conclusions
The structure and hydrogen storage properties in both gas-solid reaction and the electrochemical system of La0.7(Mg0.3–xZrx)(Ni0.85Co0.15)3.5 alloys were systemically investigated. XRD patterns show that all studied alloys are composed of LaNi3 phase, LaNi5 phase and ZrNi3 residual phase. The electrochemical tests indicate that C60/Cmax first increases from 53.9% (x = 0.05) to 60.8% (x = 0.2), then reduces to 58.4% (x = 0.3) and that Cmax is reduced from 341.1 (x = 0.05) to 176.4 mAh/g (x = 0.3), consistent with the capacities obtained from P–C isotherms in gas-solid system. The electrochemical tests such as EIS, LP and AP indicate that the Zr substitution for Mg retards the anode reaction kinetics. Furthermore, D is gradually reduced from 2.85 × 10−10 to 2.39 × 10−10 cm2/s with the increase of Zr content.
Acknowledgments
This research was jointly sponsored by Guangxi Key Laboratory of Information Materials (Guilin University of Electronic Technology), P.R. China (Project No. 1210908–03–K), National Natural Science Foundation of China (51361006, 51401059, 51461010, 51361005, 51371060, 51201041, and 51201042), Guangxi University Research Project (YB2014132, 2013ZD023) and Guangxi Natural Science Foundation (2014GXNSFAA118043, 2013GXNSFBA019239, 2013GXNSFBA019034, 2014GXNSFAA118333). This work was partially supported by the Guangxi Collaborative Innovation Center of Structure and Property for New Energy Materials.
Conflicts of Interest
The authors declare no conflict of interest.
References
- Liu, Y.F.; Pan, H.G.; Gao, M.X.; Wang, Q.D. Advanced hydrogen storage alloys for Ni/MH rechargeable batteries. J. Mater. Chem. 2011, 21, 4743–4755. [Google Scholar] [CrossRef]
- Zhao, X.Y.; Ma, L.Q. Recent progress in hydrogen storage alloys for nickel/metal hydride secondary batteries. Int. J. Hydrogen Energy 2009, 34, 4788–4796. [Google Scholar] [CrossRef]
- Li, W.; Du, Y.L. Effects of Y Substitution for La on the microstructure and electrochemical properties of LaNi3.55Mn0.4Al0.3Co0.75 hydrogen storage alloys. Mater. Trans. 2008, 49, 2229–2232. [Google Scholar] [CrossRef]
- Chu, H.L.; Zhang, Y.; Sun, L.X.; Qiu, S.J.; Qi, Y.N.; Xu, F.; Yuan, H.T. Structure and electrochemical properties of composite electrodes synthesized by mechanical milling Ni-free TiMn2-based alloy with La-based alloys. J. Alloys Compd. 2007, 446–447, 614–619. [Google Scholar] [CrossRef]
- Tsukahara, M.; Kamiya, T.; Takahashi, K.; Kawabata, A.; Sakurai, S.; Shi, J.; Takeshita, H.T.; Kuriyama, N.; Sakai, T. Hydrogen storage and electrode properties of V-based solid solution type alloys prepared by a thermic process. J. Electrochem. Soc. 2000, 147, 2941–2944. [Google Scholar] [CrossRef]
- Zhang, Y.; Chen, L.X.; Lei, Y.Q.; Wang, Q.D. The effect of partial substitution of Ti with Zr, Cr or V in the Mg35Ti10Ni55 electrode alloy on its electrochemical performance. Electrochim. Acta 2002, 47, 1739–1746. [Google Scholar] [CrossRef]
- Iwakura, C.; Inoue, H.; Furukawa, N.; Nohara, S. Effects of carbon crystallinity on hydriding-dehydriding and charge-discharge characteristics of MgNi alloy–carbon material composites. Mater. Trans. 2002, 43, 2706–2710. [Google Scholar] [CrossRef]
- Chen, J.; Kuriyama, N.; Takeshita, H.T.; Tanaka, H.; Sakai, T.; Haruta, M. Hydrogen storage alloys with PuNi3-type structure as metal hydride electrodes. Electrochem. Solid–State Lett. 2000, 3, 249–252. [Google Scholar] [CrossRef]
- Qiu, S.J.; Chu, H.L.; Zhang, J.; Zhang, Y.; Sun, L.X.; Xu, F.; Sun, D.L.; Ouyang, L.Z.; Zhu, M.; Grolier, J.P.E.; Frenkel, M. Effect of La partial substitution for Zr on the structural and electrochemical properties of Ti0.17Zr0.08–xLaxV0.35Cr0.1Ni0.3 (x = 0–0.04) electrode alloys. Int. J. Hydrogen Energy 2009, 34, 7246–7252. [Google Scholar] [CrossRef]
- Kadir, K.; Kuriyama, N.; Sakai, T.; Uehara, I.; Eriksson, L. Structural investigation and hydrogen capacity of CaMg2Ni9: A new phase in the AB2C9 system isostructural with LaMg2Ni9. J. Alloys Compd. 1999, 284, 145–154. [Google Scholar] [CrossRef]
- Kadir, K.; Sakai, T.; Uehara, I. Structural investigation and hydrogen storage capacity of LaMg2Ni9 and (La0.65Ca0.35)(Mg1.32Ca0.68)Ni9 of the AB2C9 type structure. J. Alloys Compd. 2000, 302, 112–117. [Google Scholar] [CrossRef]
- Kadir, K.; Sakai, T.; Uehara, I. Synthesis and structure determination of a new series of hydrogen storage alloys; RMg2Ni9 (R=La, Ce, Pr, Nd, Sm and Gd) built from MgNi2 Laves-type layers alternating with AB5 layers. J. Alloys Compd. 1997, 257, 115–121. [Google Scholar] [CrossRef]
- Kadir, K.; Sakai, T.; Uehara, I. Structural investigation and hydrogen capacity of YMg2Ni9 and (Y0.5Ca0.5)(MgCa)Ni9: New phases in the AB2C9 system isostructural with LaMg2Ni9. J. Alloys Compd. 1999, 287, 264–270. [Google Scholar] [CrossRef]
- Kohno, T.; Yoshida, H.; Kawashima, F.; Inaba, T.; Sakai, I.; Yamamoto, M.; Kanda, M. Hydrogen storage properties of new ternary system alloys: La2MgNi9, La5Mg2Ni23, La3MgNi14. J. Alloys Compd. 2000, 311, L5–L7. [Google Scholar]
- Liu, Y.F.; Cao, Y.H.; Huang, L.; Gao, M.X.; Pan, H.G. Rare earth–Mg–Ni-based hydrogen storage alloys as negative electrode materials for Ni/MH batteries. J. Alloys Compd. 2011, 509, 675–686. [Google Scholar] [CrossRef]
- Liu, Y.F.; Pan, H.G.; Gao, M.X.; Zhu, Y.F.; Lei, Y.Q.; Wang, Q.D. The effect of Mn substitution for Ni on the structural and electrochemical properties of La0.7Mg0.3Ni2.55−xCo0.45Mnx hydrogen storage electrode alloys. Int. J. Hydrogen Energy 2004, 29, 297–305. [Google Scholar] [CrossRef]
- Pan, H.G.; Liu, Y.F.; Gao, M.X.; Zhu, Y.F.; Lei, Y.Q.; Wang, Q.D. Electrochemical properties of the La0.7Mg0.3Ni2.65 − xMn0.1Co0.75Alx (x = 0–0.5 ) hydrogen storage alloy electrodes. J. Electrochem. Soc. 2005, 152, A326–A332. [Google Scholar] [CrossRef]
- Wu, J.M.; Li, J.; Zhang, W.P.; Muo, F.J.; Tai, L.C.; Xu, R.G. The study on the hydrogen storage properties of MmNi3.55Co0.75Mn0.7−xAlx compounds. J. Alloys Compd. 1997, 248, 180–184. [Google Scholar] [CrossRef]
- Notten, P.H.L.; Latroche, M.; Percheron-Guegan, A. The Influence of Mn on the crystallography and electrochemistry of nonstoichiometric AB5-type hydride forming compounds. J. Electrochem. Soc. 1999, 146, 3181–3189. [Google Scholar] [CrossRef]
- Chu, H.L.; Zhang, Y.; Qiu, S.J.; Qi, Y.N.; Sun, L.X.; Xu, F.; Wang, Q.; Dong, C. Electrochemical performances of cobalt-free La0.7Mg0.3Ni3.5−x(MnAl2)x (x = 0–0.20) hydrogen storage alloy electrodes. J. Alloys Compd. 2008, 457, 90–96. [Google Scholar] [CrossRef]
- Zhang, Y.; Lei, Y.Q.; Chen, L.X.; Yuan, J.; Zhang, Z.H.; Wang, Q.D. The effect of partial substitution of Zr for Ti on the electrochemical properties and surface passivation film of Mg35Ti10−xZrxNi55 (x = 1, 3, 5, 7, 9) electrode alloys. J. Alloys Compd. 2002, 337, 296–302. [Google Scholar] [CrossRef]
- Han, S.S.; Lee, Y.L.; Goo, N.H.; Jeong, W.T.; Lee, K.S. Improvement of electrode performances of Mg2Ni by mechanical alloying. J. Alloys Compd. 2002, 330, 841–845. [Google Scholar] [CrossRef]
- TOPAS V4: General Profile and Structure Analysis Software for Powder Diffraction Data. Bruker AXS: Karlsruhe, Germany, 2008.
- Msika, E.; Latroche, M.; Cuevas, F.; Percheron-Guégan, A. Zr-substitution in LaNi5-type hydride compound by room temperature ball milling. Mater. Sci. Eng. B 2004, 108, 91–95. [Google Scholar] [CrossRef]
- Pan, H.G.; Yue, Y.J.; Gao, M.X.; Wu, X.F.; Chen, N.; Lei, Y.Q.; Wang, Q.D. The effect of substitution of Zr for La on the electrochemical properties of La0.7−xZrxMg0.3Ni2.45Mn0.1Co0.75Al0.2 hydrogen storage electrode alloys. J. Alloys Compd. 2005, 397, 269–275. [Google Scholar] [CrossRef]
- Chu, H.L.; Zhang, Y.; Sun, L.X.; Tian, Q.F.; Xu, F.; Zhang, T.; Yuan, H.T. Structures and hydrogen storage properties of Mg45M5Co50 (M = Zr, Ni, Al) ternary alloys by mechanical alloying. Int. J. Electrochem. Sci. 2006, 1, 47–54. [Google Scholar]
- Seo, C.Y.; Choi, S.J.; Choi, J.; Park, C.N.; Lee, J.Y. Effect of V and Zr on the electrochemical properties of La-based AB5-type metal hydride electrodes. J. Alloys Compd. 2003, 351, 255–263. [Google Scholar] [CrossRef]
- Pan, H.G.; Liu, Y.F.; Gao, M.X.; Zhu, Y.F.; Lei, Y.Q. The structural and electrochemical properties of La0.7Mg0.3(Ni0.85Co0.15)x (x = 3.0–5.0) hydrogen storage alloys. Int. J. Hydrogen Energy 2003, 28, 1219–1228. [Google Scholar] [CrossRef]
- Chu, H.L.; Qiu, S.J.; Sun, L.X.; Zhang, Y.; Xu, F.; Jiang, T.; Li, W.X.; Zhu, M.; Hu, W.Y. The improved electrochemical properties of novel La–Mg–Ni-based hydrogen storage composites. Electrochim. Acta 2007, 52, 6700–6706. [Google Scholar] [CrossRef]
- Monnier, J.; Chen, H.; Joiret, S.; Bourgon, J.; Latroche, M. Identification of a new pseudo-binary hydroxide during calendar corrosion of (La, Mg)2Ni7-type hydrogen storage alloys for Nickel–Metal Hydride batteries. J. Power Sources 2014, 266, 162–169. [Google Scholar] [CrossRef]
- Zhu, Y.F.; Pan, H.G.; Gao, M.X.; Ma, J.X.; Li, S.Q.; Wang, Q.D. The effect of Zr substitution for Ti on the microstructures and electrochemical properties of electrode alloys Ti1−xZrxV1.6Mn0.32Cr0.48Ni0.6. Int. J. Hydrogen Energy 2002, 27, 287–293. [Google Scholar] [CrossRef]
- Kuriyama, N.; Sakai, T.; Miyamura, H.; Uehara, I.; Ishikawa, H.; Iwasaki, T. Electrochemical impedance spectra and deterioration mechanism of metal hydride electrodes. J. Electrochem. Soc. 1992, 139, L72–L73. [Google Scholar] [CrossRef]
- Ratnakumar, B.V.; Witham, C.; Bowman, R.C., Jr.; Hightower, A.; Fultz, B. Electrochemical studies on LaNi5 − xSnx metal hydride alloys. J. Electrochem. Soc. 1996, 143, 2578–2584. [Google Scholar] [CrossRef]
- Notten, P.H.L.; Hokkeling, P. Double phase hydride forming compounds: A new class of highly electrocatalytic materials. J. Electrochem. Soc. 1991, 138, 1877–1885. [Google Scholar] [CrossRef]
- Niu, H.; Northwood, D.O. Enhanced electrochemical properties of ball-milled Mg2Ni electrodes. Int. J. Hydrogen Energy 2002, 27, 69–77. [Google Scholar] [CrossRef]
- Nishima, T.; Ura, H.; Uchida, I. Determination of chemical diffusion coefficients in metal hydride particles with a microelectrode technique. J. Electrochem. Soc. 1997, 144, 1273–1277. [Google Scholar] [CrossRef]
- Zheng, G.; Popov, B.N.; White, R.E. Electrochemical determination of the diffusion coefficient of hydrogen through an LaNi4.25Al0.75 electrode in alkaline aqueous solution. J. Electrochem. Soc. 1995, 142, 2695–2698. [Google Scholar] [CrossRef]
© 2015 by the authors; licensee MDPI, Basel, Switzerland. This article is an open access article distributed under the terms and conditions of the Creative Commons Attribution license (http://creativecommons.org/licenses/by/4.0/).