Accelerated Optimization of Superalloys by Integrating Thermodynamic Calculation Data with Machine Learning Models: A Reference Alloy Approach
Abstract
1. Introduction
2. Materials and Methods
2.1. Workflow of Alloy Design
2.2. Thermodynamic Analysis
2.3. Machine Learning
- (1)
- Data preprocessing: For algorithms that rely on distance or gradient calculations (e.g., KNN, SVR, and BPNN), feature normalization was performed using the MinMaxScaler from Scikit-learn—a preprocessing module that linearly scales each feature to the [0, 1] interval to improve training efficiency and numerical stability. In contrast, tree-based models such as RFR and GBR, whose splitting rules depend on feature ordering rather than absolute magnitudes, were trained without normalization.
- (2)
- Hyperparameter optimization: For each algorithm, hyperparameters were tuned via grid search coupled with widely used 10-fold cross-validation using the GridSearchCV framework from Scikit-learn. Candidate ranges were defined for key hyperparameters. For example, in the KNN model, the number of neighbors (n_neighbors, K) was varied over {2, 3, 4, 5, 6} to balance bias and variance. The distance metric, which defines how similarity between samples is quantified in the feature space, was not treated as an independent hyperparameter; instead, Euclidean distance was adopted as the default choice after normalization. This design choice is reasonable and widely adopted for continuous, normalized features, and it yields stable, interpretable similarity measurements. For each parameter combination, the dataset was randomly partitioned into 10 mutually exclusive subsets: 9 for training and 1 for testing, with all 10 folds used in turn. The validity was evaluated by the value of the explained variance (R2) expressed as follows:
2.4. Experimental Tests
3. Results and Discussion
3.1. Dataset Built by the CALPHAD Method
3.2. Machine Learning Models
3.3. Multi-Objective Optimization
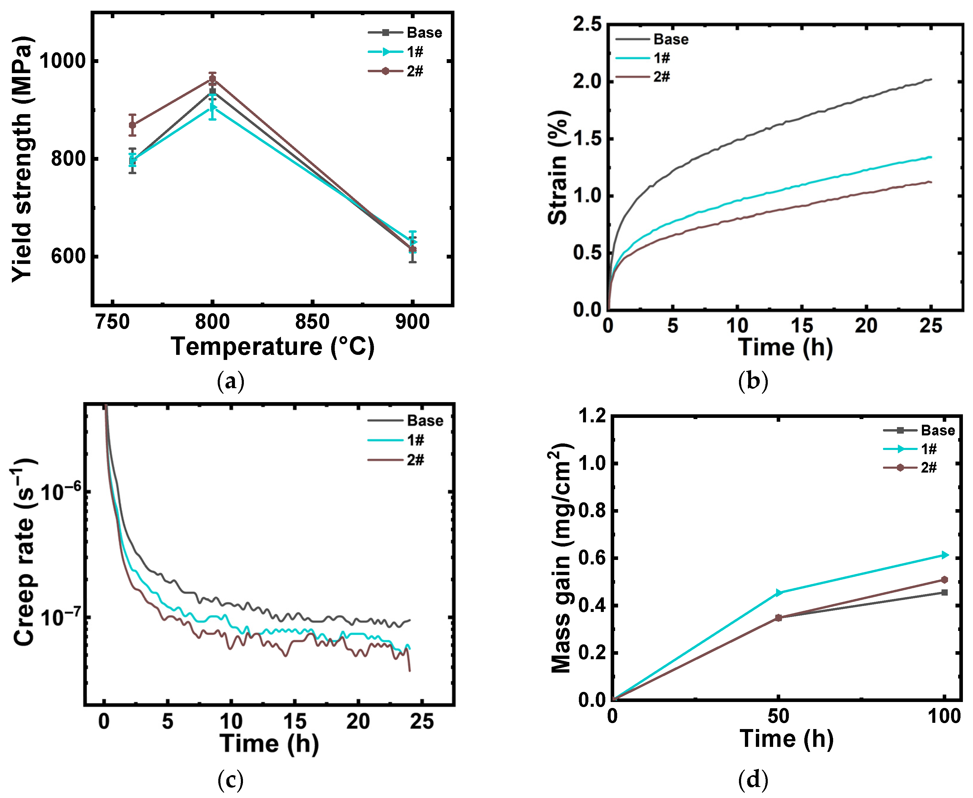
3.4. Experimental Verification
4. Conclusions
Author Contributions
Funding
Data Availability Statement
Conflicts of Interest
References
- Reed, R.C. The Superalloys: Fundamentals and Applications; Cambridge University Press: Cambridge, UK, 2006. [Google Scholar]
- Zhang, Y.; Wang, C.; Zheng, D.; Yu, X.; Guo, Y.; Yang, C.; Huang, Y.; Yang, S.; Liu, X. CALPHAD-guided design and experimental optimization of nico-based superalloys with enhanced γ′ phase stability and mechanical performance. J. Mater. Res. Technol. 2025, 39, 8243–8255. [Google Scholar] [CrossRef]
- Zhang, L.; Huang, Z.; Pan, Y.; Jiang, L. Design of re-free nickel-base single crystal superalloys using modelling and experimental validations. Model. Simul. Mater. Sci. Eng. 2019, 27, 065002. [Google Scholar] [CrossRef]
- Crudden, D.J.; Raeisinia, B.; Warnken, N.; Reed, R.C. Analysis of the chemistry of Ni-base turbine disk superalloys using an alloys-by-design modeling approach. Metall. Mater. Trans. A 2013, 44, 2418–2430. [Google Scholar] [CrossRef]
- Reed, R.C.; Tao, T.; Warnken, N. Alloys-By-Design: Application to nickel-based single crystal superalloys. Acta Mater. 2009, 57, 5898–5913. [Google Scholar] [CrossRef]
- Yokokawa, T.; Harada, H.; Kawagishi, K.; Koizumi, Y.; Kobayashi, T. Quantitative analysis of creep strengthening factors in Ni-base single crystal superalloys. In Proceedings of the SuperaIloys, Seven Springs, PA, USA, 9–13 September 2012; Huron, E.S., Reed, R.C., Hardy, M.C., Mills, M.J., Montero, R.E., Portella, P.D., Telesman, J., Eds.; TMS: Warrendale, PA, USA, 2012; pp. 285–292. [Google Scholar]
- Müller, A.; Roslyakova, I.; Sprenger, M.; Git, P.; Rettig, R.; Markl, M.; Körner, C.; Singer, R.F. MultOpt++: A fast regression-based model for the development of compositions with high robustness against scatter of element concentrations. Model. Simul. Mater. Sci. Eng. 2019, 27, 024001. [Google Scholar] [CrossRef]
- Markl, M.; Müller, A.; Ritter, N.; Hofmeister, M.; Naujoks, D.; Schaar, H.; Abrahams, K.; Frenzel, J.; Subramanyam, A.P.A.; Ludwig, A.; et al. Development of single-crystal Ni-base superalloys based on multi-criteria numerical optimization and efficient use of refractory elements. Metall. Mater. Trans. A 2018, 49, 4134–4145. [Google Scholar] [CrossRef]
- Rettig, R.; Ritter, N.C.; Helmer, H.E.; Neumeier, S.; Singer, R.F. Single-crystal nickel-based superalloys developed by numerical multi-criteria optimization techniques: Design based on thermodynamic calculations and experimental validation. Model. Simul. Mater. Sci. Eng. 2015, 23, 035004. [Google Scholar] [CrossRef]
- Yang, W.; Lin, S.; Wang, Q.; Liu, C.; Qin, J.; Zhang, J. Accelerated design of L12-strengthened single crystal high entropy alloys based on machine learning and multi-objective optimization. Mater. Adv. 2024, 5, 5772–5780. [Google Scholar] [CrossRef]
- Gao, Q.; Zhang, X.; Ma, Q.; Zhu, H.; Zhang, H.; Sun, L.; Li, H. Accelerating design of novel cobalt-based superalloys based on first-principles calculations. J. Alloys Compd. 2022, 927, 167012. [Google Scholar] [CrossRef]
- Lu, S.; Zou, M.; Zhang, X.; Antonov, S.; Li, W.; Li, L.; Feng, Q. Data-driven “Cross-component” design and optimization of γ′-strengthened Co-based superalloys. Adv. Eng. Mater. 2023, 25, 2201257. [Google Scholar] [CrossRef]
- Li, W.; Wheeler, J.M.; Han, H.; Li, L.; Feng, Q. High-throughput investigation of the alloying effects of W, Ti, and Ta on the microstructural stability and mechanical properties of CoNi-base superalloys. Mater. Sci. Eng. A 2025, 925, 147857. [Google Scholar] [CrossRef]
- Li, W.; Li, L.; Antonov, S.; Wei, C.; Zhao, J.-C.; Feng, Q. High-throughput exploration of alloying effects on the microstructural stability and properties of multicomponent CoNi-base superalloys. J. Alloys Compd. 2021, 881, 160618. [Google Scholar] [CrossRef]
- Zhuang, X.; Antonov, S.; Li, W.; Lu, S.; Li, L.; Feng, Q. Alloying effects and effective alloy design of high-Cr CoNi-based superalloys via a high-throughput experiments and machine learning framework. Acta Mater. 2023, 243, 118525. [Google Scholar] [CrossRef]
- Xu, J.; Li, L.; Liu, X.; Li, H.; Feng, Q. Quantitative models of high temperature creep microstructure-property correlation of a nickel-based single crystal superalloy with physical and statistical features. J. Mater. Res. Technol. 2022, 19, 2301–2313. [Google Scholar] [CrossRef]
- Xu, J.; Li, L.; Liu, X.; Li, H.; Feng, Q. Fast characterization framework for creep microstructure of a nickel-based SX superalloy with high-throughput experiments and deep learning methods. Mater. Charact. 2022, 187, 111857. [Google Scholar] [CrossRef]
- Li, W.; Li, L.; Antonov, S.; Feng, Q. Effective design of a Co-Ni-Al-W-Ta-Ti alloy with high γ′ solvus temperature and microstructural stability using combined calphad and experimental approaches. Mater. Des. 2019, 180, 107912. [Google Scholar] [CrossRef]
- Okada, I.; Torigoe, T.; Takahashi, K.; Izutsu, D. Development of Ni base superalloy for industrial gas turbine. In Proceedings of the Superalloys 2004; Green, K.A., Pollock, T.M., Harada, H., Howson, T.E., Reed, R.C., Schirra, J.J., Walston, S., Eds.; TMS: Warrendale, PA, USA, 2004; pp. 707–712. [Google Scholar]
- Oguma, H.; Tsukimoto, K.; Goya, S.; Okajima, Y.; Ishizaka, K.; Ito, E. Development of advanced materials and manufacturing technologies for high-efficiency gas turbines. Mitsubishi Heavy Ind. Tech. Rev. 2015, 52, 5–14. [Google Scholar]
- Peng, J.Q.; Zhang, H.T.; Li, Y.F. Review of blade materials for IGT. Procedia Eng. 2015, 130, 668–675. [Google Scholar] [CrossRef]
- Erickson, G.L. The development of the CMSX-11B and CMSX-11C alloys for industrial gas turbine application. In Proceedings of the Superalloys 1996; Kissinger, R.D., Deye, D.J., Anton, D.L., Cetel, A.D., Nathal, M.V., Pollock, T.M., Woodford, D.A., Eds.; TMS: Warrendale, PA, USA, 1996; pp. 45–52. [Google Scholar]
- Zhang, H.W.; Qin, X.Z.; Wu, Y.S.; Zhou, L.Z.; Li, X.W. Effects of Cr content on the microstructure and stress rupture property of a directionally solidified Ni-based superalloy during long-term thermal exposure. Mater. Sci. Eng. A 2018, 718, 449–460. [Google Scholar] [CrossRef]
- Chang, J.X.; Wang, D.; Zhang, G.; Lou, L.H.; Zhang, J. Interaction of Ta and Cr on Type-I hot corrosion resistance of single crystal Ni-base superalloys. Corros. Sci. 2017, 117, 35–42. [Google Scholar] [CrossRef]
- Konter, M.; Newnham, M.; Tonnes, C. Nickel-Base Superalloy. U.S. Patent No. 5888451, 30 March 1999. [Google Scholar]
- Roth, H.A.; Davis, C.L.; Thomson, R.C. Modeling solid solution strengthening in nickel alloys. Metall. Mater. Trans. A 1997, 28, 1329–1335. [Google Scholar] [CrossRef]
- Kozar, R.W.; Suzuki, A.; Milligan, W.W.; Schirra, J.J.; Savage, M.F.; Pollock, T.M. Strengthening mechanisms in polycrystalline multimodal nickel-base superalloys. Metall. Mater. Trans. A 2009, 40, 1588–1603. [Google Scholar] [CrossRef]
- Antonov, S.; Detrois, M.; Isheim, D.; Seidman, D.; Helmink, R.C.; Goetz, R.L.; Sun, E.; Tin, S. Comparison of thermodynamic database models and APT data for strength modeling in high Nb content γ–γ′ Ni-base superalloys. Mater. Des. 2015, 86, 649–655. [Google Scholar] [CrossRef]
- Mishima, Y.; Ochiai, S.; Hamao, N.; Yodogawa, M.; Suzuki, T. Solid solution hardening of Ni3Al with ternary additions. Trans. Jpn. Inst. Met. 1986, 27, 648–655. [Google Scholar] [CrossRef]
- Karunaratne, M.S.A.; Carter, P.; Reed, R.C. Interdiffusion in the face-centred cubic phase of the Ni–Re, Ni–Ta and Ni–W systems between 900 and 1300 °C. Mater. Sci. Eng. A 2000, 281, 229–233. [Google Scholar] [CrossRef]
- Zhu, Z.; Basoalto, H.; Warnken, N.; Reed, R.C. A model for the creep deformation behaviour of nickel-based single crystal superalloys. Acta Mater. 2012, 60, 4888–4900. [Google Scholar] [CrossRef]
- Janssen, M.M.P. Diffusion in the nickel-rich part of the Ni-Al system at 1000~ to 1300~ Ni3Al layer growth, diffusion coefficients, and interface concentrations. Metall. Mater. Trans. B 1973, 4, 1623–1633. [Google Scholar] [CrossRef]
- Karunaratne, M.S.A.; Reed, R.C. Interdiffusion of niobium and molybdenum in nickel between 900–1300 °C. Defect Diffus. Forum 2005, 237, 420–425. [Google Scholar] [CrossRef]
- Jung, S.B.; Yamane, T.; Minamino, Y.; Hirao, K.; Araki, H.; Saji, S. Interdiffusion and Its Size Effect in Nickel Solid Solutions of Ni-Co, Ni-Cr and Ni-Ti Systems. J. Mater. Sci. Lett. 1992, 11, 1333–1337. [Google Scholar] [CrossRef]
- Harris, K.; Erickson, G.L.; Schwer, R.E. MAR-M247 derivations—CM247 LC DS alloy, CMSX single crystal alloys, properties and performance. In Proceedings of the Superalloys 1984; Gell, M., Kortovich, C., Bricknell, R.H., Kent, W.B., Radavich, J.F., Eds.; TMS: Warrandale, PA, USA, 1984; pp. 221–230. [Google Scholar]
- Zhang, J.S.; Hu, Z.Q.; Murata, Y.; Morinaga, M.; Yukawa, N. Design and development of hot corrosion-resistant nickel-base single-crystal superalloys by the d-electrons alloy design theory: Part II. Effects of refractory metals Ti, Ta, and Nb on microstructures and properties. Metall. Trans. A 1993, 24, 2451–2464. [Google Scholar] [CrossRef]
- Morinaga, M.; Yukawa, N.; Adachi, H.; Ezaki, H. New phacomp and its applications to alloy design. In Proceedings of the Superalloys 1984; Gell, M., Kortovich, C., Bricknell, R.H., Kent, W.B., Radavich, J.F., Eds.; TMS: Warrandale, PA, USA, 1984; pp. 523–532. [Google Scholar]
- Ding, Q.; Bei, H.; Yao, X.; Zhao, X.; Wei, X.; Wang, J.; Zhang, Z. Temperature effects on deformation substructures and mechanisms of a Ni-based single crystal superalloy. Appl. Mater. Today 2021, 23, 101061. [Google Scholar] [CrossRef]
- Bezold, A.; Volz, N.; Lenz, M.; Karpstein, N.; Zenk, C.H.; Spiecker, E.; Göken, M.; Neumeier, S. Quantification of the temperature-dependent evolution of defect structures in a CoNi-base superalloy. Acta Mater. 2022, 227, 117702. [Google Scholar] [CrossRef]










| Element | Ni | Co | Al | Cr | W | Mo | Ta | Ti | Nb |
|---|---|---|---|---|---|---|---|---|---|
| Range | Bal. | 2~10 | 3~6 | 8~16 | 2~10 | 0.7~2.1 | 1~8 | 1~5 | 0.5~1 |
| Step for I | - | 2 | 1 | 2 | 2 | 0.7 | 1.5 | 2 | 0.5 |
| Step for II | - | 1 | 1 | 2 | 1 | 0.7 | 1 | 1 | 0.5 |
| Elements | Co | Al | Cr | W | Mo | Ta | Ti | Nb |
|---|---|---|---|---|---|---|---|---|
| (MPa/) | 39.4 | 225 | 337 | 977 | 1015 | 1191 | 775 | 1183 |
| (MPa/at. percentage) | 0 | 0 | 7 | 25 | 16.8 | 80 | 25 | 76 |
| Elements | ||
|---|---|---|
| Co | 7.50 × 10−5 | 285.1 [31] |
| Al | 1.00 × 10−3 | 272.1 [32] |
| Cr | 3.00 × 10−6 | 170.7 [31] |
| W | 8.00 × 10−6 | 264.0 [30] |
| Mo | 1.15 × 10−4 | 281.3 [33] |
| Ta | 2.19 × 10−5 | 251.0 [30] |
| Ti | 4.10 × 10−4 | 275.0 [34] |
| Nb | 8.80 × 10−5 | 257.0 [33] |
| Elements | Ni | Co | Al | Cr | W | Mo | Ta | Ti | Nb |
|---|---|---|---|---|---|---|---|---|---|
| Md | 0.717 | 0.777 | 1.900 | 1.142 | 1.655 | 1.550 | 2.224 | 2.271 | 2.117 |
| Property | Screening Criteria | |
|---|---|---|
| Processability | TS ≥ 1245 °C | JMatPro + ML |
| Tγ′ ≤ 1210 °C | JMatPro + ML | |
| 0.7 ≤ (1.5Hf + 0.5Mo + Ta − 0.5Ti)/(1.2Re + W) ≤ 1 | Empirical | |
| Phase constituent | 45% ≤ Vγ′ ≤ 55% | JMatPro + ML |
| Strength | 0.95(Δσss + Δσγ′)Base ≤ (ΔσSS + Δσγ′) ≤ 1.05(Δσss + Δσγ′)Base | JMatPro + Empirical |
| 0.9MBase ≤ M ≤ 1.1MBase | JMatPro + Empirical | |
| Microstructural stability | .92 | JMatPro + Empirical |
| Oxidation | Cr > 10 wt.% | Empirical |
| Density | ≤ 8.5 g/cm3 | Empirical |
| Cost | $ ≤ 1.10$Base | - |
| Alloys | Ni | Co | Al | Cr | W | Mo | Ta | Ti | Nb |
|---|---|---|---|---|---|---|---|---|---|
| 1# | Bal. | 10.5 | 3.5 | 11 | 6 | 1.4 | 4.5 | 3 | 0.5 |
| 2# | Bal. | 10.5 | 3.5 | 11 | 6 | 1.4 | 4.5 | 3 | 1 |
| 3# | Bal. | 10.5 | 3.5 | 11 | 6 | 0.7 | 4.5 | 3 | 1 |
| 4# | Bal. | 8.5 | 3.5 | 11 | 6 | 0.7 | 4.5 | 3 | 0.5 |
| 5# | Bal. | 8.5 | 3.5 | 11 | 6 | 0.7 | 4.5 | 3 | 1 |
| 6# | Bal. | 8.5 | 3.5 | 11 | 6 | 1.4 | 4.5 | 3 | 0.5 |
| 7# | Bal. | 8.5 | 3.5 | 11 | 6 | 1.4 | 4.5 | 3 | 1 |
Disclaimer/Publisher’s Note: The statements, opinions and data contained in all publications are solely those of the individual author(s) and contributor(s) and not of MDPI and/or the editor(s). MDPI and/or the editor(s) disclaim responsibility for any injury to people or property resulting from any ideas, methods, instructions or products referred to in the content. |
© 2026 by the authors. Licensee MDPI, Basel, Switzerland. This article is an open access article distributed under the terms and conditions of the Creative Commons Attribution (CC BY) license.
Share and Cite
Pei, Y.; Gao, Z.; Wu, J.; Nie, L.; Lu, S.; Tan, J.; Wu, Z.; Li, L.; Gong, X. Accelerated Optimization of Superalloys by Integrating Thermodynamic Calculation Data with Machine Learning Models: A Reference Alloy Approach. Metals 2026, 16, 154. https://doi.org/10.3390/met16020154
Pei Y, Gao Z, Wu J, Nie L, Lu S, Tan J, Wu Z, Li L, Gong X. Accelerated Optimization of Superalloys by Integrating Thermodynamic Calculation Data with Machine Learning Models: A Reference Alloy Approach. Metals. 2026; 16(2):154. https://doi.org/10.3390/met16020154
Chicago/Turabian StylePei, Yubing, Zhenhuan Gao, Junjie Wu, Liping Nie, Song Lu, Jiaxin Tan, Ziyun Wu, Longfei Li, and Xiufang Gong. 2026. "Accelerated Optimization of Superalloys by Integrating Thermodynamic Calculation Data with Machine Learning Models: A Reference Alloy Approach" Metals 16, no. 2: 154. https://doi.org/10.3390/met16020154
APA StylePei, Y., Gao, Z., Wu, J., Nie, L., Lu, S., Tan, J., Wu, Z., Li, L., & Gong, X. (2026). Accelerated Optimization of Superalloys by Integrating Thermodynamic Calculation Data with Machine Learning Models: A Reference Alloy Approach. Metals, 16(2), 154. https://doi.org/10.3390/met16020154

