Experimental–Numerical Investigation of the Ductile Damage of TRIP 780 Steel
Abstract
1. Introduction
2. Materials and Methods
2.1. Uniaxial Tension Specimen Tests
2.2. Double-Notched Specimen Tests
2.3. X-Ray Diffraction Analysis
2.4. Microstructural Characterization
2.5. Work-Hardening and Plastic Anisotropy
2.6. Damage Modeling
2.7. Finite Element Modeling
3. Results
3.1. Retained Austenite and TRIP Effect
3.2. Microstructural Analysis
3.3. Material Parameters Calibration
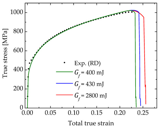
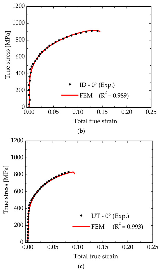
3.4. Validations
4. Discussion
5. Conclusions
- Hill’s 48 quadratic yield criterion effectively described the initial plastic anisotropy of the TRIP 780 steel sheet based on the experimental Lankford r-values to describe the behavior of UT, ID, and PS deformation modes.
- The adopted damage modeling accurately captured the experimentally observed fracture behavior, despite minor limitations in damage onset determination for complex strain paths (ID and PS).
- The strain-induced transformation of retained austenite into martensite was experimentally quantified, revealing a significant reduction in the retained austenite fraction with increasing plastic strain. Most of this phase transformation occurred before the onset of damage under uniaxial tension, suggesting that the TRIP effect has a greater influence on parameter calibration before the damage initiation criterion.
- The proposed methodology provides a cost-effective and experimentally feasible alternative for constitutive modeling and parameter calibration of AHSS grades, with practical applications in sheet metal forming process simulations. Future research should explore the integration of micromechanical modeling to further refine damage predictions and phase transformation effects in TRIP steels.
Author Contributions
Funding
Data Availability Statement
Acknowledgments
Conflicts of Interest
Abbreviations
| AHSS | Advanced high-strength steel |
| BCC | Body-centered cubic |
| CFRP | Carbon fiber-reinforced plastics |
| CDM | Continuum damage mechanics |
| DIC | Digital image correlation |
| EDM | Electrical discharge machining |
| FCC | Face-centered cubic |
| F | Ferrite phase |
| FE | Finite element |
| FEA | Finite element analysis |
| GFI | Global formability index |
| GTN | Gurson–Tvergaard–Needleman |
| ID | Intermediate deformation |
| M | Martensite phase |
| MB | Martensite/retained austenite bands |
| MMC | Modified Mohr–Coulomb |
| ND | Normal direction |
| OM | Optical microscope |
| PS | Plane strain |
| RA | Retained austenite |
| R-T | Rice and Tracey |
| RD | Rolling direction |
| SEM | Scanning electron microscope |
| TRIP | Transformation-induced plasticity |
| TD | Transverse direction |
| TWIP | Twinning-induced plasticity |
| UT | Uniaxial tension |
| XRD | X-ray diffraction |
References
- Kuziak, R.; Kawalla, R.; Waengler, S. Advanced high strength steel for automotive industry. Arch. Civ. Mech. Eng. 2008, 8, 103–117. [Google Scholar] [CrossRef]
- Liu, L.; He, B.; Huang, M. The role of transformation-induced plasticity in the development of advanced high strength steels. Adv. Eng. Mater. 2018, 20, 1701083. [Google Scholar] [CrossRef]
- Soleimani, M.; Kalhor, A.; Mirzadeh, H. Transformation-induced plasticity (TRIP) in advanced steels: A review. Mater. Sci. Eng. A. 2020, 795, 140023. [Google Scholar] [CrossRef]
- Peng, W.; Wang, F.; Wang, Y.; Chen, J.; Sun, J.; Guo, N.; Liu, J. Achieving superior strength-ductility balance via heterogeneous structure and successive TWIP+TRIP effects in medium Mn steel. J. Mater. Res. Technol. 2024, 33, 2125–2135. [Google Scholar] [CrossRef]
- Sebastian, B.; Thimons, M.; Muhbubani, K. Final Report: Consequential Life Cycle Greenhouse Gas Study of Automotive Lightweighting with Advanced High-Strength Steel (AHSS) and Aluminum; Steel Recycling Institute–Steel Market Development Institute: Pittsburgh, PA, USA, 2018; pp. 1–86. [Google Scholar]
- Sato, F.E.K.; Nakata, T. Analysis of the impact of vehicle lightweighting on recycling benefits considering life cycle energy reduction. Resour. Conserv. Recycl. 2021, 164, 105118. [Google Scholar] [CrossRef]
- Gupta, M.K.; Singhal, V. Review on materials for making lightweight vehicles. Mater. Today Proc. 2022, 56, 868–872. [Google Scholar] [CrossRef]
- Kubler, R.F.; Berveiller, S.; Bouscaud, D.; Guiheux, R.; Patoor, E.; Puydt, Q. Shot peening of TRIP780 steel: Experimental analysis and numerical simulation. J. Mater. Process. Technol. 2019, 270, 182–194. [Google Scholar] [CrossRef]
- Folle, L.F.; Lima, T.N.; Santos, M.P.S.; Callegari, B.; Silva, B.C.S.; Zamorano, L.G.S.; Coelho, R.S. A review on sheet metal forming behavior in high-strength steels and the use of numerical simulations. Metals 2024, 14, 1428. [Google Scholar] [CrossRef]
- Bai, Y.; Wierzbicki, T. A comparative study of three groups of ductile fracture loci in the 3D space. Eng. Fract. Mech. 2015, 135, 147–167. [Google Scholar] [CrossRef]
- Bai, Y.; Wierzbicki, T. Application of extended Mohr-Coulomb criterion to ductile fracture. Int. J. Fract. 2010, 161, 1–20. [Google Scholar] [CrossRef]
- Castanheira, B.C.; Moreira, L.P.; Nascimento, G.O.; Santos, R.O.; Santiago, G.A.A.; Oliveira, I.S.; Silva, F.R.F. Void formation and strain-induced martensitic transformation in TRIP780 steel sheet submitted to uniaxial loading. Mater. Res. 2019, 22, e20190245. [Google Scholar] [CrossRef]
- ASTM Standard E8/E8M-22; Test Method for Tension Testing of Metallic Materials. American Society for Testing and Materials, ASTM: West Conshohocken, PA, USA, 2022.
- Schwindt, C.D.; Stout, M.; Iurman, L.; Signorelli, J.W. Forming limit curve determination of a DP-780 steel sheet. Procedia Mater. Sci. 2015, 8, 978–985. [Google Scholar] [CrossRef]
- ASTM Standard E975-13; Standard Practice for X-ray Determination of Retained Austenite in Steel with Near-Random Crystallographic Orientation. American Society for Testing and Materials, ASTM: West Conshohocken, PA, USA, 2013.
- De Meyer, M.; Vanderschueren, D.; De Blauwe, K.; De Cooman, B.C. The characterization of retained austenite in TRIP steels by X-ray diffraction. In Proceedings of the 41st Mechanical Working and Steel Processing Conference Proceedings, Baltimore, MD, USA, 24–27 October 1999; Volume 37, pp. 483–491. [Google Scholar]
- Guzmán, A.; Monsalve, A. Effect of bainitic isothermal treatment on the microstructure and mechanical properties of a CMnSiAl TRIP steel. Metals 2022, 12, 655. [Google Scholar] [CrossRef]
- Ashrafi, H.; Hajiannia, I.; Shamanian, M.; Ghassemali, E. Relationship between crystallographic texture and anisotropy of tensile properties in a high strength TRIP steel. Mater. Today Commun. 2025, 46, 112756. [Google Scholar] [CrossRef]
- ASTM Standard E112-24; Standard Test Method for Determining Average Grain Size. American Society for Testing and Materials, ASTM: West Conshohocken, PA, USA, 2024.
- Hill, R. A theory of the yielding and plastic flow of anisotropic metals. Proc. R. Soc. Lond. A 1948, 193, 281–297. [Google Scholar]
- Banabic, D.; Bunge, H.; Pohlandt, K.; Tekkaya, A.A.E. Formability of Metallic Materials, Plastic Anisotropy, Formability Testing, Forming Limits-Engineering Materials, 1st ed.; Springer: New York, NY, USA, 2000; pp. 1–345. [Google Scholar]
- Zhiying, C.; Xianghuai, D. The GTN damage model based on Hill’48 anisotropic yield criterion and its application in sheet metal forming. Comput. Mater. Sci. 2009, 44, 1013–1021. [Google Scholar] [CrossRef]
- Abaqus User’s Manual, version 6.9; Dassault Systemes Simulia Corp.: Providence, RI, USA, 2009.
- Bagherzadeh, S.; Mirnia, M.J.; Dariani, B.M. Numerical and experimental investigation of hydro-mechanical deep drawing process of laminated aluminum/steel sheets. J. Manuf. Process. 2015, 18, 131–140. [Google Scholar] [CrossRef]
- Yan, Y.; Wang, H.; Li, Q. The inverse identification of Hill 48 yield criterion and its verification in press bending and roll forming process simulation. J. Manuf. Process. 2015, 20, 46–53. [Google Scholar] [CrossRef]
- Butuc, M.C.; Vincze, G.; Santos, R.; Pereira, A.; Santos, A.D.; Amaral, R.L.; Barlat, F. Formability of third generation advanced high strength steel: Experimental and theoretical approach. Int. J. Mech. Sci. 2024, 281, 109559. [Google Scholar] [CrossRef]
- Santos, R.O.; Moreira, L.P. 3.04–Damage in advanced high-strength steels: Experimental characterization and modeling. In Comprehensive Materials Processing, 2nd ed.; Elsevier: Amsterdam, The Netherlands, 2024; Volume 3, pp. 86–104. [Google Scholar]
- Bu, X.; Xiao, S.; Wu, Z.; Li, X.; Wang, X. Damage evaluation of T-Stub connected to hollow section column using blind bolts under tension. Buildings 2023, 13, 2603. [Google Scholar] [CrossRef]
- Rice, J.R.; Tracey, D.M. On the ductile enlargement of voids in triaxial stress fields. J. Mech. Phys. Solids. 1969, 17, 201–217. [Google Scholar] [CrossRef]
- Reis, L.C.; Prates, P.A.; Oliveira, M.C.; Santos, A.D.; Fernandes, J.V. Anisotropy and plastic flow in circular bulge test. Int. J. Mech. Sci. 2017, 128, 70–93. [Google Scholar] [CrossRef]
- Gonoring, T.B.; Moreira, L.P.; Orlando, M.T.D. An equivalent work-hardening description of an interstitial-free steel sheet based on uniaxial tensile and hydraulic bulge tests. J. Mater. Res. Technol. 2021, 13, 2138–2143. [Google Scholar] [CrossRef]
- Santos, R.O.; Moreira, L.P.; Butuc, M.C.; Vincze, G.; Pereira, A.B. Damage analysis of third-generation advanced high-strength steel based on the Gurson-Tvergaard-Needleman (GTN) model. Metals 2022, 12, 214. [Google Scholar] [CrossRef]
- Ramazani, A.; Quade, H.; Abbasi, M.; Prahl, U. The effect of martensite banding on the mechanical properties and formability of TRIP steels. Mater. Sci. Eng. A 2016, 651, 160–164. [Google Scholar] [CrossRef]
- Celotto, S.; Ghadbeigi, H.; Pinna, C.; Shollock, B.A.; Efthymiadis, P. Deformation-induced microstructural banding in TRIP steels. Metall. Mater. Trans. A 2018, 49, 2893–2906. [Google Scholar] [CrossRef]
- Safaei, D.; De Waele, W.; De Baets, P. Finite element simulation of springback in TRIP 780 advanced high strength steel. Int. J. Sustain. Constr. Des. 2010, 1, 151–156. [Google Scholar] [CrossRef]
- Rahmaan, T.; Bardelcik, A.; Imbert, J.; Butcher, C.; Worswick, M.J. Effect of strain rate flow stress and anisotropy of DP600, TRIP780, and AA5182-O sheet metal alloy. Int. J. Impact Eng. 2016, 88, 72–90. [Google Scholar] [CrossRef]
- Sarraf, I.S.; Green, D.E. Prediction of DP600 and TRIP780 yield loci using Yoshida anisotropic yield function. IOP Conf. Series. Mater. Sci. Eng. 2018, 418, 012089. [Google Scholar] [CrossRef]























| C | Si | Mn | P | S | Al | Cr | B |
| 0.22 | 0.27 | 1.89 | 0.02 | 0.002 | 1.54 | 0.18 | 0.0003 |
| Ti | Mo | Nb | Sn | Ca | Ni | V | Sb |
| 0.004 | 0.005 | 0.018 | 0.003 | 0.0005 | 0.009 | 0.003 | 0.003 |
| Orientation | 0° RD | ||||
|---|---|---|---|---|---|
| Plastic strain [%] | 3.8 | 7.5 | 12 | 17 | 21 |
| Elongation [%] | 3.98 | 7.56 | 11.28 | 15.14 | 19.12 |
| Strain Level | [μm] | ASTM Grain Size |
|---|---|---|
| As received | 0.18 | 14.0 |
| = 3.8% | 0.25 | 13.9 |
| = 17% | 0.20 | 13.6 |
| Fractured | 0.18 | 13.3 |
| [GPa] | ν | [MPa] | [MPa] | [%] | [%] | [GPa%] |
|---|---|---|---|---|---|---|
| 202 6 | 0.35 0.02 | 456 1 | 802 2 | 20.5 0.4 | 24.7 0.5 | 19.8 0.4 |
| [MPa] | R2 | ||
|---|---|---|---|
| 1464.3 1.4 | 0.0020 0.0001 | 0.2342 0.0005 | 0.999 |
| Lankford Coefficients and Normal and Planar Anisotropy | |||||
| 0.654 | 0.660 | 0.592 | 0.642 | −0.037 | |
| Hill’s 48 Yield Function Coefficients: | |||||
| 0.668 | 0.605 | 0.395 | 1.476 | 1.476 | 1.476 |
| Anisotropic Yield Stress Ratios: | |||||
| 1 | 0.970 | 0.886 | 1.008 | 1 | 1 |
| UT | ID | PS | |||
|---|---|---|---|---|---|
| Principal Strains | |||||
| 0.259 | −0.091 | 0.132 | −0.024 | 0.083 | −0.003 |
| Stress Triaxiality Factor–Equivalent Plastic Strain | |||||
| 0.333 | 0.259 | 0.489 | 0.135 | 0.570 | 0.089 |
| R2 | ||
|---|---|---|
| 1.081 0.150 | 4.266 0.352 | 0.989 |
Disclaimer/Publisher’s Note: The statements, opinions and data contained in all publications are solely those of the individual author(s) and contributor(s) and not of MDPI and/or the editor(s). MDPI and/or the editor(s) disclaim responsibility for any injury to people or property resulting from any ideas, methods, instructions or products referred to in the content. |
© 2025 by the authors. Licensee MDPI, Basel, Switzerland. This article is an open access article distributed under the terms and conditions of the Creative Commons Attribution (CC BY) license (https://creativecommons.org/licenses/by/4.0/).
Share and Cite
Santos, R.O.; Coelho, P.d.P.; Vincze, G.; Silva, F.R.F.d.; Junior, R.A.d.A.; Diniz, S.B.; Moreira, L.P. Experimental–Numerical Investigation of the Ductile Damage of TRIP 780 Steel. Metals 2025, 15, 991. https://doi.org/10.3390/met15090991
Santos RO, Coelho PdP, Vincze G, Silva FRFd, Junior RAdA, Diniz SB, Moreira LP. Experimental–Numerical Investigation of the Ductile Damage of TRIP 780 Steel. Metals. 2025; 15(9):991. https://doi.org/10.3390/met15090991
Chicago/Turabian StyleSantos, Rafael Oliveira, Patrick de Paula Coelho, Gabriela Vincze, Fabiane Roberta Freitas da Silva, Rogério Albergaria de Azevedo Junior, Saulo Brinco Diniz, and Luciano Pessanha Moreira. 2025. "Experimental–Numerical Investigation of the Ductile Damage of TRIP 780 Steel" Metals 15, no. 9: 991. https://doi.org/10.3390/met15090991
APA StyleSantos, R. O., Coelho, P. d. P., Vincze, G., Silva, F. R. F. d., Junior, R. A. d. A., Diniz, S. B., & Moreira, L. P. (2025). Experimental–Numerical Investigation of the Ductile Damage of TRIP 780 Steel. Metals, 15(9), 991. https://doi.org/10.3390/met15090991

