Abstract
This study investigates the effects of molybdenum (Mo) additions on the crystallization behavior and soft magnetic properties and of Fe82-xSi4B12Nb1MoxCu1 (x = 0–2) nanocrystalline alloys. Molybdenum enhances glass-forming ability (GFA) and magnetic properties by increasing negative mixing enthalpy (), mixing entropy (), and atomic size mismatch (), which stabilize the amorphous phase. X-ray diffraction (XRD) analysis shows that Mo addition improves amorphous phase stability, further enhancing GFA. The simultaneous addition of Mo and Nb increases mixing entropy, promotes nucleation rates, and creates favorable conditions for optimizing nanocrystallization. Upon annealing, this optimized microstructure demonstrated low coercivity and high permeability. Notably, the Fe80Si4B12Nb1Mo2Cu1 ribbon, annealed at 470 °C for 10 min, exhibited exceptional soft magnetic properties, with a coercivity of 4.54 A/m, a maximum relative permeability of 48,410, and a saturation magnetization of 175.24 emu/g. High-resolution transmission electron microscopy (TEM) revealed an average crystal size of 18.16 nm. These findings suggest that Fe82-xSi4B12Nb1MoxCu1 (x = 0–2) nanocrystalline alloys are suitable for advanced electromagnetic applications pursuing miniaturization and high efficiency.
1. Introduction
Fe-based nanocrystalline soft magnetic alloys are essential materials for electromagnetic components, such as transformers and inductors, due to their lower core loss and coercivity (Hc) compared to silicon steel. In 1988, Yoshizawa et al. developed an Fe-Si-B-Cu-(Nb) system by adding Cu and Nb to Fe-Si-B alloys, achieving high effective permeability () and low core loss at high frequencies. The amorphous/nanocrystalline dual-phase structure of this alloy, featuring α-Fe crystals smaller than 20 nm uniformly distributed within a residual amorphous matrix, reduces magnetic anisotropy and magnetostriction, resulting in high μ and low Hc [1]. A representative alloy, FINEMET (Fe73.5Si13.5B9Nb3Cu1), is widely used in electronic devices due to its excellent soft magnetic properties, including low Hc and high μ. However, the increasing demand for miniaturization and improved efficiency in power conversion systems has driven the need for materials with enhanced DC bias capabilities. To accommodate this requirement, soft magnetic materials with higher saturation magnetization (Ms) are essential. The relatively low Fe content in conventional FINEMET alloys limits Ms to approximately 1.23 T, restricting further miniaturization [2,3].
To overcome these limitations and develop high-performance nanocrystalline soft magnetic alloys, a new strategy for alloy design is needed. Nanocrystalline alloys such as NANOMET, NANOPERM, Fe80.5Cu1.5Si4B14, and Fe82Si4B12Cu1Nb1 with Ms of 1.5–1.7 T have been developed [4,5,6,7]. A common characteristic of these alloys is their high Fe content. Increasing Fe content is the most effective way to enhance Ms. However, this approach reduces the content of metalloid elements, such as Si and B, leading to a deterioration in the glass-forming ability (GFA) and promoting surface crystallization [7,8,9]. Nb is also a crucial element that significantly influences GFA and nanocrystal formation. Furthermore, reducing transition metal elements like Nb, which inhibit grain growth, results in grain coarsening exceeding 30 nm and the deterioration of magnetic properties [10,11]. According to previous studies, Nb content below 1 at.% shows negligible effects on GFA, whereas at least 2–3 at.% of Nb is necessary to widen the interval () between the primary (Tx1) and secondary crystallization temperature (Tx2) and suppress grain growth below 20 nm [12]. These findings emphasize the critical role of transition metals in stabilizing the amorphous phase and controlling nanocrystal size for optimal soft magnetic properties [13,14].
To design superior nanocrystalline alloys with enhanced GFA, thermodynamic factors such as negative mixing enthalpy (), mixing entropy (), and atomic size mismatch () can be considered. The interactions between constituent elements significantly influence GFA and magnetic properties [7,15,16,17,18]. The influence of these elements on nucleation and crystallization provides valuable insights for optimizing composition and improving magnetic properties [19].
Additionally, constituent elements play a crucial role in the design of nanocrystalline alloys. For instance, Cu has a low solubility in Fe and does not form compounds with Fe [20]. However, Cu (≤1 at.%) forms clusters that promote heterogeneous nucleation of α-Fe(Si) crystals. These Cu clusters act as nucleation sites, improving the uniformity of the nanocrystalline structure [21]. Nb enhances the formation of finer Cu cluster nuclei and is also dispersed in the amorphous matrix, inhibiting crystal growth and preventing Fe2B phase formation. Nb and Cu refine the microstructure and promote finer α-Fe particles in the amorphous matrix [22,23].
This study aims to optimize the soft magnetic properties of nanocrystalline alloys with crystal sizes below 20 nm by investigating the Fe82-xSi4B12Nb1MoxCu1 (x = 0–2) alloys, based on the previously reported high-Ms alloy composition [24]. The objective is to develop a new nanocrystalline soft magnetic alloy with superior soft magnetic properties.
To achieve this, Mo was added to enhance the GFA and refine the nanocrystals. Mo, with a larger atomic radius and weight than Fe, remains in the residual amorphous matrix, playing a critical role in inhibiting grain growth and enhancing thermal stability [25]. This leads to the formation of nanocrystalline soft magnetic alloys with reduced Hc and enhanced [26]. Similar to Nb, Mo accumulates in the residual amorphous phase and impedes Fe atom diffusion [23], thus suppressing grain growth. Both Mo and Nb exhibit negative , promoting thermodynamic stability [27]. This enhances the stability of the amorphous phase, improving GFA and increasing nanocrystal uniformity, which is critical for enhancing magnetic properties [25,28,29,30,31,32]. Additionally, the co-addition of transition metals like Mo and Nb more effectively suppresses grain growth, refining the nanocrystals and promoting the formation of a nanocrystalline structure compared to single-element addition [12,23]. This further enhances magnetic properties, such as reduced Hc and increased , leading to the development of a nanocrystalline soft magnetic alloy with excellent properties.
2. Experiments
The master alloys with nominal compositions of Fe82−xSi4B12Nb1MoxCu1 (x = 0–2) were prepared by arc melting under an argon atmosphere, using high-purity raw materials: Fe (99.99 mass %), Si (99.99 mass %), Cu (99.99 mass %), and pre-alloyed FeB, FeMo, and FeNb. The melt-spun ribbons, approximately 20 m in thickness and 4 mm in width, were fabricated using a single-roller melt-spinning method at a copper roller speed of 2500 rpm (32 m/s) in an argon atmosphere. The ribbons were isothermally annealed in a muffle furnace at temperatures ranging from 430 to 550 °C for 10 min in an argon atmosphere, with rapid heating achieved by placing the samples directly into a muffle furnace. The thermal properties of the ribbons were evaluated using a differential scanning calorimeter (DSC) at a heating rate of 40 °C/min under high-purity argon flow. The amorphous and crystallization peaks of both as-spun and annealed ribbons were identified by X-ray diffractometry (XRD; Rigaku D/Max-2500VL/PC, Tokyo, Japan), using Bragg–Brentano geometry (θ–2θ configuration) with Cu Kα radiation ( = 1.5406 Å). The incident beam was aligned perpendicular to the ribbon surface, and measurements were conducted from the free side. Microstructural observations were performed using high-magnification scanning transmission electron microscopy (STEM; Talos F200X, ThermoFisherScientific, Waltham, MA, USA), with cross-sectional samples prepared accordingly. The Hc, relative permeability (), was measured using a DC B-H loop tracer (REMAGRAPH C-500, MAGNET-PHYSIK, Cologne, Germany) under an applied field of 800 A/m, while the Ms was determined by a vibrating sample magnetometer (VSM; EZ9, Microsense, Lexington, KY, USA) with an applied field up to 15,000 Oe.
3. Results and Discussions
3.1. Effect of Mo Addition on Thermodynamic Factors and GFA in Fe82−xSi4B12Nb1MoxCu1 (x = 0–2) Nanocrystalline Ribbons
The Fe82−xSi4B12Nb1MoxCu1 (x = 0–2) nanocrystalline soft magnetic ribbons were fabricated using melt spinning via rapid solidification. Each ribbon was produced with a thickness of approximately 20 and a width of 4 mm. For clarity, the Fe82−xSi4B12Nb1MoxCu1 (x = 0–2) compositions will be referred to as Mox, where x represents the Mo content in atomic percent, as shown in Table 1.
Table 1.
The precise composition of Fe82−xSi4B12Nb1MoxCu1 (x = 0–2) nanocrystalline ribbons.
GFA is defined as the ability of metallic glasses or amorphous alloys to form in an amorphous phase without crystallization. It is influenced by constituent elements and their thermodynamics interactions [33]. Amorphous phase formation typically requires rapid cooling rates of ~106 K/s [34]. However, controlling such high cooling rates is practically challenging, making it essential to design alloys with high GFA to maintain the stability of the amorphous phase.
When considering the Time–Temperature–Transformation (TTT) diagram, rapid cooling before the crystallization temperature (Tx) can result in the formation of a stable amorphous phase [35]. Figure 1a illustrates the effect of the TTT curve shifting from (1) to (2) to the right, thereby expanding the cooling window and delaying crystallization. This shift indicates that nucleation is suppressed, stabilizing the supercooled liquid phase. Previous studies have shown that adding elements to FINEMET alloys shifts the TTT curve to the right, increasing GFA and delaying crystallization [36] and promoting amorphous phase formation even at lower cooling rates.
Figure 1.
(a) Schematic of time–temperature–transformation (TTT) diagram for the crystallization of a glass-forming liquid, illustrating the significance of the expanded cooling window on enhancing glass-forming ability (GFA); (b) iIllustration of the mixing enthalpy, showing the thermodynamic interactions between elements; (c) comparison of the atomic radius in the alloy system.
Transition metals such as Mo and Nb enhance the stability of the amorphous phase by negative and inhibiting diffusion due to . Consequently, a stable amorphous phase forms at lower cooling rates, improving productivity [15,36,37]. The addition of Mo contributes to ensuring negative and increases , thus facilitating the stabilization of the amorphous phase. As shown in Table 2, values for Fe-Nb, Fe-Mo, and Nb-Mo were calculated as 14.2%, 9.2%, and 5.0%, respectively. These increase lattice distortion, causing it to be more difficult for atoms to diffuse, which enhances structural disorder and hinders crystallization. This suppresses grain growth, stabilizes the amorphous matrix, and contributes to superior magnetic properties [38].
Table 2.
Mixing enthalpy () in units of kJ/mol for atomic pairs of elements at quinary atomic composition. The data for atomic mismatch () are also provided for comparison with .
To enhance GFA, it is crucial to consider thermodynamic factors including negative , , and . In Fe-based amorphous-nanocrystalline alloys, metalloid elements such as Si and B are crucial for initiating the formation of the amorphous phase. The negative between Fe and these metalloids stabilizes the amorphous phase, whereas the positive between Fe and Cu (+13 kJ/mol) inhibits amorphous phase formation [25,39]. However, small amounts of Cu (1 at.%) provide nucleation sites and promote the formation of a stable nanocrystalline structure [27,40]. Nb and Mo play crucial roles during the initial stages of amorphous phase formation by providing negative values for Fe-Nb (−16 kJ/mol) and Fe-Mo (−2 kJ/mol), and it also suppresses grain growth and enhances the stability of the amorphous phase (Figure 1b) [25]. Additionally, Nb and Mo, with larger atomic radii (145 pm) than Fe [27,28], hinder diffusion and stabilize the nanocrystalline structure by preserving fine grain sizes (Figure 1c).
Figure 2 presents the calculation of , , and value for Fe82-xSi4B12Nb1MoxCu1 (x = 0–2) nanocrystalline alloy composition. Larger negative values strengthen bonding between elements, suppress crystallization, and promote the formation of an amorphous phase [41]. Notably, the addition of transition metals such as Nb and Mo to Fe-based alloys increases the negative , facilitating the formation of a stable amorphous phase.
Figure 2.
Mixing enthalpy (), mixing entropy (), and atomic mismatch () of Fe82−xSi4B12Nb1MoxCu1 (x = 0–2) melt-spun ribbons.
The is defined as follows [27,42,43]:
where is the between A and B elements and are the atomic percents. As Mo content increases in the Fe82−xSi4B12Nb1MoxCu1 (x = 0–2) nanocrystalline soft magnetic ribbons, continuously decreases.
The Mo0 alloy composition exhibits a relatively small −15.57 J·mol−1, while the Mo2 alloy composition shows −15.99 J·mol−1, as shown in Table 3. This suggests that the addition of Mo enhances the negative , thereby improving GFA. For the larger negative , atomic interactions between elements strengthen, enhancing stability, suppressing crystallization, and stabilizing the supercooled liquids [17,27,44,45]. These findings emphasize the role of Mo in improving GFA and achieving stable amorphous phase formation in Fe-based nanocrystalline alloys.
Table 3.
Comparative analysis of the mixing enthalpy (), mixing entropy (), and atomic mismatch () of Fe82−xSi4B12Nb1MoxCu1 (x = 0–2) melt-spun ribbons.
Higher increases compositional disorder, hindering atomic rearrangement into a crystalline structure. This disorder enhances the stability of the amorphous phase, which is advantageous for improving GFA [46,47].
The is defined as follows [48,49]:
where R is the gas constant. As the Mo content increases, the value increases to 6.09 J·K−1·mol−1. Additionally, the alloy composition with the co-addition of Nb and Mo generally shows higher values, indicating that the co-addition of Mo and Nb increases configurational disorder. This increase in disorder enhances stability and promotes the formation of the amorphous phase, contributing to the enhancement of GFA [46,47]. This suggests that the co-addition of Mo and Nb enhances the stability of the amorphous phase and facilitates its formation.
Finally, the was analyzed, which is defined as follows [42]:
where is the average atomic radius. Typically, higher values impede diffusion and enhance GFA. As Mo content increases, rises from 11.67% for Mo0 to 12.56% for Mo2. This suggests that as increases, lattice distortion occurs, suppressing crystallization and promoting the formation of the amorphous phase. Mo inhibits grain growth through its large value with Fe and Si, playing a crucial role in enhancing GFA.
Consequently, Mo enhances the GFA in Fe-based nanocrystalline alloys by increasing negative , , and , thereby optimizing both the magnetic properties.
To verify the effects of thermodynamic factors, XRD analysis was performed on the fabricated Fe82−xSi4B12Nb1MoxCu1 (x = 0–2). The XRD results, shown in Figure 3, revealed that increasing the Mo content enhanced the stability of the amorphous phase. In the Mo0-Mo1 ribbons, peaks corresponding to α-Fe(Si) were observed, with surface crystallization peaks of α-Fe(Si) at 2θ ≈ 65° appearing in Mo0 and Mo0.5 ribbons. This indicates that surface crystallization occurred during ribbon fabrication, deteriorating the soft magnetic properties. In contrast, the Mo1.5 and Mo2 ribbons exhibited stable amorphous phases with halo patterns, emphasizing the effect of Mo addition in stabilizing the amorphous phase and enhancing the soft magnetic properties.
Figure 3.
XRD patterns of Fe82−xSi4B12Nb1MoxCu1 (x = 0–2) melt-spun ribbons illustrating the effect of varying Mo content.
3.2. Influence of Mo Addition on Thermal Stability and Nanocrystalline Structure Formation
The co-existence of transition metal elements such as Mo and Nb is advantageous for increasing in multicomponent alloys, and it effectively lowers the nucleation energy barrier. The increase in reduces interfacial energy, controls diffusion rates, and suppresses excessive grain growth, thereby promoting the formation of an optimized nanocrystalline structure [29,30,31,42]. The resulting nanocrystalline structure enhances exchange interactions between the nanocrystals, significantly improving the magnetic properties of soft magnetic alloys [50]. Specifically, Nb and Mo further increase the , promoting initial nucleation and facilitating favorable nanocrystallization (Figure 4a).
Figure 4.
(a) Hypothetical diagram illustrating the free energy transition and energy barriers during phase decomposition and nanocrystallization in Fe-based alloys influenced by transition metal additions. (b) Schematic representation of phase transition interactions during crystallization.
The formation of nanocrystals can be explained as follows [51]:
where is the interfacial energy, is the free energy change at the interface, is the interfacial area, is the Gibbs free energy of mixing, is the enthalpy of mixing, is the configurational entropy of mixing, is the nucleation barrier energy, is the volumetric free energy change driving crystallization, is the nucleation rate, is the pre-exponential factor for nucleation, D is the atomic diffusion coefficient, is the Boltzmann constant, and T is the absolute temperature.
These thermodynamic properties emphasize the crucial role of transition metals in the crystallization process [18,43,52,53]. Mo and Nb reduce and lower , thereby increasing and promoting nanocrystallization [51,52,53]. Furthermore, the second transformation process from amorphous + α-Fe to α-Fe + intermetallic compounds, as depicted in Figure 2, can also be interpreted within the same thermodynamic context. Specifically, it is influenced by variations in and interfacial energy, indicating that both the initial nucleation and subsequent phase transitions follow a unified thermodynamic perspective.
Crystallization behavior significantly influences the magnetic properties of nanocrystalline soft magnetic alloys (Figure 4b). In the early stages of annealing, the amorphous phase is preserved uniformly, while Cu promotes the nucleation of α-Fe(Si) crystals by initiating cluster formation [54]. Nb and Mo further contribute by increasing , which lowers the energy barrier for nucleation and increases the nucleation rate, resulting in a higher density of nuclei [41]. These elements also control diffusion rates and inhibit abnormal grain growth, promoting the formation of an optimized nanocrystalline structure that enhances soft magnetic properties. The interactions between Cu, Mo, and Nb complement each other during crystallization: Cu promotes initial nucleation, while Nb and Mo enhance the process by stabilizing crystal growth, ensuring the formation of a fine, uniform, and stable nanocrystalline structure [19,55,56,57,58]. Upon annealing, an optimized nanocrystalline structure is formed, exhibiting excellent soft magnetic properties, including low Hc and high [17].
The effect of Mo addition in enhancing thermal stability in the residual amorphous phase and promoting the formation of a fine nanocrystalline structure during the crystallization is also verified by DSC analysis on Fe82−xSi4B12Nb1MoxCu1 (x = 0–2) ribbons (Figure 5). The analysis revealed two exothermic peaks corresponding to Tx1 (α-Fe(Si)) and Tx2 (Fe-metalloid compounds) [59]. The crystallization temperatures (Tx) and the temperature interval () are summarized in Table 4. As the Mo content increases, both Tx1 and the Tx2 rise, indicating that Mo enhances the thermal stability of the amorphous matrix and improves GFA [60]. Mo delays Fe-metalloid compounds and promotes the growth of α-Fe(Si) nanocrystals, ensuring stability at higher temperatures during annealing. Furthermore, this results in a widening of the , providing more favorable annealing conditions for nanocrystal formation. A wider crystallization window provides sufficient time for the formation of fine, uniform nanocrystals [49].
Figure 5.
DSC-measured thermal properties of melt-spun Fe82−xSi4B12Nb1MoxCu1 (x = 0–2) ribbons, including the Tx1, Tx2, and the .
Table 4.
Thermal properties (Tx1, Tx2, and T) of Fe82−xSi4B12Nb1MoxCu1 (x = 0–2) melt-spun ribbons measured by DSC.
3.3. Optimization of Soft Magnetic Properties in Fe82−xSi4B12Nb1MoxCu1 (x = 0–2) Nanocrystalline Ribbons via Mo Additions
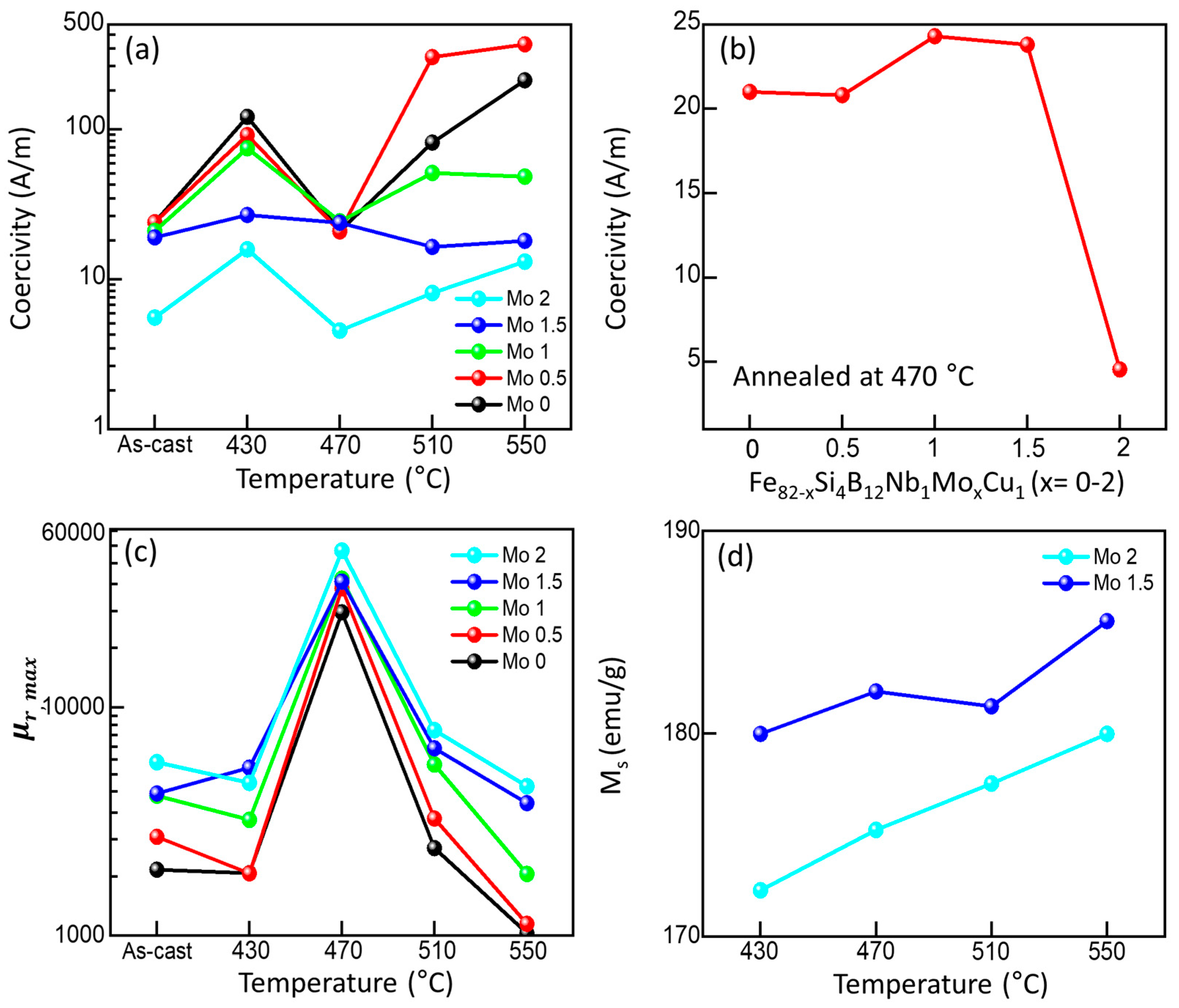
Based on the DSC analysis, Fe82−xSi4B12Nb1MoxCu1 (x = 0–2) ribbons were annealed for 10 min in an argon atmosphere at 40 °C intervals within the 430–550 °C, and their soft magnetic properties were evaluated. Figure 6a illustrates the variations in Hc as a function of Mo content, with the Mo2 ribbon showing the lowest Hc under all conditions. This improvement in soft magnetic properties is attributed to the stabilization of the amorphous matrix and the uniform formation of α-Fe(Si) nanocrystals as the Mo content increases. In contrast, the Mo0–Mo1 ribbons exhibit relatively higher Hc, which possibly results from incomplete amorphous phase formation, as indicated by the presence of the α-Fe(Si) phase in the as-cast XRD analysis. Specifically, the surface crystallization peaks observed in the Mo0 and Mo0.5 ribbons led to a significant increase in Hc. Surface crystallization deteriorates soft magnetic properties and degrades overall magnetic properties.
Figure 6.
(a) Variation in Hc of Fe82−xSi4B12Nb1MoxCu1 (x = 0–2) ribbons as a function of annealing temperature; (b) variation in Hc with Mo content for Fe82−ₓSi4B12Nb1MoₓCu1 (x = 0–2) ribbons annealed at 470 °C for 10 min; (c) variation in of Fe82−xSi4B12Nb1MoxCu1 (x = 0–2) ribbons; (d) variation in Ms of Mo1.5, Mo2 ribbons annealed at 430–510 °C for 10 min.
As shown in Figure 6a, the ribbons annealed at 470 °C exhibit the lowest Hc, which is attributed to optimized thermal conditions during annealing. Notably, the Mo2 ribbon exhibits an exceptionally low Hc value of 4.54 A/m, significantly lower than those of the other compositions. This indicates that the addition of Mo effectively suppresses the increase in coercivity. As further illustrated in Figure 6b, the reduced Hc in the Mo2 composition is likely associated with decreased domain wall pinning, which allows for easier domain wall movement. This improvement in magnetic softness contributes to the improvement of superior soft magnetic properties.
The inhibition of grain growth by Mo leads to a more homogeneous microstructure, thereby enhancing soft magnetic properties. Conversely, at annealing temperatures above 510 °C, the Hc of the Mo0 and Mo0.5 ribbons increases markedly, likely due to nanocrystal coarsening that enhances domain wall-pinning effects [1,13]. In contrast, the Mo1.5 and Mo2 ribbons maintain relatively low Hc values, indicating that an optimal Mo content plays a critical role in preserving refined microstructures and minimizing Hc. Although direct microstructural analysis was not conducted at 510 °C, the increased Hc in Mo0 and Mo0.5 strongly implies grain coarsening at this temperature. This trend is consistent with previous studies, where increased grain size is known to degrade soft magnetic performance due to enhanced pinning effects [1,6,8,12,13].
Figure 6c shows the dependence of on Mo content. In nanocrystalline soft magnetic materials, μ is closely related to Hc, which is influenced by grain size, distribution, and microstructural uniformity. In the as-cast state, relatively high Hc restricts domain wall movement, leading to lower μ [17,61]. Upon annealing at 470 °C, all ribbons showed a significant reduction in Hc. At this temperature, a uniform nanocrystalline structure forms, maximizing μ. Ribbons with higher Mo content preserved a stable amorphous phase, further contributing to the increase in . Annealing at 470 °C resulted in a notable increase in across all ribbons, indicating that the optimal growth of α-Fe nanocrystals enhanced the soft magnetic properties. Notably, the Mo2 ribbon demonstrated the high of 48,410, suggesting that effective nanocrystallization produced an optimal nanocrystalline microstructure. In contrast, after annealing at 510 °C, the ribbons exhibited a decrease in , which can be attributed to restricted domain wall movement caused by excessive crystallization, particularly in ribbons with lower Mo content [17,56].
Figure 6d shows the Ms of Mo1.5 and Mo2 ribbons as a function of annealing temperature. All annealed ribbons exhibit high Ms ranging from 170–185 emu/g with an increasing trend as the annealing temperature rises. Notably, the Mo2 ribbon, when annealed at 470 °C for 10 min, demonstrated a high Ms of 175.24 emu/g, indicating enhanced soft magnetic properties. However, the higher atomic weight of Mo contributes to a slight reduction in Ms, enhancing magnetic stability at elevated annealing temperatures [62].
In summary, the Mo2 ribbon annealed at 470 °C demonstrates low Hc, high , and high Ms, as shown in Table 5, indicating superior soft magnetic properties.
Table 5.
Comparison of the magnetic properties of Fe82−xSi4B12Nb1MoxCu1 (x = 0–2) ribbons annealed at 430–510 °C for 10 min, highlighting the effects of Mo content.
3.4. Structural Evolution in Fe82−xSi4B12Nb1MoxCu1 (x = 0–2) Nanocrystalline Ribbons
To further understand the effect of Mo addition on soft magnetic properties, variations in the nanocrystalline microstructure were examined. Previous evaluations of the soft magnetic properties of Fe82−xSi4B12Nb1MoxCu1 (x = 0–2) ribbons showed that the Mo2 ribbon exhibited stable properties both in the as-cast and after annealing. Based on these findings, the Mo2 ribbon was expected to likely possess a superior microstructure compared to other compositions. Therefore, TEM analysis was conducted on the Mo2 ribbon, which displayed the highest soft magnetic properties, after annealing at 470 °C for 10 min. This analysis aimed to further clarify the role of Mo in the formation of the nanocrystalline structure. The TEM sample was prepared using a focused ion beam, reaching a depth of 5–7 m from the free side of the ribbon. This approach enabled the effective observation of crystallization within the ribbon.
Figure 7a presents a high-resolution STEM image, confirming that nanocrystals with sizes around 20 nm are uniformly distributed. This microstructure is ideal for Fe-based nanocrystalline alloys and significantly enhances soft magnetic properties [17,63].
Figure 7.
(a) STEM image of the Fe80Si4B12Nb1Mo2Cu1 ribbon showing uniform nanocrystals; (b) SAED pattern confirming α-Fe(Si) phase; (c) size distribution of nanocrystals in the Fe80Si4B12Nb1Mo2Cu1 ribbon annealed at 470 °C for 10 min; (d) mapping images of the Fe80Si4B12Nb1Mo2Cu1 ribbon annealed at 470 °C for 10 min showing HAADF, Fe, Mo, and Nb.
Figure 7b shows the selected area electron diffraction (SAED) pattern of the Fe80Si4B12Nb1Mo2Cu1 ribbon. The ring diffraction in the SAED pattern corresponds to the d-spacing of the crystal, matching the characteristics of Fe-based nanocrystals, confirming the α-Fe(Si) phase [64,65].
Figure 7c presents a histogram of the nanocrystal size distribution in the Fe80Si4B12Nb1Mo2Cu1 ribbon. The nanocrystals are predominantly in the 15–25 nm range, with an average size of 18.16 nm, indicating the formation of fine, uniform nanocrystals.
The EDS mapping images in Figure 7d show the spatial distribution of each element (Fe, Mo, and Nb), while the corresponding high-angle annular dark-field (HAADF) image highlights the nanocrystalline morphology and contrast due to atomic number differences. Fe is uniformly distributed within the sample, suggesting that Fe, as the primary element, is evenly distributed. Mo is primarily located in the residual amorphous phase, where it suppresses nanocrystal growth and refines the grain size [66]. Compared to other ribbons, the Mo2 ribbon exhibits the lowest Hc and highest , reflecting the superior magnetic softness resulting from its finely refined nanocrystalline structure. Similarly, Nb is also located in the amorphous residual phase, further contributing to grain size refinement [12,67]. These mapping results are consistent with previous studies, which indicate that the co-addition of transition metals, such as Mo and Nb, more effectively controls the refinement of the nanocrystal size compared to single-element addition [66]. The co-addition of Mo and Nb effectively suppresses grain growth, leading to the formation of fine nanocrystals.
4. Conclusions
This study investigated the effect of Mo additions on the GFA and nanocrystallization behavior of Fe82−xSi4B12Nb1MoxCu1 (x = 0–2) nanocrystalline alloys. The Mo addition enhances GFA and magnetic properties by increasing negative , , and , which stabilize the amorphous phase. XRD analysis confirmed that Mo1.5 and Mo2 ribbons formed stable amorphous phases, demonstrating the role of Mo in enhancing the stability of the amorphous phase. The addition of Mo increases , promotes nucleation rates, and provides favorable conditions for optimizing nanocrystallization. The interactions between Cu, Nb, and Mo during crystallization lead to the formation of fine nanocrystals with low Hc and high , significantly improving soft magnetic properties. Additionally, increasing Mo content raised Tx1 and Tx2. The Fe80Si4B12Nb1Mo2Cu1 ribbon, annealed at 470 °C for 10 min, exhibited the lowest Hc (4.54 A/m), high (48,410), and a Ms of 175.24 emu/g, showing optimized soft magnetic properties. TEM imaging and diffraction pattern analysis confirmed that nanocrystals with an average size of 18.16 nm were formed, matching the α-Fe(Si) phase. EDS analysis further confirmed that Mo and Nb were located in the residual amorphous phase, contributing to the suppression of grain growth and the refinement of nanocrystals. These results underscore the capability of this alloy as a superior soft magnetic material, suitable for high-efficiency power conversion applications.
Author Contributions
Conceptualization, J.W.J.; methodology, H.A.I., S.A. and K.-b.K.; validation, S.Y.; investigation, H.A.I.; resources, S.A. and K.-b.K.; data curation, H.A.I., S.A. and K.-b.K.; writing—original draft preparation, H.A.I.; writing—review and editing, S.Y., J.w.L. and J.W.J.; supervision, J.w.L. and J.W.J. All authors have read and agreed to the published version of the manuscript.
Funding
This research was funded by the Korea Ministry of Trade, Industry, and Energy (MOTIE, Korea), grant number 20026708, and the Fundamental Research Program of the Korea Institute of Materials Science (KIMS), grant number PNKA510.
Data Availability Statement
The original contributions presented in this study are included in the article. Further inquiries can be directed to the corresponding authors.
Conflicts of Interest
The authors declare no conflicts of interest.
References
- Herzer, G. Nanocrystalline soft magnetic alloys. Handb. Magn. Mater. 1997, 10, 415–462. [Google Scholar]
- Raja, M.M.; Chattopadhyay, K.; Majumdar, B.; Narayanasamy, A. Structure and soft magnetic properties of Finemet alloys. J. Alloys Compd. 2000, 297, 199–205. [Google Scholar] [CrossRef]
- Blázquez, J.S.; Borrego, J.M.; Conde, C.F.; Conde, A.; Greneche, J.M. On the effects of partial substitution of Co for Fe in FINEMET and Nb-containing HITPERM alloys. J. Phys. Condens. Matter 2003, 15, 3957–3968. [Google Scholar] [CrossRef]
- Ohta, M.; Yoshizawa, Y. Effect of heating rate on soft magnetic properties in nanocrystalline Fe80 5Cu1 5Si4B14 and Fe82Cu1Nb1Si4B12 alloys. Appl. Phys. Express 2009, 2, 023005. [Google Scholar] [CrossRef]
- Setyawan, A.D.; Takenaka, K.; Sharma, P.; Nishijima, M.; Nishiyama, N.; Makino, A. Magnetic properties of 120-mm wide ribbons of high Bs and low core-loss NANOMET® alloy. J. Appl. Phys. 2015, 117, 17B715. [Google Scholar] [CrossRef]
- Matsuura, M.; Nishijima, M.; Takenaka, K.; Takeuchi, A.; Ofuchi, H.; Makino, A. Evolution of fcc Cu clusters and their structure changes in the soft magnetic Fe85.2Si1B9P4Cu0.8 (NANOMET) and FINEMET alloys observed by X-ray absorption fine structure. J. Appl. Phys. 2015, 117, 17D124. [Google Scholar] [CrossRef]
- Liu, L.; Zhou, B.; Zhang, Y.; He, A.; Zhang, T.; Li, F.; Dong, Y.; Wang, X. FeSiBPNbCu bulk nanocrystalline alloys with high GFA and excellent soft-magnetic properties. Metals 2019, 9, 219. [Google Scholar] [CrossRef]
- Yoshizawa, Y.; Oguma, S.; Yamauchi, K. New Fe-based soft magnetic alloys composed of ultrafine grain structure. J. Appl. Phys. 1988, 64, 6044–6046. [Google Scholar] [CrossRef]
- Makino, A.; Kubota, T.; Makabe, M.; Chang, C.T.; Inoue, A. Fe-metalloid metallic glasses with high magnetic flux density and high glass-forming ability. Mater. Sci. Forum 2007, 539–543, 1361–1366. [Google Scholar] [CrossRef]
- Karataş, M.M. Synthesis and Characterization of Bulk Amorphous/Nanocrystalline Soft Magnetic Materials. Ph.D. Thesis, Middle East Technical University, Ankara, Türkiye, 2016. [Google Scholar]
- Su, Y.-G.; Chen, F.; Wu, C.-Y.; Chang, M.-H.; Chung, C.-A. Effects of manufacturing parameters in planar flow casting process on ribbon formation and puddle evolution of Fe–Si–B alloy. ISIJ Int. 2015, 55, 2383–2390. [Google Scholar] [CrossRef]
- Lashgari, H.; Chu, D.; Xie, S.; Sun, H.; Ferry, M.; Li, S. Composition dependence of the microstructure and soft magnetic properties of Fe-based amorphous/nanocrystalline alloys: A review study. J. Non-Cryst. Solids 2014, 391, 61–82. [Google Scholar] [CrossRef]
- Herzer, G. Nanocrystalline soft magnetic materials. J. Magn. Magn. Mater. 1992, 112, 258–262. [Google Scholar] [CrossRef]
- Yoshizawa, Y.; Yamauchi, K. Magnetic properties of Fe–Cu–M–Si–B (M = Cr, V, Mo, Nb, Ta, W) alloys. Mater. Sci. Eng. A 1991, 133, 176–179. [Google Scholar] [CrossRef]
- Wang, A.D.; Zhao, C.L.; He, A.N.; Men, H.; Chang, C.T.; Wang, X.M. Composition design of high Bs Fe-based amorphous alloys with good amorphous-forming ability. J. Alloys Compd. 2016, 656, 729–734. [Google Scholar] [CrossRef]
- Shi, L.; Yao, K. Composition design for Fe-based soft magnetic amorphous and nanocrystalline alloys with high Fe content. Mater. Des. 2020, 189, 108511. [Google Scholar] [CrossRef]
- Herzer, G. Modern soft magnets: Amorphous and nanocrystalline materials. Acta Mater. 2013, 61, 718–734. [Google Scholar] [CrossRef]
- Saunders, N.; Miodownik, A.P. Thermodynamic aspects of amorphous phase formation. J. Mater. Res. 1986, 1, 38–46. [Google Scholar] [CrossRef]
- Lee, S.-W.; Huh, M.-Y.; Chae, S.-W.; Lee, J.-C. Mechanism of the deformation-induced nanocrystallization in a Cu-based bulk amorphous alloy under uniaxial compression. Scr. Mater. 2006, 54, 1439–1444. [Google Scholar] [CrossRef]
- Hono, K.; Ping, D.; Ohnuma, M.; Onodera, H. Cu clustering and Si partitioning in the early crystallization stage of an Fe73.5Si13.5B9Nb3Cu1 amorphous alloy. Acta Mater. 1999, 47, 997–1006. [Google Scholar] [CrossRef]
- Ayers, J.D.; Harris, V.G.; Sprague, J.A.; Elam, W.T.; Jones, H. On the formation of nanocrystals in the soft magnetic alloy Fe73.5Nb3Cu1Si13.5B9. Acta Mater. 1998, 46, 1861–1874. [Google Scholar] [CrossRef]
- Ohta, M.; Yoshizawa, Y. Recent progress in high Bs Fe-based nanocrystalline soft magnetic alloys. J. Phys. D Appl. Phys. 2011, 44, 064004. [Google Scholar] [CrossRef]
- Wu, Y.; Bitoh, T.; Hono, K.; Makino, A.; Inoue, A. Microstructure and properties of nanocrystalline Fe–Zr–Nb–B soft magnetic alloys with low magnetostriction. Acta Mater. 2001, 49, 4069–4077. [Google Scholar] [CrossRef]
- Ohta, M.; Yoshizawa, Y.; Takezawa, M.; Yamasaki, J. Effect of surface microstructure on magnetization process in Fe80.5Cu1.5Si4B14 nanocrystalline alloys. IEEE Trans. Magn. 2010, 46, 203–206. [Google Scholar] [CrossRef]
- Takeuchi, A.; Inoue, A. Analyses of characteristics of atomic pairs in ferrous bulk metallic glasses using classification of bulk metallic glasses and Pettifor map. J. Optoelectron. Adv. Mater. 2006, 8, 1679–1684. [Google Scholar]
- Liu, F.; Yang, Q.; Pang, S.; Zhang, T. Effect of Mo element on the properties of Fe–Mo–P–C–B bulk metallic glasses. J. Non-Cryst. Solids 2009, 355, 1444–1447. [Google Scholar] [CrossRef]
- Takeuchi, A.; Inoue, A. Classification of bulk metallic glasses by atomic size difference, heat of mixing and period of constituent elements and its application to characterization of the main alloying element. Mater. Trans. 2005, 46, 2817–2829. [Google Scholar] [CrossRef]
- Ozawa, T. Non-isothermal kinetics of diffusion and its application to thermal analysis. J. Therm. Anal. 1973, 5, 563–576. [Google Scholar] [CrossRef]
- Takemoto, S.; Nitta, H.; Iijima, Y.; Yamazaki, Y. Diffusion of tungsten in α-iron. Philos. Mag. 2007, 87, 1619–1629. [Google Scholar] [CrossRef]
- Oono, N.; Nitta, H.; Iijima, Y. Diffusion of niobium in α-iron. Mater. Trans. 2003, 44, 2078–2083. [Google Scholar] [CrossRef]
- Perez, R.A.; Nakajima, H.; Dyment, F. Diffusion in α-Ti and Zr. Mater. Trans. 2003, 44, 2–13. [Google Scholar] [CrossRef]
- Li, X.; Qin, C.L.; Kato, H.; Makino, A.; Inoue, A. Mo microalloying effect on the glass-forming ability, magnetic, mechanical and corrosion properties of (Fe0.76Si0.096B0.084P0.06)100-xMox bulk glassy alloys. J. Alloys Compd. 2011, 509, 7688–7691. [Google Scholar] [CrossRef]
- Sohrabi, S.; Arabi, H.; Beitollahi, A.; Gholamipour, R. Planar flow casting of Fe71Si13.5B9Nb3Cu1 Al1.5Ge1 ribbons. J. Mater. Eng. Perform. 2013, 22, 2185–2190. [Google Scholar] [CrossRef]
- Wu, Y.; Zhang, Y.; Zhang, T. Application of 3D balanced growth theory to the formation of bulk amorphous alloys. Front. Mater. 2021, 8, 694920. [Google Scholar] [CrossRef]
- Jayalakshmi, S.; Gupta, M. Amorphous alloys/bulk metallic glasses (BMG). In Metallic Amorphous Alloy Reinforcements in Light Metal Matrices; Springer: Singapore, 2015; pp. 59–83. [Google Scholar]
- Gheiratmand, T.; Hosseini, H.M. Finemet nanocrystalline soft magnetic alloy: Investigation of glass forming ability, crystallization mechanism, production techniques, magnetic softness and the effect of replacing the main constituents by other elements. J. Magn. Magn. Mater. 2016, 408, 177–192. [Google Scholar] [CrossRef]
- Liu, T.; Wang, A.; Zhao, C.; Yue, S.; Wang, X.; Liu, C. Compositional design and crystallization mechanism of high Bs nanocrystalline alloys. Mater. Res. Bull. 2019, 112, 323–330. [Google Scholar] [CrossRef]
- Cheng, Y.; Ma, E. Atomic-level structure and structure–property relationship in metallic glasses. Prog. Mater. Sci. 2011, 56, 379–473. [Google Scholar] [CrossRef]
- Chen, Q.; Jin, Z. The Fe–Cu system: A thermodynamic evaluation. Metall. Mater. Trans. A 1995, 26, 417–426. [Google Scholar] [CrossRef]
- An, Z.; Li, A.; Mao, S.; Yang, T.; Zhu, L.; Wang, R.; Wu, Z.; Zhang, B.; Shao, R.; Jiang, C. Negative mixing enthalpy solid solutions deliver high strength and ductility. Nature 2024, 625, 697–702. [Google Scholar] [CrossRef]
- Suzuki, K.; Makino, A.; Inoue, A.; Masumoto, T. Soft magnetic properties of bcc Fe–M–B–Cu (M = Ti, Nb or Ta) alloys with nanoscale grain size. Jpn. J. Appl. Phys. 1991, 30, L1729. [Google Scholar] [CrossRef]
- Takeuchi, A.; Inoue, A. Calculations of mixing enthalpy and mismatch entropy for ternary amorphous alloys. Mater. Trans. JIM 2000, 41, 1372–1378. [Google Scholar] [CrossRef]
- Bhatt, J.; Jiang, W.; Junhai, X.; Qing, W.; Dong, C.; Murty, B.S. Optimization of bulk metallic glass forming compositions in Zr–Cu–Al system by thermodynamic modeling. Intermetallics 2007, 15, 716–721. [Google Scholar] [CrossRef]
- Inoue, A. High strength bulk amorphous alloys with low critical cooling rates (overview). Mater. Trans. JIM 1995, 36, 866–875. [Google Scholar] [CrossRef]
- Louzguine-Luzgin, D.V. Bulk metallic glasses and glassy/crystalline materials. In Novel Functional Magnetic Materials: Fundamentals and Applications; Springer: Berlin/Heidelberg, Germany, 2016; Volume 231, pp. 397–440. [Google Scholar]
- Takeuchi, A.; Amiya, K.; Wada, T.; Yubuta, K.; Zhang, W.; Makino, A. Entropies in alloy design for high-entropy and bulk glassy alloys. Entropy 2013, 15, 3810–3821. [Google Scholar] [CrossRef]
- Xing, Q.-W.; Zhang, Y. Amorphous phase formation rules in high-entropy alloys. Chin. Phys. B 2017, 26, 018104. [Google Scholar] [CrossRef]
- Feng, R.; Gao, M.C.; Lee, C.; Mathes, M.; Zuo, T.; Chen, S.; Hawk, J.A.; Zhang, Y.; Liaw, P.K. Design of light-weight high-entropy alloys. Entropy 2016, 18, 333. [Google Scholar] [CrossRef]
- Li, W.; Xie, C.; Liu, H.; Wang, K.; Liao, Z.; Yang, Y. Minor-metalloid substitution for Fe on glass formation and soft magnetic properties of Fe–Co–Si–B–P–Cu alloys. J. Non-Cryst. Solids 2020, 533, 119937. [Google Scholar] [CrossRef]
- Suryanarayana, C.; Inoue, A. Bulk Metallic Glasses; CRC Press: Boca Raton, FL, USA, 2017. [Google Scholar]
- Scott, M. Crystallization. In Amorphous Metallic Alloys; Elsevier: Amsterdam, The Netherlands, 1983; pp. 144–168. [Google Scholar]
- Lu, H.-J.; Zou, N.; Zhao, X.-S.; Shen, J.-Y.; Lu, X.-G.; He, Y.-L. Thermodynamic investigation of the Zr–Fe–Nb system and its applications. Intermetallics 2017, 88, 91–100. [Google Scholar] [CrossRef]
- Descamps, M.; Dudognon, E. Crystallization from the amorphous state: Nucleation–growth decoupling, polymorphism interplay, and the role of interfaces. J. Pharm. Sci. 2014, 103, 2615–2628. [Google Scholar] [CrossRef]
- Mattern, N.; Danzig, A.; Müller, M. Effect of Cu and Nb on crystallization and magnetic properties of amorphous Fe77.5Si15.5B7 alloys. Mater. Sci. Eng. A 1995, 194, 77–85. [Google Scholar] [CrossRef]
- Clavaguera-Mora, M.T. Glass formation in metallic systems. Ber. Bunsenges. Phys. Chem. 1998, 102, 1291–1297. [Google Scholar] [CrossRef]
- Suzuki, K. Nanocrystalline soft magnetic materials: A decade of alloy development. J. Metastable Nanocryst. Mater. 1999, 2, 521–530. [Google Scholar]
- Yeo, J.-G.; Kim, D.H.; Choi, Y.J.; Lee, B.W. Improving power-inductor performance by mixing sub-micro Fe powder with amorphous soft magnetic composites. J. Electron. Mater. 2019, 48, 6018–6023. [Google Scholar] [CrossRef]
- Schmitt, E.A.; Law, D.; Zhang, G.G.Z. Nucleation and crystallization kinetics of hydrated amorphous lactose above the glass transition temperature. J. Pharm. Sci. 1999, 88, 291–298. [Google Scholar] [CrossRef] [PubMed]
- Liu, T.; Kong, F.; Xie, L.; Wang, A.; Chang, C.; Wang, X.; Liu, C.-T. Fe(Co)SiBPCCu nanocrystalline alloys with high Bs above 1.83 T. J. Magn. Magn. Mater. 2017, 441, 174–179. [Google Scholar] [CrossRef]
- Zhao, C.; Wang, A.; He, A.; Yue, S.; Chang, C.; Wang, X.; Li, R.-W. Correlation between soft-magnetic properties and Tx1–Tc in high Bs FeCoSiBPC amorphous alloys. J. Alloys Compd. 2016, 659, 193–197. [Google Scholar] [CrossRef]
- Protasova, S.G.; Straumal, B.B.; Dobatkin, S.V.; Goll, D.; Schütz, G.; Baretzky, B.; Mazilkin, A.A.; Nekrasov, A.N. Coercivity and domain structure of nanograined Fe–C alloys after high-pressure torsion. J. Mater. Sci. 2008, 43, 3775–3781. [Google Scholar] [CrossRef][Green Version]
- Butvinová, B.; Švec Sr, P.; Janotová, I.G.; Dias, L.V.; Janičkovič, D.; Maťko, I. Magnetic properties and structure of short-term annealed FeCuBPSi nanocrystalline alloys. J. Magn. Magn. Mater. 2024, 590, 171662. [Google Scholar] [CrossRef]
- Herzer, G. Grain size dependence of coercivity and permeability in nanocrystalline ferromagnets. IEEE Trans. Magn. 1990, 26, 1397–1402. [Google Scholar] [CrossRef]
- Li, H.; Wang, A.; Liu, T.; Chen, P.; He, A.; Li, Q.; Luan, J.; Liu, C.-T. Design of Fe-based nanocrystalline alloys with superior magnetization and manufacturability. Mater. Today 2021, 42, 49–56. [Google Scholar] [CrossRef]
- Varela, M.; Lupini, A.R.; Benthem, K.v.; Borisevich, A.Y.; Chisholm, M.F.; Shibata, N.; Abe, E.; Pennycook, S.J. Materials characterization in the aberration-corrected scanning transmission electron microscope. Annu. Rev. Mater. Res. 2005, 35, 539–569. [Google Scholar] [CrossRef]
- Lu, W.; Fan, J.; Wang, Y.; Yan, B. Microstructure and magnetic properties of Fe72.5Cu1M2V2Si13.5B9 (M = Nb, Mo, (NbMo), (MoW)) nanocrystalline alloys. J. Magn. Magn. Mater. 2010, 322, 2935–2937. [Google Scholar] [CrossRef]
- Fiorillo, F.; Bertotti, G.; Appino, C.; Pasquale, M. Soft magnetic materials. In Wiley Encyclopedia of Electrical and Electronics Engineering; John Wiley & Sons, Inc.: Hoboken, NJ, USA, 2016; pp. 1–42. [Google Scholar]
Disclaimer/Publisher’s Note: The statements, opinions and data contained in all publications are solely those of the individual author(s) and contributor(s) and not of MDPI and/or the editor(s). MDPI and/or the editor(s) disclaim responsibility for any injury to people or property resulting from any ideas, methods, instructions or products referred to in the content. |
© 2025 by the authors. Licensee MDPI, Basel, Switzerland. This article is an open access article distributed under the terms and conditions of the Creative Commons Attribution (CC BY) license (https://creativecommons.org/licenses/by/4.0/).






