Alkaloid Extract from Chimarrhis cymosa as a Corrosion Inhibitor for C38 Steel in 1M Hydrochloric Acid: Electrochemical and XPS Studies
Abstract
1. Introduction
2. Materials and Methods
2.1. Specimen Preparation and Solution for Corrosion Tests
2.2. Preparation of Plant Extract
2.3. Electrochemical Measurements
2.4. XPS
3. Results and Discussion
3.1. Polarization Curves
3.2. Electrochemical Impedance Spectroscopy
3.3. Surface Analysis Results
3.4. Adsorption Isotherms
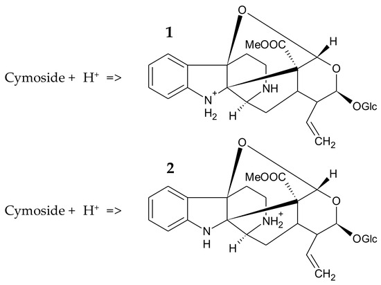
3.5. Mechanism of Inhibition
- These molecules exist in cationic form and can interact with the negatively charged metal surface following the adsorption of chloride ions “Cl−” on the metal surface.
- The adsorption of these molecules can also occur directly through “donor–acceptor” bonds between the π electrons (heterocyclic compounds and heteroatoms) and the vacant “d” orbitals of iron atoms.
- Cymoside is one of several alkaloids present in the extract, and it is not the only active compound. The discussion of the inhibition mechanism focused on cymoside because it is currently the only alkaloid that has been isolated and identified. However, it is important to note that at this pH, any alkaloid present in the extract would be protonated, which could contribute to the observed findings.
4. Conclusions
Author Contributions
Funding
Data Availability Statement
Conflicts of Interest
References
- Sesia, R.; Spriano, S.; Sangermano, M.; Ferraris, S. Natural Polyphenols and the Corrosion Protection of Steel: Recent Advances and Future Perspectives for Green and Promising Strategies. Metals 2023, 13, 1070. [Google Scholar] [CrossRef]
- Sutthiruangwong, S.; Wongpaiboon, C.; Sritha, N.; Anukulkich, N. Pitting Potential Improvement of 304 Stainless Steel in Hydrochloric Acid Solution by Terminalia bellirica Fruit Extract. Metals 2023, 13, 262. [Google Scholar] [CrossRef]
- Kwolek, P.; Dychton, K.; Kościelniak, B.; Obłój, A.; Podborska, A.; Wojnicki, M. Gallic Acid as a Potential Green Corrosion Inhibitor for Aluminum in Acidic Solution. Metals 2022, 12, 250. [Google Scholar] [CrossRef]
- Cáceres, L.; Frez, Y.; Galleguillos, F.; Soliz, A.; Gómez-Silva, B.; Borquez, J. Aqueous Dried Extract of Skytanthus acutus Meyen as Corrosion Inhibitor of Carbon Steel in Neutral Chloride Solutions. Metals 2021, 11, 1992. [Google Scholar] [CrossRef]
- Boutoumit, A.; Elhawary, M.; Bellaouchou, A.; Boudalia, M.; Hammani, O.; José Garcia, A.; Amin, H.M.A. Electrochemical, Structural and Thermodynamic Investigations of Methanolic Parsley Extract as a Green Corrosion Inhibitor for C37 Steel in HCl. Coatings 2024, 14, 783. [Google Scholar] [CrossRef]
- Dahmani, M.; Et-Touhami, A.; Al-Deyab, S.S.; Hammouti, B.; Bouyanzer, A. Corrosion Inhibition of C38 Steel in 1 M HCl: A Comparative Study of Black Pepper Extract and Its Isolated Piperine. Int. J. Electrochem. Sci. 2010, 5, 1060–1069. [Google Scholar] [CrossRef]
- Thapa, O.; Magar, J.T.; Oli, H.B.; Rajaure, A.; Nepali, D.; Deval Prasad Bhattarai, D.B.; Mukh, T. Alkaloids of Solanum xanthocarpum stem as green inhibitor for mild steel corrosion in one molar sulphuric acid solution. Electrochem 2022, 3, 820–842. [Google Scholar] [CrossRef]
- Lebrini, M. Alkaloids from Plant Extracts as Corrosion Inhibitors for Metal Alloys. In Corrosion Engineering—Recent Breakthroughs and Innovative Solutions; IntechOpen: London, UK, 2024. [Google Scholar] [CrossRef]
- Li, Y.; Zhao, P.; Liang, Q.; Hou, B. Berberine as a natural source inhibitor for mild steel in 1 M H2SO4. Appl. Surf. Sci. 2005, 252, 1245. [Google Scholar] [CrossRef]
- Chapagain, A.; Acharya, D.; Kumari Das, A.; Chhetri, K.; Bhakta Oli, H.; Prasad Yadav, A. Alkaloid of Rhynchostylis retusa as Green Inhibitor for Mild Steel Corrosion in 1 M H2SO4 Solution. Electrochem 2022, 3, 211–224. [Google Scholar] [CrossRef]
- Ng, J.H.; Almubarak, T.; Nasr-El-Din, H. Natural alkaloid as a non-toxic, environmentally friendly corrosion inhibitor. Can. J. Chem. Eng. 2022, 100, 1214–1225. [Google Scholar] [CrossRef]
- Lebrini, M.; Robert, F.; Roos, C. Inhibition Effect of Alkaloids Extract from Annona Squamosa Plant on the Corrosion of C38 Steel in Normal Hydrochloric Acid Medium. Int. J. Electrochem. Sci. 2010, 5, 1698–1712. [Google Scholar] [CrossRef]
- Faustin, M.; Lebrini, M.; Robert, F.; Roos, C. Corrosion studies of C38 steel by alkaloids extract of a tropical plant type. Int. J. Electrochem. Sci. 2011, 9, 4095–4113. [Google Scholar] [CrossRef]
- Growcock, F.B.; Jasinski, R.J. Time-resolved impedance spectroscopy of mild steel in concentrated hydrochloric acid. J. Electrochem. Soc. 1989, 136, 2310–2314. [Google Scholar] [CrossRef]
- Li, P.; Lin, J.Y.; Tan, K.L.; Lee, J.Y. Electrochemical impedance and X-ray photoelectron spectroscopic studies of the inhibition of mild steel corrosion in acids by cyclohexylamine. Electrochim. Acta 1997, 42, 605–615. [Google Scholar]
- Lopez, D.A.; Simison, S.N.; de Sanchez, S.R. The influence of steel microstructure on CO2 corrosion. EIS studies on the inhibition efficiency of benzimidazole. Electrochim. Acta 2003, 48, 845–854. [Google Scholar] [CrossRef]
- Stoynov, Z. Impedance modelling and data processing: Structural and parametrical estimation. Electrochim. Acta 1990, 35, 1493–1499. [Google Scholar] [CrossRef]
- Macdonald, J.R. Impedance spectroscopy and its use in analyzing the steady-state AC response of solid and liquid electrolytes. J. Electroanal. Chem. 1987, 223, 25–50. [Google Scholar] [CrossRef]
- McCafferty, E.; Hackerman, N. Double Layer Capacitance of Iron and Corrosion Inhibition with Polymethylene Diamines. J. Electrochem. Soc. 1972, 119, 146–154. [Google Scholar] [CrossRef]
- Riedo, E.; Comin, F.; Chevrier, J.; Schmithusen, F.; Decossas, S.; Sancrotti, M. Role of the Carbon Coating, the Particle Size, and the Agglomeration on the Electronic Conductivity of LiFePO4-Based Electrodes for Lithium-Ion Batteries. Surf. Coat. Technol. 2000, 125, 124. [Google Scholar] [CrossRef]
- Bentiss, F.; Traisnel, M.; Gengembre, L.; Lagrenée, M. Inhibition of acidic corrosion of mild steel by 3,5-diphenyl-4H-1,2,4-triazole. Appl. Surf. Sci. 2000, 161, 194–202. [Google Scholar]
- Castro, V.D.; Ciampi, S. XPS study of the growth and reactivity of FeMnO thin films. Surf. Sci. 1995, 331–333, 294–299. [Google Scholar] [CrossRef]
- Pech-Canul, M.A.; Bartolo-Pérez, P. Inhibition effects of N-phosphono-methyl-glycine/Zn2+ mixtures on corrosion of steel in neutral chloride solutions. Surf. Coat. Technol. 2004, 184, 133–140. [Google Scholar] [CrossRef]
- Tandon, R.K.; Payling, R.; Chenhall, B.E.; Crisp, P.T.; Ellis, J.; Baker, R.S. Application of X-ray photoelectron spectroscopy to the analysis of stainless-steel welding aerosols. Appl. Surf. Sci. 1985, 20, 527–537. [Google Scholar] [CrossRef]
- Sastri, V.S.; Elboujdaini, M.; Brown, J.R.; Perumareddi, J.R. Surface Analysis of Inhibitor Films Formed in Hydrogen Sulfide Medium. Corrosion 1996, 52, 447–452. [Google Scholar] [CrossRef]
- Moulder, F.; Stickle, W.F.; Sobol, P.E.; Bomben, K.D. Handbook of X-Ray Photoelectron Spectroscopy; Perkin-Elmer Corporation: Waltham, MA, USA, 1992. [Google Scholar]
- Lebrini, M.; Lagrenée, M.; Traisnel, M.; Gengembre, L.; Vezin, H.; Bentiss, F. Enhanced corrosion resistance of mild steel in normal sulfuric acid medium by 2,5-bis(n-thienyl)-1,3,4-thiadiazoles: Electrochemical, X-ray photoelectron spectroscopy and theoretical studies. Appl. Surf. Sci. 2007, 253, 9267–9276. [Google Scholar] [CrossRef]
- Khaled, K.F.; Hackerman, N. Investigation of the inhibitive effect of ortho-substituted anilines on corrosion of iron in 1 M HCl solutions. Electrochim. Acta 2003, 48, 2715. [Google Scholar] [CrossRef]
- Lémus, C.; Kritsanida, M.; Canet, A.; Genta-Jouve, G.; Michel, S.; Deguin, B.; Grougnet, R. Cymoside, a monoterpene indole alkaloid with a hexacyclic fused skeleton from Chimarrhis cymosa. Tetrahedron Lett. 2015, 56, 5377–5380. [Google Scholar] [CrossRef]









| Concentration mg L−1 | Ecorr vs. SCE | Rp | IE Rp |
|---|---|---|---|
| (mV) | (Ω cm2) | (%) | |
| 1M HCl | −460 | 76 | |
| AECC | |||
| 25 | −466 | 241 | 68 |
| 50 | −487 | 282 | 73 |
| 100 | −471 | 555 | 86 |
| 200 | −472 | 697 | 89 |
| Concentration (mg L−1) | Rt | 104 Q | n | IE |
|---|---|---|---|---|
| (Ω cm2) | (Ω−1·sn) | (%) | ||
| 1M HCl | 49 | 9.50 | 0.753 | — |
| AECC | ||||
| 25 | 163 | 3.69 | 0.766 | 70 |
| 50 | 253 | 3.05 | 0.771 | 81 |
| 100 | 363 | 2.4 | 0.780 | 86 |
| 200 | 496 | 1.53 | 0.792 | 90 |
| Concentration (mg L−1) | IE (%) | Langmuir | Frumkin | Temkin | |||
|---|---|---|---|---|---|---|---|
| θ | C/θ (mg L−1) | θ | Ln[C(1 − θ)/θ] (mg L−1) | θ | Ln C (mg L−1) | ||
| 25 | 69.9386 | 0.699386 | 35.7456 | 0.699386 | 2.3744 | 0.699386 | 3.2188 |
| 50 | 80.6324 | 0.806324 | 60.3286 | 0.806324 | 2.3349 | 0.806324 | 3.9120 |
| 100 | 86.5013 | 0.865013 | 115.6050 | 0.865013 | 2.7475 | 0.865013 | 4.6051 |
| 200 | 90.1209 | 0.901209 | 221.9239 | 0.901209 | 3.0875 | 0.901209 | 5.2983 |
Disclaimer/Publisher’s Note: The statements, opinions and data contained in all publications are solely those of the individual author(s) and contributor(s) and not of MDPI and/or the editor(s). MDPI and/or the editor(s) disclaim responsibility for any injury to people or property resulting from any ideas, methods, instructions or products referred to in the content. |
© 2025 by the authors. Licensee MDPI, Basel, Switzerland. This article is an open access article distributed under the terms and conditions of the Creative Commons Attribution (CC BY) license (https://creativecommons.org/licenses/by/4.0/).
Share and Cite
Said-Ahmed, M.; Lebrini, M. Alkaloid Extract from Chimarrhis cymosa as a Corrosion Inhibitor for C38 Steel in 1M Hydrochloric Acid: Electrochemical and XPS Studies. Metals 2025, 15, 523. https://doi.org/10.3390/met15050523
Said-Ahmed M, Lebrini M. Alkaloid Extract from Chimarrhis cymosa as a Corrosion Inhibitor for C38 Steel in 1M Hydrochloric Acid: Electrochemical and XPS Studies. Metals. 2025; 15(5):523. https://doi.org/10.3390/met15050523
Chicago/Turabian StyleSaid-Ahmed, Mahado, and Mounim Lebrini. 2025. "Alkaloid Extract from Chimarrhis cymosa as a Corrosion Inhibitor for C38 Steel in 1M Hydrochloric Acid: Electrochemical and XPS Studies" Metals 15, no. 5: 523. https://doi.org/10.3390/met15050523
APA StyleSaid-Ahmed, M., & Lebrini, M. (2025). Alkaloid Extract from Chimarrhis cymosa as a Corrosion Inhibitor for C38 Steel in 1M Hydrochloric Acid: Electrochemical and XPS Studies. Metals, 15(5), 523. https://doi.org/10.3390/met15050523

