Next Article in Journal
Effect of Annealing Temperature on Microstructure, Texture, and Magnetic Properties of Non-Oriented Silicon Steel for Electric Vehicle Traction Motors
Previous Article in Journal
Investigation on High-Temperature Tensile and Wear Properties in an L-PBF-Fabricated TiB2-Reinforced Austenitic Steel
 
 
Font Type:
Arial Georgia Verdana
Font Size:
Aa Aa Aa
Line Spacing:
Column Width:
Background:
Article

Effects of Laser Process Parameters on Melt Pool Thermodynamics, Surface Morphology and Residual Stress of Laser Powder Bed-Fused TiAl-Based Composites

1
Jiangsu Key Laboratory of Advanced Food Manufacturing Equipment & Technology, School of Mechanical Engineering, Jiangnan University, Wuxi 214122, China
2
Jiangsu Province Engineering Research Center of Micro-Nano Additive and Subtractive Manufacturing, Wuxi 214122, China
*
Author to whom correspondence should be addressed.
Metals 2025, 15(11), 1234; https://doi.org/10.3390/met15111234
Submission received: 29 September 2025 / Revised: 1 November 2025 / Accepted: 3 November 2025 / Published: 9 November 2025
(This article belongs to the Section Additive Manufacturing)

Abstract

A coupled discrete element method and computational fluid dynamics (DEM-CFD) approach was utilized to systematically investigate the mesoscale dynamics of single-track melt pools in laser powder bed fusion (LPBF) of TiAl-based composites. It was found that the melt pool’s temporal evolution and flow behavior are predominantly governed by recoil pressure and Marangoni convection. When lower laser power and higher scanning speeds are applied, the melt pool size is limited due to restricted energy input, resulting in increased cooling rates and steeper temperature gradients. Under these conditions, residual stresses are slightly elevated. However, crack initiation and propagation are partially suppressed by the refined microstructure formed during rapid cooling, unless a critical stress threshold is surpassed. In contrast, the use of higher laser power with lower scanning speeds leads to the formation of wider and deeper melt pools and an expanded heat-affected zone, where cooling rates and temperature gradients are reduced. Under these circumstances, significant recoil pressure induces interfacial instabilities and surface perturbations, thereby considerably increasing the likelihood of cracking. The reliability of the developed model was confirmed by the close agreement between the simulation results and experimental data.

1. Introduction

TiAl alloys, owing to their low density (3.8–4.2 g/cm3), high specific strength, and excellent oxidation resistance, are regarded as promising candidates to replace conventional Ni-based superalloys and have been widely applied in high-temperature structural components such as aerospace and automotive engines. For instance, GE and HP have successfully employed TiAl alloys in low-pressure turbine blades [1,2]. Among them, high-Nb TiAl alloys, representing the third generation of TiAl materials, have attracted significant attention because Nb addition not only markedly enhances the high-temperature yield strength of TiAl alloys [3] but also improves their microstructural stability [4] and oxidation resistance [5]. However, current research on high-Nb TiAl alloys is still largely focused on conventional manufacturing methods such as casting and forging. These processes are typically complex, time-consuming, and limited by poor workability of the materials, posing significant challenges in fabricating components with intricate geometries.
In recent years, additive manufacturing (AM) technologies have gained widespread attention in both academia and industry due to their great potential for efficiently fabricating complex metallic components. Among the various AM techniques, electron beam melting (EBM) and laser powder bed fusion (LPBF) have been widely employed in the processing of high-temperature alloys, including TiAl alloys. Although the relatively high preheating temperature in EBM (exceeding the ductile-to-brittle transition temperature of TiAl alloys [6]) can effectively suppress cracking, long exposure of the material in a vacuum environment often results in microstructural degradation, aluminum evaporation, and a significant increase in production costs [7]. Consequently, research focus has gradually shifted toward LPBF, which offers higher dimensional accuracy and lower overall costs, demonstrating great potential for fabricating complex structural components. Nevertheless, due to the intrinsic high-temperature brittleness of TiAl alloys, combined with the severe thermal gradients induced by rapid laser heating and cooling, defects such as cracks and pores are readily formed [8], which severely impair the performance and reliability of TiAl alloys. To address this issue, one effective approach is the introduction of grain refiners to suppress solidification cracking and thereby improve processability [9]. In our previous work [10], the addition of a small amount of LaB6 nanoparticles into TiAl alloys significantly refined the grains and effectively reduced crack density. This was mainly attributed to the grain refinement promoted by B and the in situ formation of La2O3, which partially reduced the oxygen content and consequently enhanced the plasticity and densification behavior of TiAl alloys [11]. However, such modification strategies have primarily focused on material design, while their interplay with the complex thermo-fluid-solid coupling and defect evolution during LPBF remains insufficiently understood. Considering that the LPBF process is highly complex, involving transient interactions between the laser and metallic powders, as well as rapid heat conduction, melt flow, and phase transformation within the melt pool, these physical phenomena occur on extremely short temporal and small spatial scales, characterized by strong nonlinearity and multi-physics coupling. This complexity makes comprehensive observation and deep understanding difficult through experimental means alone. Therefore, numerical simulation has emerged as a key tool in LPBF research, enabling in-depth mechanistic insights, prediction of defect formation, process optimization, and reduction in development cycles and costs. At present, extensive efforts have been devoted to this topic worldwide.
Abdullah [12] developed a CFD-based thermal model using a cylindrical heat source to accurately predict melt pool morphology while reducing computational cost. Martin et al. [13] combined in situ X-ray imaging with multi-physics simulations to uncover pore formation mechanisms during LPBF. Zhang et al. [14] coupled finite element and phase-field models to analyze solidification and grain evolution of TiAl alloys under pulsed laser irradiation. Lee et al. [15] applied thermomechanical finite element modeling to predict temperature and stress distribution in Ti-48Al-2Cr-2Nb, identifying cracks in different melting regimes as resulting from solidification and thermal stresses. It is evident that research on LPBF of TiAl alloys remains limited, with most studies relying on finite element models. These approaches generally simplify the powder bed as a continuous and homogeneous medium, neglecting the irregularity of powder packing and variations in porosity. While such idealization reduces computational complexity, it fails to capture localized energy concentration, uneven melting, and other physical phenomena inherent in the laser–powder interaction. Consequently, FEM-based models alone are insufficient to fully elucidate the influence of realistic powder bed structures on melt pool evolution. On the other hand, with the continuous advancement of the discrete element method (DEM) in additive manufacturing, an increasing number of studies now employ DEM to generate powder bed structures that more closely represent real conditions [16]. This approach compensates for the oversimplifications in conventional continuum models, providing more reliable initial conditions for subsequent simulations of melt pool evolution. To further clarify the complementary roles of the experimental and modeling approaches in this study, a SWOT analysis was conducted, as presented in Table 1.
In this study, a numerical simulation framework combining DEM and CFD was employed. Representative TiAl powder bed structures were generated using DEM and imported into a CFD solver to conduct three-dimensional transient thermo-fluid simulations of single-track scanning in LPBF. The focus was placed on analyzing the variations in melt pool geometry, temperature distribution, and internal flow behavior under different laser powers and scanning speeds. Furthermore, comparison between experimental results and simulation data confirmed the accuracy of the proposed numerical model.

2. Experimental Procedure and Simulation Model

In this study, CFD simulations were conducted to investigate the LPBF process of TiAl-based composites. The coupled thermal and fluid flow behaviors under laser irradiation were solved to capture the transient evolution of the melt pool during processing. To more realistically represent the packing state of the powder bed, a random packing model of spherical powder particles was first generated using the DEM, followed by meshing and subsequent import into the CFD solver as the initial powder-bed geometry. Compared with idealized or uniform powder-layer models, this approach provides a more faithful representation of the actual powder-bed morphology. During the simulations, various thermophysical effects—including surface tension, Marangoni convection, and recoil pressure—were incorporated, as these mechanisms significantly influence melt-pool stability and part quality, yet are difficult to observe experimentally. By employing the Volume of Fluid (VOF) method combined with multi-physics coupling, the model can accurately track the evolution of the gas–liquid interface and the internal flow field within the melt pool.
To effectively simulate the thermo–fluid–solid coupling behavior of TiAl-based composites during LPBF while balancing computational cost and model fidelity, the following assumptions were adopted:
(1)
The powder particles follow a normal size distribution and are randomly distributed within the powder bed.
(2)
The molten metal is treated as an incompressible Newtonian fluid exhibiting laminar flow characteristics.
(3)
Both the solid and liquid phases are regarded as continuous media.
(4)
The attenuation of laser energy due to scattering and absorption by the powder particles is neglected.
(5)
Given the significant size difference between the reinforcing particles and the TiAl matrix powders, explicitly resolving both particle sizes would require extremely fine meshing, leading to a prohibitive number of elements and computational cost. Therefore, the reinforcing particles are assumed to have the same size as the TiAl powders, and the TiAl powder size is used as the reference for mesh generation.

2.1. Experiment

2.1.1. Raw Materials and Ball Milling Treatment

Near-spherical gas-atomized Ti-48Al-2Cr-2Nb (at.%) pre-alloyed powder (Suzhou Jiuchun New Materials Technology Co., Ltd., Suzhou, China) with a particle size range of 15–53 µm was selected as the base material. Nb nanoparticles with an average size of ~50 nm were first added to reach a nominal 8 at.% Nb, followed by the addition of LaB6 submicron particles with an average size of ~200 nm at a mass fraction of 0.5 wt.%. The mixed powders were homogenized using a QM-3SP4 horizontal planetary high-energy ball mill (Nanjing Nanda Instrument Co., Ltd., Nanjing, China). The milling parameters were set to a rotation speed of 200 rpm, a ball-to-powder weight ratio of 2:1, and a total milling duration of 2 h. Each milling cycle consisted of 15 min of operation followed by a 5 min rest for cooling, with the equipment operating in an alternating forward–reverse mode to ensure uniform mixing. After this process, the nominal chemical composition of the obtained composite powder was Ti-45.01Al-1.88Cr-7.99Nb-0.1La-0.62B (at.%). The surface morphology and elemental distribution of the ball-milled mixed powders are shown in Figure 1.

2.1.2. LPBF Consolidation

The LPBF experiments were conducted on an iSLM160 system (Suzhou ZRapid Technologies Co., Ltd., Suzhou, China) equipped with a ytterbium fiber laser source of 500 W maximum power, operating at a wavelength of 1064 nm with a focal spot diameter of 80 µm. During fabrication, a unidirectional flexible scraper was employed for powder spreading, and the substrate used was Ti-6Al-4V alloy, preheated to 200 °C using a resistance wire heating system. The entire process was carried out under high-purity argon protection, with the oxygen content in the chamber maintained below 100 ppm. To validate the numerical simulations, ten sets of process parameters were examined, among which groups 1–5 corresponded to single-track samples and groups 6–10 to bulk specimens, as listed in Table 2. For bulk samples, a linear scanning strategy was adopted with a powder layer thickness of 30 µm and a 67° rotation between successive layers, resulting in block specimens with dimensions of 8 × 8 × 4 mm3 for further characterization.

2.1.3. Microstructure Characterization

Powder morphology and elemental composition were analyzed using a scanning electron microscope (Zeiss EVO18, Carl Zeiss AG, Oberkochen, Germany) equipped with an energy-dispersive spectroscopy (EDS) system. Microstructural characterization of the samples was performed using an optical microscope (LEICA DM2700M, Leica Microsystems CMS GmbH, Wetzlar, Germany) to observe the surface morphology. For cross-sectional analysis, single-track specimens deposited on Ti-6Al-4V substrates were separated by wire electrical discharge machining (EDM), followed by mounting. The mounted samples were ground sequentially with SiC papers ranging from 400 to 2500 grit on a YMP-2 grinding–polishing machine and subsequently polished to a mirror finish. Etching was conducted using Kroll’s reagent (1 mL HF, 6 mL HNO3, and 60 mL deionized water) for 30 s. Hardness measurements were carried out on a Vickers microhardness tester (HVS-1000ZCM-XY, Shanghai Suoyan Testing Instrument Co., Ltd., Shanghai, China) under a load of 100 gf with a dwell time of 15 s.

2.2. Powder Bed Model

To construct a three-dimensional powder bed model that closely reflects the actual packing characteristics, the powder deposition was generated using the discrete element method. Given the small contact deformation between particles, the Hertz–Mindlin contact model was applied, with particle sizes ranging from 15 to 53 µm. Considering that the LPBF spreading process involves interactions among powder particles, the substrate, and the recoater blade, the powder bed packing density was set to 0.4 [17]. The computational domain was defined as 900 µm × 500 µm × 60 µm to simulate the behavior of the powder layer during single-track laser scanning. The constructed particle model was subsequently meshed and imported into the CFD solver for simulating heat transfer and melt pool flow behavior.

2.3. Material Thermophysical Parameters

In this study, a TiAl-based composite was selected as the simulation material. The alloy was derived from Ti-48Al-2Cr-2Nb and further strengthened by Nb doping (up to 8 at.%) and LaB6 addition. Owing to the intense transient heat transfer during LPBF, the temperature dependence of thermophysical properties has a pronounced influence on the simulation accuracy. The density, thermal conductivity, and specific heat capacity of the TiAl-based composite exhibit nonlinear variations with increasing temperature, particularly under rapid melting and solidification conditions. Therefore, temperature-dependent thermophysical data were incorporated into the numerical model to enhance predictive fidelity. Since comprehensive thermophysical data for this composite are not currently available, a weighted-averaging approach was employed to estimate the temperature-dependent properties by integrating partial data from Ti-48Al-2Cr-2Nb, Nb, and LaB6. The estimated thermophysical parameters at different temperatures are summarized in Table 3 and Table 4.

2.4. Governing Equations

During the LPBF process, the interaction between the laser and metallic powder generates a localized high-temperature melt pool, within which intense heat conduction and fluid flow occur, as illustrated in Figure 2. These physical processes can be described by numerical models established on the fundamental principles of mass, momentum, and energy conservation. The governing equations are given as follows.
The mass and momentum conservation equations are expressed as [16]:
δ ρ δ t + ( ρ v ) = M s
δ ( ρ v ) δ x + ρ ( v ) v = δ p δ x + μ 2 v + ρ g + F H
where ρ denotes the density of the metal (kg/m3), v represents the velocity component, Ms is the mass source term, p is the pressure (Pa), µ is the dynamic viscosity (kg·m−1·s−1), and g is the gravitational acceleration (m·s−2). FH represents the combined forces acting on the molten metal within the melt pool during the LPBF process, including the laser-induced recoil pressure (Pr), surface tension (Fs), and the resistance in the mushy zone (Fm).
The recoil pressure arises from the laser-induced evaporation process and is one of the key factors driving melt pool flow. Its expression is given as follows [27]:
P r = 0.54 P 0 e x p ( Δ H V T T V R T T V )
Here, P0 is the standard atmospheric pressure (Pa), ΔHV is the effective enthalpy required for material evaporation, TV is the absolute temperature of the material during evaporation (K), and R is the universal gas constant (J·mol−1·K−1).
Variations in the curvature of the melt pool interface induce differences in surface tension, which in turn generate a driving force, expressed as follows [16]:
F s = σ s + δ σ δ t ( T l T ) κ n
In the above equation, σs denotes the surface tension coefficient of the material at its melting temperature (N/m), ∂σ/∂t represents the temperature derivative of the surface tension coefficient, reflecting its thermal sensitivity, Tl is the liquidus temperature of the material (K), κ is the interface curvature (m−1), and n is the unit normal vector at the interface.
In the mushy zone, the solid skeleton significantly enhances the resistance to the flow of molten metal, a process that is typically described using a permeability model [28]:
F m = K C ( 1 f l ) 2 f l 3 + C K v
Here, KC is the permeability of the material, fl is the liquid fraction, and CK is a constant with a value of 10−5.
The energy conservation equation is expressed as follows [28]:
ρ C p ( δ T δ t + v T ) = ( k T ) + q l + q v + q h + q r + q c
where Cp is the specific heat of the material (J·m−3·K−1), T is the temperature (K), k is the thermal conductivity of the material (W·m−1·K−1), ql is the heat source term corresponding to the high-energy laser input, qv represents the heat loss due to evaporation of the molten metal, qh accounts for the energy change associated with latent heat during phase transformation, qr denotes the surface radiation loss, and qc represents heat exchange due to convective transfer. In addition, this study considers two phases: the shielding gas and the TiAl powder/substrate. The Volume of Fluid (VOF) model is used to capture the gas–liquid interface and track the dynamic behavior of the melt pool. Within each control volume, the sum of the volume fractions of the metal and gas phases is always equal to 1.
The expression for the evaporative heat loss qv is given as follows [27]:
q v = 0.82 P 0 H V 2 π M R T e x p ( Δ H V T T V R T T V )
The surface radiation heat loss, qr, is expressed as follows [27]:
q r = ε σ 0 ( T 4 T α 4 )
The convective heat transfer term, qc, is expressed as follows [16]:
q c = h c ( T T α )
In the above equations, P0 is the standard atmospheric pressure (Pa), ΔHV is the effective enthalpy required for material evaporation, M is the molar mass of the material (g·mol−1), R is the universal gas constant (J·mol−1·K−1), TV is the evaporation temperature of the material, ε is the emissivity of the material surface for infrared radiation (dimensionless), σ0 is the Stefan–Boltzmann constant (5.67 × 10−8 W·m−2·K−4), Tα is the ambient temperature, and hc is the convective heat transfer coefficient (W·m−2·K−1).

2.5. Boundary Conditions

At the free surface of the melt pool, the thermal boundary condition is defined based on the principle of energy conservation. A portion of the laser input energy is absorbed by the material, while the remaining heat is lost through convection, radiation, and evaporation. This thermal boundary condition can be expressed as follows [16]:
k δ T δ n = q l q c q r q v
where k is the thermal conductivity of the material (W·m−1·K−1), T is the temperature (K), and ql, qc, qr and qv correspond, respectively, to the laser heat source input, convective heat transfer, radiative heat loss, and evaporative heat loss as defined in the above equations.

2.6. Thermal Source Model

To accurately simulate the energy input distribution of the laser on the powder bed surface, a two-dimensional surface Gaussian heat source model is adopted in this study. This model assumes that the laser power density on the material surface decays radially following an axisymmetric normal distribution, effectively representing the energy concentration characteristics of an actual laser beam. The heat source moves along the laser scanning path during LPBF, and its mathematical expression is given as follows [16]:
q ( x , y ) = 2 A P π ω 2 exp 2 ( x v l t ) 2 + y 2 ω 2
A is the laser absorptivity of the powder, P is the laser power (W), ω is the radius of the laser spot (m), and vl is the laser scanning speed (m/s).

3. Results and Discussion

3.1. Melt Pool Flow Behavior and Temporal Evolution

To investigate the powder melting and forming process, the temperature and flow fields of the melt pool YZ cross-section at X = 342.5 µm were extracted under the process parameters P = 90 W and v = 900 mm/s at different time points. As shown in Figure 3, during the initial stage, the powder begins to absorb heat and gradually melt, inducing slight molten metal flow, although the melt pool morphology is not yet fully developed. At this stage, the recoil pressure is relatively weak, but the temperature gradient already drives preliminary Marangoni convection. Since the laser has not yet directly reached this region, the heat is primarily supplied via conduction from the surrounding molten metal. As the laser scanning continues, at t = 0.39 ms, the metal particles have completely melted under the combined effects of laser irradiation and melt pool heat transfer, improving the continuity of the melt pool. The peak temperature reaches 3373 K, with local temperatures reaching the boiling point. A noticeable depression forms on the melt pool surface within the laser spot area, and convective heat transfer dominates. When the surface temperature reaches the boiling point, the evaporation-induced recoil pressure, which depends exponentially on temperature [29], exerts a downward force on the melt pool surface. This drives a maximum flow velocity of 3.88 m/s, pushing the molten metal laterally and deepening the surface depression. At this stage, the melt pool deformation is controlled not only by the recoil pressure but also by surface tension. Inside the melt pool, the flow velocity vectors primarily direct molten metal toward the cooler bottom regions. At the melt pool center, surface tension gradients drive flow from the center toward the edges, while elevated temperatures reduce the viscosity of the liquid metal, accelerating fluid motion. At t = 0.415 ms, as the laser spot moves away, the recoil force suddenly disappears. Due to fluid inertia, a rebound occurs after the downward force ends, resulting in upward flow of the molten metal. By t = 0.495 ms, the laser spot has completely passed, and the temperature decreases due to conduction, and radiation. The effect of recoil pressure weakens, and Marangoni convection becomes the dominant flow mechanism. The maximum flow velocity decreases to 1.03 m/s, driving molten metal from high-temperature regions toward cooler areas, with velocity vectors pointing upward along the melt track. Some molten metal rises along the center surface, gradually forming a “protrusion” morphology. Finally, as heat continues to dissipate, the melt pool solidifies rapidly from the edges toward the center, completing the formation of the melt track.
To further analyze the melt pool behavior, the temperature and flow fields on the XZ cross-section under the same process parameters were also extracted, as shown in Figure 4. During the initial stage, when the laser just contacts the material, the powder bed rapidly heats and melts. The recoil force generated by elemental evaporation drives the melt pool downward, inducing radial outward flow from the center and forming a relatively shallow melt pool. The temperature distribution reaches high values at the melt pool center, while the surrounding powder remains largely unheated. At t = 0.135 ms, as the laser heat source moves along the scanning direction, the melt pool temperature gradually increases. The high temperature gradient at the center and the corresponding low surface tension drive the molten metal to flow toward the rear of the melt pool, where temperatures are lower and surface tension is higher. With increased heat input, evaporation intensifies, and the resulting recoil pressure further deepens the melt pool. Internally, while the surface flow expands outward, a return flow gradually forms at the bottom, creating a vertically coupled vortex circulation within the molten pool.
When the melt pool temperature approaches a quasi-steady state (t = 0.398 ms), both the width and depth reach their maximum values. The internal flow field exhibits a relatively stable circulating pattern, with maximum velocities stabilizing at 4–5 m/s. A balance is established between Marangoni convection driven by surface tension and the recoil pressure, resulting in molten metal rising along the center, flowing laterally toward the sides, and returning to the bottom. As the laser continues to move, the tail region of the melt pool is elongated because the solidification rate is slower than the heating rate. The melt circulation remains smooth with minimal fluctuations, the melt pool morphology changes little, and the temperature at the center remains high.

3.2. Melt Pool Morphology and Dynamic Response Under Different Laser Powers

Figure 5 presents the top view, side cross-section, and statistical dimensions of the melt pool at a scanning speed of v = 900 mm/s under different laser powers. Based on the above flow field analysis, the melt pool morphology near the quasi-steady state was extracted from the middle-to-late scanning stage. It can be observed that, regardless of laser power, the surface of the melt track exhibits wave-like ripples along the scanning direction, with flow opposite to the scanning motion. Under laser irradiation, the temperature at the melt pool center is highest and the surface tension is lowest, whereas the melt pool edges are cooler with higher surface tension. Driven by the Marangoni effect, molten metal flows from the center toward the edges, forming stable thermocapillary convection. As the molten metal solidifies, temperature fluctuations on the surface are frozen, resulting in distinct ripple textures on the melt track surface. Notably, localized bulges appear at the starting region of each single track, with higher laser power producing more pronounced bulges. This is due to concentrated heat input at the initial stage, before a stable flow channel is established in the substrate. The molten metal accumulates under the combined effects of recoil pressure and inertia, forming a bulged morphology at the start of the melt pool. As scanning continues, melt pool flow gradually stabilizes, and this phenomenon diminishes. At P = 90 W, the melt pool length, width, and depth are 241 µm, 88 µm, and 25 µm, respectively. With increasing laser power, the overall melt pool dimensions significantly increase. At P = 130 W, the melt pool depth increases by up to 64%. This is because higher power input results in stronger energy deposition, significantly raising the melt pool center temperature and promoting heat transfer and accumulation over a larger area. The elevated temperature also intensifies surface evaporation, generating recoil pressure that continuously pushes molten metal downward, increasing melt pool depth. Simultaneously, the Marangoni effect drives more vigorous surface tension–driven flow over a wider area. The combined effect of recoil pressure and Marangoni convection not only enhances internal circulation within the melt pool but also promotes more pronounced expansion, resulting in significant increases in both melt pool depth and length.
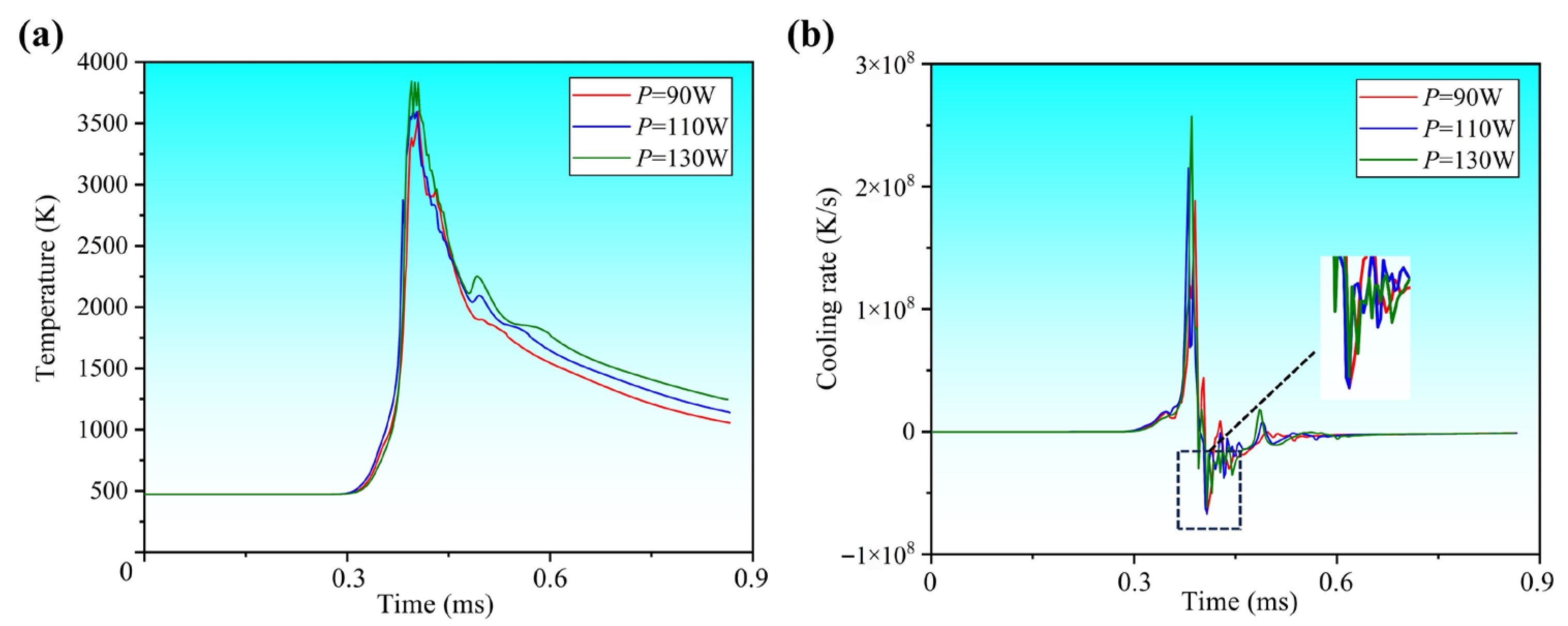
To further analyze the thermal behavior of the melt pool under different laser powers, Figure 6a,b present the cooling curves and cooling rates of nodes located at the center of the powder bed, corresponding to the melt pool bottom under each set of process parameters. It can be observed that all thermal histories exhibit the typical rapid heating–peak–rapid cooling trend, reflecting the transient thermal input as the laser moves toward, passes over, and then away from the monitored nodes. Notably, after the laser moves away, the node temperature does not decrease monotonically. Strong Marangoni convection and melt pool recirculation can transport high-temperature liquid back toward the monitoring point, leading to a short-term local heat accumulation and a slight temperature rise during cooling. This effect becomes more pronounced with increasing laser power. As laser power increases, the melt pool absorbs more energy, resulting in higher peak temperatures, reaching up to 3842 K, and significantly increased heating rates. However, the cooling rate exhibits a clear negative correlation with laser power; at P = 130 W, the maximum cooling rate is only 6.16 × 107 K/s. This behavior can be attributed to the fact that, at higher power, the melt pool size increases significantly, expanding both the molten volume and the heat-affected zone. The deeper and wider melt pool enlarges the isothermal region, reducing the efficiency of heat extraction by the surrounding unmelted material and weakening overall heat dissipation. In other words, although higher laser power delivers greater transient energy input, the altered melt pool geometry enhances the “heat storage effect,” slowing down cooling and thus reducing the cooling rate.
The instantaneous temperature distribution of the melt pool under different laser powers at the time corresponding to Figure 5 was extracted, and the temperature gradients along the X, Y, and Z directions were calculated, as shown in Figure 7. At a fixed scanning speed, the temperature gradients along all three directions decrease with increasing laser power. Specifically, along the X direction, the temperature distribution exhibits pronounced asymmetry: regions near the heat source experience rapid temperature rise and the highest gradients, while the tail region, farther from the laser, shows more gradual temperature changes and lower gradients. At lower power (P = 90 W), the melt pool length is relatively short, and heat is concentrated locally near the laser source, resulting in steeper temperature gradients. As the power increases, the melt pool length extends and the heat is distributed more uniformly, leading to reduced gradients. Along the Y direction, the temperature distribution is approximately symmetric about the center, as it spans the full width of the melt pool. At low power, the narrow melt pool confines the temperature difference to a limited region, producing larger lateral gradients. As the power increases, the melt pool widens and the fluid flow becomes more continuous and stable, leading to a more uniform lateral temperature field. Along the Z direction, the temperature gradient is typically the most pronounced due to strong heat conduction from the melt pool to the substrate, causing rapid temperature drops near the solid–liquid interface over very short spatial scales. However, with higher laser power, e.g., P = 130 W, the melt pool depth increases, expanding the heat flow distribution. Consequently, the temperature change per unit depth decreases, and the maximum gradient drops to 2.15 × 107 K/m. These observations are fundamentally attributed to the significant expansion of melt pool geometry at higher laser powers, which enhances convection and conduction, allowing heat to disperse spatially. This provides more time for the input energy to spread into surrounding material before solidification, reducing local temperature concentration and thereby lowering the temperature gradients along the X, Y, and Z directions with increasing power. The obtained conclusions are highly consistent with previous studies [30].

3.3. Melt Pool Morphology and Dynamic Response Under Different Scanning Speeds

Similarly to laser power, scanning speed also plays a decisive role in shaping the melt pool morphology. Figure 8 illustrates the top view, longitudinal cross-section, and the comparative dimensions (length, width, and depth) of the melt pool at P = 90 W under different scanning speeds. The melt track surface still exhibits wave-like ripples as well as slight bulging at the initial stage of the track. With increasing scanning speed, the interaction time between the laser and the material becomes shorter, which reduces the heat input per unit length and consequently decreases the melt pool width and depth. Compared with the low-speed case (v = 700 mm/s), the melt pool width and depth at v = 1100 mm/s decrease by about 8.7% and 38%, respectively. In contrast, the melt pool length increases as scanning speed rises, with the trailing length reaching up to 272 µm. This occurs because the laser source advances more rapidly at higher speeds, while the solidification of the melt pool tail is constrained by heat conduction and latent heat release, preventing it from keeping pace with the moving heat source. As a result, the melt pool is elongated in the scanning direction, forming a pronounced “tailing” effect.
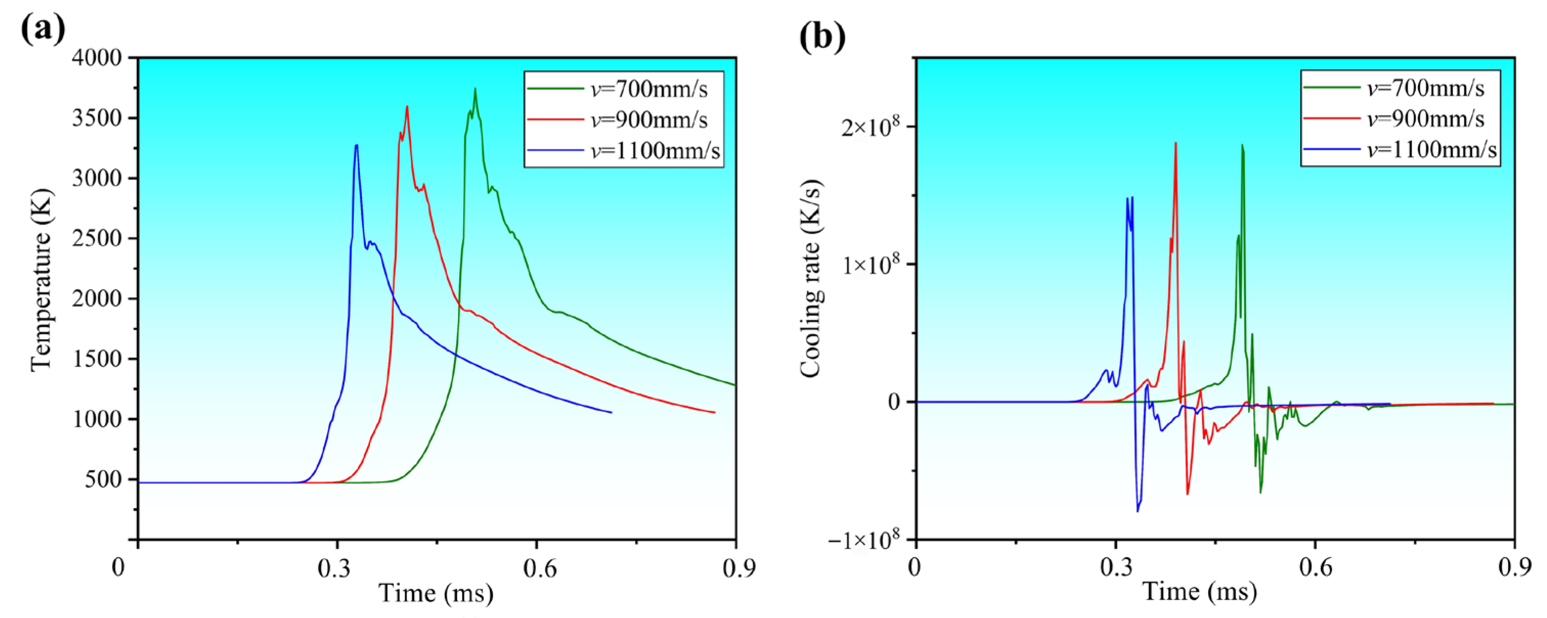
Figure 9a,b present the temperature evolution and cooling rate of a representative node located at the center of the powder bed shown in Figure 8. At a fixed power of P = 90 W, a lower scanning speed (v = 700 mm/s) leads to a higher peak temperature and prolonged high-temperature retention, indicating a pronounced “heat accumulation effect”. Consequently, the cooling rate decreases more gradually after reaching the peak, with a value of 6.6 × 107 K/s. When the scanning speed increases to v = 900 mm/s, both the peak temperature and the duration of high temperature are reduced, and the cooling rate rises to 6.71 × 107 K/s. Interestingly, despite the lower line energy density compared to the low scanning speed, the heating rate at this condition is even higher. At the highest scanning speed, the laser–material interaction time per unit length becomes extremely short, resulting in a rapidly formed melt pool with the lowest peak temperature (3273 K) and the shortest high-temperature duration, accompanied by a significantly reduced thermal capacity. On the one hand, the increased scanning speed decreases the absorbed energy per unit length, thereby reducing the melt volume and heat-affected zone, while enhancing heat exchange with the surrounding solid material, which accelerates energy extraction and steepens the temperature drop. On the other hand, higher scanning speeds suppress element evaporation and the associated recoil pressure, hindering the formation of deep melt pools. This shortens and simplifies the heat conduction paths, facilitating faster heat transfer into the substrate and adjacent powder.
The instantaneous temperature distributions of the melt pool at the time corresponding to Figure 7 were extracted for different scanning speeds, and the temperature gradients along the X, Y, and Z directions were further calculated, as shown in Figure 10. Overall, as the scanning speed increases, the melt pool size decreases and the cooling rate accelerates, resulting in more concentrated heat input over a shorter interaction time and faster heat conduction. This leads to increased temperature gradients along the Y and Z directions, indicating that higher scanning speeds induce larger thermal gradients. In contrast, along the X direction, the temperature gradient is lowest at v = 1100 mm/s, with a maximum value of only 2.09 × 107 K/m. This is because, although the melt pool has the smallest width and depth at this speed, its length is significantly extended, producing a more uniform temperature distribution along the longitudinal direction, which reduces the gradient in X. Nevertheless, on the whole, higher scanning speeds still result in larger temperature gradients.

3.4. Single-Track Experimental Validation and Mechanisms of Defect Control

Figure 11 shows the cross-sections of single tracks under different process parameters and compares the simulation and experimental errors corresponding to various line energy densities (El = P/v). It can be observed that both the melt pool width and depth increase with increasing laser power and decreasing scanning speed. The differences between experimental and simulated melt pool geometries are relatively small, and the overall trends remain highly consistent, which strongly validates the reliability of the simulation model. In this study, the discrepancies between experimental and simulated melt pool dimensions are generally within 20%, consistent with trends reported in the literature [31]. The deviations mainly arise from inherent limitations of the simulation. However, the deviations remain within an acceptable range, demonstrating that the established simulation model has good predictive capability.
To quantitatively evaluate the effect of process parameters on residual stress, the present study employed micro-indentation tests to estimate the stresses in the samples. According to the work of Carlsson and Larsson [32], the residual stress in a single track can be determined using the following equation:
ε r e s = ( H 3 σ 0 ) 1 n 0.08
σ r e s = σ 0 ε r e s n × ( e C 2 1 0.32 1 )
where H represents the sample hardness, σ0 and n denote the material’s strength coefficient and strain-hardening exponent, and C2 corresponds to the ratio of the actual indentation area (A) to the nominal indentation area (Anom). In the present study, H = 564 MPa, σ0 = 1180 MPa, and n = 0.04 [33]. The results, presented in Figure 12, show that both the indentation area ratio and residual stress increase as the laser power decreases and the scanning speed rises. Under high cooling rate conditions, the steep temperature gradients concentrate thermal stresses, and the rapid contraction of the material within a very short time can even cause deformation, resulting in residual stress formation. In contrast, at high laser power and low scanning speed, the melt pool experiences greater thermal input, the temperature gradient is relatively moderated, and the resulting residual stress is slightly reduced.
Figure 13 illustrates the surface morphology of single tracks produced under various processing parameters, whereas Figure 14. presents the surface morphology and corresponding crack density of bulk specimens fabricated at different linear energy densities. Due to the inherently high cooling rates and steep temperature gradients in LPBF, combined with the intrinsic brittleness and low ductility of TiAl alloys [34], all single-track surfaces exhibit a certain degree of microcracking. Under moderate laser energy density conditions (P = 90 W, v = 900 mm/s), the melt tracks are continuous with minimal defects, and the resulting crack density is only 0.62 mm/mm2. This can be attributed to the fine microstructure formed under high cooling rates, which hinders crack initiation and propagation [35]. However, when the laser energy density is too low (v = 1100 mm/s), the limited thermal input reduces the melt pool size, and the high residual stress induced by steep temperature gradients promotes crack initiation (1.91 mm/mm2). In contrast, at high laser energy density, the increased thermal input significantly raises the melt pool temperature, lowers the molten metal viscosity, and enhances metal evaporation and recoil pressure, leading to intense surface disturbances. Under oscillatory and unstable flow conditions, molten metal is driven toward the rear of the melt pool [36], and upon cooling and solidification, sharp wave-like surface textures form. These not only increase surface roughness but also hinder uniform powder spreading in subsequent layers, acting as stress concentrators that induce poor interlayer bonding and porosity. Consequently, the crack density of the fabricated parts rises sharply, reaching up to 3.65 mm/mm2, severely compromising part density and mechanical performance.
During laser powder bed fusion, the extremely high instantaneous temperature gradient (105−7 K/m) and cooling rate (104−6 K/s) induce severe thermal strains under rapid heating and cooling cycles, which rapidly accumulate into residual tensile stresses due to the constraint of the substrate and the already solidified material. For TiAl-based composite, the intrinsically low plasticity and fracture toughness, together with the limited dislocation slip, hinder stress relaxation through plastic deformation under steep thermal gradients. Once the residual stress exceeds a critical threshold, it is released in the form of solid-state cracking, manifested as cold cracks. Meanwhile, the strong recoil pressure and Marangoni convection associated with high laser energy density induce melt pool oscillations and surface instability, leaving behind sharp ripples and protrusions upon solidification. These morphological features serve as potential stress concentrators and crack initiation sites in subsequent layers. It is worth noting that rapid solidification associated with high cooling rates can significantly refine the grain structure, thereby enhancing the alloy’s resistance to crack propagation to some extent. When the laser energy density is excessively low, although grain refinement is pronounced due to the elevated cooling rate, the accompanying steep temperature gradients generate high levels of residual stress, which may still lead to crack formation. In addition, rapid solidification promotes compositional segregation, reducing grain boundary cohesion, such that cracks preferentially propagate in Nb-depleted regions [37]. Moreover, especially during cooling, when the thermal expansion difference between the α2 and γ phases is significant [38], the mismatch in thermal expansion coefficients among different phases in TiAl alloys causes interfacial stress concentrations under cyclic thermal loading, further accelerating crack initiation and propagation. More importantly, although tailoring process parameters to moderate temperature gradients can indeed mitigate residual stresses and reduce cracking susceptibility, such adjustments often introduce other types of defects [39].
The high-temperature oxidation resistance and strength of TiAl-based composites are strongly dependent on grain size. As unstable regions, grain boundaries act as preferential diffusion channels during high-temperature oxidation, thereby accelerating selective oxidation, while also serving as favorable sites for dislocation activity. Finer grains enhance oxidation resistance at elevated temperatures; However, the grain boundary strength is simultaneously weakened under such conditions [40,41]. Based on the above findings, it can be concluded that process parameters regulate melt pool dynamics, which in turn govern solidification conditions and microstructural evolution. At excessively low laser energy densities, steep temperature gradients induce residual stress concentration, leading to crack formation. Conversely, at high energy densities, although temperature gradients are reduced, melt pool instability generates surface defects that act as crack initiation sites. Therefore, an appropriate energy density window is essential for suppressing cracks and ensuring part quality. This result highlights the complex interdependence among processing parameters, melt pool behavior, solidification microstructure, and final performance in LPBF fabrication.

4. Conclusions

In this study, a mesoscopic single-track LPBF model of TiAl-based composites was established by coupling the DEM with CFD. The transient evolution of melt pool flow during laser scanning as well as the effect of process parameter on single-track forming quality were studied. The main conclusions can be drawn as follows:
  • Melt pool dynamics are strongly governed by recoil pressure and Marangoni convection. The competition and coupling between these two items jointly determine the temporal evolution of melt pool morphology during laser scanning.
  • Process parameters significantly affect melt pool geometry and thermal history. A combination of high laser power and low scanning speed can produce a wider and deeper melt pool as well as enhanced convection and heat dissipation, consequently reducing the cooling rate and temperature gradient. Conversely, low laser power with high scanning speed results in a narrower and shallower melt pool. In this case, the limited heat-affected zone accelerates heat conduction, leading to a higher cooling rate and a steeper temperature gradient.
  • Different defect formation mechanisms emerge across varying process windows. Under conditions of high power and low scanning speed, vigorous metal evaporation and pronounced recoil pressure trigger surface ripples and uneven topography, which serve as stress concentration sites and markedly elevate crack density. In contrast, under low power and high scanning speed conditions, although higher residual stresses develop due to enhanced cooling rates and thermal gradients, grain refinement is promoted, thereby partially inhibiting crack initiation.

Author Contributions

Writing—review and editing, supervision, project administration, investigation, funding acquisition, conceptualization, C.M.; writing—review and editing, validation, investigation, formal analysis, Z.X.; writing—original draft, validation, methodology, investigation, formal analysis, data curation, X.X.; writing—review and editing, supervision, investigation, M.W. All authors have read and agreed to the published version of the manuscript.

Funding

This work was supported by the financial supports from National Natural Science Foundation of China (No. 52475358), Key Research and Development Plan of Jiangsu province (No. BE2022069-2), Jiangsu Province Youth Talent Support Program (JSTJ-2024-450), and Postgraduate Research & Practice Innovation Program of Jiangsu Province (No. SJCX25_1325).

Data Availability Statement

The original contributions presented in the study are included in the article, further inquiries can be directed to the corresponding author.

Conflicts of Interest

The authors declare no conflicts of interest.

References

  1. Bewlay, B.P.; Nag, S.; Suzuki, A.; Weimer, M.J. TiAl alloys in commercial aircraft engines. Mater. High Temp. 2016, 33, 549–559. [Google Scholar] [CrossRef]
  2. Habel, U.; Heutling, F.; Kunze, C.; Smarsly, W.; Das, G.; Clemens, H. Forged Intermetallic γ-TiAl Based Alloy Low Pressure Turbine Blade in the Geared Turbofan. In Proceedings of the 13th World Conference on Titanium; John Wiley & Sons, Inc.: Hoboken, NJ, USA, 2016. [Google Scholar] [CrossRef]
  3. Zhang, W.J.; Appel, F. Effect of Al content and Nb addition on the strength and fault energy of TiAl alloys. Mater. Sci. Eng. A 2002, 329, 649–652. [Google Scholar] [CrossRef]
  4. Liu, Z.C.; Lin, J.P.; Li, S.J.; Chen, G.L. Effects of Nb and Al on the microstructures and mechanical properties of high Nb containing TiAl base alloys. Intermetallics 2002, 10, 653–659. [Google Scholar] [CrossRef]
  5. Zhao, L.L.; Li, G.Y.; Zhang, L.Q.; Lin, J.P.; Song, X.P.; Ye, F.; Chen, G.L. Influence of Y addition on the long time oxidation behaviors of high Nb containing TiAl alloys at 900 °C. Intermetallics 2010, 18, 1586–1596. [Google Scholar] [CrossRef]
  6. Wang, Q.; Chen, R.; Chen, D.; Su, Y.; Ding, H.; Guo, J.; Fu, H. The characteristics and mechanisms of creep brittle-ductile transition in TiAl alloys. Mater. Sci. Eng. A 2019, 767, 138393. [Google Scholar] [CrossRef]
  7. Liu, J.; Wang, Z.; Li, P.; Zhang, Z.; Zhao, C.; Zhao, Y.; Zhang, Y.; Liang, Y.; Lin, J. Fabrication of high strength TiAl alloy with nano-lamellar and ultra-fine-grained microstructure by selective electron beam melting. J. Mater. Res. Technol.-JMRT 2025, 35, 7156–7166. [Google Scholar] [CrossRef]
  8. Caprio, L.; Demir, A.G.; Chiari, G.; Previtali, B. Defect-free laser powder bed fusion of Ti-48Al-2Cr-2Nb with a high temperature inductive preheating system. J. Phys. Photonics 2020, 2, 024001. [Google Scholar] [CrossRef]
  9. Liu, X.; Liu, Y.; Zhou, Z.; Zhan, Q. Enhanced strength and ductility in Al-Zn-Mg-Cu alloys fabricated by laser powder bed fusion using a synergistic grain-refining strategy. J. Mater. Sci. Technol. 2022, 124, 41–52. [Google Scholar] [CrossRef]
  10. Zhuo, Z.; Fang, Z.; Ma, C.; Xie, Z.; Peng, X.; Wang, Q.; Miao, X.; Wu, M. Influence of LaB6 inoculant on the thermodynamics within the molten pool and subsequent microstructure development and cracking behavior of laser powder bed fused TiAl-based alloys. J. Mater. Res. Technol.-JMRT 2023, 27, 2363–2381. [Google Scholar] [CrossRef]
  11. Huang, D.; Tan, Q.; Zhou, Y.; Yin, Y.; Wang, F.; Wu, T.; Yang, X.; Fan, Z.; Liu, Y.; Zhang, J.; et al. The significant impact of grain refiner on γ-TiAl intermetallic fabricated by laser-based additive manufacturing. Addit. Manuf. 2021, 46, 102172. [Google Scholar] [CrossRef]
  12. Amin, A.A.; Li, Y.; Lu, Y.; Xie, X.; Gan, Z.; Mojumder, S.; Wagner, G.J.; Liu, W. Physics guided heat source for quantitative prediction of IN718 laser additive manufacturing processes. npj Comput. Mater. 2024, 10, 37. [Google Scholar] [CrossRef]
  13. DePond, P.J.; Fuller, J.C.; Khairallah, S.A.; Angus, J.R.; Guss, G.; Matthews, M.J.; Martin, A.A. Laser-metal interaction dynamics during additive manufacturing resolved by detection of thermally-induced electron emission. Commun. Mater. 2020, 1, 92. [Google Scholar] [CrossRef]
  14. Zhang, X.; Mao, B.; Mushongera, L.; Kundin, J.; Liao, Y. Laser powder bed fusion of titanium aluminides: An investigation on site-specific microstructure evolution mechanism. Mater. Des. 2021, 201, 109501. [Google Scholar] [CrossRef]
  15. Lee, S.; Kim, J.; Choe, J.; Kim, S.; Hong, J.; Choi, Y. Understanding crack formation mechanisms of Ti-48Al-2Cr-2Nb single tracks during laser powder bed fusion. Met. Mater.-Int. 2021, 27, 78–91. [Google Scholar] [CrossRef]
  16. Chen, D.; Li, G.; Wang, P.; Zeng, Z.; Tang, Y. Numerical simulation of melt pool size and flow evolution for laser powder bed fusion of powder grade Ti6Al4V. Finite Elem. Anal. Des. 2023, 223, 103971. [Google Scholar] [CrossRef]
  17. Xiang, Z.; Zhang, M.; Yan, R.; Yin, Q.; Zhang, K. Powder-spreading dynamics and packing quality improvement for laser powder bed fusion additive manufacturing. Powder Technol. 2021, 389, 278–291. [Google Scholar] [CrossRef]
  18. Klassen, A.; Forster, V.E.; Juechter, V.; Körner, C. Numerical simulation of multi-component evaporation during selective electron beam melting of TiAl. J. Mater. Process. Technol. 2017, 247, 280–288. [Google Scholar] [CrossRef]
  19. Saari, H.; Seo, D.; Blumm, J.; Beddoes, J. Thermophysical property determination of high temperature alloys by thermal analysis. J. Therm. Anal. Calorim. 2003, 73, 381–388. [Google Scholar] [CrossRef]
  20. Novakovic, R.; Giuranno, D.; Mohr, M.; Fecht, H. Thermodynamic evaluation of the surface tension and viscosity of liquid quaternary alloys: The Ti-Al-Cr-Nb system. Microgravity Sci. Technol. 2023, 35, 55. [Google Scholar] [CrossRef]
  21. Paradis, P.-F.; Ishikawa, T.; Yoda, S. Non-contact measurements of surface tension and viscosity of niobium, zirconium, and titanium using an electrostatic levitation furnace. Int. J. Thermophys. 2002, 23, 825–842. [Google Scholar] [CrossRef]
  22. Xie, Z.; Ma, C.; Liu, Y.; Li, D.; Dai, D.; Wang, Q.; Xu, X.; Wu, M. Role of Ti-6Al-4V addition in modulating crack sensitivity, solidification microstructure and mechanical properties of laser powder bed fused γ-TiAl alloys. Vacuum 2025, 231, 113758. [Google Scholar] [CrossRef]
  23. Badini, C.; Santero, T.; Rosito, M.; Padovano, E. Laser Powder Bed Fusion of Pure Titanium: Optimization of Processing Parameters by Means of Efficient Volumetric Energy Density Approach. Metals 2024, 14, 1357. [Google Scholar] [CrossRef]
  24. Arblaster, J.W. The thermodynamic properties of niobium. J. Phase Equilib. Diffus. 2017, 38, 707–722. [Google Scholar] [CrossRef]
  25. Ma, C.; Zhuo, Z.; Xie, Z.; Wang, Q.; Wu, M. Effect of scanning strategy on the thermo-structural coupling field and cracking behavior during laser powder bed fusion of Ti48Al2Cr2Nb alloys. Mater. Today Commun. 2024, 41, 110372. [Google Scholar] [CrossRef]
  26. Wunderlich, R.K.; Mohr, M.; Dong, Y.; Hecht, U.; Matson, D.M.; Hyers, R.; Bracker, G.; Lee, J.; Schneider, S.; Xiao, X.; et al. Thermophysical properties of the TiAl-2Cr-2Nb alloy in the liquid phase measured with an electromagnetic levitation device on board the International Space Station, ISS-EML. Int. J. Mater. Res. 2021, 112, 770–781. [Google Scholar] [CrossRef]
  27. Wu, Y.; Wu, Q.; Li, M.; Wang, J.; Yao, D.; Luo, H.; An, X.; Fu, H.; Zhang, H.; Yang, X.; et al. Numerical investigation on effects of operating conditions and final dimension predictions in laser powder bed fusion of molybdenum. Addit. Manuf. 2023, 76, 103783. [Google Scholar] [CrossRef]
  28. Liu, G.; Xie, B.; Zhu, Z.; Wu, X.; Yang, Y. Mesoscale numerical simulation and experimental study on the selective laser melting process of 17-4PH stainless steel. J. Mater. Res. Technol.-JMRT 2025, 35, 2443–2457. [Google Scholar] [CrossRef]
  29. Khairallah, S.A.; Anderson, A.T.; Rubenchik, A.; King, W.E. Laser powder-bed fusion additive manufacturing: Physics of complex melt flow and formation mechanisms of pores, spatter, and denudation zones. Acta Mater. 2016, 108, 36–45. [Google Scholar] [CrossRef]
  30. Zhao, Y.; Aoyagi, K.; Yamanaka, K.; Chiba, A. A survey on basic influencing factors of solidified grain morphology during electron beam melting. Mater. Des. 2022, 221, 110927. [Google Scholar] [CrossRef]
  31. Vaghefi, E.; Hosseini, S.; Prorok, B.; Mirkoohi, E. Geometrically-informed predictive modeling of melt pool depth in laser powder bed fusion using deep MLP-CNN and metadata integration. J. Manuf. Process. 2024, 119, 952–963. [Google Scholar] [CrossRef]
  32. Carlsson, S.; Larsson, P.-L. On the determination of residual stress and strain fields by sharp indentation testing: Part I: Theoretical and numerical analysis. Acta Mater. 2001, 49, 2179–2191. [Google Scholar] [CrossRef]
  33. Rajendran, R.; Venkateshwarlu, M.; Petley, V.; Verma, S. Strain hardening exponents and strength coefficients for aeroengine isotropic metallic materials—A reverse engineering approach. J. Mech. Behav. Mater. 2014, 23, 101–106. [Google Scholar] [CrossRef]
  34. Dzogbewu, T.C. Additive manufacturing of TiAl-based alloys. Manuf. Rev. 2020, 7, 35. [Google Scholar] [CrossRef]
  35. Li, N.; Wang, T.; Zhang, L.; Zhang, L. Crack initiation mechanism of laser powder bed fusion additive manufactured Al-Zn-Mg-Cu alloy. Mater. Charact. 2023, 195, 112415. [Google Scholar] [CrossRef]
  36. Wang, J.; Zhu, R.; Liu, Y.; Zhang, L. Understanding melt pool characteristics in laser powder bed fusion: An overview of single-and multi-track melt pools for process optimization. Adv. Powder Mater. 2023, 2, 100137. [Google Scholar] [CrossRef]
  37. Wang, M.S.; Liu, E.W.; Du, Y.L.; Liu, T.T.; Liao, W.H. Cracking mechanism and a novel strategy to eliminate cracks in TiAl alloy additively manufactured by selective laser melting. Scr. Mater. 2021, 204, 114151. [Google Scholar] [CrossRef]
  38. Staron, P.; Stark, A.; Schell, N.; Spoerk-Erdely, P.; Clemens, H. Thermal expansion of a multiphase intermetallic Ti-Al-Nb-Mo alloy studied by high-energy X-ray diffraction. Materials 2021, 14, 727. [Google Scholar] [CrossRef]
  39. Yakout, M.; Elbestawi, M.A.; Veldhuis, S.C. A study of the relationship between thermal expansion and residual stresses in selective laser melting of Ti-6Al-4V. J. Manuf. Process. 2020, 52, 181–192. [Google Scholar] [CrossRef]
  40. Li, Y.-S. Effect of grain size reduction on high temperature oxidation of binary two-phase alloys. J. Chin. Nonferrous Met. Soc. 2001, 5, 644–648. Available online: http://refhub.elsevier.com/S0030-3992(19)30546-8/h0180 (accessed on 1 November 2025).
  41. Langdon, T.G. Grain boundary sliding revisited: Developments in sliding over four decades. J. Mater. Sci. 2006, 41, 597–609. [Google Scholar] [CrossRef]
Figure 1. SEM and EDS analysis of the ball-milled Ti-48Al-2Cr-2Nb + Nb + LaB6 mixed powders.
Figure 1. SEM and EDS analysis of the ball-milled Ti-48Al-2Cr-2Nb + Nb + LaB6 mixed powders.
Metals 15 01234 g001
Figure 2. Schematic illustration of heat transfer mechanisms in the LPBF melt pool.
Figure 2. Schematic illustration of heat transfer mechanisms in the LPBF melt pool.
Metals 15 01234 g002
Figure 3. Temporal evolution of temperature and flow fields in the YZ cross-section of the melt pool at P = 90 W and v = 900 mm/s. Arrows indicate the direction of fluid flow.
Figure 3. Temporal evolution of temperature and flow fields in the YZ cross-section of the melt pool at P = 90 W and v = 900 mm/s. Arrows indicate the direction of fluid flow.
Metals 15 01234 g003
Figure 4. Temporal evolution of temperature and flow fields in the XZ cross-section of the melt pool at P = 90 W and v = 900 mm/s. Arrows indicate the direction of fluid flow.
Figure 4. Temporal evolution of temperature and flow fields in the XZ cross-section of the melt pool at P = 90 W and v = 900 mm/s. Arrows indicate the direction of fluid flow.
Metals 15 01234 g004
Figure 5. Top and cross-sectional views of the melt pool and statistical dimensions under different laser powers at v = 900 mm/s: (a) P = 90 W, (b) P = 110 W, (c) P = 130 W and (d) comparison of melt pool length, width, and depth. The dashed circle indicates the bulge region of the melt track.
Figure 5. Top and cross-sectional views of the melt pool and statistical dimensions under different laser powers at v = 900 mm/s: (a) P = 90 W, (b) P = 110 W, (c) P = 130 W and (d) comparison of melt pool length, width, and depth. The dashed circle indicates the bulge region of the melt track.
Metals 15 01234 g005
Figure 6. Thermal history and cooling rate of melt pool nodes under different laser powers at v = 900 mm/s: (a) thermal history of the nodes, (b) cooling rate of the nodes.
Figure 6. Thermal history and cooling rate of melt pool nodes under different laser powers at v = 900 mm/s: (a) thermal history of the nodes, (b) cooling rate of the nodes.
Metals 15 01234 g006
Figure 7. Temperature gradients of melt pool nodes under different laser powers at v = 900 mm/s: (a) X direction, (b) Y direction, (c) Z direction.
Figure 7. Temperature gradients of melt pool nodes under different laser powers at v = 900 mm/s: (a) X direction, (b) Y direction, (c) Z direction.
Metals 15 01234 g007
Figure 8. Top views, cross-sectional profiles, and melt pool dimensions at P = 90 W under different scanning speeds: (a) v = 700 mm/s, (b) v = 900 mm/s, (c) v = 1100 mm/s, and (d) comparison of melt pool length, width, and depth.
Figure 8. Top views, cross-sectional profiles, and melt pool dimensions at P = 90 W under different scanning speeds: (a) v = 700 mm/s, (b) v = 900 mm/s, (c) v = 1100 mm/s, and (d) comparison of melt pool length, width, and depth.
Metals 15 01234 g008
Figure 9. Thermal history and cooling rate of an internal node in the melt pool at P = 90 W under different scanning speeds: (a) thermal history, (b) cooling rate.
Figure 9. Thermal history and cooling rate of an internal node in the melt pool at P = 90 W under different scanning speeds: (a) thermal history, (b) cooling rate.
Metals 15 01234 g009
Figure 10. Temperature gradients of melt pool nodes at P = 90 W under different scanning speeds: (a) X direction, (b) Y direction, (c) Z direction.
Figure 10. Temperature gradients of melt pool nodes at P = 90 W under different scanning speeds: (a) X direction, (b) Y direction, (c) Z direction.
Metals 15 01234 g010
Figure 11. Cross-sectional morphology of single tracks under different process parameters and comparison with simulations: (a) P = 90 W, v = 900 mm/s; (b) P = 110 W, v = 900 mm/s; (c) P = 130 W, v = 900 mm/s; (d) P = 90 W, v = 700 mm/s; (e) P = 90 W, v = 1100 mm/s; (f) comparison between experimental and simulated results.
Figure 11. Cross-sectional morphology of single tracks under different process parameters and comparison with simulations: (a) P = 90 W, v = 900 mm/s; (b) P = 110 W, v = 900 mm/s; (c) P = 130 W, v = 900 mm/s; (d) P = 90 W, v = 700 mm/s; (e) P = 90 W, v = 1100 mm/s; (f) comparison between experimental and simulated results.
Metals 15 01234 g011
Figure 12. Single-track cross-sectional morphology and residual stress under different process parameters: (a) schematic of the indentation region; (b) residual stress of single tracks under varying process parameters.
Figure 12. Single-track cross-sectional morphology and residual stress under different process parameters: (a) schematic of the indentation region; (b) residual stress of single tracks under varying process parameters.
Metals 15 01234 g012
Figure 13. Surface morphology of single tracks under different process parameters: (a) P = 90 W, v = 900 mm/s; (b) P = 110 W, v = 900 mm/s; (c) P = 130 W, v = 900 mm/s; (d) P = 90 W, v = 700 mm/s; (e) P = 90 W, v = 1100 mm/s. Dashed circles indicate surface cracks.
Figure 13. Surface morphology of single tracks under different process parameters: (a) P = 90 W, v = 900 mm/s; (b) P = 110 W, v = 900 mm/s; (c) P = 130 W, v = 900 mm/s; (d) P = 90 W, v = 700 mm/s; (e) P = 90 W, v = 1100 mm/s. Dashed circles indicate surface cracks.
Metals 15 01234 g013
Figure 14. Surface morphology and crack density of specimens fabricated under different processing parameters: (a) P = 90 W, v = 900 mm/s; (b) P = 110 W, v = 900 mm/s; (c) P = 130 W, v = 900 mm/s; (d) P = 90 W, v = 700 mm/s; (e) P = 90 W, v = 1100 mm/s; (f) crack density of the fabricated parts under different laser line energy densities.
Figure 14. Surface morphology and crack density of specimens fabricated under different processing parameters: (a) P = 90 W, v = 900 mm/s; (b) P = 110 W, v = 900 mm/s; (c) P = 130 W, v = 900 mm/s; (d) P = 90 W, v = 700 mm/s; (e) P = 90 W, v = 1100 mm/s; (f) crack density of the fabricated parts under different laser line energy densities.
Metals 15 01234 g014
Table 1. SWOT analysis of the experimental and modeling approaches for LPBF of TiAl alloys.
Table 1. SWOT analysis of the experimental and modeling approaches for LPBF of TiAl alloys.
AspectExperimental WorkModeling Approach (CFD + DEM)
StrengthsProvides direct observation of melt pool morphology and defects. Enables validation of numerical results through metallographic and microstructural evidence. Captures real material behavior under complex thermal conditions.Allows detailed analysis of melt pool dynamics, including Marangoni convection, recoil pressure, and surface tension effects. Provides time-resolved temperature and velocity fields difficult to access experimentally. Enables parametric optimization of process parameters with reduced cost.
WeaknessesLimited temporal and spatial resolution during in situ monitoring. High equipment cost and limited reproducibility due to process fluctuations. Difficult to isolate the effect of individual parameters.Simplifications in boundary conditions and material property definitions. Computationally expensive, especially for realistic powder beds. Accuracy depends on calibration with experimental data.
OpportunitiesCan be combined with in situ high-speed imaging or synchrotron-based observation to provide real-time validation. Offers database support for material design and defect control.Integration with machine learning for predictive modeling. Extension to multi-layer or multi-track simulations for improved process understanding. Potential to develop digital twins for process optimization.
ThreatsEquipment limitations or operator variability may affect repeatability. Experimental uncertainty in temperature and melt pool measurement.Numerical instability when coupling multiple physical fields. Lack of comprehensive thermo-physical data for TiAl alloys at high temperature. Model assumptions may limit generalization to other alloys or process conditions.
Table 2. Processing parameters used for the samples in this study.
Table 2. Processing parameters used for the samples in this study.
Serial NumberLaser Power (W)Scanning Speed (mm/s)Hatch Space (µm)
190900
2110900
3130900
490700
5901100
69090060
711090060
813090060
99070060
1090110060
Table 3. Thermophysical properties and laser parameters of TiAl-based composite.
Table 3. Thermophysical properties and laser parameters of TiAl-based composite.
PropertyValue
Evaporation temperature (Tv)3142 K [18]
Ambient temperature (T0)300 K
Latent heat of fusion (Lm)4.0 × 105 J/kg [19]
Molar mass0.04199 kg/mol
Latent heat of vaporization(Lv)10.65 MJ/kg [18]
Stefan-Boltzmann constant (σ0)5.67 × 10−8 W/(m2·K4)
Surface tension coefficient (σm)1.28 N/m [20,21]
Surface tension temperature dependence (∂σ/∂t)−2.4 × 10−4 N/(m·K)
Solidus temperature (Ts)1734 K [22]
Liquid temperature (Tl)1825 K [22]
Laser beam radius (r)40 µm
Laser absorptivity0.5 [23]
Table 4. The variation in thermophysical properties of TiAl-based composite with temperature.
Table 4. The variation in thermophysical properties of TiAl-based composite with temperature.
Temperature (K)Density (kg/m3) [8]Specific Heat (J/kg·K)
[10,24,25]
Thermal Conductivity (W/m·K) [10,24,25]Viscosity (kg/(m·s)) [26]
2984186.7
373 608.719
5734172.6640.521.5
7234164.2664.323.3
8734156.7688.425
973 737.426.7
10734145.4761.227.6
1173 799.928.6
12734135.1856.427.4
14734124.81070.929.5
1600 11.5
1700 6.93
1773 6.1
1820 5.4
Disclaimer/Publisher’s Note: The statements, opinions and data contained in all publications are solely those of the individual author(s) and contributor(s) and not of MDPI and/or the editor(s). MDPI and/or the editor(s) disclaim responsibility for any injury to people or property resulting from any ideas, methods, instructions or products referred to in the content.

Share and Cite

MDPI and ACS Style

Xu, X.; Xie, Z.; Wu, M.; Ma, C. Effects of Laser Process Parameters on Melt Pool Thermodynamics, Surface Morphology and Residual Stress of Laser Powder Bed-Fused TiAl-Based Composites. Metals 2025, 15, 1234. https://doi.org/10.3390/met15111234

AMA Style

Xu X, Xie Z, Wu M, Ma C. Effects of Laser Process Parameters on Melt Pool Thermodynamics, Surface Morphology and Residual Stress of Laser Powder Bed-Fused TiAl-Based Composites. Metals. 2025; 15(11):1234. https://doi.org/10.3390/met15111234

Chicago/Turabian Style

Xu, Xiaolong, Ziwen Xie, Meiping Wu, and Chenglong Ma. 2025. "Effects of Laser Process Parameters on Melt Pool Thermodynamics, Surface Morphology and Residual Stress of Laser Powder Bed-Fused TiAl-Based Composites" Metals 15, no. 11: 1234. https://doi.org/10.3390/met15111234

APA Style

Xu, X., Xie, Z., Wu, M., & Ma, C. (2025). Effects of Laser Process Parameters on Melt Pool Thermodynamics, Surface Morphology and Residual Stress of Laser Powder Bed-Fused TiAl-Based Composites. Metals, 15(11), 1234. https://doi.org/10.3390/met15111234

Note that from the first issue of 2016, this journal uses article numbers instead of page numbers. See further details here.

Article Metrics

Back to TopTop