Effects of Hot Compression on Grain Boundary Evolution and Twin Boundary Characteristics on the Material Properties of Inconel 617 Alloy
Abstract
1. Introduction
2. Experimental
3. Results
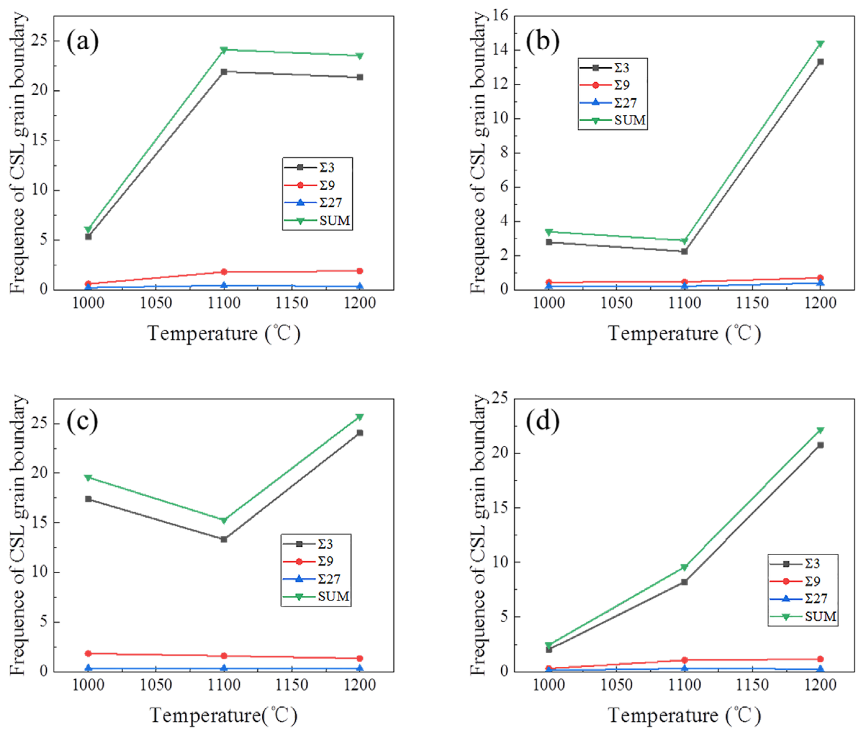
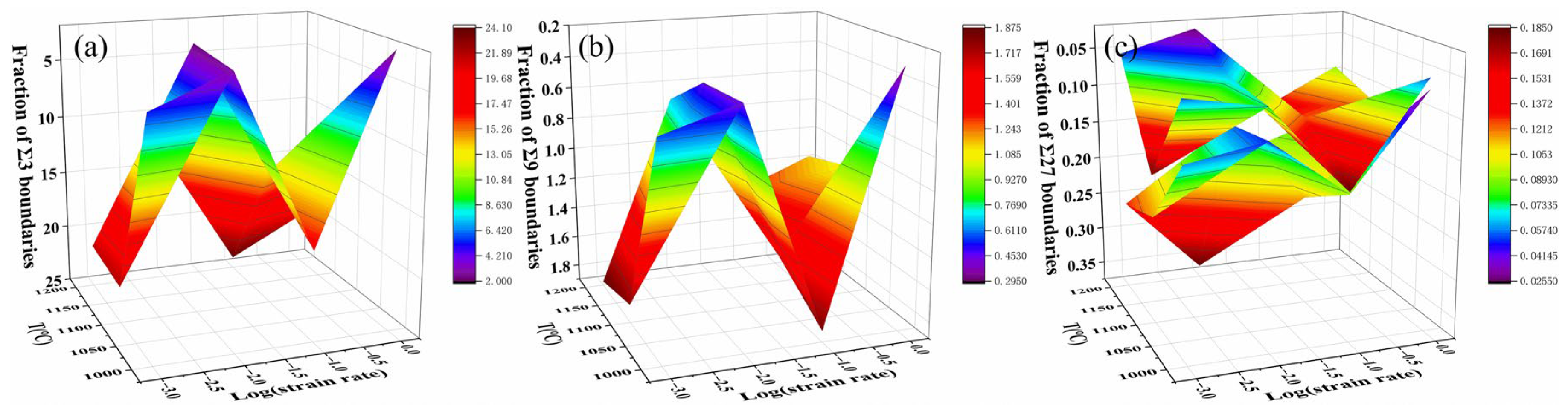
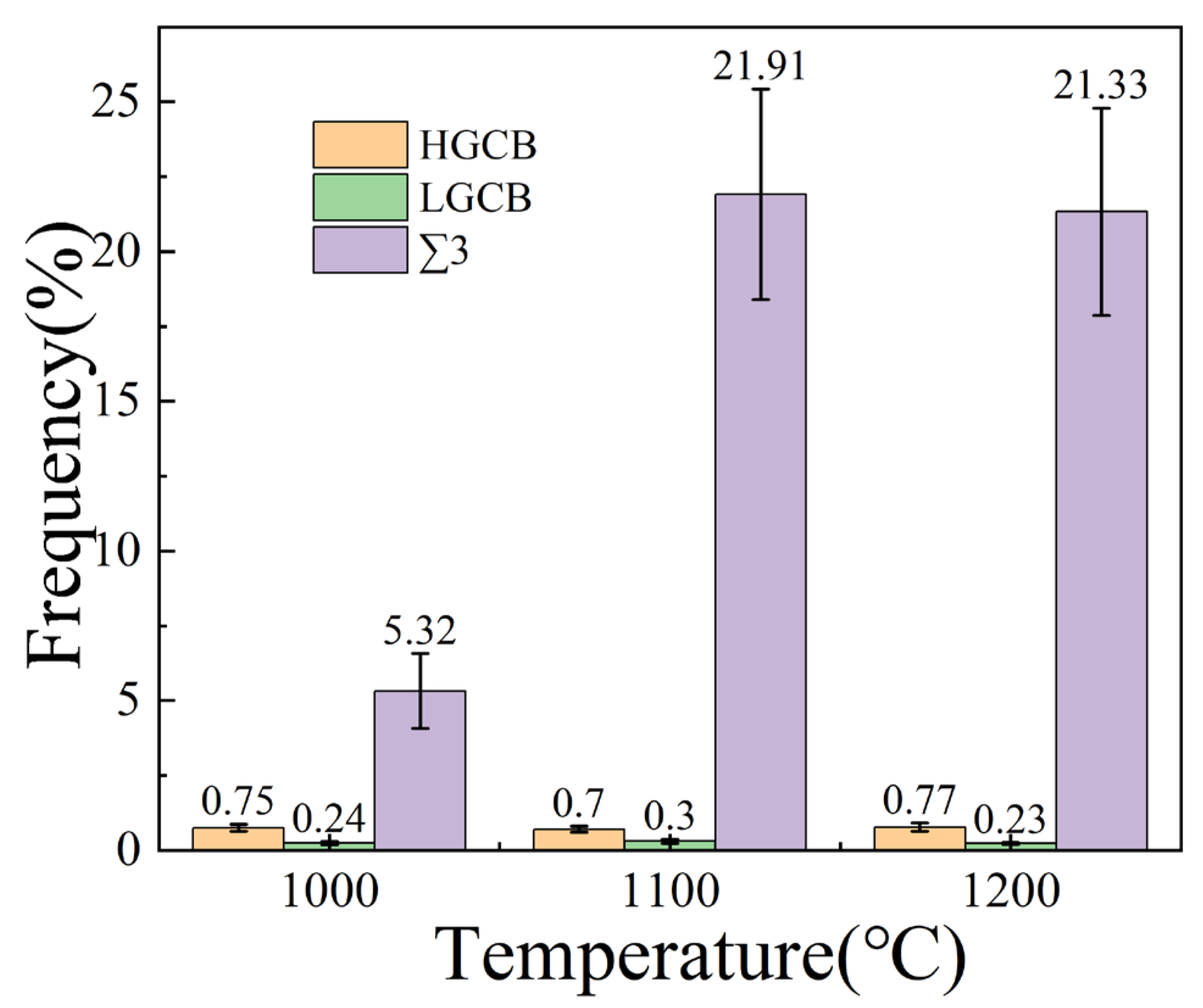
3.1. Grain Boundary Behavior Analysis
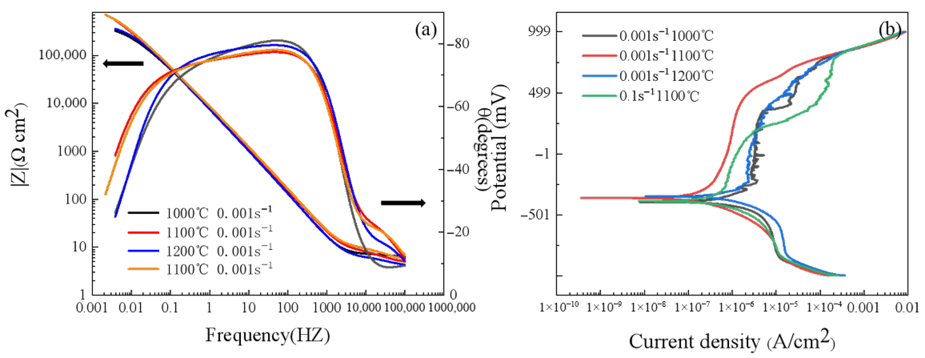
3.2. Corrosion Behavior Analysis
4. Conclusions
- This study clarifies that at low strain rates, increasing temperature activates significant DRX and annealing twins. The statistical analysis of grain boundaries shows that the transformation from LAGBs to HAGBs is the dominant mechanism of continuous dynamic recrystallization. At the same time, the interaction between special grain boundaries and their complex evolution with thermodynamic parameters is observed. However, current analysis based on static organization has difficulty in capturing the instantaneous dynamics of these processes. Therefore, direct observation using high-temperature in situ EBSD technology is crucial for thoroughly elucidating these microscopic mechanisms in the future.
- By introducing the Σ (9 + 27)/Σ3 ratio as a novel evaluation index, we find that the ratio reaches the extreme value at the strain rate of 0.01 s −1, which is highly consistent with the macroscopic deformation instability behavior, revealing the decisive influence of the dynamic evolution of the grain boundary network on the processing sensitivity. This finding provides a microscopic basis for predicting the process window, but the universality of the correlation still needs to be verified in different alloy systems. Subsequent research can be devoted to the establishment of a physical constitutive model based on the grain boundary stability index to achieve accurate simulation and optimization of the thermal processing process.
- The analysis results established a positive correlation between the density of the Σ3 grain boundaries and the corrosion resistance of the material, and confirmed the role of coherent twin boundaries as an effective barrier for corrosion propagation. This provides a clear direction for optimizing the service performance of materials through grain boundary engineering. The current research is mainly based on statistical correlations. In the future, it is necessary to combine carefully regulated grain boundary networks with customized micro-area electrochemical tests to quantitatively analyze the passivation behavior and failure mechanism of different special grain boundaries in specific corrosion environments.
Author Contributions
Funding
Data Availability Statement
Conflicts of Interest
References
- Filatova, M.A.; Sudakov, V.S. Structure and properties of deformable nickel alloys for gas turbines. Met. Sci. Heat Treat. 1994, 36, 632–637. [Google Scholar] [CrossRef]
- Mankins, W.L.; Hosier, J.C.; Bassford, T.H. Microstructure and phase stability of INCONEL alloy 617. Metall. Trans. 1974, 5, 2579–2590. [Google Scholar] [CrossRef]
- Gosia, S.-B.; Diana, M.F.; Jörg, M.; Günter, S. Nickel-base superalloys for ultra-supercritical coal-fired power plants: Fireside corrosion. Laboratory studies and power plant exposures. Fuel 2013, 108, 521–533. [Google Scholar]
- Jia, Z.; Gao, Z.X.; Ji, J.J.; Liu, D.X.; Guo, T.B.; Ding, Y.T. Study of the Dynamic Recrystallization Process of the Inconel 625 Alloy at a High Strain Rate. Materials 2019, 12, 510. [Google Scholar] [CrossRef]
- Rao, C.V.; Srinivas, N.; Sastry, G.; Singh, V. Low cycle fatigue, deformation and fracture behaviour of Inconel 617 alloy. Mater. Sci. Eng. 2019, 765, 138286. [Google Scholar] [CrossRef]
- Jiang, H.; Dong, J.X.; Zhang, M. Hot Extrusion Characteristics and Process Optimization Control of Superalloy 617B Pipe. J. Univ. Sci. Technol. Beijing 2019, 41, 479–488. [Google Scholar]
- Emeis, F.; Peterlechner, M.; Wilde, G. Hall–Petch Relations of Severely Deformed Cu, Ni, and Cu–Ni Alloys: Analysis of the Dislocation Blockage Strength of Deformation-Modified Grain Boundaries. Adv. Eng. Mater. 2020, 22, 1900429. [Google Scholar] [CrossRef]
- Gao, Z.; Jia, Z.; Ji, J.J.; Liu, D.X.; Ding, Y.T. Texture Evolution and Dislocation Behavior in a Nickel Based Superalloy during Hot Compression. Adv. Eng. Mater. 2019, 22, 1900892. [Google Scholar] [CrossRef]
- Gao, Z.X.; Yang, D.L.; Jiang, S.N.; Wan, Y.C.; Gao, Y.H.; Chen, Z.Y.; Liu, C.M. Dynamic precipitation and DRX behavior in a Mg-7.5Gd-1Y-2Nd-0.4Zr alloy: Temperature dependence and microstructure evolution. Mater. Today Commun. 2025, 46, 112662. [Google Scholar] [CrossRef]
- Jia, L.C.; Zhang, Z.M.; Xue, Y.; Sun, J.X.; Mao, F.L.; Xu, B.H. The twinning and DRX mechanisms of AZ31 Mg alloy by comparing compressive/shear/compressive-shear deformation. J. Alloys Compd. 2025, 1030, 180736. [Google Scholar] [CrossRef]
- Li, N.; Qiao, S.C.; Gao, X.Y.; Wang, F.Z.; Wen, X.; Xia, Z.K.; Wang, Y.Q.; Liu, S.; Jiang, J.Z.; Yuan, C.; et al. Unraveling dynamic recrystallization mechanisms in Ni-based wrought superalloy GH4698 through comprehensive EBSD analysis. Mater. Lett. 2025, 378, 137613. [Google Scholar] [CrossRef]
- Guo, Q.H.; Jiang, X.Y.; Li, L.H.; Li, S.F.; Xiao, Z.; Sun, Y.H.; Li, Z. Hot workability, microstructural evolution, and dual path DRX mechanism of the 70Cu–30Ni alloy. J. Mater. Res. Technol. 2025, 38, 5301–5317. [Google Scholar] [CrossRef]
- Jing, Z.J.; Fan, J.K.; Liu, X.D.; Song, Y.L.; Wang, Z.X.; Cao, K.; Chen, Y.T.; Fu, H.; Zhang, J.N.; Li, J.S. EBSD analysis of grain boundary evolution and dynamic recrystallization of Inconel 625 superalloy at various hot spinning feed rates. Prog. Nat. Sci. Mater. Int. 2024, 34, 56–65. [Google Scholar] [CrossRef]
- Min, J.J.; Ji, S.A.; A Ra, J.; Seung, H.Y.; Myeong, S.J.; Young, H.M.; Sun, K.H. Effect of delta processing on microstructure evolution and workability during the high-temperature deformation of Inconel 718. J. Mater. Res. Technol. 2025, 39, 2992–3006. [Google Scholar] [CrossRef]
- Fang, X.Y.; Wang, W.G.; Zhou, B.X. Research progress on optimization of grain boundary characteristic distribution (GBCD) of metallic materials. Rare. Met. Mater. Eng. 2007, 36, 1500. [Google Scholar]
- Brandon, D.G. The structure of high-angle grain boundaries. Acta Met. 1966, 14, 1479–1484. [Google Scholar] [CrossRef]
- Palumbo, G.; Aust, K.T.; Lehockey, E.M.; Erb, U.; Lin, P. On a More Restrictive Geometric Criterion for “Special” CSL Grain Boundaries. Scr. Mater. 1998, 38, 1685–1690. [Google Scholar] [CrossRef]
- Alexandreanu, B.; Capell, B.; Was, G.S. Combined effect of special grain boundaries and grain boundary carbides on IGSCC of Ni–16Cr–9Fe– xC alloys. Mater. Sci. Eng. A 2001, 300, 94–104. [Google Scholar] [CrossRef]
- Michiuchi, M.; Kokawa, H.; Wang, Z.J.; Sato, Y.S.; Sakai, K. Twin-induced grain boundary engineering for 316 austenitic stainless steel. Acta Mater. 2006, 54, 5179–5184. [Google Scholar] [CrossRef]
- Randle, V. Twinning-related grain boundary engineering. Acta Mater. 2004, 52, 4067–4081. [Google Scholar] [CrossRef]
- Zhu, J.C.; Lin, Y.C.; Chen, Z.J.; Xie, Y.F.; Yang, J.; Naseri, M. Twinning mechanism and grain size model of hot deformed FGH4113A alloy. Trans. Nonferrous Met. Soc. China 2025, 35, 2288–2303. [Google Scholar] [CrossRef]
- Şen, O.C.; Benito, S.; Weber, S.; Janisch, R. Increasing the content of CSL grain boundaries in ferritic steel through grain boundary engineering. J. Mater. Res. Technol. 2025, 38, 4170–4177. [Google Scholar] [CrossRef]
- Lin, E. Grain boundary structure effects on cold work embrittlement of microalloyed steels. Scr. Mater. 1998, 39, 353–358. [Google Scholar] [CrossRef]
- Tan, L.; Allen, T.R.; Busby, J.T. Grain boundary engineering for structure materials of nuclear reactors. J. Nucl. Mater. 2013, 441, 661–666. [Google Scholar] [CrossRef]
- Thomson, C.B.; Randle, V. “Fine tuning” at Σ3n boundaries in nickel. Acta Mater. 1997, 45, 4909–4916. [Google Scholar] [CrossRef]
- Randle, V.; Yan, H. The role of vicinal Σ3 boundaries and Σ9 boundaries in grain boundary engineering. J. Mater. Sci. 2005, 40, 3243–3246. [Google Scholar] [CrossRef]
- Xia, S.; Zhou, B.X.; Chen, W.J.; Wang, W.G. Effects of strain and annealing processes on the distribution of Σ3 boundaries in a Ni-based superalloy. Scr. Mater. 2006, 54, 2019–2022. [Google Scholar] [CrossRef]
- Sukhomlin, G.D.; Andreeva, A.V. Particular properties of Σ = 3n boundaries in F. C. C. polycrystals. I. Crystallographical parameters and grain boundary faceting during annealing. Phys. Status Solidi 2010, 78, 333–341. [Google Scholar] [CrossRef]














| Element | Ni | Cr | Mo | Co | Fe | Al | C | Si | Ti |
|---|---|---|---|---|---|---|---|---|---|
| ω (%) | Bal | 20.8 | 9.12 | 13.1 | 0.8 | 1.28 | 0.07 | 0.11 | 0.22 |
| Sample | Ecorr (V) | Icorr (A) | Rp (Ω) | CR (mm/a) | MR (g/m2·d) |
|---|---|---|---|---|---|
| 1000 °C 0.001 s−1 | −0.378 | 7.62 × 10−7 | 65,388 | 0.011 | 0.253 |
| 1100 °C 0.001 s−1 | −0.377 | 1.08 × 10−7 | 340,270 | 0.001 | 0.036 |
| 1200 °C 0.001 s−1 | −0.351 | 7.05 × 10−7 | 54,210 | 0.010 | 0.233 |
| 1100 °C 0.1 s−1 | −0.368 | 3.70 × 10−7 | 11,9833 | 0.005 | 0.123 |
Disclaimer/Publisher’s Note: The statements, opinions and data contained in all publications are solely those of the individual author(s) and contributor(s) and not of MDPI and/or the editor(s). MDPI and/or the editor(s) disclaim responsibility for any injury to people or property resulting from any ideas, methods, instructions or products referred to in the content. |
© 2025 by the authors. Licensee MDPI, Basel, Switzerland. This article is an open access article distributed under the terms and conditions of the Creative Commons Attribution (CC BY) license (https://creativecommons.org/licenses/by/4.0/).
Share and Cite
Yu, L.; Jia, Z.; Tu, Y.; Huang, J.; Zhou, J.; Pan, L. Effects of Hot Compression on Grain Boundary Evolution and Twin Boundary Characteristics on the Material Properties of Inconel 617 Alloy. Metals 2025, 15, 1186. https://doi.org/10.3390/met15111186
Yu L, Jia Z, Tu Y, Huang J, Zhou J, Pan L. Effects of Hot Compression on Grain Boundary Evolution and Twin Boundary Characteristics on the Material Properties of Inconel 617 Alloy. Metals. 2025; 15(11):1186. https://doi.org/10.3390/met15111186
Chicago/Turabian StyleYu, Lidan, Zhi Jia, Yiyou Tu, Junlin Huang, Jun Zhou, and Lei Pan. 2025. "Effects of Hot Compression on Grain Boundary Evolution and Twin Boundary Characteristics on the Material Properties of Inconel 617 Alloy" Metals 15, no. 11: 1186. https://doi.org/10.3390/met15111186
APA StyleYu, L., Jia, Z., Tu, Y., Huang, J., Zhou, J., & Pan, L. (2025). Effects of Hot Compression on Grain Boundary Evolution and Twin Boundary Characteristics on the Material Properties of Inconel 617 Alloy. Metals, 15(11), 1186. https://doi.org/10.3390/met15111186

