Effect of Nickel Alloying on the Glass-Forming Ability and Corrosion Resistance of a Pt-Pd-Cu-P Bulk Metallic Glass
Abstract
1. Introduction
2. Materials and Methods
2.1. Alloy Fabrication
2.2. Experimental Procedure
3. Experiment Result
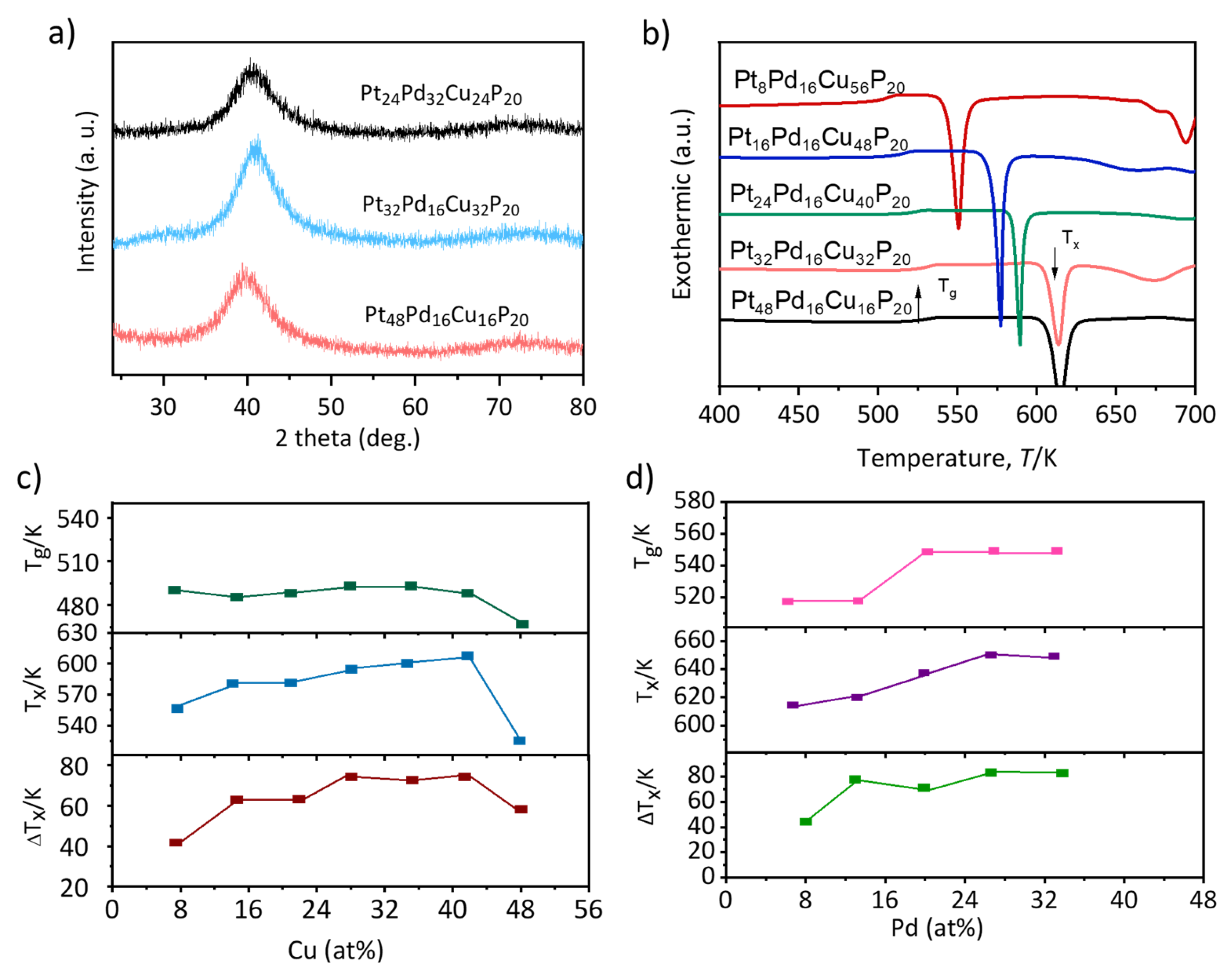
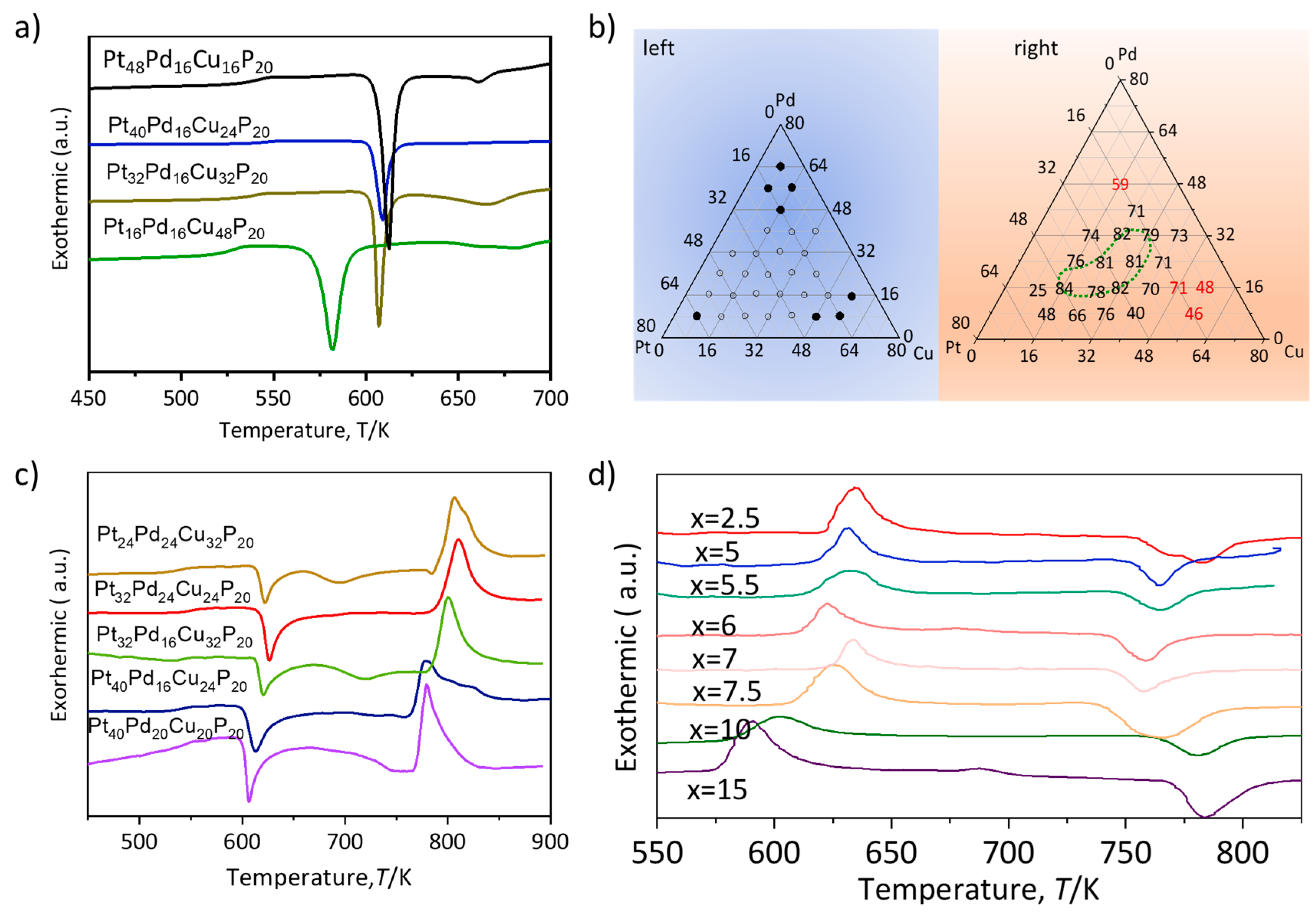
3.1. Optimization of the Composition of Pt-Pd-Cu-P Amorphous Alloys
3.2. The Study of Structural Transformation of Amorphous Crystals
4. The Study of the Properties of Pt-Pd-Cu-P-Ni Alloys
4.1. The Performance of Mechanical Property for Pt-Pd-Cu-Ni-P Alloys
4.2. Electrochemical Corrosion Performance
4.2.1. Potentiodynamic Polarization Curves
4.2.2. Electrochemical Impedance Spectroscopy (EIS)
5. Discussions
5.1. Mechanism of Enhanced Glass-Forming Ability
5.2. Unifying the Corrosion Mechanism
6. Conclusions
Author Contributions
Funding
Data Availability Statement
Conflicts of Interest
References
- Zhang, P.; Tan, J.; Tian, Y.; Yan, H.; Yu, Z. Research progress on selective laser melting (SLM) of bulk metallic glasses (BMGs): A review. Int. J. Adv. Manuf. Technol. 2022, 118, 2017–2057. [Google Scholar] [CrossRef]
- Gao, K.; Zhu, X.G.; Chen, L.; Li, W.; Xu, X.; Pan, B.; Li, W.; Zhou, W.; Li, L.; Huang, W.; et al. Recent development in the application of bulk metallic glasses. J. Mater. Sci. Technol. 2022, 131, 115–121. [Google Scholar] [CrossRef]
- Sohrabi, N.; Jhabvala, J.; Logé, R.E. Additive manufacturing of bulk metallic glasses-process, challenges and properties: A review. Metals 2021, 11, 1279. [Google Scholar] [CrossRef]
- Li, B.; Yakubov, V.; Nomoto, K.; Ringer, S.P.; Gludovatz, B.; Li, X.; Kruzic, J.J. Superior mechanical properties of a Zr-based bulk metallic glass via laser powder bed fusion process control. Acta Mater. 2024, 266, 119685. [Google Scholar] [CrossRef]
- Wu, Y.; Cao, D.; Yao, Y.; Zhang, G.; Wang, J.; Liu, L.; Li, F.; Fan, H.; Liu, X.; Wang, H.; et al. Substantially enhanced plasticity of bulk metallic glasses by densifying local atomic packing. Nat. Commun. 2021, 12, 6582. [Google Scholar] [CrossRef]
- Ding, F.; Feng, Y.; Xu, Y.; Shi, H.; Guo, X. Synergistic improvement of mechanical performance and corrosion resistance in Zr-based BMGs by Nb addition. J. Non-Cryst. Solids 2025, 665, 123619. [Google Scholar] [CrossRef]
- Zhou, S.; Chen, S.; Du, P.; Yan, R.; Yuan, B.; Cai, Z.; Zhang, L.; Xie, G. Simultaneously improving the plasticity and corrosion resistance of biomedical Mg-based bulk metallic glass by introducing SnZn alloy solder. Intermetallics 2025, 182, 108791. [Google Scholar] [CrossRef]
- Liang, D.; Chen, Q.; Zhou, Y.; Liu, X.; Cai, Y.; Zhou, Q.; Huang, B.; Zhang, E.; Shen, J. Tailoring the structural heterogeneity and electrochemical behavior of Fe-based bulk metallic glasses by Ar+ irradiation. J. Alloys Compd. 2023, 936, 168332. [Google Scholar] [CrossRef]
- Sarac, B.; Sarac, A.S.; Eckert, J. Pd-based metallic glasses as promising materials for hydrogen energy applications. J. Electrochem. Soc. 2023, 170, 014503. [Google Scholar] [CrossRef]
- Houghton, O.S.; Greer, A.L. A conflict of fineness and stability: Platinum-and palladium-based bulk metallic glasses for jew-ellery: Part I: Introduction and properties of platinum-and palladium-based bulk metallic glasses. Johns. Matthey Technol. Rev. 2021, 65, 506–518. [Google Scholar] [CrossRef]
- Hughes, A.E.; Haque, N.; Northey, S.A.; Giddey, S. Platinum group metals: A review of resources, production and usage with a focus on catalysts. Resources 2021, 10, 93. [Google Scholar] [CrossRef]
- Lackington, W.A.; Wiestner, R.; Pradervand, E.; Schweizer, P.; Zuber, F.; Ren, Q.; Stoica, M.; Löffler, J.F.; Rottmar, M. Surface chemistry dictates the osteogenic and antimicrobial properties of palladium-, platinum-, and titanium-based bulk metallic glasses. Adv. Funct. Mater. 2023, 33, 2302069. [Google Scholar] [CrossRef]
- Mahajan, C.; Hasannaeimi, V.; Neuber, N.; Wang, X.; Busch, R.; Gallino, I.; Mukherjee, S. Model metallic glasses for superior electrocatalytic performance in a hydrogen oxidation reaction. ACS Appl. Mater. Interfaces 2023, 15, 6697–6707. [Google Scholar] [CrossRef] [PubMed]
- Zhang, T.; Inoue, A. Bulk glassy alloys with low liquidus temperature in Pt-Cu-P system. Mater. Trans. 2003, 44, 1143–1146. [Google Scholar] [CrossRef]
- Wada, T.; Takenaka, K.; Nishiyama, N.; Inoue, A. Formation and mechanical properties of porous Pd-Pt-Cu-P bulk glassy alloys. Mater. Trans. 2005, 46, 2777–2780. [Google Scholar] [CrossRef]
- Na, J.H.; Corona, S.L.; Hoff, A.; Johnson, W.L. Observation of an apparent first-order glass transition in ultrafragile Pt–Cu–P bulk metallic glasses. Proc. Natl. Acad. Sci. USA 2020, 117, 2779–2787. [Google Scholar] [CrossRef]
- Raoof, J.B.; Ojani, R.; Esfeden, S.A.; Nadimi, S.R. Fabrication of bimetallic Cu/Pt nanoparticles modified glassy carbon electrode and its catalytic activity toward hydrogen evolution reaction. Int. J. Hydrogen Energy 2010, 35, 3937–3944. [Google Scholar] [CrossRef]
- Kugai, J.; Seino, S.; Nakagawa, T.; Yamamoto, T.A. Effect of phosphorus and copper additions on the structure of Pt and Pt–Cu nanoparticles in a radiation-induced reduction method. J. Nanopart. Res. 2014, 16, 2275. [Google Scholar] [CrossRef]
- Guo, S.; Hu, Q.; Ng, C.; Liu, C. More than entropy in high-entropy alloys: Forming solid solutions or amorphous phase. Intermetallics 2013, 41, 96–103. [Google Scholar] [CrossRef]
- Ma, H.; Shi, L.L.; Xu, J.; Li, Y.; Ma, E. Improving glass-forming ability of Mg−Cu−Y via substitutional alloying: Effects of Ag versus Ni. J. Mater. Res. 2006, 21, 2204–2214. [Google Scholar] [CrossRef]
- Calin, M.; Stoica, M.; Eckert, J.; Yavari, A.; Schultz, L. Glass formation and crystallization of Cu47Ti33Zr11Ni8X1 (X = Fe, Si, Sn, Pb) alloys. Mater. Sci. Eng. A 2005, 392, 169–178. [Google Scholar] [CrossRef]
- Johnson, W.L. Thermodynamic and kinetic aspects of the crystal to glass transformation in metallic materials. Prog. Mater. Sci. 1986, 30, 81–134. [Google Scholar] [CrossRef]
- Bajpai, A.; Bhatt, J.; Biswas, K.; Gurao, N.P. A new perspective to thermodynamical designing of high entropy bulk metallic glasses (HE-BMGs). Phys. B Condens. Matter 2020, 595, 412350. [Google Scholar] [CrossRef]
- Fu, K.; Yuan, D.; Yu, T.; Lei, C.; Kou, Z.; Huang, B.; Lyu, S.; Zhang, F.; Wan, T. Recent advances on two-dimensional nanomaterials supported single-atom for hydrogen evolution electrocatalysts. Molecules 2024, 29, 4304. [Google Scholar] [CrossRef] [PubMed]
- Feliu, S., Jr. Electrochemical impedance spectroscopy for the measurement of the corrosion rate of magnesium alloys: Brief review and challenges. Metals 2020, 10, 775. [Google Scholar] [CrossRef]
- Zhang, G.A.; Cheng, Y.F. Micro-electrochemical characterization and Mott–Schottky analysis of corrosion of welded X70 pipeline steel in carbonate/bicarbonate solution. Electrochim. Acta 2009, 55, 316–324. [Google Scholar] [CrossRef]
- Wang, Y.; Jin, J.; Zhang, M.; Liu, F.; Wang, X.; Gong, P.; Tang, X. Influence of plastic deformation on the corrosion behavior of CrCoFeMnNi high entropy alloy. J. Alloys Compd. 2022, 891, 161822. [Google Scholar] [CrossRef]
- Takeuchi, A.; Inoue, A. Classification of bulk metallic glasses by atomic size difference, heat of mixing and period of constituent elements and its application to characterization of the main alloying element. Mater. Trans. 2005, 46, 2817–2829. [Google Scholar] [CrossRef]
- Sui, J.H.; Cai, W. Formation of diamond-like carbon (DLC) film on the NiTi alloys via plasma immersion ion implantation and deposition (PIIID) for improving corrosion resistance. Appl. Surf. Sci. 2006, 253, 2050–2055. [Google Scholar] [CrossRef]
- Fatimah, S.; Khoerunnisa, F.; Ko, Y.G. Decoration of an inorganic layer with nickel (hydr)oxide via green plasma electrolysis. RSC Adv. 2018, 8, 26804–26816. [Google Scholar] [CrossRef]










| Tg | Tx | ∆Tx | Tm | Tl | Trg | |
|---|---|---|---|---|---|---|
| Pt40Pd20Cu20P20 | 533 | 601 | 68 | 767 | 823 | 0.65 |
| Pt40Pd20Cu15Ni5P20 | 531 | 622 | 91 | 756 | 784 | 0.69 |
| Pt40Pd20Cu13Ni7P20 | 546 | 625 | 79 | 747 | 810 | 0.67 |
| Pt40Pd20Cu10Ni10P20 | 520 | 586 | 66 | 769 | 800 | 0.65 |
| Pt40Pd20Cu5Ni15P20 | 508 | 577 | 69 | 772 | 806 | 0.63 |
| Material | Ecorr (mVSCE) | Icorr (A/cm2) |
|---|---|---|
| Ni-0 | 378 ± 21 | 3.6 × 10−4 |
| Ni-5 | 485 ± 13 | 3.1 × 10−4 |
| Material | Rs (Ω·cm2) | Rf (104·Ω·cm2) | Rct (105·Ω·cm2) |
|---|---|---|---|
| Ni-0 | 10.14 | 1.65 | 1.89 |
| Ni-5 | 13.23 | 4.53 | 4.92 |
| Pt | Pd | Cu | P | Ni | |||||
|---|---|---|---|---|---|---|---|---|---|
| Atomic radius | 1.77 | 1.69 | 1.27 | 0.98 | 1.28 | ||||
| Group element | Pt-Cu | Pt-P | Pd-Cu | Pd-P | Pt-Pd | Cu-P | Pt-Ni | Pd-Ni | Ni-P |
| Radius difference (%) | 29 | 45 | 26 | 42 | 4.5 | 22 | 28 | 24 | 23 |
| ΔH (J/mol) | −12 | −26 | −14 | −28 | 2 | −9 | −8 | −10 | −5 |
Disclaimer/Publisher’s Note: The statements, opinions and data contained in all publications are solely those of the individual author(s) and contributor(s) and not of MDPI and/or the editor(s). MDPI and/or the editor(s) disclaim responsibility for any injury to people or property resulting from any ideas, methods, instructions or products referred to in the content. |
© 2025 by the authors. Licensee MDPI, Basel, Switzerland. This article is an open access article distributed under the terms and conditions of the Creative Commons Attribution (CC BY) license (https://creativecommons.org/licenses/by/4.0/).
Share and Cite
Ao, P.; Song, S.; Liu, H.; Liu, L.; Liao, L. Effect of Nickel Alloying on the Glass-Forming Ability and Corrosion Resistance of a Pt-Pd-Cu-P Bulk Metallic Glass. Metals 2025, 15, 1188. https://doi.org/10.3390/met15111188
Ao P, Song S, Liu H, Liu L, Liao L. Effect of Nickel Alloying on the Glass-Forming Ability and Corrosion Resistance of a Pt-Pd-Cu-P Bulk Metallic Glass. Metals. 2025; 15(11):1188. https://doi.org/10.3390/met15111188
Chicago/Turabian StyleAo, Peiyun, Su Song, Haiyong Liu, Lei Liu, and Luliang Liao. 2025. "Effect of Nickel Alloying on the Glass-Forming Ability and Corrosion Resistance of a Pt-Pd-Cu-P Bulk Metallic Glass" Metals 15, no. 11: 1188. https://doi.org/10.3390/met15111188
APA StyleAo, P., Song, S., Liu, H., Liu, L., & Liao, L. (2025). Effect of Nickel Alloying on the Glass-Forming Ability and Corrosion Resistance of a Pt-Pd-Cu-P Bulk Metallic Glass. Metals, 15(11), 1188. https://doi.org/10.3390/met15111188
