A Review: Factors Controlling Erosion Resistance in Metals Prioritizing the Influence of Material Mechanics and the Related Erosion Models
Abstract
1. Introduction
2. Erosion Wear Mechanism
2.1. Mechanical Damage Mechanism

- (a)
- Cutting wear: This phenomenon is governed by low-angle particle impingement (θ < 30°). The process entails the removal of material through microcutting methodologies, wherein abrasive particles result in the generation of continuous shear chips through plastic deformation. The effects of adjacent ploughing have been shown to induce lateral material displacement along the peripheries of impact scars (see Figure 2a).
- (b)
- Deformation wear: The phenomenon under discussion is most prevalent at high impact angles (θ > 60°). This phenomenon occurs when transient contact stresses exceed the material’s yield strength, resulting in localised plastic deformation. Subsequent impacts of particles result in the progressive detachment of accumulated surface extrusions through a process of cyclic material removal (see Figure 2b).
- (c)
- Fatigue wear: The mechanism is characterised by stress concentration amplification under cyclic particle bombardment, which initiates microcrack nucleation at stress raiser sites. The process of crack propagation occurs when the cumulative strain energy exceeds the material’s fracture toughness, resulting in spallation failure (see Figure 2c). This particular form of wear is most commonly observed in brittle materials. However, ductile materials may exhibit localised fatigue damage via strain localisation, where cyclic plasticity exceeds the fatigue limit, despite the material possessing the capacity for bulk plastic energy dissipation.
2.2. Corrosion-Assisted Damage Mechanism
- Topographical roughening enhances stress concentration during particle impingement;
- Localised hardness decrement occurs via selective element depletion in anodic regions;
3. Factors Affecting Erosion Wear
3.1. Particle Properties
3.1.1. Particle Size
3.1.2. Particle Shape
3.1.3. Particle Feed Rate
3.2. Fluid Mechanical Factors
3.2.1. Fluid Velocity
3.2.2. Angle of Impact
3.2.3. Stand-Off Distance
3.2.4. Temperature
3.3. Mechanical Properties of Materials
3.3.1. Material Hardness
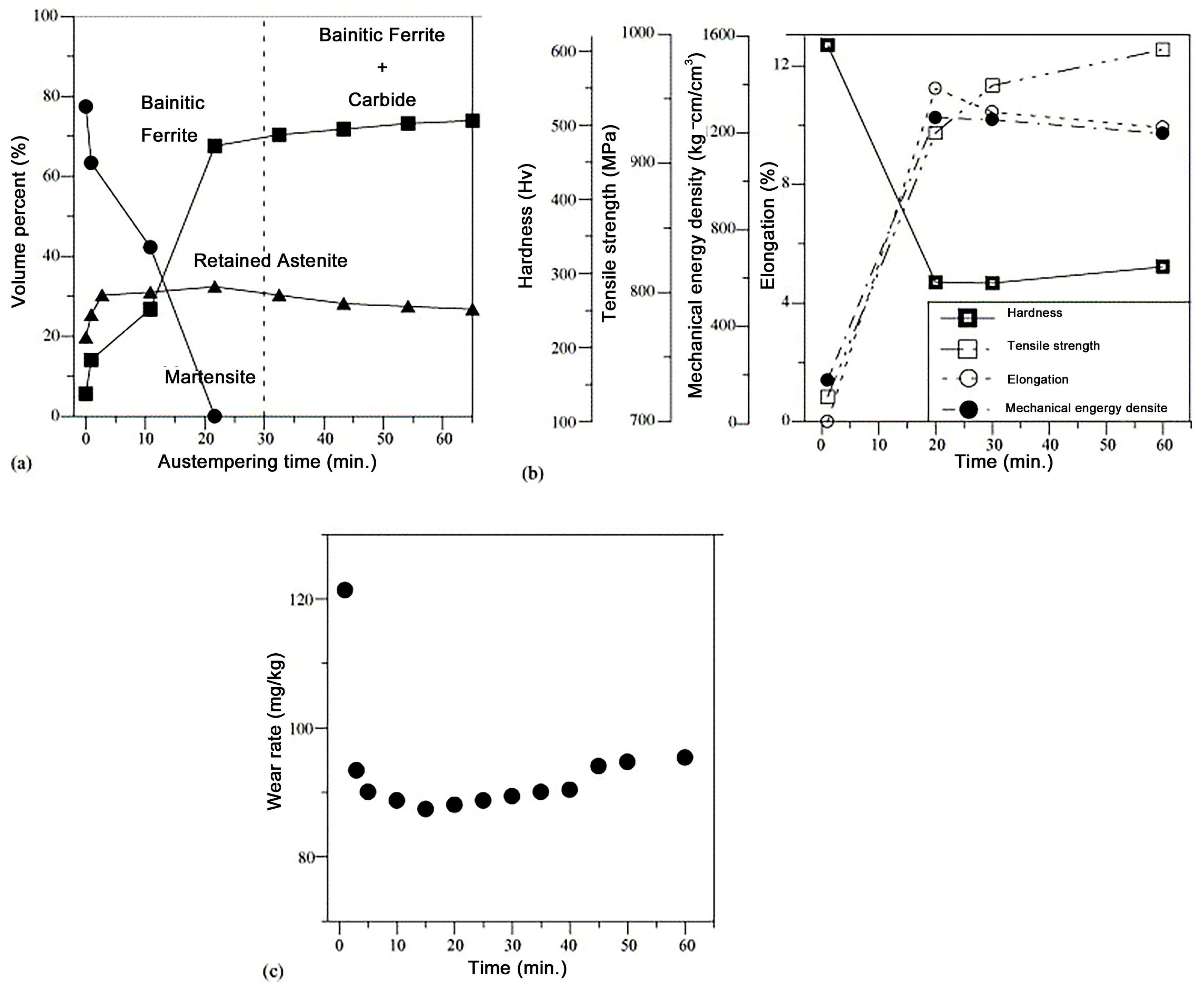
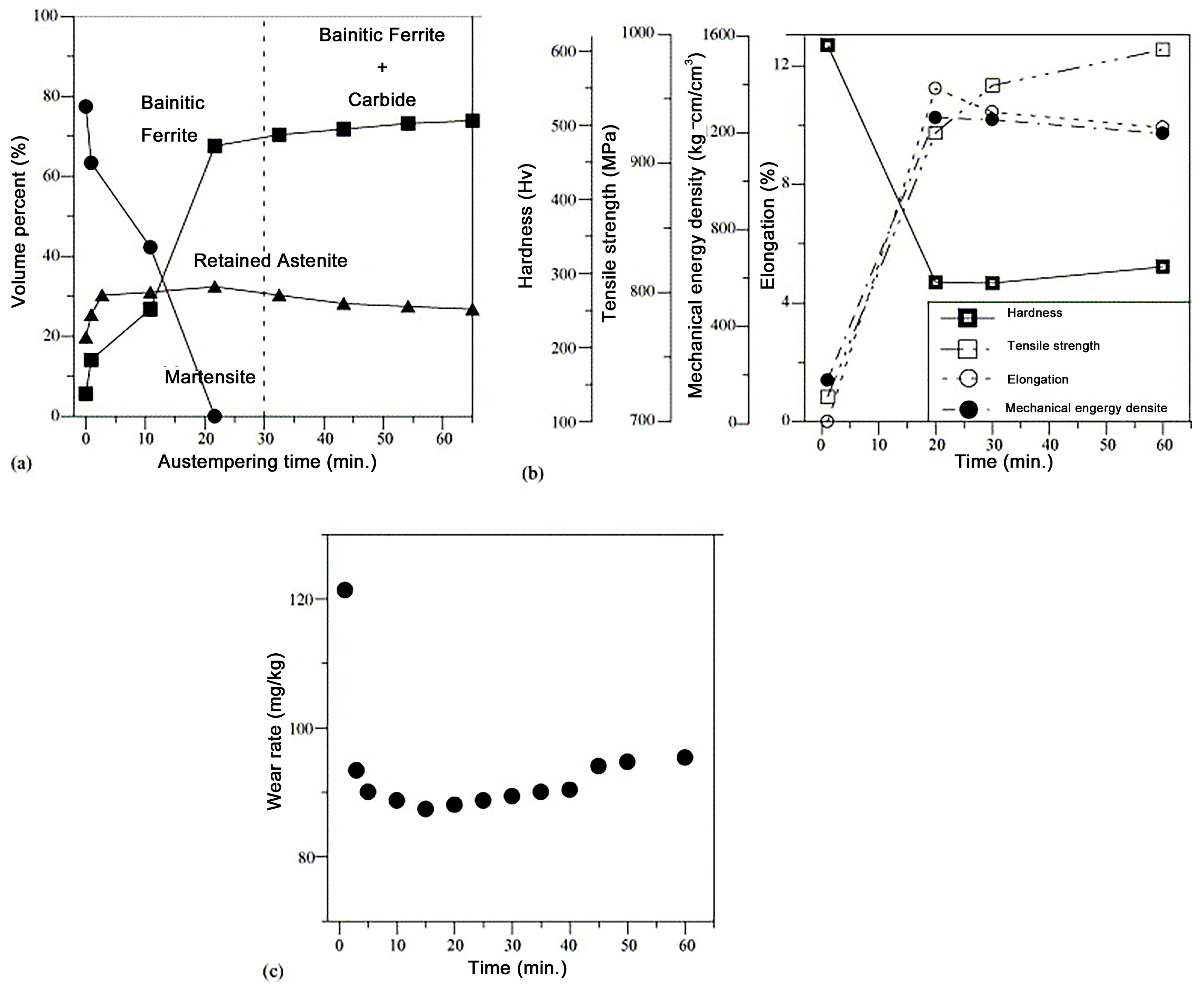
3.3.2. Combination Function of Hardness and Other Mechanical Properties
3.3.3. Other Mechanical Properties
3.3.4. Effect of Element Content on Erosion
4. Erosion Prediction Model
4.1. Overview of Erosion Prediction Models
4.2. Discussion on Erosion Prediction Models
5. Conclusions
Author Contributions
Funding
Data Availability Statement
Conflicts of Interest
References
- Allen, C.; Ball, A. A review of the performance of engineering materials under prevalent tribological and wear situations in South African industries. Tribol. Int. 1996, 29, 105–116. [Google Scholar] [CrossRef]
- Goddard, J.; Wilman, H. A theory of friction and wear during the abrasion of metals. Wear 1962, 5, 114–135. [Google Scholar] [CrossRef]
- Richardson, R.C.D. The wear of metals by hard abrasives. Wear 1967, 10, 291–309. [Google Scholar] [CrossRef]
- Ariely, S.; Khentov, A. Erosion corrosion of pump impeller of cyclic cooling water system. Eng. Fail. Anal. 2006, 13, 925–932. [Google Scholar] [CrossRef]
- Kashyap, T.; Thakur, R.; Ngo, G.H.; Lee, D.; Fekete, G.; Kumar, R.; Singh, T. Silt erosion and cavitation impact on hydraulic turbines performance: An in-depth analysis and preventative strategies. Heliyon 2024, 10, e28998. [Google Scholar] [CrossRef]
- Shrivastava, N.; Rai, A.K. Hydro-abrasive erosion in Pelton turbines: Comprehensive review and future outlook. Renew. Sustain. Energy Rev. 2025, 207, 114957. [Google Scholar] [CrossRef]
- Kumar, P.; Singal, S.K.; Gohil, P.P. A technical review on combined effect of cavitation and silt erosion on Francis turbine. Renew. Sustain. Energy Rev. 2024, 190, 114096. [Google Scholar] [CrossRef]
- Amadi, A.; Mohyaldinn, M.; Ridha, S. Sand particle induced erosion in oil and gas screens: A review of influencing factors and wear dynamics. Powder Technol. 2024, 436, 119528. [Google Scholar] [CrossRef]
- Peng, W.; Cao, X.; Ma, L.; Wang, P.; Bian, J.; Lin, C. Sand erosion prediction models for two-phase flow pipe bends and their application in gas-liquid-solid multiphase flow erosion. Powder Technol. 2023, 421, 118421. [Google Scholar] [CrossRef]
- Yao, L.; Liu, Y.; Xiao, Z.; Chen, Y. An algorithm combining sedimentation experiments for pipe erosion investigation. Energy 2023, 270, 126891. [Google Scholar] [CrossRef]
- Zhou, J.W.; Liu, Y.; Liu, S.Y.; Du, C.L.; Li, J.P. Effects of particle shape and swirling intensity on elbow erosion in dilute-phase pneumatic conveying. Wear 2017, 380–381, 66–77. [Google Scholar] [CrossRef]
- Ranjith, P.G.; Liu, Y.; Wei, J.; Liu, X. Effect of abrasive mass flow on the abrasive acceleration and erosion rates of abrasive gas jets. Rock. Mech. Rock. Eng. 2019, 52, 3085–3102. [Google Scholar] [CrossRef]
- Babu Golla, C.; Narasimha Rao, R.; Ismail, S. Variation in wear scar penetration depths due to impact angle on the erosion wear of advanced aluminum matrix nanocomposites. Mater. Lett. 2024, 370, 136843. [Google Scholar] [CrossRef]
- Annamalai, S.; Anand Ronald, B.; Ebenezer, D. Slurry erosive wear behaviour of metal matrix composites—A review. Mater. Today Proc. 2024. [Google Scholar] [CrossRef]
- Yu, H.; Shao, L.; Zhang, S.; Zhang, J.; Han, Z. An innovative strategy of anti-erosion: Combining bionic morphology and bionic arrangement. Powder Technol. 2022, 407, 117653. [Google Scholar] [CrossRef]
- Finnie, I. Some reflections on the past and future of erosion. Wear 1995, 186–187, 1–10. [Google Scholar] [CrossRef]
- Finnie, I. Some observations on the erosion of ductile metals. Wear 1972, 19, 81–90. [Google Scholar] [CrossRef]
- Finnie, I.; Kabil, Y.H. On the formation of surface ripples during erosion. Wear 1965, 8, 60–69. [Google Scholar] [CrossRef]
- Misra, A.; Finnie, I. An experimental study of three-body abrasive wear. Wear 1983, 85, 57–68. [Google Scholar] [CrossRef]
- Finnie, I. Erosion of surfaces by solid particles. Wear 1960, 3, 87–103. [Google Scholar] [CrossRef]
- Dupont, F.; Finnie, I. The simulation of sliding wear by cyclic deformation: Microstructural aspects. Wear 1990, 140, 93–106. [Google Scholar] [CrossRef]
- Finnie, I.; Stevick, G.R.; Ridgely, J.R. The influence of impingement angle on the erosion of ductile metals by angular abrasive particles. Wear 1992, 152, 91–98. [Google Scholar] [CrossRef]
- Zhou, X.L.; Guo, Y.B.; Xie, Q.J.; Wang, D.G.; Yoon, H.C. Numerical study on erosion behavior of sliding sleeve ball seat for hydraulic fracturing based on experimental data. Petrol. Sci. 2023, 20, 515–525. [Google Scholar] [CrossRef]
- Meng, H.C.; Ludema, K.C. Wear models and predictive equations: Their form and content. Wear 1995, 181–183, 443–457. [Google Scholar] [CrossRef]
- López, D.; Congote, J.P.; Cano, J.R.; Toro, A.; Tschiptschin, A.P. Effect of particle velocity and impact angle on the corrosion–erosion of AISI 304 and AISI 420 stainless steels. Wear 2005, 259, 118–124. [Google Scholar] [CrossRef]
- Oka, Y.I.; Yoshida, T. Practical estimation of erosion damage caused by solid particle impact: Part 2: Mechanical properties of materials directly associated with erosion damage. Wear 2005, 259, 102–109. [Google Scholar] [CrossRef]
- Oka, Y.I.; Okamura, K.; Yoshida, T. Practical estimation of erosion damage caused by solid particle impact. Wear 2005, 259, 95–101. [Google Scholar] [CrossRef]
- Desale, G.R.; Gandhi, B.K.; Jain, S.C. Particle size effects on the slurry erosion of aluminium alloy (AA 6063). Wear 2009, 266, 1066–1071. [Google Scholar] [CrossRef]
- Lin, N.; Arabnejad, H.; Shirazi, S.A.; McLaury, B.S.; Lan, H. Experimental study of particle size, shape and particle flow rate on Erosion of stainless steel. Powder Technol. 2018, 336, 70–79. [Google Scholar] [CrossRef]
- Jia, Y.; Deng, X.; Wang, Q.; Li, C.; Wang, Z. Correlation between microstructure, mechanical properties, and slurry erosion behavior of hot-rolled dual-phase steel. Wear 2024, 540–541, 205266. [Google Scholar] [CrossRef]
- Hua, L.; Liuhe, L.; Xiaoting, W.; Guodong, L.; Duoduo, L.; Yang, L.; Ling, T.; Mingyue, H. Effect of bias voltage on the erosion performance of TiAlSiN coatings on TC6 substrate by high power impulse magnetron sputtering. Surf. Coat. Technol. 2024, 477, 130263. [Google Scholar] [CrossRef]
- Selvam, K.; Rakesh, B.S.; Grewal, H.S.; Arora, H.S.; Singh, H. High strain deformation of austenitic steel for enhancing erosion resistance. Wear 2017, 376–377, 1021–1029. [Google Scholar] [CrossRef]
- Shimizu, K.; Purba, R.H.; Kusumoto, K.; Yaer, X.; Ito, J.; Kasuga, H.; Gaqi, Y. Microstructural evaluation and high-temperature erosion characteristics of high chromium cast irons. Wear 2019, 426–427, 420–427. [Google Scholar] [CrossRef]
- Hu, H.X.; Zheng, Y.G.; Qin, C.P. Comparison of Inconel 625 and Inconel 600 in resistance to cavitation erosion and jet impingement erosion. Nucl. Eng. Des. 2010, 240, 2721–2730. [Google Scholar] [CrossRef]
- Hu, H.X.; Jiang, S.L.; Tao, Y.S.; Xiong, T.Y.; Zheng, Y.G. Cavitation erosion and jet impingement erosion mechanism of cold sprayed Ni–Al2O3 coating. Nucl. Eng. Des. 2011, 241, 4929–4937. [Google Scholar] [CrossRef]
- Hu, H.X.; Zheng, Y.G.; Liu, C.B. Predicting the preferential sites to liquid droplet erosion of the bellows assemblies by CFD. Nucl. Eng. Des. 2011, 241, 2295–2306. [Google Scholar] [CrossRef]
- Yi, J.Z.; Hu, H.X.; Wang, Z.B.; Zheng, Y.G. Comparison of critical flow velocity for erosion-corrosion of six stainless steels in 3.5 wt% NaCl solution containing 2 wt% silica sand particles. Wear 2018, 416–417, 62–71. [Google Scholar] [CrossRef]
- Yi, J.Z.; Hu, H.X.; Wang, Z.B.; Zheng, Y.G. On the critical flow velocity for erosion-corrosion in local eroded regions under liquid-solid jet impingement. Wear 2019, 422–423, 94–99. [Google Scholar] [CrossRef]
- Yi, J.Z.; Hu, H.X.; Wang, Z.B.; Zheng, Y.G. On the critical flow velocity for erosion-corrosion of Ni-based alloys in a saline-sand solution. Wear 2020, 458–459, 203417. [Google Scholar] [CrossRef]
- Chen, Z.X.; Hu, H.X.; Zheng, Y.G.; Guo, X.M. Effect of groove microstructure on slurry erosion in the liquid-solid two-phase flow. Wear 2021, 466–467, 203561. [Google Scholar] [CrossRef]
- Chen, Z.X.; Hu, H.X.; Guo, X.M.; Zheng, Y.G. Effect of groove depth on the slurry erosion of V-shaped grooved surfaces. Wear 2022, 488–489, 204133. [Google Scholar] [CrossRef]
- Ma, X.G.; Yang, X.D.; Hu, H.X.; Zheng, Y.G. Numerical simulation of particle concentration and size on the slurry erosion on the surface of V-shaped groove microstructure. J. Korean Phys. Soc. 2022, 80, 991–1002. [Google Scholar] [CrossRef]
- Zhao, L.Q.; Hu, H.X.; Zheng, Y.G.; Guo, X.M.; Pu, J.X. Behavior and mechanism of slurry erosion to grooved surface at different angles. Colloid. Surface A 2023, 656, 130410. [Google Scholar] [CrossRef]
- Yıldızlı, K.; Karamış, M.B.; Nair, F. Erosion mechanisms of nodular and gray cast irons at different impact angles. Wear 2006, 261, 622–633. [Google Scholar] [CrossRef]
- Bitter, J.G.A. A study of erosion phenomena: Part II. Wear 1963, 6, 169–190. [Google Scholar] [CrossRef]
- Bitter, J.G.A. A study of erosion phenomena part I. Wear 1963, 6, 5–21. [Google Scholar] [CrossRef]
- Levy, A.V. The platelet mechanism of erosion of ductile metals. Wear 1986, 108, 1–21. [Google Scholar] [CrossRef]
- Parsi, M.; Najmi, K.; Najafifard, F.; Hassani, S.; McLaury, B.S.; Shirazi, S.A. A comprehensive review of solid particle erosion modeling for oil and gas wells and pipelines applications. J. Nat. Gas. Sci. Eng. 2014, 21, 850–873. [Google Scholar] [CrossRef]
- Sundararajan, G. A comprehensive model for the solid particle erosion of ductile materials. Wear 1991, 149, 111–127. [Google Scholar] [CrossRef]
- Nguyen, Q.B.; Lim, C.Y.H.; Nguyen, V.B.; Wan, Y.M.; Nai, B.; Zhang, Y.W.; Gupta, M. Slurry erosion characteristics and erosion mechanisms of stainless steel. Tribol. Int. 2014, 79, 1–7. [Google Scholar] [CrossRef]
- Al-Bukhaiti, M.A.; Ahmed, S.M.; Badran, F.M.F.; Emara, K.M. Effect of impingement angle on slurry erosion behaviour and mechanisms of 1017 steel and high-chromium white cast iron. Wear 2007, 262, 1187–1198. [Google Scholar] [CrossRef]
- Hutchings, I.M. A model for the erosion of metals by spherical particles at normal incidence. Wear 1981, 70, 269–281. [Google Scholar] [CrossRef]
- Sheldon, G.L.; Kanhere, A. An investigation of impingement erosion using single particles. Wear 1972, 21, 195–209. [Google Scholar] [CrossRef]
- Levy, A.V.; Yau, P. Erosion of steels in liquid slurries. Wear 1984, 98, 163–182. [Google Scholar] [CrossRef]
- Shimizu, K.; Noguchi, T. Erosion characteristics of ductile iron with various matrix structures. Wear 1994, 176, 255–260. [Google Scholar] [CrossRef]
- Rajahram, S.S.; Harvey, T.J.; Walker, J.C.; Wang, S.C.; Wood, R.J.K. Investigation of erosion–corrosion mechanisms of UNS S31603 using FIB and TEM. Tribol. Int. 2012, 46, 161–173. [Google Scholar] [CrossRef]
- Zhao, Y.; Peng, L.; Xie, H.; Zhang, W.; Huang, S.; Yang, Z.; Li, Z.; Mi, X. Enhancing the erosion–corrosion resistance of cupronickel alloy through grain boundary engineering. Corros. Sci. 2023, 219, 111228. [Google Scholar] [CrossRef]
- Jiang, L.; Yang, Y.; Fu, J.; Teng, W.; Wang, H. Erosive wear analysis of bamboo fiber-reinforced high-density polyethylene composites: Effect of aluminum oxide. Polym. Compos. 2022, 43, 3823–3830. [Google Scholar] [CrossRef]
- Zhou, Y.; Lu, Z.; Zhan, M. An investigation of the erosion–corrosion characteristics of ductile cast iron. Mater. Design 2007, 28, 260–265. [Google Scholar] [CrossRef]
- Zhou, R.; Cao, Y.; Shi, W.; Yang, Y.; Cheng, S.; Wang, Z. Experimental study on surface erosion of Grade-A marine steel with different curvatures by ultra-high pressure water jet. J. Mater. Res. Technol. 2024, 31, 3025–3034. [Google Scholar] [CrossRef]
- Okonkwo, P.C.; Shakoor, R.A.; Ahmed, E.; Mohamed, A.M.A. Erosive wear performance of API X42 pipeline steel. Eng. Fail. Anal. 2016, 60, 86–95. [Google Scholar] [CrossRef]
- Tandel, R.R.; Patel, R.N.; Jain, S.V. Correlation development of erosive wear and silt erosion failure mechanisms for pump as turbine. Eng. Fail. Anal. 2023, 153, 107610. [Google Scholar] [CrossRef]
- Kang, C.; Li, M.; Teng, S.; Liu, H.; Chen, Z.; Li, C. Erosive Wear Caused by Large Solid Particles Carried by a Flowing Liquid: A Comprehensive Review. Processes 2024, 12, 1150. [Google Scholar] [CrossRef]
- Zeng, L.; Zhang, G.A.; Guo, X.P. Erosion–corrosion at different locations of X65 carbon steel elbow. Corros. Sci. 2014, 85, 318–330. [Google Scholar] [CrossRef]
- Islam, M.A.; Farhat, Z. Erosion-corrosion mechanism and comparison of erosion-corrosion performance of API steels. Wear 2017, 376–377, 533–541. [Google Scholar] [CrossRef]
- Chung, R.J.; Jiang, J.; Pang, C.; Yu, B.; Eadie, R.; Li, D.Y. Erosion-corrosion behaviour of steels used in slurry pipelines. Wear 2021, 477, 203771. [Google Scholar] [CrossRef]
- Wood, R.J.K. Erosion–corrosion interactions and their effect on marine and offshore materials. Wear 2006, 261, 1012–1023. [Google Scholar] [CrossRef]
- Lu, B.T.; Lu, J.F.; Luo, J.L. Erosion–corrosion of carbon steel in simulated tailing slurries. Corros. Sci. 2011, 53, 1000–1008. [Google Scholar] [CrossRef]
- Zheng, Z.B.; Zheng, Y.G.; Zhou, X.; He, S.Y.; Sun, W.H.; Wang, J.Q. Determination of the critical flow velocities for erosion–corrosion of passive materials under impingement by NaCl solution containing sand. Corros. Sci. 2014, 88, 187–196. [Google Scholar] [CrossRef]
- Wang, K.; Liu, H.; Wang, L.; Guo, P.; Wang, Y.; Yang, J. Effect of particle size on vortex structure and erosion behavior of semi-open centrifugal pump. Energy 2024, 293, 130576. [Google Scholar] [CrossRef]
- Qiu, J.; Tian, M.; Zhu, D.; Xiao, C.; Wen, B.; Bin, F.; Chen, H.; Wang, D. Numerical Study of Resistance Loss and Erosive Wear during Pipe Transport of Paste Slurry. Sustainability 2023, 15, 11890. [Google Scholar] [CrossRef]
- Liu, J.; Zhu, Y.; Liang, Q.; Xiao, Y.; Liu, Z.; Li, H.; Ye, J.; Yang, N.; Deng, H.; Du, Q. Analysis of sediment erosion in pelton nozzles and needles affected by particle size. Energies 2024, 17, 1635. [Google Scholar] [CrossRef]
- Aponte, R.D.; Teran, L.A.; Ladino, J.A.; Larrahondo, F.; Coronado, J.J.; Rodríguez, S.A. Computational study of the particle size effect on a jet erosion wear device. Wear 2017, 374–375, 97–103. [Google Scholar] [CrossRef]
- Nguyen, V.B.; Nguyen, Q.B.; Zhang, Y.W.; Lim, C.Y.H.; Khoo, B.C. Effect of particle size on erosion characteristics. Wear 2016, 348–349, 126–137. [Google Scholar] [CrossRef]
- Ning, S.M.; Yu, Q.M.; Liu, T.J.; Zhang, K.; Zhang, H.L.; Wang, Y.; Li, Z.H. Influence of particle shape on erosion behavior of EB-PVD thermal barrier coatings. Ceram. Int. 2022, 48, 8627–8640. [Google Scholar] [CrossRef]
- Liu, Z.G.; Wan, S.; Nguyen, V.B.; Zhang, Y.W. A numerical study on the effect of particle shape on the erosion of ductile materials. Wear 2014, 313, 135–142. [Google Scholar] [CrossRef]
- Di, J.; Wang, S.s.; Xie, Y.h. Investigation on the erosion characteristics of martensitic blade steel material 1Cr12W1MoV by micro-particle swarm with high velocity. Powder Technol. 2019, 345, 111–128. [Google Scholar] [CrossRef]
- Lindgren, M.; Perolainen, J. Slurry pot investigation of the influence of erodent characteristics on the erosion resistance of austenitic and duplex stainless steel grades. Wear 2014, 319, 38–48. [Google Scholar] [CrossRef]
- Leguizamón, S.; Jahanbakhsh, E.; Alimirzazadeh, S.; Maertens, A.; Avellan, F. FVPM numerical simulation of the effect of particle shape and elasticity on impact erosion. Wear 2019, 430–431, 108–119. [Google Scholar] [CrossRef]
- Li, Q.; Liu, M.; Gao, K.; Guan, Z.; Xu, Y.; Fan, C. Research on the erosion resistance characteristics of liquid-solid two-phase flow in high-pressure manifolds. Geoenergy Sci. Eng. 2024, 241, 213188. [Google Scholar] [CrossRef]
- Zhu, L.; Luo, J.; Huang, C.; Zhou, L.; Li, L.; Li, Y.; Wang, Z. Erosion resistance of casing with resin and metallic coatings in liquid–solid two-phase flow. Processes 2024, 12, 790. [Google Scholar] [CrossRef]
- Wang, Y.; Li, X.; Wang, T.; Zhang, J.; Li, L.; Zhang, Y. Experimental analysis and model prediction of elbow pipe’s erosion in water-cooled radiator. Sci. Rep. 2024, 14, 6880. [Google Scholar] [CrossRef] [PubMed]
- Rahman, S.; Khan, R.; Niazi, U.M.; Legutko, S.; Khan, M.A.; Ahmed, B.A.; Petrů, J.; Hajnyš, J.; Irfan, M. Performance Prediction of Erosive Wear of Steel for Two-Phase Flow in an Inverse U-Bend. Materials 2022, 15, 5558. [Google Scholar] [CrossRef] [PubMed]
- Liu, E.B.; Huang, S.; Tian, D.C.; Shi, L.M.; Peng, S.B.; Zheng, H. Experimental and numerical simulation study on the erosion behavior of the elbow of gathering pipeline in shale gas field. Petrol. Sci. 2024, 21, 1257–1274. [Google Scholar] [CrossRef]
- Yang, S.Q.; Fan, J.C.; Liu, M.T.; Li, D.N.; Li, J.L.; Han, L.H.; Wang, J.J.; Yang, S.Y.; Dai, S.W.; Zhang, L.B. Research on the solid particle erosion wear of pipe steel for hydraulic fracturing based on experiments and numerical simulations. Petrol. Sci. 2024, 21, 2779–2792. [Google Scholar] [CrossRef]
- Chowdhury, M.A.; Hossain, N.; Shahin, M.; Debnath, U.K.; Rahman, M.; Rahman, M.M. Erosion characteristics of stainless steels under different percentage of SiC- Al2O3-Fe2O3 solid particles. Tribol. Int. 2022, 167, 107403. [Google Scholar] [CrossRef]
- Desale, G.R.; Gandhi, B.K.; Jain, S.C. Effect of erodent properties on erosion wear of ductile type materials. Wear 2006, 261, 914–921. [Google Scholar] [CrossRef]
- Ben-Mansour, R.; Badr, H.M.; Araoye, A.A.; Toor, I.U.H. Computational analysis of water-submerged jet erosion. Energies 2021, 14, 3074. [Google Scholar] [CrossRef]
- Chowdhury, M.A.; Debnath, U.K.; Nuruzzaman, D.M.; Islam, M.M. Study of erosive surface characterization of copper alloys under different test conditions. Surf. Interfaces 2017, 9, 245–259. [Google Scholar] [CrossRef]
- Amaro, A.M.; Loureiro, A.J.R.; Neto, M.A.; Reis, P.N.B. Residual impact strength of glass/epoxy composite laminates after solid particle erosion. Compos. Struct. 2020, 238, 112026. [Google Scholar] [CrossRef]
- Miao, S.S.; Sun, S.C.; Wang, L.; Zhang, P. Effect of Bionic Units Fabricated by WC-NiCrBSiFe Laser Cladding on High-Temperature Erosion Wear Resistance of 304 Stainless Steel. Strength Mater. 2024, 56, 144–154. [Google Scholar] [CrossRef]
- Li, X.; Ding, H.; Huang, Z.; Fang, M.; Liu, B.; Liu, Y.g.; Wu, X.; Chen, S. Solid particle erosion-wear behavior of SiC–Si3N4composite ceramic at elevated temperature. Ceram. Int. 2014, 40, 16201–16207. [Google Scholar] [CrossRef]
- Wu, W.; Wei, B.; Li, G.; Chen, L.; Wang, J.; Ma, J. Study on ammonia gas high temperature corrosion coupled erosion wear characteristics of circulating fluidized bed boiler. Eng. Fail. Anal. 2022, 132, 105896. [Google Scholar] [CrossRef]
- Hattori, S.; Ishikura, R. Revision of cavitation erosion database and analysis of stainless steel data. Wear 2010, 268, 109–116. [Google Scholar] [CrossRef]
- Chang, L.C.; Hsui, I.C.; Chen, L.H.; Lui, T.S. A study on particle erosion behavior of ductile irons. Scr. Mater. 2005, 52, 609–613. [Google Scholar] [CrossRef]
- Mondal, J.; Das, K.; Das, S. The effect of microstructure and mechanical properties on the slurry erosion behavior of carbide-free bainitic and martensitic steel. Wear 2022, 504–505, 204422. [Google Scholar] [CrossRef]
- Gou, J.; Wang, Y.; Wang, C.; Chu, R.; Liu, S. Effect of rare earth oxide nano-additives on micro-mechanical properties and erosion behavior of Fe-Cr-C-B hardfacing alloys. J. Alloys Compd. 2017, 691, 800–810. [Google Scholar] [CrossRef]
- Mehrabadi, H.B.; Korojy, B. The effect of yttrium on the microstructure and wear and mechanical properties of Al-20%Sn. Mater. Lett. 2024, 362, 136247. [Google Scholar] [CrossRef]
- Wang, Y.; Sun, C.; Sun, J.; Zhao, W.; Dong, L.; Li, L.; Meng, F. Erosion behavior of arc sprayed FeTi/CrB MMC coating at elevated temperature. Surf. Coat. Technol. 2015, 262, 141–147. [Google Scholar] [CrossRef]
- Singh, P.K.; Mishra, S.B. Erosion wear characteristics of HVOF Sprayed WC-Co-Cr and CoNiCrAlY coatings on IS-2062 structural steel. Mater. Res. Express 2018, 5, 095508. [Google Scholar] [CrossRef]
- Kaushal, S.; Singh, S. Slurry erosion behavior of plasma sprayed coating on turbine steel. Ind. Lubr. Tribol. 2019, 71, 1–9. [Google Scholar] [CrossRef]
- Ma, A.; Liu, D.; Zhang, X.; Liu, D.; He, G.; Yin, X. Solid particle erosion behavior and failure mechanism of TiZrN coatings for Ti-6Al-4V alloy. Surf. Coat. Technol. 2021, 426, 127701. [Google Scholar] [CrossRef]
- Sharma, R.K.; Das, R.K.; Kumar, S.R. Effect of chromium content on microstructure, mechanical and erosion properties of Fe-Cr-Ti-Mo-C-Si coating. Surf. Interfaces 2021, 22, 100820. [Google Scholar] [CrossRef]
- Huang, F.; Kang, J.J.; Yue, W.; Liu, X.B.; Fu, Z.Q.; Zhu, L.N.; She, D.S.; Ma, G.Z.; Wang, H.D.; Liang, J.; et al. Effect of heat treatment on erosion–corrosion of Fe-based amorphous alloy coating under slurry impingement. J. Alloys Compd. 2020, 820, 153132. [Google Scholar] [CrossRef]
- Yang, J.; Sun, Y.; Su, M.; Yin, X.; Li, H.; Zhang, J. Corrosion and erosion wear behaviors of HVOF-Sprayed Fe-Based amorphous coatings on dissolvable Mg-RE alloy substrates. Materials 2023, 16, 5170. [Google Scholar] [CrossRef]
- Begum, Y.; Doddamani, S. Investigation on the Hardness of Al6061 Alloys: Implications of Seawater Corrosion. JOM 2024, 76, 3734–3742. [Google Scholar] [CrossRef]
- Chekalil, I.; Chadli, R.; Miloudi, A.; Ghazi, A.; Planche, M.-P.; Mekid, S.; Raza, M.S. Effect of corrosion environments on the mechanical properties of friction stir welded aluminum alloy AA3003. J. Mater. Res. Technol. 2024, 33, 2353–2364. [Google Scholar] [CrossRef]
- Patil, A.R.; Vagge, S.T. The Effect of Hot Corrosion and Electrochemical Corrosion on Microhardness of the Coating. High. Temp. Corr. Mater. 2024, 101, 471–483. [Google Scholar] [CrossRef]
- Zhou, Z.; Du, J.; Tian, C.; Peng, X.; Wu, Y.; Lv, X.; Zhang, Y.; Chen, Z. Local mechanical properties of corrosion layers formed on T91 and SS316L steels after exposure to static liquid LBE at 500 °C for 1000 h obtained by nano-indentation. Nucl. Eng. Technol. 2024, 56, 3067–3075. [Google Scholar] [CrossRef]
- Shojai, S.; Schönamsgruber, F.; Köhler, M.; Ghafoori, E. Impact of accelerated corrosion on weld geometry, hardness and residual stresses of offshore steel joints over time. Mater. Des. 2025, 251, 113578. [Google Scholar] [CrossRef]
- Owen, J.; Ramsey, C.; Barker, R.; Neville, A. Erosion-corrosion interactions of X65 carbon steel in aqueous CO2 environments. Wear 2018, 414–415, 376–389. [Google Scholar] [CrossRef]
- Liu, Z.; Gao, X.; Du, L.; Li, J.; Kuang, Y.; Wu, B. Corrosion behavior of low-alloy steel with martensite/ferrite microstructure at vapor-saturated CO2 and CO2-saturated brine conditions. Appl. Surf. Sci. 2015, 351, 610–623. [Google Scholar] [CrossRef]
- Niu, R.; Li, H.; Liu, P.Y.; Burr, P.; Feng, Y.; Yen, H.W.; Huang, C.; Sun, Y.H.; Ma, M.; Guo, A.; et al. Hydrogen-enhanced deformation in pearlite. Acta Mater. 2024, 281, 120327. [Google Scholar] [CrossRef]
- Li, S.; Chen, Z.; Tan, L.; Bobaru, F. Corrosion-induced embrittlement in ZK60A Mg alloy. Mater. Sci. Eng. A 2018, 713, 7–17. [Google Scholar] [CrossRef]
- Ji, X.; Ji, C.; Cheng, J.; Shan, Y.; Tian, S. Erosive wear resistance evaluation with the hardness after strain-hardening and its application for a high-entropy alloy. Wear 2018, 398–399, 178–182. [Google Scholar] [CrossRef]
- El-Rahman, A.M.A.; Wei, R. A comparative study of conventional magnetron sputter deposited and plasma enhanced magnetron sputter deposited Ti–Si–C–N nanocomposite coatings. Surf. Coat. Technol. 2014, 241, 74–79. [Google Scholar] [CrossRef]
- Singh, J.; Nath, S.K. Microstructural characterization and investigation of slurry erosion performance of cyclically heat treated martensite steel. Eng. Fail. Anal. 2022, 131, 105833. [Google Scholar] [CrossRef]
- Mann, B.S. High-Power diode laser-treated 13Cr4Ni stainless steel for hydro turbines. J. Mater. Eng. Perform. 2014, 23, 1964–1972. [Google Scholar] [CrossRef]
- Wan, W.; Xiong, J.; Liang, M. Effects of secondary carbides on the microstructure, mechanical properties and erosive wear of Ti(C,N)-based cermets. Ceram. Int. 2017, 43, 944–952. [Google Scholar] [CrossRef]
- Desale, G.R.; Gandhi, B.K.; Jain, S.C. Slurry erosion of ductile materials under normal impact condition. Wear 2008, 264, 322–330. [Google Scholar] [CrossRef]
- Balan, K.P.; Reddy, A.V.; Joshi, V.; Sundararajan, G. The influence of microstructure on the erosion behaviour of cast irons. Wear 1991, 145, 283–296. [Google Scholar] [CrossRef]
- Shimizu, K.; Xinba, Y.; Araya, S. Solid particle erosion and mechanical properties of stainless steels at elevated temperature. Wear 2011, 271, 1357–1364. [Google Scholar] [CrossRef]
- Chang, L.C.; Hsui, I.C.; Chen, L.H.; Lui, T.S. Effects of heat treatment on the erosion behavior of austempered ductile irons. Wear 2006, 260, 783–793. [Google Scholar] [CrossRef]
- Zambrano, O.A. A review on the effect of impact toughness and fracture toughness on impact-abrasion wear. J. Mater. Eng. Perform. 2021, 30, 7101–7116. [Google Scholar] [CrossRef]
- Zheng, Z.; Chen, S.; Long, J.; Zheng, K.; Wang, H.; Li, H. Effect of chromium content on the erosion-corrosion behavior of Fe-Cr alloy produced by ball milling liner in weakly alkaline slurry. Mater. Res. Express 2020, 7, 036510. [Google Scholar] [CrossRef]
- Zhang, F.; Tabecki, A.; Bennett, M.; Begg, H.; Lionetti, S.; Paul, S. Feasibility study of high-velocity Oxy-fuel (HVOF) sprayed cermet and alloy coatings for geothermal applications. J. Therm. Spray Technol. 2023, 32, 339–351. [Google Scholar] [CrossRef]
- Swain, B.; Mantry, S.; Mohapatra, S.S.; Mishra, S.C.; Behera, A. Investigation of tribological behavior of plasma sprayed NiTi coating for aerospace application. J. Therm. Spray Technol. 2022, 31, 2342–2369. [Google Scholar] [CrossRef]
- Wang, C.; Liu, M.; Wang, H.; Jin, G.; Ma, G.; Zhang, J.; Chen, S. Tribological properties and solid particle erosion wear behavior of Al2O3-13 wt%TiO2/Al2O3-PF composite coatings prepared on resin matrix by supersonic plasma spraying. Ceram. Int. 2024, 50, 29987–29996. [Google Scholar] [CrossRef]
- Murthy, K.N.; Sampathkumaran, P.; Seetharamu, S. Abrasion and erosion behaviour of manganese alloyed permanent moulded austempered ductile iron. Wear 2009, 267, 1393–1398. [Google Scholar] [CrossRef]
- Shimizu, K.; Kusumoto, K.; Yaer, X.; Zhang, Y.; Shirai, M. Effect of Mo content on erosive wear characteristics of high chromium cast iron at 1173 K. Wear 2017, 376–377, 542–548. [Google Scholar] [CrossRef]
- Finnie, I.; McFadden, D.H. On the velocity dependence of the erosion of ductile metals by solid particles at low angles of incidence. Wear 1978, 48, 181–190. [Google Scholar] [CrossRef]
- Zhang, Y.; Reuterfors, E.P.; McLaury, B.S.; Shirazi, S.A.; Rybicki, E.F. Comparison of computed and measured particle velocities and erosion in water and air flows. Wear 2007, 263, 330–338. [Google Scholar] [CrossRef]
- Arabnejad, H.; Mansouri, A.; Shirazi, S.A.; McLaury, B.S. Development of mechanistic erosion equation for solid particles. Wear 2015, 332–333, 1044–1050. [Google Scholar] [CrossRef]
- Mansouri, A.; Arabnejad, H.; Shirazi, S.A.; McLaury, B.S. A combined CFD/experimental methodology for erosion prediction. Wear 2015, 332–333, 1090–1097. [Google Scholar] [CrossRef]
- Mansouri, A.; Arabnejad, H.; Karimi, S.; Shirazi, S.A.; McLaury, B.S. Improved CFD modeling and validation of erosion damage due to fine sand particles. Wear 2015, 338–339, 339–350. [Google Scholar] [CrossRef]
- Veritas, D.N. Recommended Practice RP O501 erosive wear in piping systems. DNV Recomm. Pract. 2007, 4, 1–43. [Google Scholar]
- Huang, C.; Chiovelli, S.; Minev, P.; Luo, J.; Nandakumar, K. A comprehensive phenomenological model for erosion of materials in jet flow. Powder Technol. 2008, 187, 273–279. [Google Scholar] [CrossRef]
- Neilson, J.H.; Gilchrist, A. Erosion by a stream of solid particles. Wear 1968, 11, 111–122. [Google Scholar] [CrossRef]
- Gnanavelu, A.; Kapur, N.; Neville, A.; Flores, J.F.; Ghorbani, N. A numerical investigation of a geometry independent integrated method to predict erosion rates in slurry erosion. Wear 2011, 271, 712–719. [Google Scholar] [CrossRef]












| Matrix Structure | Ferrite | Martensite | Upper Bainite | Lower Bainite |
|---|---|---|---|---|
| Ductility, % | 23.8 | 0 | 10.4 | 2.2 |
| Ultimate strength, MPa | 420.3 | 254.0 | 960.3 | 1456.3 |
| 0.2% Yielding strength, MPa | 312.5 | – | 671.8 | 1125.0 |
| Hardness, Hv | 112 | 687 | 298 | 420 |
| Material | C | Si | Mn | Cr | P | S |
|---|---|---|---|---|---|---|
| Dual-phase steel | 0.15 | 0.15 | 1.5 | 0.35 | 0.015 | 0.002 |
| Elements | C | Mn | Si | Ni | Cr | Mo | S | P | Ti | Fe |
|---|---|---|---|---|---|---|---|---|---|---|
| (wt%) | 0.23 | 1.68 | 1.40 | 0.26 | 0.47 | 0.37 | 0.02 | 0.03 | 0.01 | Balance |
Disclaimer/Publisher’s Note: The statements, opinions and data contained in all publications are solely those of the individual author(s) and contributor(s) and not of MDPI and/or the editor(s). MDPI and/or the editor(s) disclaim responsibility for any injury to people or property resulting from any ideas, methods, instructions or products referred to in the content. |
© 2025 by the authors. Licensee MDPI, Basel, Switzerland. This article is an open access article distributed under the terms and conditions of the Creative Commons Attribution (CC BY) license (https://creativecommons.org/licenses/by/4.0/).
Share and Cite
An, W.; Yang, S.; Wen, Z.; Pan, H.; Hu, H.; Zheng, Y. A Review: Factors Controlling Erosion Resistance in Metals Prioritizing the Influence of Material Mechanics and the Related Erosion Models. Metals 2025, 15, 1177. https://doi.org/10.3390/met15111177
An W, Yang S, Wen Z, Pan H, Hu H, Zheng Y. A Review: Factors Controlling Erosion Resistance in Metals Prioritizing the Influence of Material Mechanics and the Related Erosion Models. Metals. 2025; 15(11):1177. https://doi.org/10.3390/met15111177
Chicago/Turabian StyleAn, Wentao, Shuo Yang, Zitong Wen, Haodan Pan, Hongxiang Hu, and Yugui Zheng. 2025. "A Review: Factors Controlling Erosion Resistance in Metals Prioritizing the Influence of Material Mechanics and the Related Erosion Models" Metals 15, no. 11: 1177. https://doi.org/10.3390/met15111177
APA StyleAn, W., Yang, S., Wen, Z., Pan, H., Hu, H., & Zheng, Y. (2025). A Review: Factors Controlling Erosion Resistance in Metals Prioritizing the Influence of Material Mechanics and the Related Erosion Models. Metals, 15(11), 1177. https://doi.org/10.3390/met15111177

