Next Article in Journal
Influence of LPBF Parameters and Post-Annealing Temperature on Martensitic Transformation and Superelasticity of Ni-Rich Ni51.9Ti48.1 Alloy
Previous Article in Journal
A Review: Factors Controlling Erosion Resistance in Metals Prioritizing the Influence of Material Mechanics and the Related Erosion Models
 
 
Font Type:
Arial Georgia Verdana
Font Size:
Aa Aa Aa
Line Spacing:
Column Width:
Background:
Article

Shot Blasting for Enhancing Wear Resistance and Impact Resistance of SCMnH11 High-Manganese Steel

1
China Road and Bridge, Beijing 100011, China
2
College of Mechanical Engineering, Tianjin University of Science and Technology, Tianjin 300457, China
3
Tianjin Key Lab of Integrated Design and On-Line Monitoring for Light Industry & Food Machinery and Equipment, Tianjin 300457, China
4
Tianjin International Joint Research and Development Center of Low-Carbon Green Process Equipment, Tianjin 300457, China
5
School of Materials and Energy, Foshan University, Foshan 528225, China
*
Author to whom correspondence should be addressed.
Metals 2025, 15(11), 1179; https://doi.org/10.3390/met15111179
Submission received: 10 September 2025 / Revised: 22 October 2025 / Accepted: 23 October 2025 / Published: 24 October 2025
(This article belongs to the Section Metal Failure Analysis)

Abstract

In this study, shot blasting was employed to enhance the wear resistance and impact toughness of SCMnH11 high-manganese steel. The steel was first fabricated via vacuum casting, followed by forging and water-toughening treatment. Subsequently, the steel was cut to the required dimensions using wire electrical discharge machining before the final shot blasting was performed. The influence of shot blasting duration on the microstructure and mechanical properties was investigated. Shot blasting introduced compressive residual stress and dislocations, resulting in the formation of numerous low-angle grain boundaries. As the shot blasting time increased, the surface grains were progressively refined. The surface hardness increased rapidly from an initial value of approximately 250 HV, reaching a maximum of 643 HV. After 60 min of shot blasting, the thickness of the surface hardened layer reached 600 µm; however, the surface hardness exhibited a trend of first increasing and then decreasing. In contrast, the wear resistance showed the opposite trend. Additionally, the dominant surface wear mechanism transitioned from adhesive wear in the heat-treated sample to abrasive wear in the shot-blasted samples. Compared to the heat-treated sample, the impact toughness of the samples subjected to 5 min and 60 min shot blasting was significantly enhanced. Correspondingly, the fracture mechanism shifted from predominantly ductile fracture to a mixed mode of ductile and cleavage fracture. In summary, shot blasting can effectively enhance the wear resistance and impact resistance of SCMnH11 steel. However, the selection of shot blasting duration is critical. Appropriate parameters can balance work hardening, compressive stress, and surface microcracks, thereby enabling the material to achieve an optimal combination of wear resistance and impact resistance.

1. Introduction

High-manganese steel is renowned for its excellent work-hardening ability and wear resistance. Since its invention by Robert Hadfield in 1882, it has been widely used in engineering applications under severe working conditions, such as excavator bucket teeth and crusher blow bars/liners [1,2,3,4]. However, under low-stress (or non-high-impact) conditions, its surface does not undergo rapid work hardening, which prevents it from achieving its full wear-resistance potential and thus leads to severe early-stage wear [5,6,7]. Therefore, high-manganese steel is generally not used under low-stress conditions; instead, medium-carbon alloy steel and high-chromium cast iron are adopted [8]. Nowadays, the application of high-manganese steel in engineering fields is greatly limited due to the common strength-ductility trade-off. Achieving a synergistic improvement in its hardness, toughness, and wear resistance remains a key challenge for material researchers. Micro-alloying [9,10], heterogeneous structure design [11,12], and surface modification [13,14] are the three most prevalent technical approaches in this field. Among these, surface modification technology stands out for its unique advantages, including low energy consumption, minimal material loss, high efficiency, and excellent local controllability, attributes that are less prominent in micro-alloying and heterogeneous structure design.
Laser surface reconstruction [15,16] (including laser surface remelting and laser cladding), thermochemical diffusion treatments [17], and mechanical surface work hardening [18,19,20,21] (including ultrasonic rolling and shot peening) are the mainstream surface modification techniques for high-manganese steel. Among these, shot peening offers advantages such as low cost, high efficiency, simple operation, environmental friendliness, and strong process flexibility. Shot blasting and shot peening operate on the same fundamental principle and are therefore both commonly used for surface work hardening of metallic materials. Compared to shot peening, shot blasting offers additional benefits, including higher production efficiency and lower operating costs, making it more suitable for the industrial-scale processing of large, regularly shaped components such as impact crusher hammers and liner plates. Moreover, despite these advantages and its fundamental similarity to shot peening, few studies have been reported on the application of shot blasting for surface work hardening of high-manganese steel.
This work investigates the work-hardening effect of shot blasting on high-manganese steel. A comprehensive analysis of the resulting microstructure and mechanical properties was conducted, and the underlying work-hardening mechanisms are discussed. The findings demonstrate the significant potential of shot blasting for enhancing the key mechanical properties (e.g., wear resistance and impact toughness), which can improve the durability and service life of high-manganese steel wear-resistance components.

2. Materials and Methods

2.1. Materials and Heat Treatment

The designed and actual chemical compositions of the experimental high-manganese steel are presented in Table 1. Based on the measured elemental concentrations, this steel is classified as SCMnH11 high-manganese cast steel according to the Japanese JIS standard. A 50 kg ingot with the nominal chemical composition was melted in a vacuum induction furnace. After removing the surface oxide scale and inclusions, the ingot was hot-forged and air-cooled to room temperature. The resulting block, with final dimensions of 200 mm × 200 mm × 100 mm, underwent a solution treatment (water-toughening) as follows: heating to 1080 °C, holding for 2 h, and then water quenching to room temperature. Finally, the solution-treated block was sectioned by wire electrical discharge machining into 100 mm × 100 mm × 10 mm plates for subsequent shot blasting and testing. Existing research indicates that this solution treatment process imparts excellent mechanical properties to high-manganese steel [22].

2.2. Shot Blasting

The specific procedures were as follows. First, hot-forged high-manganese steel samples (100 mm × 100 mm × 10 mm) were suspended in the blast chamber of a hook-type shot blasting machine (model SSPEP 120651-1, Internor, Tianjin, China). Upon initiation, the samples rotated slowly around the hook to ensure uniform shot impact. Stainless steel shots with a diameter of 0.4 mm were projected onto the sample surfaces from multiple angles. The distance from the shot blaster outlet to the sample surfaces was maintained at approximately 400–500 mm. As the workpieces rotated along their axes, both their upper and lower surfaces were effectively impacted by shots. To investigate the effect of shot blasting duration on mechanical properties, shot blasting was conducted for 5, 10, 15, 40, and 60 min. After treatment, no deformation was detected on either surface of the specimens via visual inspection and dimensional measurement. The surface roughness of the shot-blasted sample was determined to be Ra12.5. The samples were labeled as Tx, where x denotes the shot blasting duration in minutes.

2.3. Characterization

Samples for microstructural characterization (including SEM and EBSD) were prepared as follows. First, they were mounted in thermosetting resin to secure them and protect the edges. The surfaces were then sequentially ground using 400-, 800-, 1200-, and 2000-grit sandpaper and subsequently polished with 0.5–1 μm diamond paste until a scratch-free surface was achieved and the shot-blasted layer was clearly distinguishable from the substrate. The removal thickness for all the samples was set to 30 μm, ensuring that all observed data were obtained at the same depth. Finally, the surface was chemically etched in a 4% nital solution for 5–10 s to reveal the microstructural features. The microstructure characterization was performed using a Gemini 300 (Zeiss, Oberkochen, Germany) field emission scanning electron microscope (FESEM) equipped with an electron backscattered diffraction (EBSD) system (EDAX Symmetry, Oxford Instruments, High Wycombe, UK), operating at 20 kV. Additional SEM observations were conducted on a Hitachi SU8600 (Hitachi, Tokyo, Japan) FESEM at an accelerating voltage of 5 kV. Phase identification was carried out using an X-ray diffractometer (D8 Advance, Bruker, Karlsruhe, Germany) with a Cu Kα radiation source (λ = 0.15406 nm). Diffraction patterns were collected over a 2θ range of 40° to 100° with a scanning rate of 2.5°/min.
For hardness testing, the samples were first mechanically refined with 800 to 1200-grit sandpaper. This step was carefully controlled to remove only the protruding peaks from shot impacts, thereby preserving the majority of the deformation layer and ensuring that hardness measurements accurately reflected the properties of the hardened layer. The surface was then polished with 1–3 μm diamond paste on a velvet cloth until no visible scratches remained. To measure the hardness profile along the depth of the shot-blasted layer, the shot-blasted surface was further ground sequentially with 400–1200 grit sandpapers. Subsequently, it was polished on a velvet cloth using a 0.5–1 μm diamond paste until no grinding marks remained. The microhardness profile along the depth direction was measured using a microscopic Vickers hardness tester under a load of 1000 gf (≈10 N) and a holding time of 15 s. At each depth, the reported hardness values were the average of five independent measurements. Instrumented impact tests were conducted using a pendulum-type impact testing machine (model SANS-ZBC2452-C, MTS, Shenzhen, China) equipped with a force-time recording system. Standard Charpy V-notch (CVN) impact specimens with dimensions of 55 mm × 10 mm × 10 mm were used. Three tests were conducted for each condition to ensure statistical reliability. The resulting fracture surfaces were examined in detail using the previously mentioned Hitachi SU8600 FESEM. With the above characterizations, the surface roughness of the samples reached Ra0.1.
Reciprocating wear tests were performed in accordance with ASTM G133-22 (Standard Test Method for linearly reciprocating ball-on-flat sliding wear) using a tribometer (UMT-TriboLab, Bruker, Billerica, MA, USA) [23]. To simulate the real-world service conditions of high-manganese steel components like crusher hammers and liner plates, the 10 mm × 10 mm × 10 mm specimens underwent only ultrasonic cleaning in absolute ethanol and deionized water (10 min each) without any coarse grinding or fine polishing, followed by natural air-drying. A silicon nitride (Si3N4) ball with a diameter of 6 mm and a hardness of 1700 HV served as the counter ball. The normal load and friction sensors of the tribometer were calibrated according to the manufacturer’s specifications to ensure data accuracy. During specimen installation, the equipment’s micro-adjustment device was used to align the contact point between the ball and the specimen with the center line of the reciprocating motion. Furthermore, the contact was ensured to be perpendicular to avoid generating additional torque. The tests were conducted under dry conditions at room temperature with the following parameters: a constant load of 60 N, a stroke length of 5 mm, a frequency of 5 Hz, and a total duration of 30 min. After testing, the wear volume was quantified by measuring the 3D topography of the wear scars using a laser scanning confocal microscope. Before the wear tests, the surfaces of both the heat-treated and shot-blasted samples underwent simple grinding or machining. This ensures their surface roughness is maintained at approximately Ra 6.3, thereby eliminating the influence of surface roughness on the evaluation of the samples’ wear resistance.

3. Results and Discussion

Figure 1 shows the XRD patterns of the heat-treated (T0) and shot-blasted samples. Six distinct diffraction peaks were observed at 2θ values of 43.7°, 50.8°, 61.5°, 74.9°, 90.2°, and 96.3°. Apart from a systematic shift, the positions of these peaks remained largely unchanged across the different samples. By comparing these patterns with the standard diffraction data (JCPDS No. 31-0619), five of the peaks were indexed to different crystal planes of austenite, as labeled in Figure 1a. However, the phase corresponding to the diffraction peak at 61.5° could not be identified. It is speculated that this phenomenon may be attributed to intermetallic compounds formed by elemental segregation during the ingot smelting process. As shown in Figure 1b, with increasing shot blasting time, all diffraction peaks of the shot-blasted samples shift significantly toward higher angles. This shift indicates a continuous increase in plastic deformation and the associated development of residual compressive stress [4,24]. Meanwhile, no new diffraction peaks were observed in the patterns of the shot-blasted samples compared to the heat-treated sample (T0), suggesting that no martensite, carbides, or other new phases formed during the process.
Figure 2 presents the variation in hardness with depth for the prepared samples under different shot blasting durations. The heat-treated sample (T0) exhibited a uniform near-surface hardness, ranging from 221 HV to 267 HV. Shot blasting significantly increased the surface hardness, which rose from 500 HV to 643 HV as the processing time increased from 5 to 40 min. This maximum value of 643 HV approaches the highest hardness achievable in high-manganese steel through surface impact hardening, as reported in the literature [4]. However, extending the shot blasting time to 60 min resulted in a slight decrease in surface hardness. For all shot-blasted samples, the hardness gradually decreased with increasing distance from the surface, eventually converging to the level of the heat-treated sample. The hardened layer thickness, defined as the depth where the hardness matches that of the heat-treated sample, was measured to be 120, 200, 170, 480, and 600 μm for the 5, 10, 15, 40, and 60 min samples, respectively. Notably, the hardness gradient became progressively milder with longer shot blasting times. In summary, the results confirm that shot blasting successfully introduced a work-hardened layer on the high-manganese steel surface, with the layer depth increasing with processing time. The formation of this hardened layer is crucial for enhancing the materials’ wear resistance.
Figure 3 presents the 3D overall morphology of the wear scars on all tested specimens. It can be clearly seen that the wear scar width of the heat-treated sample (T0) is significantly larger than that of the shot-blasted samples. This is because after shot blasting, the surface hardness of the samples increases rapidly, which makes plastic deformation of the material surface difficult and prevents the counterpart ball from easily indenting the material surface. However, quantitative parameters such as wear depth cannot be directly obtained from these raw morphological images. For a quantitative comparison, the 3D morphology data were leveled using the unworn region of each sample as a reference plane. A comparative analysis of the processed wear scars is provided in Figure 4.
Figure 4a illustrates the wear profiles of the tested samples. It can be observed that the heat-treated sample (T0) does not exhibit the greatest wear depth, but the width of its wear scar is significantly larger than that of the shot-blasted samples. This result is consistent with that in Figure 3. For the shot-blasted samples, the maximum depth decreased gradually with the extension of shot blasting time, reached the minimum value when the shot blasting time was 40 min, and then increased instead. The quantitative relationship between wear parameters and shot blasting duration is plotted in Figure 4b. The maximum wear scar depth and volume loss (i.e., mass loss) show an almost identical trend, except for the maximum wear scar depth of the heat-treated sample. Although the heat-treated sample does not have the maximum depth, it has the largest volume loss, which is due to its wider wear scar width. However, after shot blasting, the surface hardness of the material increases significantly, and the volume loss decreases gradually with the extension of shot blasting time. When the shot blasting time was 40 min, the volume loss reached the minimum and then increased instead. Therefore, the sample exhibits the optimal wear resistance when the shot blasting time is 40 min.
Figure 5 presents the evolution of the coefficient of friction (COF) for the test samples, which can be divided into three distinct stages. In the first stage, immediately after the test initiation, the COF of all samples increased rapidly with the number of cycles. In the second stage, the COF of the heat-treated sample (T0) increased rapidly to above 0.8 and fluctuated between 0.8 and 0.9. On the other hand, the COFs of the shot-blasted samples increased gradually, with all values remaining between 0.5 and 0.65. In the third stage, the COF of the T0 sample stabilized with slight fluctuations around 0.85. In contrast, the COF curves of the shot-blasted samples began to diverge: the T40 sample’s COF decreased and stabilized around 0.61, while the COFs of the other shot-blasted samples increased and exhibited larger fluctuations within the range of 0.65–0.75. Notably, after entering the stable stage, the COF of the heat-treated samples was significantly higher than that of the shot-blasted samples. This indicates that shot blasting has a significant impact on the surface state of the samples. This influence is attributed to the higher surface hardness of the shot-blasted samples, which suppresses excessive plastic deformation at the contact interface, and their lower surface roughness, which reduces frictional resistance.
Figure 6 presents the SEM images of the wear scars after friction testing. The worn surface of sample T0 (Figure 6a) is covered with light-colored irregular particles or patches. These features are likely wear products, such as debris from material detachment and transfer, or oxides formed by frictional heating. This morphology suggests that local adhesion and subsequent separation occurred during sliding. The presence of slight abrasive wear is also evident. Therefore, the primary wear mechanism for T0 is inferred to be adhesive wear, accompanied by minor abrasive and fatigue wear. In contrast, samples T5, T10, T15, and T60 exhibit regular rectangular (or nearly rectangular) wear marks. Their worn surfaces were relatively smooth, with only fine scratches and a small amount of wear debris, indicating that abrasive wear is the dominant mechanism with minimal adhesion. This shift from adhesive to abrasive wear as the dominant mechanism demonstrates how shot blasting modifies the wear behavior of high-manganese steel. The enhanced surface hardness from shot blasting makes plastic deformation of surface asperities more difficult, leading to a pronounced “plowing effect” during abrasion. This effect, combined with strong interatomic adhesion, accounts for the COF values observed in Figure 5. Sample T40 shows a different morphology, with a significant amount of secondary debris distributed across the worn surface. This debris likely consists of hard particles that detached under high friction-induced temperature. Consequently, the wear mechanism for sample T40 is a composite of adhesive and abrasive wear. Notably, achieving such low wear loss and a low COF represents a highly desirable wear-resistant state for high-manganese steel in practical applications.
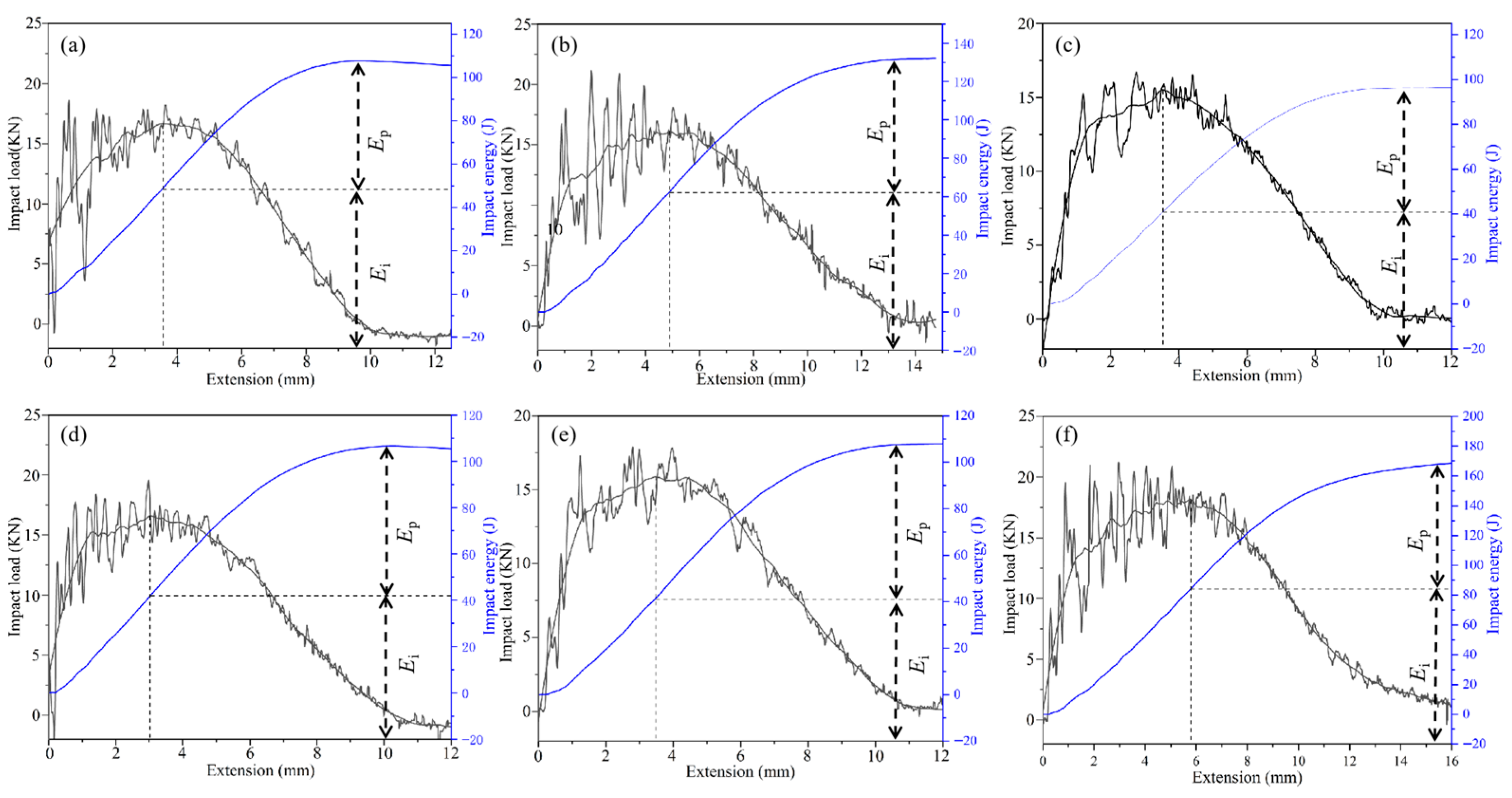
Figure 7 presents the instrumented impact force–displacement curves for all tested samples. For sample T0, the impact load increases rapidly in the initial elastic stage (displacement < 2 mm), while the energy growth rate remains slow―this slow energy accumulation indicates low elastic energy storage capacity of the sample. In the middle deformation stage (displacement: 2–6 mm), a prolonged load plateau is observed. This phenomenon is attributed to the multiplication and mutual interaction of dislocations within the austenite grains, which induces significant work hardening; the work-hardening effect counteracts the softening caused by plastic deformation, thereby maintaining the load at a relatively stable level. This stage exhibits the maximum slope of the energy-displacement curve, signifying rapid energy absorption. The high-manganese steel converts impact energy into energy dissipated through dislocation motion and grain deformation. In the final failure stage (displacement > 6 mm), the impact load drops steeply due to rapid macroscopic crack propagation. The high toughness leads to a tortuous crack path (a mix of transgranular and intergranular propagation). Once the accumulated damage reaches a critical threshold, the load-bearing capacity decreases sharply. Although the energy growth rate slows down in this stage, the total absorbed energy continues to increase with displacement―this trend reflects the “tortuous path energy consumption” mechanism during crack propagation, thereby demonstrating the excellent fracture toughness of the material. The crack initiation energy (Ei) and crack propagation energy (Ep) of Sample T0 were calculated to be 49 J and 59 J, respectively.
The impact curve of sample T5 exhibits larger load fluctuation and more pronounced high-frequency oscillations in the elastic stage. This behavior is likely attributable to the residual compressive stress and surface micro-damage induced by shot blasting, which lead to complex internal stress redistribution and local stress concentrations upon loading. In the plastic deformation stage, the load plateau is shorter and displays larger oscillations, resulting from the non-uniform surface hardening caused by shot blasting. This heterogeneity induces regional variations in deformation and hardening rates, thereby compromising the stability of the overall load-bearing capacity. From an energy perspective, both the crack initiation energy (Ei) and propagation energy (Ep) of sample T5 increase significantly to 62 J and 68 J, respectively, compared to the T0 reference sample. This indicates that a 5 min shot blasting enhances the material’s energy absorption capacity, impeding rapid crack propagation. This toughening effect is likely due to the synergistic influence of surface residual compressive stress and work hardening. However, as the shot blasting duration was extended to 10, 15, and 40 min, both Ei and Ep decreased, falling below the values of sample T0. With a further increase to 60 min, Ei and Ep recovered to 84 J and 85 J, respectively. This non-monotonic trend in crack initiation and propagation energy is attributed to the competing effects of residual compressive stress, work hardening, and surface damage. Moderate shot blasting (e.g., 5 min) introduces beneficial residual stress and hardening, whereas prolonged processing (10–40 min) can introduce microcracks and induce stress relaxation, thereby degrading crack resistance. With an even longer duration, the deepening of the compressive stress layer may again become the dominant factor, leading to a recovery in toughness.
Figure 8 presents SEM images of the impact fracture surfaces. As shown in Figure 8a,b, the fracture surface of the T0 sample is characterized by numerous tear ridges and river patterns. Clusters of equiaxed dimples, with thin, continuous walls, are densely distributed in localized areas, indicating typical ductile fracture in these micro-regions. No obvious inclusions are observed within the dimples. Overall, the fracture mechanism is characterized as a mixed mode of ductile and quasi-cleavage fracture. Figure 8c,d display the fracture surface of sample T5, where surface indentations from shot blasting are visible. Although the shot-blasted plastic deformation layer increases the apparent roughness of the fracture surface, the fundamental fracture mechanism remains largely unaltered, as evidenced by the persistence of tear ridges and microvoid coalescence. Specifically, the localized dimple clusters retain a well-defined morphology comparable in size and distribution to those in T0 (Figure 8d), with only subtle shot blasting imprints inside them. This confirms that the microvoid-coalescence-dominated ductile fracture mechanism was not substantially changed. The inherent toughness of the austenitic matrix, imparted by the water-toughening treatment, therefore remains the dominant governing fracture behavior despite the surface modification.
As the shot blasting time increased, the associated deformation features on the fracture surface became progressively more pronounced. After 15 min of processing (Figure 8g), localized regions exhibited a tendency for microcracking, attributable to mechanical overloading from the shot blasting. This was accompanied by a distinct distortion of dimple clusters, characterized by the thinned walls and the partial collapse of dimples into irregular, fragmented shapes. When the shot blasting duration was extended to 60 min (T60 sample), the fracture surface was predominantly characterized by distinct brittle fracture features. It exhibited numerous irregular tear ridges and minor crack propagation paths, alongside localized traces of ductile tearing (Figure 8k). Although some dimple-like structures persisted, they were highly heterogeneous in both size and shape. Widespread collapse and distortion of dimples were observed, with some regions being nearly devoid of these characteristic ductile features (Figure 8l).
Figure 9 presents the EBSD inverse pole figure (IPF) maps of the tested samples. The T0 sample exhibits no significant deformation bands (Figure 9a). After 5 to 15 min of shot blasting (Figure 9b–d), deformation bands formed within the grains. With prolonged processing time, these bands became increasingly dense, signifying the accumulation of plastic deformation from the impacts, which progressively subdivided the original grains. When the shot blasting duration was extended to 40 min (Figure 9e), the density of deformation bands reached a maximum, subsequently triggering grain fragmentation. The random crystallographic orientations of these newly formed grains are reflected in the more dispersed and chaotic color distribution in the IPF map. After 60 min of shot blasting (Figure 9f), the color distribution showed no significant further change, suggesting that the process of grain fragmentation had stabilized and the density of deformation bands had saturated. The measured average grain size variation with shot blasting duration is consistent with these microstructural observations. The grain size generally decreased from 90.5 μm (0 min) to 62 μm (40 min) and finally to 57 μm (60 min). The anomalous value of 146 μm at the 15 min mark is attributed to a local sampling bias during measurement, indirectly indicating the inhomogeneous distribution of plastic deformation induced by shot blasting. Excluding this outlier, the overall data confirms that shot blasting effectively refines the γ-Fe grains.
Figure 10 presents low-angle grain boundary (LAGB) maps of the samples subjected to different shot blasting durations, with boundaries of misorientation angles below 15° delineated by red lines. A substantial fraction of LAGBs is evident in all conditions. Quantitative data summarized in Table 2 reveal a significant increase in the LAGB proportion following shot blasting. Specifically, the proportion rose from 57.4% in the heat-treated sample to over 70% in all shot-blasted samples, confirming that the process introduced a high density of LAGBs. Notably, a value of 84.2% was attained after just 5 min of processing. These findings demonstrate that shot blasting generates a large number of dislocations. During plastic deformation, these dislocations become tangled, and their movement is impeded by obstacles such as grain boundaries and twin boundaries, leading to the formation of dislocation pile-ups. The subsequent accumulation and reorganization of these dislocations then lead to the formation of the observed low-angle grain boundaries.
Figure 11 displays the evolution of the geometrically necessary dislocation (GND) density of with shot blasting duration. Quantitative analysis (Table 3) confirms a significant increase in GND density across all processed samples compared to the heat-treated condition. The GND density followed a non-monotonic trend, initially increasing, then decreasing, and finally increasing again with prolonged processing time. A maximum GND density of 4.44 × 1015 m−2 was attained after 60 min of shot blasting.
Compared to shot peening, shot blasting employs a lower projectile velocity but a higher flow rate, ensuring uniform surface coverage and superior processing efficiency. The intense, repeated impact of stainless steel shots flattens surface asperities, thereby rapidly reducing surface roughness (Figure 3). Concurrently, these impacts generate numerous dimples, which introduce residual compressive stress (Figure 1) and induce severe plastic deformation. The plastic deformation promotes extensive dislocation generation and multiplication, leading to a rapid rise in dislocation density (Figure 11; Table 3). These resulting dislocations interact to form complex configurations (e.g., dislocation walls and cells), and their movement is hindered by microstructural barriers, resulting in pile-ups and the subsequent formation of subgrain boundaries (Figure 10; Table 2). The microstructural evolution is accompanied by substantial work hardening in the surface layer (Figure 2), which directly enhances surface hardness. With prolonged shot blasting, grain refinement progresses (Figure 9) and the work-hardened layer thickens. However, excessive processing introduces detrimental effects such as microcracks and surface delamination, indicative of incipient surface damage. Consequently, the wear resistance of high-manganese steel first increases and then decreases with extended processing time, while the impact toughness displays a more complex, non-monotonic trend. These mechanical property variations are attributed to the competition between beneficial factors (dislocation strengthening, grain refinement, and residual compressive stress) and detrimental factors (surface roughening and microcracking) induced by the mechanical impacts.

4. Conclusions

This study systematically investigated the effect of shot blasting duration on the microstructure and mechanical properties of SCMnH11 high-manganese steel. The results demonstrate that the intense, repeated impacts not only improve surface finish but also introduce residual compressive stress and generate a high density of dislocations. The entanglement and immobilization of these dislocations at microstructural barriers (e.g., grain and twin boundaries) lead to the formation of dislocation pile-ups, which subsequently evolve into low-angle grain boundaries. The microstructural refinement process, driven by sustained plastic deformation, results in progressive grain refinement with prolonged shot blasting time.
Consequently, the work-hardened surface layer thickens, driving the evolution of mechanical properties. Both surface hardness and wear resistance exhibit a trend of initial increase followed by a decrease, with optimal wear resistance achieved after 40 min of shot blasting. Correspondingly, the dominant wear mechanism transitions from adhesive to abrasive wear, while the fracture mechanism shifts from primarily ductile to a mixed ductile-cleavage mode. In terms of impact resistance, samples treated for 5 and 60 min exhibited superior performance compared to the heat-treated sample. Therefore, to optimize wear resistance, a shot blasting duration of 40 min is recommended, whereas for applications requiring enhanced impact toughness, a shorter duration of 5 min is advised. This study provides theoretical insights and technical support for applying shot blasting to extend the service life of high-manganese steel components in engineering machinery.

Author Contributions

Conceptualization, Q.H. and L.H.; methodology, Q.H. and L.H.; software, T.H.; validation, L.H.; formal analysis, Q.H. and L.H.; investigation, Q.H. and Z.L.; resources, Q.H. and L.H.; data curation, Q.H. and Z.L.; writing—original draft preparation, L.H.; writing—review and editing, L.H.; visualization, L.H. and T.H.; supervision, L.H.; project administration, Q.H. and L.H.; funding acquisition, Q.H. and L.H. All authors have read and agreed to the published version of the manuscript.

Funding

This research was funded by the science and technology project of China Road and Bridge Corporation, grant number No. 2024-21kj-01.

Data Availability Statement

The data presented in this study are available on request from the corresponding author. The data are not publicly available due to privacy.

Acknowledgments

The authors thank sci-go. Co., Ltd. and zkbaice. Co., Ltd. for their material characterization and analysis.

Conflicts of Interest

Author Qilin Huang was employed by the company China Road and Bridge and this study received funding from China Road and Bridge Corporation. The funder was not involved in the study design, collection, analysis, interpretation of data, the writing of this article or the decision to submit it for publication. The remaining authors declare that the research was conducted in the absence of any commercial or financial relationships that could be construed as a potential conflict of interest.

References

  1. Xu, T.; Fu, B.G.; Jiang, Y.F.; Wang, J.H.; Li, G.L. Machine learning and experimental study on a novel Cr-Mo-V-Ti high manganese steel: Microstructure, mechanical properties and abrasive wear behavior. J. Mater. Res. Technol. 2024, 31, 1270–1281. [Google Scholar] [CrossRef]
  2. Fu, H.; Chen, P.; Huang, X.D.; Zhang, W.G.; Wang, R.; Huang, Q.Y.; Shan, Q. Effect of N and aging treatment on precipitation behavior, mechanical properties and wear resistance of Ti-V-Nb alloyed high manganese steel. J. Mater. Res. Technol. 2024, 29, 1949–1961. [Google Scholar] [CrossRef]
  3. Otto, M.; Freudenberger, J.; Giebeler, L.; Weidner, A.; Hufenbach, J. Developing austenitic high-manganese high-carbon steels for biodegradable stent applications: Microstructural and mechanical studies. Mat. Sci. Eng. A—Struct. 2024, 892, 145998. [Google Scholar] [CrossRef]
  4. Wang, Z.K.; Yang, Y.; Chen, C.; Li, Y.G.; Yang, Z.N.; Lv, B.; Zhang, F.C. Effect of surface impacting parameters on wear resistance of high manganese steel. Coatings 2023, 13, 539. [Google Scholar] [CrossRef]
  5. Luo, Q.S.; Zhu, J.Z. Wear property and wear mechanisms of high-manganese austenitic Hadfield steel in dry reciprocal sliding. Lubricants 2022, 10, 37. [Google Scholar] [CrossRef]
  6. Chen, H.T.; Wang, S.R.; Lu, S.F.; Qiao, Y.; Wang, X.Y.; Fan, N.; Guo, P.Q.; Niu, J.T. Simulation and experimental validation of residual stress and surface roughness of high manganese steel after shot peening. Procedia CIRP 2018, 71, 227–231. [Google Scholar] [CrossRef]
  7. Luo, Z.C.; Ning, J.P.; Wang, J.; Zheng, K.H. Microstructure and wear properties of TiC-strengthened high-manganese steel matrix composites fabricated by hypereutectic solidification. Wear 2019, 432, 202970. [Google Scholar] [CrossRef]
  8. Dalai, R.; Das, S.; Das, K. Effect of thermo-mechanical processing on the low impact abrasion and low stress sliding wear resistance of austenitic high manganese steels. Wear 2019, 420, 176–183. [Google Scholar] [CrossRef]
  9. Liu, E.; Wu, W.T.; Zhao, Y.L.; Tan, X.; Nie, S.X.; Yan, Q.Z.; Xia, M.; Guo, H.Y.; He, M.C.; Ge, C.C. Tailoring precipitation behavior of carbonitrides in high manganese-aluminum steels via microalloying elements. J. Mater. Res. Technol. 2025, 36, 6050–6061. [Google Scholar] [CrossRef]
  10. Zhang, C.H.; Zhao, J.F.; Zhao, T.X.; Kong, L.; Zheng, C.L.; Yang, H.K.; Wang, Y.H. Interplay of C alloying, temperature, and microstructure in governing mechanical behavior and deformation mechanisms of high-manganese steels. Metals 2025, 15, 779. [Google Scholar] [CrossRef]
  11. He, T.; Zhao, S.N.; Lu, D.H.; Jiang, Y.H.; Zhou, M.J. Abrasive wear performance of spherical hierarchical structured TiC/high-manganese steel composites. Materials 2025, 18, 130. [Google Scholar] [CrossRef]
  12. Zhao, Y.F.; Liu, S.; Xu, R.Z.; Chang, X.P.; Yan, Z.L.; Tong, W.P. Preparation and properties of ZTA/alloyed high manganese steel composites. J. Mater. Res. Technol. 2024, 33, 5238–5252. [Google Scholar] [CrossRef]
  13. Zhao, E.L.; Peng, Y.X.; Yang, H.F.; He, Y.B.; Zhang, N.; Dong, Y.; Liu, H. Deformation strengthening mechanism of laser remelted high manganese steel. Mater. Today Commun. 2024, 41, 110258. [Google Scholar] [CrossRef]
  14. Yang, H.F.; Fang, C.; Zhao, E.L.; Liu, H.Y.; Liu, H.; Hao, J.B.; Peng, Y.X.; Yi, H. Wear-resistant high manganese steel/WC composite coatings with twinning-induced hardening ability prepared by laser cladding. Wear 2025, 580, 206250. [Google Scholar] [CrossRef]
  15. Yang, H.F.; Liu, X.; Guo, H.F.; He, Y.B.; Shi, J.Q.; Liu, H.; Hao, J.B.; Liu, S.Y. Effect of laser surface remelting on the microstructure and properties of high manganese steel coating. Surf. Coat. Technol. 2025, 496, 131667. [Google Scholar] [CrossRef]
  16. Zhao, E.L.; Peng, Y.X.; Yang, H.F.; Liu, H. Research on mechanical properties of high-manganese steel coating manufactured by coaxial powder-feeding laser cladding. Steel Res. Int. 2025, 96, 2400559. [Google Scholar] [CrossRef]
  17. Petrov, Y.N.; Gavrijuk, V.G.; Berns, H.; Schmalt, F. Surface structure of stainless and Hadfield steel after impact wear. Wear 2006, 260, 687–691. [Google Scholar] [CrossRef]
  18. Yang, Q.L.; Jia, Z.H.; Xu, R.R.; Liu, X.; Wang, Y.Q.; Shi, M.T.; Yang, H.F. Tribological properties of high-manganese steel coatings by laser wire cladding and ultrasonic rolling. J. Mater. Eng. Perform. 2025. [Google Scholar] [CrossRef]
  19. Yuan, H.Y.; You, Z.P.; Zhuo, Y.B.; Ye, X.P.; Zhu, L.L.; Yang, W.B. Numerical and experimental study on reasonable coverage of shot peening on ZGMn13 high manganese steel. Front. Mater. 2022, 9, 897718. [Google Scholar] [CrossRef]
  20. Cai, Z.H.; Jia, Y.Y.; Wang, S.; Ji, Y.F. Effect of shot peening on microstructure and mechanical properties of high-manganese steel/304 stainless-steel clad plates. Steel Res. Int. 2025. [Google Scholar] [CrossRef]
  21. Torabi, S.A.; Amini, K.; Gharavi, F. The effect of shot peening and precipitation hardness on the wear behavior of high manganese austenitic steels. Metall. Res. Technol. 2017, 114, 507. [Google Scholar] [CrossRef]
  22. Zhao, J.H.; Li, G.Q.; Lu, S.B.; Zhang, X.H.; Chang, C.; Zhang, K.W.; Ma, L.F. A quantitative insight into strain hardening behavior of typical Hadfield steel under dynamic load. J. Mater. Res. Technol. 2023, 27, 8050–8061. [Google Scholar] [CrossRef]
  23. ASTM G133-22; Standard Test Method for Linearly Reciprocating Ball-on-Flat Sliding Wear. ASTM International: West Conshohocken, PA, USA, 2022.
  24. Meng, S.; Cui, C.Y.; Chen, K.; Zhao, K. Microstructure and mechanical properties of laser-shock-peened high-manganese steel. Electroplat. Finish. 2020, 39, 760–765. [Google Scholar] [CrossRef]
Figure 1. XRD patterns of the as-prepared samples: (a) overview diagram and (b) detailed enlarged view.
Figure 1. XRD patterns of the as-prepared samples: (a) overview diagram and (b) detailed enlarged view.
Metals 15 01179 g001
Figure 2. Hardness variation in the prepared samples at different depths.
Figure 2. Hardness variation in the prepared samples at different depths.
Metals 15 01179 g002
Figure 3. Three-dimensional surface morphologies of the shot-blasted and heat-treated samples after friction.
Figure 3. Three-dimensional surface morphologies of the shot-blasted and heat-treated samples after friction.
Metals 15 01179 g003
Figure 4. (a) Wear profiles of the shot-blasted and heat-treated samples, and (b) relationship between the wear degree of the samples and their shot blasting durations.
Figure 4. (a) Wear profiles of the shot-blasted and heat-treated samples, and (b) relationship between the wear degree of the samples and their shot blasting durations.
Metals 15 01179 g004
Figure 5. Friction coefficient of the samples relative to their shot blasting durations.
Figure 5. Friction coefficient of the samples relative to their shot blasting durations.
Metals 15 01179 g005
Figure 6. SEM surface morphologies of the tested samples after the friction tests: (a) T0, (b) T5, (c) T10, (d) T15, (e) T40, and (f) T60.
Figure 6. SEM surface morphologies of the tested samples after the friction tests: (a) T0, (b) T5, (c) T10, (d) T15, (e) T40, and (f) T60.
Metals 15 01179 g006
Figure 7. Impact load–displacement curves and impact toughness curves of the samples: (a) T0, (b) T5, (c) T10, (d) T15, (e) T40, and (f) T60.
Figure 7. Impact load–displacement curves and impact toughness curves of the samples: (a) T0, (b) T5, (c) T10, (d) T15, (e) T40, and (f) T60.
Metals 15 01179 g007
Figure 8. SEM images of the impact fracture surface of the samples: (a,b) T0, (c,d) T5, (e,f) T10, (g,h) T15, (i,j) T40, and (k,l) T60.
Figure 8. SEM images of the impact fracture surface of the samples: (a,b) T0, (c,d) T5, (e,f) T10, (g,h) T15, (i,j) T40, and (k,l) T60.
Metals 15 01179 g008
Figure 9. Inverse pole figures (IPFs) of the shot-blasted surfaces of the samples treated with different shot blasting durations: (a) 0 min, (b) 5 min, (c) 10 min, (d) 15 min, (e) 40 min, and (f) 60 min.
Figure 9. Inverse pole figures (IPFs) of the shot-blasted surfaces of the samples treated with different shot blasting durations: (a) 0 min, (b) 5 min, (c) 10 min, (d) 15 min, (e) 40 min, and (f) 60 min.
Metals 15 01179 g009
Figure 10. Low-angle grain boundary maps of the samples with different shot blasting times: (a) 0 min, (b) 5 min, (c) 10 min, (d) 15 min, (e) 40 min, and (f) 60 min.
Figure 10. Low-angle grain boundary maps of the samples with different shot blasting times: (a) 0 min, (b) 5 min, (c) 10 min, (d) 15 min, (e) 40 min, and (f) 60 min.
Metals 15 01179 g010
Figure 11. Geometrically necessary dislocation (GND) distribution maps of the samples with different shot blasting times: (a) 0 min, (b) 5 min, (c) 10 min, (d) 15 min, (e) 40 min, and (f) 60 min.
Figure 11. Geometrically necessary dislocation (GND) distribution maps of the samples with different shot blasting times: (a) 0 min, (b) 5 min, (c) 10 min, (d) 15 min, (e) 40 min, and (f) 60 min.
Metals 15 01179 g011
Table 1. Chemical composition of the investigated high-manganese steels.
Table 1. Chemical composition of the investigated high-manganese steels.
Element/wt.%CMnSiCrPSFe
Design value0.9–1.212.0–14.00.3–0.81.8–2.3<0.050.04balance
Measured value0.9112.510.811.980.00060.009balance
Table 2. Change in the proportion of low-angle grain boundaries in the test steels with different shot blasting times.
Table 2. Change in the proportion of low-angle grain boundaries in the test steels with different shot blasting times.
Shot blasting time (min)0510154060
proportion of small-angle grain boundaries (%)57.484.274.579.979.374.3
Table 3. Change in the density of geometrically necessary dislocations in the test steels with different shot blasting times.
Table 3. Change in the density of geometrically necessary dislocations in the test steels with different shot blasting times.
Shot blasting time (min)0510154060
Density of GND (×1014/m2)19.133.231.427.641.444.4
Disclaimer/Publisher’s Note: The statements, opinions and data contained in all publications are solely those of the individual author(s) and contributor(s) and not of MDPI and/or the editor(s). MDPI and/or the editor(s) disclaim responsibility for any injury to people or property resulting from any ideas, methods, instructions or products referred to in the content.

Share and Cite

MDPI and ACS Style

Huang, Q.; Liu, Z.; Hao, L.; Hu, T. Shot Blasting for Enhancing Wear Resistance and Impact Resistance of SCMnH11 High-Manganese Steel. Metals 2025, 15, 1179. https://doi.org/10.3390/met15111179

AMA Style

Huang Q, Liu Z, Hao L, Hu T. Shot Blasting for Enhancing Wear Resistance and Impact Resistance of SCMnH11 High-Manganese Steel. Metals. 2025; 15(11):1179. https://doi.org/10.3390/met15111179

Chicago/Turabian Style

Huang, Qilin, Zihao Liu, Liang Hao, and Te Hu. 2025. "Shot Blasting for Enhancing Wear Resistance and Impact Resistance of SCMnH11 High-Manganese Steel" Metals 15, no. 11: 1179. https://doi.org/10.3390/met15111179

APA Style

Huang, Q., Liu, Z., Hao, L., & Hu, T. (2025). Shot Blasting for Enhancing Wear Resistance and Impact Resistance of SCMnH11 High-Manganese Steel. Metals, 15(11), 1179. https://doi.org/10.3390/met15111179

Note that from the first issue of 2016, this journal uses article numbers instead of page numbers. See further details here.

Article Metrics

Back to TopTop