Abstract
Cyanide-containing effluents from hydrometallurgical gold extraction pose significant environmental risks due to their high toxicity. This study investigates the detoxification of cyanide-laden tailings from the Altyntau Kokshetau gold extraction facility (Kazakhstan) using sodium percarbonate in alkaline conditions. Employing response surface methodology (RSM) and central composite design (CCD), we optimized key parameters—pH (10–12), sodium percarbonate dosage (1.5–4.0 g), reaction time (10–40 min) and temperature (20–25 °C)—achieving 83.33% detoxification efficiency within 40 min and 99.99% after 8 h, reducing cyanide from 443.2 mg/L to 0.05 mg/L. The process follows biphasic pseudo-first-order kinetics ((k1 = 0.0517) min–1 initially, (k2 = 0.01665) min–1 subsequently), driven by HO• radical-mediated oxidation of
to , as described by ). pH emerged as the dominant factor, optimizing radical stability and protonation (pKa ≈ 9.21) at pH 10. Infrared spectroscopy confirmed the presence of cyanide complexes (, ) in tailings, underscoring the need for effective treatment. The method ensures compliance with stringent environmental standards (e.g., ICMI limit of 0.2 mg/L), offering a scalable, eco-efficient solution for mitigating the environmental footprint of gold mining operations.
1. Introduction
Cyanides, characterized by the highly toxic C≡N functional group [,], exhibit environmental polymorphism, existing in dissociated () [], complexed (e.g., ) [], solid (e.g., KCN), or gaseous (HCN) forms, infiltrating ecosystems through anthropogenic effluents from processes such as hydrometallurgical precious metal extraction [], electroplating, electronics synthesis, and polymer production []. Within the global mineral economy, Kazakhstan, endowed with some of the world’s largest gold reserves [], consolidates its leading position in mineral extraction and refining, catalyzing national economic growth and strengthening its geopolitical presence in the precious metals market, with projected expansion by 2025 driven by innovations in heap leaching [] and cyanide-based technologies [].
The toxicodynamics of cyanides stem from their irreversible inhibition of cytochrome c oxidase (complex IV of the mitochondrial electron transport chain), disrupting terminal electron transfer to molecular oxygen, blocking aerobic ATP phosphorylation, and inducing systemic hypoxic crises. Even sublethal doses (0.5–3.5 mg/kg) can trigger apoptosis in neurons and cardiomyocytes [], irrespective of exposure route. Moreover, cyanogenic glycosides (e.g., lotaustralin, prunasin) in plant matrices may hydrolyze via β-glucosidases, releasing HCN [] and exacerbating cumulative risks to reproductive health (e.g., reduced male fertility due to endocrine disruption) and neurocognitive functions, as highlighted in recent exposure assessments [,].
The dominant paradigm in global hydrometallurgy remains cyanide leaching [,,,], where NaCN selectively solubilizes Au (0) to form stable aurocyanide complexes ), achieving extraction efficiencies of 90–95% in oxidized ores. Kinetic enhancements with additives like sodium acetate, as demonstrated in laboratory and semi-pilot tests at Kazakhstan’s Akshoky deposit, increase gold dissolution rates by 7–8% with 0.5–1.0 kg/t NaCH3COO [].
Given the high lethality of HCN (pKa 9.21, prone to volatilization at pH < 9), regulatory frameworks, such as the US EPA [], establish maximum contaminant levels for free cyanide at 0.2 mg/L in drinking water (MCL) and 22 µg/L for acute exposures in freshwater systems (CMC), with chronic criteria (CCC) at 5.2 µg/L for freshwater and 1 µg/L for saline environments, reflecting the heightened vulnerability of aquatic organisms (e.g., invertebrates and fish) to oxidative stress and mitochondrial dysfunction [].
This differential sensitivity underscores the need for rigorous monitoring in gold mining regions, where effluents may induce ecotoxicological cascades, including reactive oxygen species (ROS) accumulation and mitochondrial dysregulation, as evidenced by recent studies on toxicity mitigation using hydrogen nanobubbles.
The escalating challenge of cyanide-containing tailings in gold mining necessitates imperative detoxification prior to discharge. Available methods include chemical (e.g., alkaline chlorination [,,], ozonation, peroxide oxidation, sulfide precipitation), physicochemical (e.g., activated carbon adsorption [], membrane filtration, electrocoagulation), and biological (e.g., microbial degradation) approaches []. Physicochemical methods, such as membrane filtration and electrocoagulation, despite their high cyanide removal efficiency, are cost-prohibitive due to complex equipment, high energy demands, and regular maintenance, limiting their widespread adoption compared to chemical and biological alternatives [,].
Chemical protocols, such as alkaline chlorination with sodium hypochlorite, effectively oxidize to at pH 10–11 and ambient temperature (20–25 °C), but require stringent control to prevent formation of toxic cyanogen chloride, high reagent consumption, and complex neutralization to pH 6.5–7 to meet environmental standards [,,].
Despite the environmental promise of biological methods [,] utilizing alkaliphilic consortia (e.g., from soda lakes, including Pseudomonas and Burkholderia) or strains like Bacillus subtilis TT10s, which degrade via inducible cyanide dihydratase with 99–100% efficiency at pH 9–10.7 and second-order kinetics (k2 = 0.08649 mg/(mg·h)), chemical approaches dominate the industry due to their expediency, near-complete elimination (up to 99.99%), and cost-effectiveness for large-scale processing, particularly under stringent regulations (e.g., ICMI limit of 0.2 mg/L) [].
Biodegradation in alkaline conditions prevents HCN volatilization, relying on metabolic pathways (e.g., nitrilase, rhodanese), but requires acclimatization and may be limited by inhibitors such as heavy metals (e.g., copper, zinc), ammonia, or high cyanide concentrations []. In contrast, sodium percarbonate enables single-stage oxidation under optimized conditions (pH 10–12, dosage 1.5–4.0 g, temperature 20–25 °C, and reaction time up to 8 h; see Section 2.3) with minimal environmental impact, producing soluble carbonates without catalysts [] and offering several advantages over hypochlorite, including an eco-friendly decomposition to H2O2 and Na2CO3 (avoiding toxic cyanogen chloride formation), lower reagent consumption (optimized at 3.5 g/L vs. hypochlorite’s typical 2–4 g/L for comparable levels), reduced secondary pollution risk from biodegradable residuals, and simpler neutralization (adjusting mild carbonate alkalinity rather than managing chlorine residuals). Optimization of such processes using Response Surface Methodology (RSM) facilitates precise parameter tuning, enhancing detoxification efficiency while reducing environmental and economic costs [,,].
Given the urgent need for improved waste management in the gold mining industry [,], advancing innovative detoxification technologies, including sodium percarbonate-based chemical approaches, is critical. By leveraging advanced oxidants and optimized process designs, the metallurgical sector can achieve greater environmental safety and economic sustainability amid stringent regulatory demands. This study aims to evaluate the efficacy of sodium percarbonate for detoxifying cyanide-laden hydrometallurgical tailings, focusing on process parameter optimization using RSM []. Particular emphasis is placed on the kinetics of cyanide oxidation and the influence of pH, dosage, and reaction time on achieving compliance with global environmental standards. The findings provide a foundation for developing scalable, eco-efficient methods to enhance the sustainability of gold mining operations [].
2. Materials and Methods
2.1. Materials
The study focused on the cyanide-containing liquid phase of hydrometallurgical tailings as the research object. Samples were collected from the Altyntau Kokshetau gold extraction facility (53°18′ N, 69°26′ E), located in the Akmola Region of Northern Kazakhstan. This facility was selected as it is Kazakhstan’s leading gold mining enterprise, with consistent feed ore characteristics and uniform processing conditions that result in a stable chemical composition of the tailings’ liquid phase, as shown in Table 1, making it an ideal candidate for developing and optimizing the sodium percarbonate-based detoxification technology. While this study targets Altyntau Kokshetau’s tailings, future work may evaluate the technology’s efficacy on tailings with varying compositions, such as those with elevated heavy metal or cyanide content. Sampling adhered to international standards [] to ensure representativeness. Wastewater samples were gathered in sterile 1 L polyethylene containers, pre-rinsed with deionized water, and transported at 4 °C in refrigerated containers to preserve initial physicochemical parameters. Samples were stored at 4 °C for no longer than 48 h prior to analysis to minimize degradation of cyanides and other constituents.

Table 1.
Chemical Composition of the Liquid Phase of Hydrometallurgical Tailings.
The chemical composition of the tailings’ liquid phase is presented in Table 1. Major components include gold (Au), copper (Cu), arsenic (As), iron (Fe), silver (Ag), zinc (Zn), total sulfur (Stotal), sulfide sulfur (S2−), free cyanide (CN−free), and thiocyanate (SCN−). Concentrations are reported in mg/L.
2.2. Analytical Techniques
To comprehensively investigate the properties and behavior of the cyanide-containing liquid phase of hydrometallurgical tailings, advanced analytical methods were employed to ensure high accuracy and reproducibility. Elemental composition was determined using an inductively coupled plasma optical emission spectrometer (ICP-OES), Optima 8300DV (PerkinElmer, Inc., Waltham, MA, USA). The instrument was calibrated with standard metal solutions (Merck, Darmstadt, Germany), and analyses were conducted in triplicate with a relative error not exceeding 3%. Quantitative determination of free cyanide () and ammonium () concentrations was performed using Merck test kits (codes: 1.00683 for ammonium, 1.09701 for cyanide) on a Spectroquant Prove 100 VIS spectrophotometer (Merck, Darmstadt, Germany), with detection limits of 0.01 mg/L for cyanide and 0.02 mg/L for ammonium. Samples were pre-filtered through 0.45 µm pore-size membranes to remove suspended particles, ensuring accurate spectrophotometric measurements. pH and Oxidation-Reduction Potential (ORP, Eh) were measured using an ITAN pH-meter/ionometer (NPP Tom’analit, Tomsk, Russia), calibrated with standard buffer solutions (pH 4.01, 7.00, 9.21) and solutions of known ORP. Measurement uncertainties were ±0.02 for pH and ±5 mV for ORP. Fourier-transform infrared (FTIR) spectroscopy of reaction products was conducted on an FT/IR-6X spectrometer (JASCO, Tokyo, Japan) in the spectral range of 4000–400 cm–1. Liquid samples were analyzed using an ATR PRO ONE X attachment for attenuated total reflectance. Spectra were recorded using Spectra Manager Ver. 2.5 software (JASCO), and functional groups associated with cyanides () and their degradation products (e.g., ) were identified using specialized literature and IR spectral libraries integrated into KnowItAll software (https://sciencesolutions.wiley.com/solutions/technique/ir/ (accessed on 1 September 2025)) [].
2.3. Experimental Method
Detoxification of the cyanide-containing liquid phase of hydrometallurgical tailings was performed in multiple stages: preliminary filtration through 0.45 µm pore-size membranes to remove solid impurities, oxidative treatment with sodium percarbonate at pH 10 and 20–25 °C with an 8 h holding period, and neutralization with dilute H2SO4 to adjust the pH to 6.5–7. Stirring was maintained at 300 rpm using a magnetic stirrer to ensure homogeneous mixing and efficient reaction kinetics. Under these alkaline conditions, sodium percarbonate decomposes primarily to H2O2 and Na2CO3 without significant CO2 formation, as the carbonate remains in solution. The experiments were conducted at a laboratory scale to optimize process parameters, with scalability considerations based on the simplicity of the single-stage oxidation process and the absence of catalysts, pending validation through pilot-scale testing. A detailed flowchart of the process sequence is presented in Figure 1, and a schematic diagram of the experimental setup for detoxification is shown in Figure 2.

Figure 1.
Schematic flowchart of the cyanide detoxification process using sodium percarbonate.

Figure 2.
Schematic diagram of the experimental setup for cyanide detoxification.
The residual cyanide concentration was measured directly using the Spectroquant Prove 100 VIS spectrophotometer (Merck Millipore, Burlington, MA, USA) with Merck test kits (code 1.09701 for cyanide), ensuring a detection limit of 0.01 mg/L. The cyanide detoxification efficiency was calculated using the following formula:
where —cyanide detoxification efficiency (%) at time ; —initial cyanide concentration (mg/L); and —residual cyanide concentration at time (mg/L).
Additionally, the kinetics of the detoxification process were modeled using the pseudo-first-order equation:
where —rate constant (min–1); and —time (min).
Mathematical modeling and optimization were performed using Design Expert 7.0 software, employing response surface methodology (RSM) and central composite design (CCD) to evaluate the effects of key parameters such as pH, sodium percarbonate dosage, and oxidation duration on detoxification efficiency. Prior to the CCD, preliminary single-factor experiments were conducted using the parameter ranges in Table 2 to screen significant variables and refine levels for optimization. In these OVAT tests, one parameter was varied while holding others constant at initial values (concentration 3.5 g, time 20 min, pH 11), selected from literature benchmarks for peroxide-based oxidation. These auxiliary results showed strong pH sensitivity and moderate effects from concentration and time, leading to adjusted CCD centers (e.g., concentration to 2.75 g, time to 25 min) to capture the optimum more effectively. Three series of experiments took place under similar testing conditions, as shown by the asterisks in Table 2. To guarantee the trustworthiness of the findings, each trial was repeated no fewer than three times, and the mean values of the collected data were utilized for evaluation. The optimization criterion was the maximization of detoxification efficiency (DE, %), balancing parameters to achieve high DE with practical reagent consumption and time.

Table 2.
Detoxification Parameters and Ranges Applied in the Experiments.
2.4. Optimized Experimental Design for the Detoxification Process
In order to identify the most favorable operational conditions and ensure both reproducibility and precision of the results, the cyanide detoxification process was investigated through the application of response surface methodology (RSM) combined with a central composite design (CCD). The study considered three independent variables: the dosage of sodium percarbonate (g), the duration of oxidative treatment (min), and the pH of the solution. The CCD included 6 center point replicates to estimate pure error, with all experiments conducted in triplicate to capture experimental variability.
The use of RSM allowed for the formulation of a second-order polynomial equation, which establishes the dependency between the response function (detoxification efficiency) and the selected input parameters:
where denotes the predicted efficiency of cyanide removal, represents the intercept, corresponds to the coefficients of the linear terms, to the quadratic terms, and to the interaction terms between factors, with being the number of variables under consideration.
The selected variables, their coded levels, and the actual experimental ranges are summarized in Table 3.

Table 3.
Levels and codes of factors for CCD.
3. Results and Discussion
3.1. Characteristics of Tailings
The cyanide-containing liquid phase of hydrometallurgical tailings was examined to elucidate its chemical composition and dynamic behavior during detoxification. Infrared (IR) spectroscopy of the solution provided critical insights into the presence and speciation of cyanide complexes. The IR analysis of the sorption tailings solution revealed distinct spectral features within the valence vibration region ν(CN) (2000–2200 cm−1), with weak signals near the noise level indicative of low-concentration cyanide complexes. These spectral bands, detailed in Figure 3, are assigned as follows: Peak 1: 2139 cm−1, associated with , characteristic of gold extraction residues; Peak 2: 2154 cm−1, attributed to , indicating tetrahedral zinc coordination; Peak 3: 2123 cm−1, assigned to , reflecting a linear dicyano structure; Peak 4: 2088 cm−1, attributed to , indicative of a tricoordinate complex; Peak 5: 2077 cm−1, linked to suggesting tetrahedral coordination; Peak 6: 2046 cm−1, associated with ,completing its characteristic quartet; Peak 7: 2036 cm−1, corresponding to ,consistent with its octahedral coordination; Peak 8: 2024 cm−1, assigned to ,indicating a secondary vibrational mode; Peak 9: 2005 cm−1, attributed to ,reflecting a low-energy ν(CN) mode []. These peaks collectively reflect the initial chemical state of the tailings, with prominently associated with residues from the gold extraction process []. The solution exhibited a high initial cyanide content (443.2 mg/L), underscoring the imperative for effective treatment. The faint signals near noise levels highlight the analytical challenge of detecting low-abundance species, establishing a critical foundation for subsequent detoxification assessment.

Figure 3.
FTIR spectrum of cyanide complexes in hydrometallurgical tailings.
3.2. Statistical Analysis and Model Fitting
3.2.1. Data Analysis
Table 4 displays the results of the analysis of variance (ANOVA) for the response surface model of the cyanide detoxification process.

Table 4.
ANOVA for the quadratic model of cyanide detoxification efficiency.
The F-statistic in the analysis of variance (ANOVA) acts as a statistically based measure of the ratio of variance accounted for by the model compared to the overall variance. In this research, the F-statistic of the model, amounting to 84.50, verifies its statistical relevance according to the ANOVA outcomes. The likelihood that such a substantial F-value could arise from noise is negligible (p < 0.0001), thus supporting the finding that the quadratic model properly depicts the connection between the primary tested parameters and the detoxification efficiency within the experimental intervals: pH (10–12), sodium percarbonate dosage (1.5–4.0 g), and reaction time (10–40 min). However, limitations of this model include its empirical nature, restricting applicability to the tested ranges without extrapolation, and the assumption of quadratic relationships, which may not capture highly non-linear or higher-order effects in more complex systems.
The p-value below 0.0001 for the quadratic model additionally stresses its statistical importance. It is essential to highlight that p-values not surpassing 0.0500 are viewed as affirming the relevance of the related elements. In this situation, the notable parts of the model consist of A, B, C, AB, AC, A2, and C2. To boost the understanding of the influences of important factors, the model can be refined to a regression formula concentrating on the most relevant variables with a 95% assurance level. The ensuing regression formula is as follows:
To enhance the precision of evaluating the suitability of the quadratic model in approximating observed data, various essential diagnostic charts were created and examined. Most tested points are positioned along the diagonal line, as illustrated in Figure 4a, suggesting small deviations and strong data consistency. The model discrepancies exhibit a normal spread, as verified by the straight pattern of residual allocation. Additional review of the arbitrary placement of points along the t-axis (spanning from −3.00 to 3.00) and their closeness to zero, as observed in Figure 4b,c, backs the finding that the quadratic model properly depicts the connection between primary tested parameters and the detoxification rate. This outcome highlights the model’s trustworthiness and its appropriateness for forecasting goals.

Figure 4.
(a) A plot of normal probability vs. the internally studentized residuals, (b) internally studentized residuals vs. the predicted responses, (c) internally studentized residuals vs. run number, and (d) predicted responses vs. the actual values.
Figure 4d offers a chart depicting the link between estimated and observed values. The graph reveals that the incline of the regression curve nears one, with most data points following a straight path. This suggests a strong match between computed and measured results, validating the precision and dependability of the suggested quadratic model in forecasting process conditions.
The examination of the impact of experimental variables on cyanide detoxification efficiency (A: concentration; B: time; C: pH), as depicted in Figure 5, uncovers important patterns. Concentration, time, and pH significantly affect the detoxification performance of tailings.

Figure 5.
Three-dimensional response surface and contour plots (with other parameters fixed at their central levels), illustrating the combined effects of pH and dosage (a,b); duration and dosage (c,d); and pH and duration (e,f).
3.2.2. Internal Relationships Between Factors
The coefficients for factors A, B, and C are 10.53, −8.57, and 22.01, respectively, as outlined in the regression equation. These figures quantitatively indicate the effect of each parameter on the cyanide detoxification efficiency, aligning with theoretical expectations [,,,,]. Examination of the coefficients reveals that concentration (A) and pH (C) exert a positive influence, enhancing detoxification, while time (B) has a negative impact, suggesting a complex kinetic behavior.
Moreover, the order of the factors’ influence on the detoxification rate is as follows: pH (C) > concentration (A) > time (B). This ranking underscores the dominant role of pH in optimizing the oxidative process, consistent with the alkaline environment’s effect on radical formation. The negative coefficient for time highlights potential limitations, possibly due to oxidant depletion, while concentration’s positive contribution supports its role in driving the reaction.
The three-dimensional response surfaces, generated from the quadratic model, offer a detailed examination of the interplay among critical process variables and cyanide detoxification efficiency. Figure 5a,b explores the interaction between concentration (A) and pH (C). The study indicates that elevating both factors markedly improves detoxification. However, at higher concentrations, a plateau is observed, leading to response leveling, with contour diagrams emphasizing pH’s leading role, especially during early reaction phases, underscoring its key contribution to kinetics.
Figure 5c,d analyzes the interplay between concentration (A) and duration (B). The response surface plots reveal a cooperative effect: their combined increase results in a clear enhancement of detoxification. Duration maintains its primary influence, as indicated by the sharper incline along the time axis.
Figure 5e,f depicts the interaction between duration (B) and pH (C). The 3D response surface charts distinctly show pH’s dominant impact. As pH increases (within the tested interval of 10–12), the surface slope rises notably, particularly with extended durations. Even at shorter time periods (within the tested interval of 10–25 min), lower pH values significantly speed up the process, reinforcing its essential function in maximizing detoxification efficiency.
The results firmly confirm that pH (C) serves as the primary driver of process efficiency, followed by the combined effects of concentration (A) and duration (B). Based on the evaluation of F-values and total coefficient contributions, the hierarchy of impact ranks as follows: pH (C) > concentration (A) > time (B). Each interaction factor features its own peak values, enabling the prediction of optimal process conditions, as shown in Figure 5.
The software facilitated modeling and optimization of the detoxification process. According to the calculations, the ideal parameters included a concentration of 3.5 g, pH of 10, and duration of 40 min. Under these conditions, the forecasted detoxification efficiency was 87.2%, with a desirability score of 0.98 for the model. Experimental validation under the optimized conditions confirmed the model’s high accuracy: the actual detoxification efficiency reached 87.33%, closely aligning with the predicted value.
3.3. Kinetic Evolution and Prolonged Detoxification Efficacy
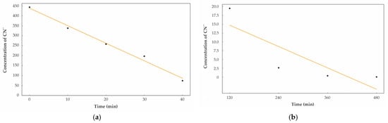
The cyanide degradation kinetics within the hydrometallurgical tailings’ aqueous matrix exhibit a biphasic profile, characterized by a rapid initial phase and a subsequent diffusion-limited regime. From an initial concentration of 443.2 mg/L, the first 40 min phase achieves 83.33% detoxification efficiency (DE), reducing cyanide to ~73.77 mg/L with a pseudo-first-order rate constant k1 = 0.0517 min–1 under optimized conditions (pH 10, 3.5 g sodium percarbonate). Longitudinal evaluation yields 99.99% DE after 8 h, lowering cyanide to 0.05 mg/L, governed by a secondary rate constant k2 = 0.01665 min–1. Interim concentrations align with theoretical predictions: 19.48 mg/L at 2 h, 2.63 mg/L at 4 h, and 0.38 mg/L at 6 h.
Mechanistically, sodium percarbonate undergoes aqueous dissociation to yield hydrogen peroxide , which, at pH 10, deprotonates to form perhydroxyl ions , facilitating generation of hydroxyl radicals () [,]. These radicals drive the oxidation of cyanide to cyanate through a concerted electron abstraction and nucleophilic addition, as described by:
The reaction’s thermodynamic favorability (ΔG° ≈ −177 kJ/mol for → ) is maximized at pH 10, where protonation (pKa ≈ 9.21) is suppressed, and radical stability is optimized, avoiding recombination to H2O2 . At pH 12, excess induces radical scavenging to form superoxide , coupled with cyanate hydrolytic instability , diminishing the effective rate constant to ~0.04 min–1. However, the self-decomposition of () was also considered, as it occurs in alkaline conditions catalyzed by metals in the tailings, following first-order kinetics ( 0.001–0.002 min−1 at pH 10–12). This side reaction generates additional but was minimized through optimized dosing to ensure effective cyanide oxidation. Quantum-chemical analysis suggests a low-energy transition state for oxidation, facilitated by the high redox potential of (E0 ≈ 2.8 V in neutral conditions, adjusted to ~1.8 V at pH 10), ensuring rapid kinetics within the initial 40 min phase []. The biphasic profile results from an initial rapid phase driven by abundant radicals reacting with free cyanide, followed by a slower phase where diffusion limitations reduce reaction rates due to lower cyanide concentrations and progressive oxidant depletion. This transition, observed at ~40 min (Figure 6a), likely stems from reduced mixing efficiency at the applied stirring rate of 300 rpm (see Section 2.3) and limited reactant encounters in the aqueous matrix. The low concentrations of impurities such as Cu (4.74 mg/L), As (7.0 mg/L), and Fe (3.7 mg/L) from Table 1 suggest minimal interference with cyanide oxidation, as radicals exhibit high selectivity for cyanide over metal ions at these levels, though transient metal-cyanide complexes may slightly influence early kinetics.

Figure 6.
(a) Concentration profile of from 0 to 40 min; (b) Concentration profile of from 120 to 480 min.
The biphasic kinetic profile—initially governed by radical-mediated reactivity and subsequently constrained by mass-transfer limitations—reflects progressive oxidant depletion, as confirmed by work []. Figure 6a depicts the exponential decay, with Figure 6b’s semi-logarithmic representation highlighting the 40 min inflection, validating the transition to a diffusion-limited regime with an estimated activation energy of approximately 18 kJ/mol between 20 and 25 °C, typical for aqueous diffusion-controlled processes where mass transfer dominates over chemical activation. The robustness of the kinetic model, underpinned by response surface methodology-optimized dosing, enables precise process control, enhancing scalability for industrial hydrometallurgical applications through the use of continuous stirred-tank reactors (CSTRs) or agitated tank systems, as employed in large-scale H2O2-based cyanide detoxification facilities handling high-volume tailings flows.
4. Conclusions
Sodium percarbonate-based detoxification of cyanide-laden hydrometallurgical tailings offers a robust, eco-efficient solution, aligning with global environmental standards (e.g., ICMI limit of 0.2 mg/L). The technology is optimized for the consistent tailings composition at the Altyntau Kokshetau gold extraction facility under the following reaction parameters: pH 10, sodium percarbonate dosage 3.5 g/L, temperature 20–25 °C, stirring at 300 rpm, and reaction time of 40 min for the initial phase (achieving 83.33% detoxification efficiency) and up to 8 h for completion (achieving 99.99% efficiency, reducing free cyanide from 443.2 mg/L to 0.05 mg/L), ensuring reliable industrial application at this site. The estimated operational cost of $0.7–1.0 per ton of tailings is based on lab-scale data, with sodium percarbonate consumption (3.5 g/L at ~$0.3/kg, contributing ~$0.6/ton) and energy for mixing and pH adjustment (~0.5 kWh/ton at ~$0.1/kWh, contributing ~$0.05–0.1/ton), plus minor costs for filtration and neutralization. Scalability is supported by the process’s simplicity (single-stage oxidation without catalysts) and optimized parameters from response surface methodology, though pilot-scale testing is needed to confirm industrial feasibility. However, limitations include diffusion-limited kinetics beyond the initial phase, requiring prolonged treatment, and potential carbonate ion buildup affecting effluent pH. Future research should explore the technology’s applicability to tailings with diverse compositions, such as those with elevated heavy metal or cyanide content, to enhance its broader industrial relevance. Additional priorities include conducting pilot-scale trials to validate scalability, developing hybrid oxidant systems to enhance late-stage kinetics, continuous-flow reactor designs for process intensification, and detailed cost–benefit analyses incorporating operational data to refine economic feasibility. Long-term environmental monitoring of treated effluents is essential to assess residual impacts, ensuring sustainable integration into gold mining operations.
Author Contributions
Conceptualization, A.B., S.S. and B.K.; methodology, K.S., A.B. and D.K.; software, N.N. and Y.B.; validation, K.S., S.S. and A.Y.; formal analysis, B.K., N.N. and D.K.; investigation, A.B., S.S. and A.Y.; resources, B.K., K.S. and Y.B.; data curation, A.B., N.N. and D.K.; writing—original draft preparation, K.S. and S.S.; writing—review and editing, A.B., B.K. and A.Y.; visualization, D.K. and Y.B.; supervision, S.S. and B.K.; project administration, K.S., S.S. and A.B.; funding acquisition, B.K. and K.S. All authors have read and agreed to the published version of the manuscript.
Funding
This research is funded by the Science Committee of the Ministry of Science and Higher Education of the Republic of Kazakhstan (Grant № AR 23488663).
Data Availability Statement
The original contributions presented in this study are included in the article. Further inquiries can be directed to the corresponding authors.
Conflicts of Interest
The authors declare no conflicts of interest.
References
- Santanu, P.; Atanu, P.; Kumaresh, G. Supramolecular gels in cyanide sensing: A review. Mater. Chem. Front. 2021, 5, 584–602. [Google Scholar]
- Antonini, E.; Brunori, M.; Rotilio, G.C.; Greenwood, C.; Malmström, B.G. The Interaction of Cyanide with Cytochrome Oxidase. Eur. J. Biochem. 1971, 23, 396–400. [Google Scholar] [CrossRef] [PubMed]
- Rajamanikandan, R.; Sasikumar, K.; Kosame, S.; Ju, H. Optical Sensing of Toxic Cyanide Anions Using Noble Metal Nanomaterials. Nanomaterials 2023, 13, 290. [Google Scholar] [CrossRef] [PubMed]
- Vaca-Escobar, K.; Arregui-Almeida, D.; Espinoza-Montero, P. Chemical, ecotoxicological characteristics, environmental fate, and treatment methods applied to cyanide-containing wastewater. NPJ Clean Water 2024, 7, 103. [Google Scholar] [CrossRef]
- Seney, C.S.; Bridges, C.C.; Aljic, S.; Moore, M.E.; Orr, S.E.; Barnes, M.C.; Joshee, L.; Uchakina, O.N.; Bellott, B.J.; McKallip, R.J.; et al. Reaction of Cyanide with Hg0-Contaminated Gold Mining Tailings Produces Soluble Mercuric Cyanide Complexes. Chem. Res. Toxicol. 2020, 33, 2834–2844. [Google Scholar] [CrossRef]
- Thompson, D.T. Cyanide: Social, industrial and economic aspects. Gold Bull. 2001, 34, 133. [Google Scholar] [CrossRef]
- Zhang, Y.; Cui, M.; Wang, J.; Liu, X.; Lyu, X. A review of gold extraction using alternatives to cyanide: Focus on current status and future prospects. Miner. Eng. 2022, 176, 107336. [Google Scholar] [CrossRef]
- Liu, Z.; Guo, X.; Tian, Q.; Zhang, L. A systematic review of gold extraction: Fundamentals, advancements, and challenges toward alternative lixiviants. J. Hazard. Mater. 2022, 440, 129778. [Google Scholar] [CrossRef] [PubMed]
- Mooiman, M.B.; Miller, J.D. The chemistry of gold solvent extraction from cyanide solution using modified amines. Hydrometallurgy 1986, 16, 245–261. [Google Scholar] [CrossRef]
- Eisler, R.; Wiemeyer, S.N. Cyanide Hazards to Plants and Animals from Gold Mining and Related Water Issues. Rev. Environ. Contam. Toxicol. 2004, 183, 21–54. [Google Scholar]
- Brüger, A.; Fafilek, G.; Restrepo, B.O.J.; Rojas-Mendoza, L. On the volatilisation and decomposition of cyanide contaminations from gold mining. Sci. Total Environ. 2018, 627, 1167–1173. [Google Scholar] [PubMed]
- Park, H.; Chung, H.; Choi, S.; Bahn, Y.; Son, J. Evaluation of exposure to cyanogenic glycosides and potential hydrogen cyanide release in commercially available foods among the Korean population. Food Chem. 2024, 456, 139872. [Google Scholar] [CrossRef]
- Nyirenda, K.K. Toxicity Potential of Cyanogenic Glycosides in Edible Plants. IntechOpen 2020. [Google Scholar] [CrossRef]
- Lv, C.; Ding, J.; Qian, P.; Li, Q.; Ye, S.; Chen, Y. Comprehensive recovery of metals from cyanidation tailing. Miner. Eng. 2014, 70, 141–147. [Google Scholar]
- Luque-Almagro, V.M.; Moreno-Vivián, C.; Roldán, M.D. Biodegradation of cyanide wastes from mining and jewellery industries. Curr. Opin. Biotechnol. 2016, 38, 9–13. [Google Scholar] [CrossRef]
- Tong, L.; Zhao, Q.; Liu, Q.; Li, Z.; Chi, C.; Zhang, Y.; Yang, H. Cyanide Release Characteristics of Solid Waste in Gold Smelting Process. Minerals 2022, 12, 1269. [Google Scholar] [CrossRef]
- Brittan, M.; Plenge, G. Estimating Process Design Gold Extraction, Leach Residence Time and Cyanide Consumption for High Cyanide-Consuming Gold Ore. Miner. Metall. Process. 2015, 32, 111–120. [Google Scholar] [CrossRef]
- Medina, D.; Anderson, C.G. A Review of the Cyanidation Treatment of Copper-Gold Ores and Concentrates. Metals 2020, 10, 897. [Google Scholar] [CrossRef]
- Johnson, C.A. The fate of cyanide in leach wastes at gold mines: An environmental perspective. Appl. Geochem. 2015, 57, 194–205. [Google Scholar] [CrossRef]
- González-Valoys, A.C.; Arrocha, J.; Monteza-Destro, T.; Vargas-Lombardo, M.; Esbrí, J.M.; Garcia-Ordiales, E.; Jiménez-Ballesta, R.; García-Navarro, F.J.; Higueras, P. Environmental challenges related to cyanidation in Central American gold mining; the Remance mine (Panama). J. Environ. Manag. 2022, 302, 113979. [Google Scholar] [CrossRef]
- Kuyucak, N.; Akcil, A. Cyanide and removal options from effluents in gold mining and metallurgical processes. Miner. Eng. 2013, 50–51, 13–29. [Google Scholar] [CrossRef]
- Guo, X.; Jiang, X.; Zhu, J.; Liu, Q.; Zhang, Y.; Liu, X. Deep treatment technology for cyanidation barren solution from a gold enterprise. Gold 2019, 40, 64–67. [Google Scholar]
- Xiong, Q.; Jiang, S.; Fang, R.; Liu, S.; Wu, X. An environmental-friendly approach to remove cyanide in gold smelting pulp by chlorination aided and corncob biochar: Performance and mechanisms. J. Hazard. Mater. 2021, 408, 124465. [Google Scholar] [CrossRef] [PubMed]
- Mamelkina, M.A.; Herraiz-Carboné, M.; Cotillas, S.; Lacasa, E.; Sáez, C.; Tuunila, R.; Sillanpää, M.; Häkkinen, A.; Rodrigo, M.A. Treatment of mining wastewater polluted with cyanide by coagulation processes: A mechanistic study. Sep. Purif. Technol. 2020, 237, 116345. [Google Scholar] [CrossRef]
- Anning, C.; Wang, J.; Chen, P.; Batmunkhi, I.; Lyu, X. Determination and detoxification of cyanide in gold mine tailings: A review. Waste Manag. Res. 2019, 37, 1117–1126. [Google Scholar]
- Dong, K.; Xie, F.; Wang, W.; Chang, Y.; Lu, D.; Gu, X.; Chen, C. The detoxification and utilization of cyanide tailings: A critical review. J. Clean. Prod. 2021, 302, 126946. [Google Scholar] [CrossRef]
- Manyuchi, M.M.; Sukdeo, N.; Stinner, W. Potential to remove heavy metals and cyanide from gold mining wastewater using biochar. Phys. Chem. Earth 2022, 126, 103110. [Google Scholar]
- Khodadad, A.; Teimoury, P.; Abdolahi, M.; Samiee, A. Detoxification of Cyanide in a Gold Processing Plant Tailings Water Using Calcium and Sodium Hypochlorite. Mine Water Environ. 2008, 27, 52–55. [Google Scholar] [CrossRef]
- Jiang, Y.; AO, X.; Wang, L. A Study of Treatment of High-Cyanide-Containing Wastewater and Application Thereof. Available online: https://www.cnki.net/KCMS/detail/detail.aspx?dbcode=CJFD&dbname=CJFD2005&filename=HGGS200502013&uniplatform=OVERSEA&v=43gIbe2CU4ydtIgYAeghQPlNw3WW-_tQSLHGq4JWEc5C6IbOBrcEWP9ohbEul-EM (accessed on 1 September 2025).
- Chen, X.; Ren, Y.; Qu, G.; Wang, Z.; Yang, Y.; Ning, P. A Review of Environmental Functional Materials for Cyanide Removal by Adsorption and Catalysis. Inorg. Chem. Commun. 2023, 157, 111298. [Google Scholar] [CrossRef]
- Berkinbayeva, A.; Kenzhaliyev, B.; Smailov, K.; Aimagambetov, A.; Kamenov, B.; Saulebekkyzy, S.; Tolegenova, N.; Putri, P.S.R. An overview of biological cyanide elimination from tailing wastewater as a promising tool for sustainable utilization. Water Res. X 2025, 29, 100400. [Google Scholar] [CrossRef]
- Uribe-Ramírez, D.; Cristiani-Urbina, E.; Morales-Barrera, L. Biodegradation of Free Cyanide by a New Isolated Alkaliphilic Bacillus licheniformis Strain. Microbiol. Res. 2024, 15, 33–49. [Google Scholar]
- Hai, L.; Fang, X.; Zhao, X.; Xu, B.; Cheng, T. Experimental analysis on cyanide removal of gold tailings under medium-temperature roasting. Sci. Rep. 2023, 13, 3831. [Google Scholar] [CrossRef]
- Olaya-Abril, A.; Biełło, K.; Rodríguez-Caballero, G.; Cabello, P.; Sáez, L.P.; Moreno-Vivián, C.; Luque-Almagro, V.M.; Roldán, M.D. Bacterial tolerance and detoxification of cyanide, arsenic and heavy metals: Holistic approaches applied to bioremediation of industrial complex wastes. Microb. Biotechnol. 2024, 17, e14399. [Google Scholar] [CrossRef] [PubMed]
- Petrov, V.F.; Chepaikin, E.G.; Bezrukov, G.M. Method of Treatment of Cyanide-Containing Waste Water of Gold Mining Industry Enterprises. RU Patent 2450979C2, 20 May 2012. [Google Scholar]
- Kim, J.; Kim, R.; Han, K.N. Advances in Hydrometallurgical Gold Recovery through Cementation, Adsorption, Ion Exchange and Solvent Extraction. Minerals 2024, 14, 607. [Google Scholar] [CrossRef]
- Taylor, C.J.; Pomberger, A.; Felton, K.C.; Grainger, R.; Barecka, M.; Chamberlain, T.W.; Bourne, R.A.; Johnson, C.N.; Lapkin, A.A. A Brief Introduction to Chemical Reaction Optimization. Chem. Rev. 2023, 123, 3089–3126. [Google Scholar] [CrossRef] [PubMed]
- Newman, S.G. Optimizing Chemical Reactions. Chem. Rev. 2024, 124, 3645–3647. [Google Scholar] [CrossRef] [PubMed]
- Kenzhaliyev, B.; Koizhanova, A.; Fischer, D.; Magomedov, D.; Yerdenova, M.; Smailov, K.; Abdyldayev, N. Study of efficiency of organic activator application to process difficult-to-beneficiate polymetallic ridder ores. Transit. Met. Chem. 2025, 50, 515–527. [Google Scholar] [CrossRef]
- Abdulvaliev, R.A.; Surkova, T.Y.; Baltabekova, Z.; Yessimova, D.M.; Stachowicz, M.; Smailov, K.M.; Dossymbayeva, Z.D.; Ainur, B. Effect of Amino Acids on the Extraction of Copper from Sub-Conditional Raw Materials. Complex Use Miner. Resour. 2024, 335, 50–58. [Google Scholar] [CrossRef]
- Kenzhaliyev, B.; Ultarakova, A.; Lokhova, N.; Mukangaliyeva, A.; Kassymzhanov, K. Optimized Hydrometallurgical Extraction of Molybdenum via Mechanoactivation and Nitric–Sulfuric Leaching. Processes 2025, 13, 1486. [Google Scholar] [CrossRef]
- Cacciuttolo, C.; Cano, D.; Custodio, M. Socio-Environmental Risks Linked with Mine Tailings Chemical Composition: Promoting Responsible and Safe Mine Tailings Management Considering Copper and Gold Mining Experiences from Chile and Peru. Toxics 2023, 11, 462. [Google Scholar] [CrossRef]
- ISO 5667-3:2024; Water Quality — Sampling — Part 3: Preservation and Handling of Water Samples. International Organization for Standardization: Geneva, Switzerland, 2024.
- KnowItAll IR Spectral Libraries. Wiley Science Solutions. Available online: https://sciencesolutions.wiley.com/solutions/technique/ir/ (accessed on 1 September 2025).
- Nakamoto, K. Infrared and Raman Spectra of Inorganic and Coordination Compounds; Mir: Moscow, Russia, 1991; p. 536. [Google Scholar]
- Adams, M.D. Advantages in Gold Ore Processing, 1st ed.; Elsevier: Perth, Australia, 2005. [Google Scholar]
- Chen, H.; Wu, D.; Wang, Z. Investigation of the Leaching Kinetics of Zinc from Smithsonite in Ammonium Citrate Solution. Metals 2024, 14, 519. [Google Scholar] [CrossRef]
- Kenzhaliyev, B.; Surkova, T.; Berkinbayeva, A.; Baltabekova, Z.; Smailov, K.; Abikak, Y.; Saulebekkyzy, S.; Tolegenova, N.; Omirbek, T.; Dosymbaeva, Z. Innovative Methods for Intensifying the Processing of Zinc Clinker: Synergy of Microwave Treatment and Ultrasonic Leaching. Metals 2025, 15, 246. [Google Scholar] [CrossRef]
- Tian, J.J.; Wu, D.D.; Li, S.Y.; Ma, W.H.; Wang, R.Z. Effect of process variables on leaching behavior and kinetics of silver element from waste photovoltaic modules. Sep. Purif. Technol. 2024, 335, 126062. [Google Scholar] [CrossRef]
- Kenzhaliyev, B.; Berkinbayeva, A.; Baltabekova, Z.; Moldabayeva, G.; Smailov, K.; Saulebekkyzy, S.; Tolegenova, N.; Karim, D.; Omirbek, T. Investigation of Phase Transformations in Technogenic Raw Materials Under Microwave Treatment for Enhanced Zinc Leaching. Processes 2025, 13, 1099. [Google Scholar] [CrossRef]
- Jiang, W.; Lu, Y.; Feng, Z.; Yu, H.; Ma, P.; Zhu, J.; Wang, Y.; Sun, J. Biodegradation of Cyanide by a New Isolated Aerococcus viridans and Optimization of Degradation Conditions by Response Surface Methodology. Sustainability 2022, 14, 15560. [Google Scholar] [CrossRef]
- Sukhatskiy, Y.; Знак, З.О.; Sozanskyi, M.; Shepida, M.; Gogate, P.R.; Tsymbaliuk, V. Activated Periodates and Sodium Percarbonate in Advanced Oxidation Processes of Organic Pollutants in Aqueous Media: A Review. Chem. Chem. Technol. 2024, 18, 119–130. [Google Scholar] [CrossRef]
- Kabalka, G.W.; Reddy, M.S.; Chen, Y. Sodium Percarbonate. e-EROS. [CrossRef]
- Ospanov, K.; Smailov, K.; Nuruly, Y. Patterns of Non-Traditional Thermodynamic Functions ΔrG0/n and ΔfG0(Averaged) Changes for Cobalt Minerals. Chem. Bull. Kazakh Natl. Univ. 2020, 96, 22–30. [Google Scholar] [CrossRef]
- Han, W.; Yang, H.; Tong, L. Removal of Cyanide in Gold Cyanide Residues through Persulfate-Advanced Oxidation Process. Minerals 2023, 13, 613. [Google Scholar] [CrossRef]
Disclaimer/Publisher’s Note: The statements, opinions and data contained in all publications are solely those of the individual author(s) and contributor(s) and not of MDPI and/or the editor(s). MDPI and/or the editor(s) disclaim responsibility for any injury to people or property resulting from any ideas, methods, instructions or products referred to in the content. |
© 2025 by the authors. Licensee MDPI, Basel, Switzerland. This article is an open access article distributed under the terms and conditions of the Creative Commons Attribution (CC BY) license (https://creativecommons.org/licenses/by/4.0/).