Next Article in Journal
Vacuum Diffusion Bonding Process Optimization for the Lap Shear Strength of 7B04 Aluminum Alloy Joints with a 7075 Aluminum Alloy Powder Interlayer Using the Response Surface Method
Previous Article in Journal
Impacts of Cooling Reduction Due to Spray Nozzle Clogging on Shell Formation in Continuous Casting of Steel
 
 
Font Type:
Arial Georgia Verdana
Font Size:
Aa Aa Aa
Line Spacing:
Column Width:
Background:
Article

Optimization of Red Mud and Blast Furnace Sludge Self-Reducing Briquettes Propaedeutic for Subsequent Magnetic Separation

Dipartimento di Meccanica, Politecnico di Milano, Via Privata Giuseppe La Masa 1, 20156 Milano, Italy
*
Author to whom correspondence should be addressed.
Metals 2025, 15(10), 1108; https://doi.org/10.3390/met15101108
Submission received: 12 September 2025 / Revised: 29 September 2025 / Accepted: 30 September 2025 / Published: 4 October 2025

Abstract

Red mud, a by-product of aluminum production, leads to significant environmental challenges due to its alkalinity and presence of soluble compounds. This study explores its valorization through agglomeration with blast furnace sludge as a reducing agent to form self-reducing briquettes. Five C/Fe2O3 ratios (0.131, 0.262, 0.523, 0.840 and 1.000) were tested to determine the most effective reducing condition, with 0.840 emerging as optimal based on thermal analysis (mass loss of 27.44 wt.% at 1200 °C and iron formation specific energy of 450 J g−1). Briquettes prepared with three agglomeration methods varying in water content (water/starch ratios of 6:1, 12:1 and 18:1) were evaluated through drop, compression and abrasion tests. The agglomeration method with a 12:1 water/solid ratio, involving both starch gelatinization and red mud water absorption, produced the most mechanically resistant briquettes (19.210 MPa). The mechanical and metallurgical properties of the 0.840-2W briquettes after reduction at 700, 950, 1200 and 1450 °C (temperature maintenance for 15 min) were assessed to define the best compromise between the reduction degree and mechanical strength. While reduction at 950 °C led to the weakest structure (0.449 MPa) but poor metallization, 1450 °C ensured the highest degree of reduction (94%) with adequate brittleness to facilitate a possible subsequent magnetic separation.

1. Introduction

Aluminum is the second most produced metal after steel (120 Mt in 2025 [1]) due to its lower density, which favors its use in aerospace and automotive industries. Because of its high reactivity with oxygen, it is rarely present in a metallic state in nature, but primary aluminum production involves its extraction from bauxite through the Bayer process [2]. During the cooling down of the slurry obtained from the alumina in the Bayer liquor, the non-soluble phases are sedimented and filtered to form a by-product called red mud (RM). The chemical composition of this by-product changes according to the bauxite used, but it typically contains iron oxides, aluminum hydroxides, titanium oxides and Si-Al compounds and is rich in alkalis [3,4]. Due to its high alkalinity and the high volume produced (1 ton per ton of aluminum), red mud is considered a harmful by-product for the environment, and it is either disposed of in appropriate landfills [5] or lagooned in dedicated ponds for a long time [6]. Even in these cases, however, red mud can still be an environmentally critical by-product. On the one hand, the presence of soluble compounds such as sodium carbonate, bicarbonate and hydroxide may pollute water streams and lands when dissolved with rainwater. On the other hand, dry and dusty red mud is responsible for air pollution. In order to solve these environmental issues, researchers have made significant efforts to reduce red mud’s environmental impact and increase the circularity and sustainability of the aluminum industry [3]. The recycling of red mud involves different fields, like the production of cement, water treatment and recovery of heavy metals [7]. Red mud can be reused in the cement industry in ordinary Portland cement [8] or for pozzolanic mixtures used in road construction [9]. It is also used for particular applications, such as the clinker production of special cement if it is mixed with lime, bauxite and gypsum [10] or the production of geopolymers if mixed with metakaolin [11]. Due to its capability to retain different elements, it is used as a permeable reactive barrier [12] to remove arsenates from aqueous solutions [13] and heavy metals from stormwater [14].
Furthermore, due to Fe oxides being the main constituent of red mud (iron range between 6 and 60 wt.% [15]), the valorization of red mud in steelmaking by the recovery of iron has a long history as well [16]. Fe recovery is typically performed by physical processes, such as magnetic separation, with its subsequent destination being used as a sintering material for ironmaking [17,18]. Despite the slight Fe enrichment in the magnetic fraction compared to the sinter [19], the efficiency of the high-gradient superconducting magnetic separation (HGSMS) system is affected by the particle size and Fe2O3 content [20,21,22,23]. For instance, too high an Fe2O3 amount leads to worse efficiency. Roasting and reduction smelting are, hence, an alternative solution for iron recovery. In the literature, various works have studied the effectiveness of different carbon sources as a reducing agent for red mud, such as carbon powder [24,25,26], graphite [27,28], soft coal [29], coal char [30], coke [31] and blast furnace sludge [32]. For example, Rai et al. [33] reached a recovery of 80% separating iron from red mud using coal dust, sugar cane bagasse and spent pot lining, followed by magnetic separation and hydro-cyclone. Independent of the reducing agent (e.g., graphite, coal, coke, blast furnace sludge), a high degree of metallization was achieved. However, the main drawbacks are the very difficult separation of iron from slag due to its high viscosity and the management of fine powders, which can be easily dispersed, lowering the yield of the recovery process.
To address the aforementioned issues, researchers applied agglomeration techniques while also improving the magnetic separation after the reduction step by the use of different additives, such as Na2CO3 and Na2SO4 [34,35,36,37]. However, only the metallurgical behavior of the mix and the optimization and effectiveness of the magnetic separation for the metallic iron were analyzed, while it is also important to ensure and verify the resistance of the agglomerates during their transportation and handling in order to avoid the release of dangerous fine particles and maintain the required agglomerated form. Moreover, the referenced literature lacks details about the optimization of the briquetting processing (raw materials mixing sequence, pressing time, etc.) towards an industrial scalability of the method. In addition, the recovery of fine iron by magnetic separation decreases with decreasing particle size [38]; hence, it is important to maintain the agglomeration and favor the coalescence of the iron during the reduction stage to ensure coarse-enough metallic particles.
Briquettes made of biomass or steelmaking residues have been largely studied from a mechanical point of view to verify the compression and impact resistance [39,40,41,42,43,44,45,46], but a mechanical characterization of fresh and room-temperature-cured agglomerates made of red mud is missing to the authors’ knowledge. The metallurgical characterization only defines the best temperature to pre-reduce the agglomerates and recover metallic iron; hence, this work also addresses solving the lack in the optimization of the steps before the magnetic separation by means of a mechanical characterization on reduced briquettes, i.e., after exposure to high temperature. The mechanical characterization of the reduced briquettes is important to investigate because it gives an indication of the forces required to disintegrate them, find the best condition for minimizing their resistance, and hence reducing the strength required in a possible following magnetic separation step. Finally, a further goal of this work is to agglomerate roasted RM with blast furnace sludge as a reductant to define the best temperature for the metallic iron recovery.

2. Materials and Methods

The materials used in this work were red mud (RM), which, in the form of sludge, came from EurAllumina S.p.A., Portovesme, Italy, used as an iron carrier; a blast furnace sludge (BFS), which acted as reducing agent (ex-ILVA, Taranto, Italy) and lime supplied by Unicalce S.p.A., Brembilla, Italy, to achieve the expected basicity of the mixture and reduce the melting temperature of the sample. The red mud was primarily dried at 105 °C for 24 h and then roasted at 1000 °C for 1 h, leading to a mass loss of 26.9 and 14.4 wt.%, respectively. During the roasting, the material was stirred every 20 min. The latter treatment was performed to eliminate all hydroxide, carbonate species and impurities to concentrate the available iron oxide and make the material easier to reduce. The chemical compositions of the dried material and the roasted one were carried out through Wavelength-Dispersive X-Ray Diffraction (WD-XRF) Bruker S8 Tiger spectrometer (Bruker Corporation, Billerica, MA, USA) and are reported in Table 1.
The chemical compositions of the reducing agent (BFS) and lime are reported in Table 2 and Table 3, respectively. The blast furnace sludge was already characterized in previous works [32,39,47,48], where it was successfully used as a reducing agent.
The starting red mud was already characterized by Mombelli et al. [28,32], while the mineralogical composition of the roasted one was evaluated by means of X-Ray Diffraction analysis (XRD) through Rigaku SmartLab SE diffractometer (Rigaku Corporation, Tokyo, Japan) in θ-θ configuration (Cu-Kα radiation: λ = 1.54 Å at 40 kV, 40 mA). The analysis was accomplished with a scan range of 5–90° 2θ through a 1D D/teX Ultra 250 detector featured by an XRF suppression filter; the powdered materials were scanned at 2° min−1 with a step size of 0.02° and rotated at 60 rpm.
The XRD pattern of the roasted red mud is shown in Figure 1. Hematite (Fe2O3) and sodalite (Na8(Al6Si6O24)Cl2) were the only two phases still present after the roasting of the material [28,32]. The reaction between calcite (CaCO3) and anatase (TiO2) led to the formation of perovskite (CaTiO3), while a portion of the sodalite phase decomposed to form carnegieite (NaAlSiO4) [49]. When temperature exceeded 950 °C, carnegieite subsequently transformed into nepheline ((Na,K)AlSiO4) [50].
The roasted red mud was ground in a Retsch Planetary Ball Mill PM 400 machine (Retsch GmbH, Haan, Germany) for 20 min at 250 rpm with zirconia balls, and the particle size distribution (PSD) was analyzed through Malvern Morphology 4 optical granulometer (Malvern Panalytical Ltd., Malvern, UK). This operation is necessary because the particles tend to cluster during roasting, so milling is required to obtain an optimal size for briquetting. According to the best performances achieved in the agglomeration of jarosite and blast furnace [41], iron carrier <125 µm and reducing agent <63 µm were chosen as particle size distribution for red mud and blast furnace sludge, respectively. The particle size distribution (PSD) of the selected fraction of RM and BFS is reported in Table 4. The percentile diameters (D10, D50 and D90), the volume mean diameter (Brouckere diameter D4.3) [51], the surface mean diameter (Sauter diameter D3.2) [51] and the mean mathematical diameter obtained considering all the particles identified by the granulometer [52], its standard deviation (STD) and the relative standard deviation (RSD) were based on the cumulative volume curve.

2.1. Reducibility Investigation

In continuity with the reducibility investigation of the red mud by means of graphite carried out by Mombelli et al. [32], five mixtures of increasing C/Fe2O3 ratio (0.131, 0.262, 0.523, 0.840 and 1.000) were used by tailoring the amount of RM and BFS used. The basicity of each mixture was kept constant at 0.55 by dosing the lime opportunistically according to the quinary basicity index (BI5). The mass loss, the energy associated with the melting peak and the latter temperature were evaluated from the Thermo-Gravimetric Differential Scanning Calorimetry (TG-DSC) analysis performed using 20 mg of mixture heated up to 1200 °C with a heating rate of 30 °C min−1 in an inert atmosphere (Ar, flow rate: 2 Nl h−1) in Setaram Labsys (Setaram, Lyon, France).

2.2. Powder Agglomeration

The mixture compositions chosen for the agglomeration and evaluation of the mechanical performance of the resulting briquettes were the one with the best reduction condition and the second most promising, namely 0.840 and 0.523 C/Fe2O3. Three different methods for the binder preparation were explored for the two C/Fe2O3 ratios selected. The first methodology, labeled “1W”, was already investigated in different works [39,41,48] and consists of cooking 10 g of corn starch with 60 g of distilled water at 100 °C for 30 min to achieve the optimal gelatinization [41]. The second and third methods instead followed the optimization procedure proposed by the same authors [48] to increase the mechanical properties of integrated cycle by-product agglomerates, involving mixing the powders with a water/starch ratio of 12:1 (labeled “2W”) and 18:1 (labeled “3W”) directly in the pot and then cooking for 30 min at 100 °C.
The mixtures were agglomerated in the form of briquettes of 20 × 20 mm using a modified MTS Exceed Series 40 uniaxial tensile machine (MTS Systems Corporation, Eden Prairie, MN, USA) with a constant speed of 20 mm min−1 until the pressure achieved 40 MPa.

2.3. Mechanical Characterization for Choosing the Best Briquetting Process

The briquettes were then subject to 15 days of curing to release the moisture ejected during the retrogradation of gelatinized corn starch [41]. Then, impact resistance and cold compression strength tests were performed to simulate the real conditions of handling and transportation during the industrial applications. The drop test was based on the ASTM D440-07 (2019) [53]. Three dropped briquettes were used for each mixture. Each sample was manually dropped from a height of 1.63 m on a steel container large enough to prevent any material loss (~1 m2) through a 100 mm U-shaped section steel semi-tube, which allows for maintaining the verticality and the replicability of the test. The test was iteratively performed for each briquette and stopped after 10 falls or in case of premature failure, if a detached piece weighted more than 5 wt.% of the initial mass of the briquette. The size stability factor (s) of the briquettes was calculated according to Equation (1).
s = i % w t i · N F i
where wti is the weight of the fraction collected in the i-sm sieve and NFi is the normalizing factor used (Equation (2)). The opening sizes of i-sm sieve were 6.7 mm, 5.6 mm, 4 mm, 2 mm, 1 mm, 0.5 mm and 0.125 mm.
N F i = ( O p e n i n g i + O p e n i n g i + 1 ) / 2 ( O p e n i n g m a x + O p e n i n g m a x + 1 ) / 2
The Impact Resistance Index (IRI) was calculated according to Equation (3) [54].
I R I = 100 · A v e r a g e   n u m b e r   o f   d r o p s A v e r a g e   n u m b e r   o f   p i e c e s
The number of pieces has been determined by counting the number of fragments that weighed 5 wt.% or more than the initial mass of the briquette [55].
The Adjusted Impact Resistance Index (AIRI) (Equation (4)) is a parameter that considers the powder detached during the drop test [24]. It depends on the Adjusting Factor (Equation (5)), which was obtained starting from the Adjusting Mass Factor (Equation (6)), calculated considering the mass retained in the i-sm sieve with an opening size smaller than 4 mm and the final mass collected at the end of the test. If the Adjusting Factor is negative, it should be considered as zero.
A I R I = I R I · A d j u s t i n g   F a c t o r
A d j u s t i n g   F a c t o r = 1 A d j u s t i n g   M a s s   F a c t o r F i n a l   m a s s
A d j u s t i n g   M a s s   F a c t o r = i 4 S i · M i
where Mi is the mass retained by the i-sm sieve and Si is the sieve opening passed. The correction allows for the identification of the size of the powders lost during the drop test. Indeed, low AIRI corresponds to the detachment of finer particles. Moreover, AIRI being much lower than IRI means a large amount of fine powder is lost.
If the briquette survived to 10 falls, it was then compressed according to BS ISO 4700:2015 [56] to evaluate the ultimate compressive strength (UCS). The sample was pre-loaded between two flat disks at 30 N and pressed at a constant speed of 15 mm min−1 until the load fell by 50% of the UCS or when the gap between the plates was reduced by more than 50% of the briquette diameter (10 mm).

2.4. Mechanical Characterization of Optimized and Cured 0.840-2W Briquettes

The best briquetting process, in terms of mechanical properties, was further tested by producing a new batch of briquettes. Compression test and abrasion test were carried out on three non-dropped briquettes. The compression tests were performed following the same conditions reported above, while the abrasion test followed BS EN 3271-2015 [57], using a tumbler of 180 × 258 mm operated at 50 rpm. Each test was stopped at 100, 300 and 900 rotations, and the material sieved using sieves with opening sizes of 6.7 and 0.5 mm. The Tumbler Index (TI) and the Abrasion Index (AI) were calculated according to Equations (7) and (8), respectively.
T I = m 1 m 0 × 100
A I = m 0 ( m 1 + m 2 ) m 0 × 100
where m0 is the mass initially placed in the tumbler, m1 is the mass retained by the 6.70 mm sieve opening, and m2 is the mass retained by the 0.5 mm sieve opening. The part retained by the 6.7 mm sieve opening, which is considered by the previous step as m1, is then put again in the tumbler and considered as m0 of the following step.

2.5. Mechanical Characterization of Optimized and Reduced 0.840-2W Briquettes

The briquettes were then reduced (thermally treated) at 700, 950, 1200 and 1450 °C inside a Nabertherm LBT 02/17 lift-bottom furnace (Nabertherm GmbH, Lilienthal, Germany) using an inert atmosphere (Ar) by imposing a heating ramp of 100 °C min−1 and a maintenance time of 15 min at the desired temperature. They were then subject to a compression test following the same conditions as before.
The abrasion resistance of reduced briquettes (Reduction-Disintegration Index–RDI) was instead evaluated according to ISO 4696-2:2015 [58], rotating the tumbler at 50 rpm and stopping it after 900 rotations, to evaluate the RDI-22.0 according to Equation (9).
R D I 2 2.0 = 100 m 1 m 0 × 100
where m1 is the mass retained by the 2 mm sieve opening and m0 is the initial mass of the briquette.

2.6. Metallurgical Characterization of Optimized Reduced 0.840-2W Briquettes

The thermal tests also aimed to evaluate the degree of reduction (RD) according to Equation (10).
R D = m m m a x × 100   m = m w e t m H T m m a x = m c + m O + m b i n d e r + m v o l a t i l e
where mwet is the mass of the green briquette, mHT is the mass of the reduced briquette and mmax is the theoretical maximum loss of mass achieved by the mixture completely reduced at 1450 °C. This latter was evaluated starting from the initial chemical composition of the briquettes and considering the masses of volatile compounds such as Zn, Cl and alkalis; the oxygen (mO) released during the reduction; carbon mass (mc) consumed and the binder which completely volatilizes during the heating.

3. Results and Discussion

3.1. Reducibility Investigation

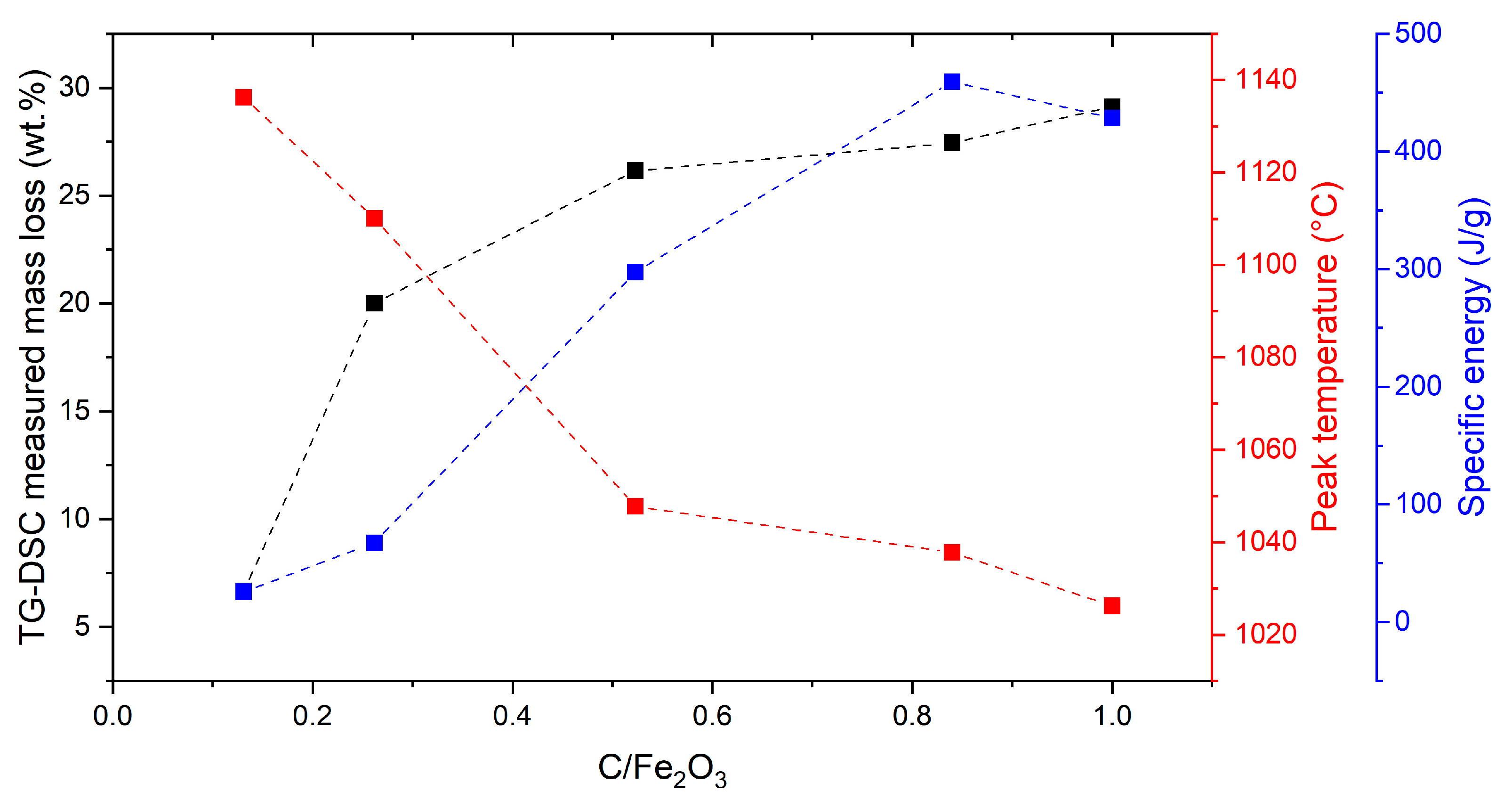
The heat flow and the mass loss curves of reduction in the five C/Fe2O3 ratios investigated (Figure S1) had behaviors comparable to those observed in the thermograms by Mombelli et al. [32], showing two valleys between 200 and 400 °C due to the complete dehydroxylation of residual gibbsite and boehmite from the prior red mud drying step. The second peak in this range is also related to portlandite dihydroxylation [59]. The valley at 650 °C is associated with the liming of magnesite and the dissociation of calcium carbonate [60], while the weaker valley around 900 °C and the stronger one at 1000 °C correspond to the reduction of Fe2O3 into Fe3O4, and the subsequent full reduction and melting of the iron. Increasing the carbon content of the mixture decreases the reduction temperature peak due to an increase in reduction kinetics [40,61], as shown in Figure 2, which also reports the mass loss measured through TG-DSC and the specific energy.
Looking at the specific energy associated with the main valley at 1000 °C, which is considered as a performance index of the iron recovery, it increased linearly up to 0.840 C/Fe2O3 ratio, which can be considered the most performing sample, and then the energy decreased, adding more carbon in the mixture. Indeed, the increased amount of blast furnace sludge implied an inevitable decrease in red mud. The excess of carbon totally reduced the iron oxides, but the reduced iron was small in amount, resulting in a weak endothermic valley [32]. The specific energy of 450 J g−1 for the 0.840 C/Fe2O3 confirmed the reducibility investigation performed in the previous study of Mombelli et al. [32], which highlighted how the use of the steelmaking waste is less energy demanding than a conventional reducing agent (800 J g−1 for the graphite [32]).
Contrary to the work of Mombelli et al. [32], which observed the highest mass loss in correspondence with a C/Fe2O3 ratio of 0.85 with graphite, in this work, the mass loss increased sharply between the 0.131 and 0.523 C/Fe2O3 ratios, after which the value remained almost constant. The 0.523 C/Fe2O3 ratio can be considered, as well as 0.840, a best reduction condition, because a lower amount of carbon would not allow the complete reduction of the available iron oxide, and further carbon would be unnecessary inside the mixture from a metallurgical point of view, acting as inert material [62]. The slightly higher mass loss of the mixture with the highest C/Fe2O3 ratio (1.000) was associated with the excess of carbon, which burned [62], and the greater amount of blast furnace sludge and its volatile matter. The increase in mass loss due to the volatilization of volatile matter was also supported by the higher mass loss of BFS than graphite, keeping the same C/Fe2O3 ratio (30 vs. 19 wt.%, considering 0.523 as the C/Fe2O3 ratio [32], respectively).
However, both of the selected C/Fe2O3 ratios (0.523 and 0.840) seem worthy of investigation. From one perspective, 0.523 should optimize the process from a practical point of view, i.e., by minimizing the drawbacks of carbon excess. From the other perspective, 0.840 should optimize the yield of the process, i.e., by increasing iron production, which is the revenue-generating product.
The differences in mass loss comparing this work with Mombelli et al. [32] highlighted how, despite the similar heat flow, thermogravimetry and first-order derivative of thermogravimetry (dTG) (Figure S1 and Figure S2, respectively), it is not possible to generalize the ideal C/Fe2O3 ratio, but it is necessary to perform a reducibility investigation for each new reducing agent.
A theoretical model based on the chemical composition of the red mud and the blast furnace sludge (Table 1 and Table 2, respectively) has been developed to compare the data obtained through the thermal analysis with the predicted total mass loss during the reduction of each C/Fe2O3 ratio. The computation assumed the loss of oxygen contained in all the reducible oxides up to SiO2, the direct reduction of hematite to iron and the loss of all carbon necessary for the reduction. For simplification, each oxide was considered not bonded with the other oxides. The comparison between the mass loss calculated through the theoretical model and the one obtained from the thermal analysis is shown in Figure 3.
Considering the 0.131 C/Fe2O3 ratio, the “TiO2 and SiO2 reduction” and the “TiO2, SiO2, alkali no reduction” cases gave a more similar mass loss to the experimental one, with an overestimation of 78.98% with respect to the other two cases. Despite the mixture with 0.262 C/Fe2O3 presenting a perfect match considering the “TiO2 and SiO2 reduction” case, the low temperature and the insufficient carbon should not allow their complete reduction from a theoretical point of view. Therefore, it was also reasonable to consider a partial reduction of alkali. By increasing the C/Fe2O3 ratio, the “alkali reduction” case better explained the experimental mass loss with an overestimation of 37.82, 16.58 and 6.01% for 0.523, 0.840 and 1.000 C/Fe2O3 ratios, respectively. However, the incomplete overlap between the experimental and theoretical mass loss suggested that a more complex series of phenomena was occurring, such as the generation of a liquid phase which filled the porosities and avoided the contact between the iron oxide and the reducing CO [63]. In addition, decreasing the carbon content, more slag was formed, affecting the final result [64].
Taking into account all the previously discussed aspects, the optimal yield for the reduction process were found to be 0.523 and 0.840 C/Fe2O3, as these provided the highest mass loss and the highest specific energy while requiring the lowest temperature to metallize the iron, respectively. Furthermore, 0.840 was an optimal ratio since the mass loss was not further increased by the high volatile matter content in the BFS, as was the case with 1.000 C/Fe2O3, and the excess carbon did not have a negative impact on reducibility.

3.2. Briquettes Characterization

According to the reducibility investigation, the ratio of 0.840 C/Fe2O3 was selected for briquetting the powders. The second mixture chosen was 0.523, as this corresponded to the initial point on the mass loss plateau, meaning there would be no excess carbon. Additionally, the higher concentration of red mud enabled a better understanding of its mechanical properties in agglomerate form.
The mixtures showed different appearances according to the preparation procedures, resulting in different briquette surface textures, independent of the C/Fe2O3 ratio used. The visual appearance of the uncured 0.523 C/Fe2O3 ratio briquettes, taken as most representative, is shown in Figure 4. The 1W mixture was very dry, and the resulting agglomerates showed large cracks along all their surface, appearing very fragile. A higher amount of moisture instead favored a better arrangement of particles during packing and increased the agglomeration efficiency [65]. In addition, increasing the amount of water, the workability and fluidity of the mixture improved, as in the case of cement [66,67]. Indeed, the 2W mixture appeared well mixed and satisfyingly wet. The briquettes were more compact and had no significant damage to their surface. However, an excessive viscosity of the fluid, as in the case of 3W, caused the formation of burrs around the briquettes and problems during the briquetting process, such as the spilling of water from the funnel.
The 0.523-1W briquettes failed and broke during the 15-day curing period due to the dryness of the agglomerate. The water used in this procedure interacted with the starch to allow its proper gelatinization, but the moisture was not properly absorbed by the red mud, affecting its mechanical resistance. Despite their fragile appearance, the 0.840-1W briquettes probably survived the curing process because the mixture required less water absorption due to the reduced amount of RM.
As shown in Figure 5, the mass of all surviving briquettes stabilized in a few days since the hygroscopicity of the RM favored the progressive absorption of the water released during the starch retrogradation [41]. Since the moisture in 1W was completely used for the gelatinization of starch, the mass loss of the briquettes was completely associated with the water released and not absorbed by the agglomerates during the binder retrogradation. The procedure of 2W instead caused a partial absorption of water by the red mud due to their direct interaction, and only the residual one was used for the starch gelatinization. The latter was probably incomplete, and it resulted in lower mass loss with respect to 1W due to partial binder retrogradation. The hypothesis that the mass loss of 1W and 2W was solely due to starch retrogradation was confirmed by the similarity of the curves, which showed greater loss during the first few days before stabilizing after five days. The 3W instead required nearly 7 days to stabilize, showing, however, a slight mass reduction in the following week. The higher mass loss of 3W (18.09% and 16.26% for 0.523 and 0.840, respectively) was due to the increased amount of water that had probably saturated the RM and was released during curing, in addition to that released during starch retrogradation.

3.2.1. Selection of Optimal Briquetting Process Based on Mechanical Characterization

The density of the cured briquettes, the results of the drop test and the UCS are reported in Table 5.
In both C/Fe2O3 ratios, the highest density was shown by the 2W briquettes. The balance between the amount of water required for starch gelatinization and the amount absorbed by the red mud led to better agglomeration conditions, resulting in the highest density. Indeed, the density improvement of 3% between 0.840-1W and 2W was given by the higher content of moisture, which favored the particle arrangement and deformation, leading to a better packing [68]. The excess of water in 3W was instead ejected, leading to a higher mass loss and consequently lower density (−8% than 0.840-1W).
All the briquettes survived to 10 drops except 0.840-1W, which did not exceed 2 drops, as imagined by the presence of cracks all along their surfaces. This result confirmed that the traditional method is not suitable for the agglomeration of RM since the briquettes 0.523-1W failed during the curing time, and 0.840-1W are not suitable to withstand their transport and management. Avoiding the interaction between red mud and free water, the workability is reduced and the mixture becomes stiffer, resulting in potential problems [67]. The survived mixtures instead showed similar results in terms of the drop test, which was hence not the discriminant mechanical test to select the best preparation method and choose the best C/Fe2O3 ratio. All the industrial benchmarks were indeed largely satisfied, considering a minimum number of 4 drops [69] and that the Italian standard for briquettes in industrial application is IRI of 97.7 [55], and the highest compression strength is 9.8 MPa in case of a converter [70]. However, a higher AIRI is shown in 3W for both C/Fe2O3 ratios (increase of about 10% and 12% for 0.523 and 0.840, respectively), highlighting a limited release of fine particles. On the contrary, increasing the amount of water, the UCS decreases because water weakens the bonding between mineral particles. When water infiltrates, pore pressure increases and friction between particles is reduced, making it easier for fractures to propagate under applied stress. Additionally, water can lead to the swelling of clay minerals and other constituents, further destabilizing the structure [71]. This evidence could be correlated with the relationship between UCS and water-cement ratio of a concrete structure [72]. The binding force of the agglomerate was given by the hydration of phases as calcium silicates since the H-bonds formed between the non-bridging oxygen and water are very strong [73]. However, the excessive water decreased the mechanical properties because it makes the hydrated phases more brittle [73]. Continuing a parallelism with cement, an elevated water/Ca ratio causes a shorter silicate chain, and the molecules of water significantly reduce the stiffness of the hydrated gel due to their partial replacement of Ca-O connections. In addition, an excess of water absorbed causes larger interlayer distances, resulting in lower Columbian attraction [73]. The combined effect of these processes significantly compromises the mechanical stability of the agglomerate, resulting in a decline in uniaxial compressive strength as water content increases [71].
If the same amount of binder is used in all the mixtures, its effect on the mechanical properties of the RM and BFS agglomerates can be neglected. The stability of the RM agglomeration indeed was more sensitive to the mechanical reinforcement of the raw material, in particular to the amount of water absorbed by the aluminum by-product. In order to agglomerate red mud, the better condition is, hence, directly adding a sufficient amount of water to complete the phase hydration and guarantee a satisfying workability of the mixture. As already demonstrated in previous work [48], the amount of water is fundamental to obtaining a good agglomeration, which results in the highest density and higher compression strength. The preparation conditions, the drop test results and UCSs calculated defined that the mixture with better mechanical properties was 0.840-2W.

3.2.2. Mechanical and Metallurgical Characterization of 0.840-2W Briquettes

The experimental campaign discussed before allowed the identification of the best mechanical properties for 0.840-2W briquettes. They were hence further characterized mechanically and metallurgically to provide more information about their suitability in industrial applications. In particular, metallurgical characterization determined the degree of reduction according to the temperature of the thermal treatment, while mechanical characterization provided information on the briquettes’ resistance. The optimization of both behaviors defines the best temperature to achieve a satisfactory iron oxide reduction and coalescence and obtain a relatively brittle agglomerate to favor the following magnetic separation.
The mechanical characterization of the pre-reduced briquettes is reported in Table 6.
To check the eventual effect of the drop test on the compressed agglomerates discussed in the previous section, the compression test was directly performed on cured briquettes, resulting in 17.925 MPa. The UCS was even lower than the value collected in the previous section, suggesting that the drop test did not influence the cold compression strength, but, on the contrary, the result was strongly affected by the heterogeneity of the samples. However, the variation lower than 10% was considered as an acceptable experimental error.
Increasing the tumbler’s rotation rate caused the AI to increase and the TI to slightly decrease (147% and −1% from 300 to 900 rotations, respectively). However, the AI and TI at 100 and 300 rotations were similar. The strongest variation occurred at 900 rotations due to the disintegration of the briquettes. Nevertheless, the AI and TI, as well as the release of particles smaller than 500 µm, were lower than 4 wt.%, guaranteeing the briquettes’ ability to withstand a high number of rotations, indicating high abrasion resistance. If they were chemically compatible, the briquettes would be suitable for use in Midrex processes, showing tumbler resistance of more than 85%, releasing less than 6% by weight of fines, and having a UCS of more than 15 MPa [74]. Considering the survival up to 7 drops and UCS higher than 0.2 MPa, the briquettes also largely exceed the requirements for the use of pellets in rotary heart furnaces [75].
The briquettes were then thermally treated at 700, 950, 1200 and 1450 °C. Looking at the appearance of the briquettes during the thermal treatments reported in Figure 6, no volume variation was shown until 950 °C. Further increasing the temperature, the negative swelling of −35.606 and −50.231% (1200 and 1450 °C, respectively) characterized the briquettes.
The degree of reduction of the briquettes at each temperature is reported in Table 7.
As predicted by the reducibility investigation in the previous section, the reduction at 700 °C was limited (~20%) because of only the incipient stage of the iron oxide reduction, but when increasing the temperature, the carbothermic reaction proceeded, leading to RD of ~94%.
A better reduction behavior (96%) was only obtained by reducing red mud with 200% excess petroleum coke at 1050 °C [76]. Not only could the different reducing agent affect the reduction capacity, with the coke being very reactive [77], but it is important to notice that the latter was performed for a longer time (2 h) instead of the 15 min of this work, increasing, hence, the energy demand of the process. A total of 98% of iron recovery was instead obtained by mixing RM with graphite and heating the mixture at 1750 °C [78]. This evidence suggested that RM probably requires a longer time and/or higher temperature to achieve the complete reduction of oxides. However, the chemical composition of the red mud also affects the reduction capability of the mixture, since a higher content of iron oxide allowed RM to have a metallization degree of 88% when reduced by semi-coke at 1100–1200 °C for 12–20 min [79].
Following the thermal treatments, the briquettes were subjected to mechanical characterization to determine the force required to disintegrate them, with the aim of facilitating magnetic separation. RDI and UCS on the reduced briquettes at each temperature are summarized in Table 8.
The compressive strength after thermal treatments depends only on the behavior of the briquettes during the thermal treatment, and it is not correlated with the green strength [80]. Indeed, despite the fact that at 700 °C no volume variation or significant chemical reactions happened (as indicated by the low RD reported in Table 7), the USC was reduced by about 75% compared to the cured briquette. This is due to the decomposition of the hydrated components at temperatures higher than 600 °C [81]. Both the abrasion and compressive resistances decreased drastically at 950 °C, indicating that this was the most critical temperature for briquette resistance. This latter is indeed the typical temperature associated with significant swelling [82] due to the popping of the particles during the transformation from the hexagonal structure of hematite to the isometric system of magnetite [83], which causes crack development and detachment of grains [80,82]. Although no significant volume variation was identified in treated 0.840-2W briquettes at 950 °C, the beginning of the carbothermic reaction causes large pores and micro-fracture, which decrease the mechanical strength [84]. The mechanical resistance then increased at 1200 °C due to the metallic iron formed, which strengthened the agglomerate [80], but slightly decreased when the temperature of the thermal treatment further increased to 1400 °C.

3.3. Discussion

Magnetic separation on as-collected red mud is not efficient because RM contains very fine hematite mixed intimately with other minerals [85]. It is common practice to partially reduce the mud to increase the sensitivity of the magnetic fraction to the magnetic field, also hoping for its coalescence [86]. To properly manage fine powders like red mud, an agglomeration-roasting process, as performed for iron ore fines, is advisable. However, the extreme fineness of red mud exacerbates one of the main drawbacks of a sinter strand, i.e., very fine particulate emissions [87]. For this reason, alternative agglomeration techniques like briquetting are more sustainable.
The mechanical characterization of the reduced briquettes identified 950 °C as the best temperature for achieving the lowest abrasion and compression resistance (80.651% and 0.449 MPa), with the latter necessary to easily disintegrate the agglomerate before applying a magnetic separation. However, this low temperature allowed only the partial reduction of iron oxide (DR of nearly 51%) as highlighted by the presence of residual magnetite and unconsumed carbon identified in the XRD pattern shown in Figure 7.
Contrary to iron, which is already magnetic, magnetite is ferromagnetic, and an additional step would be required for the correct separation of it from the reduced product. Indeed, it would necessitate a magnetic flocculation to magnetize the particles, which is carried out through the application of an external magnetic field after the suspension of the particles in auxiliary solutions [38]. The residual carbon instead hinders the grain growth of pure iron and leads to a further decrease in magnetic properties [88]. In addition, the fine iron particles obtained at low temperatures only allow a low recovery of iron after the magnetic separation [22,23], which is instead enhanced through thermal treatment between 1100 and 1550 °C [89]. The problem of the limited coalescence of the metallic iron was supported by Kapalari et al. [21], who found that particles coarser than 40 µm can be separated more efficiently through magnetic separation. Thus, the limited recovery of fine metallic iron obtained at 950 °C and the residual magnetite suggest that increasing the reduction temperature would result in higher mechanical resistance.
Therefore, temperatures higher than 1200 °C are required to initiate the solid-state growth of the iron particles [89].
Considering the magnetic separation of the reduced briquettes as the subsequent destination, the ideal thermal treatment condition is 1450 °C, achieving the highest metallization, showing the disappearance of magnetite and unconsumed carbon peaks (Figure 7), and requiring low pressure (5 MPa) to disintegrate them. The temperature is indeed not sufficient to favor the smelting of the briquettes, which only showed shrinkage, but limited the formation of the weakly magnetic wustite [90]. The bubbles formed on the surface, evident in the stereo-microscopy in Figure 8a, were slag (A and B in Figure 8b and Table 9), which started to liquefy, but not sufficiently to completely separate from the metallic iron. The latter instead formed small drops (D) bounded either with Si or Ti (E) inside the slag matrix (C). To induce the coalescence of the metallic iron and favor its separation from the slag, higher temperature and/or higher basicity would be required, as stated below and by Kar et al. [89], who, indeed, observed complete separation from slag and metal at temperatures exceeding 1500 °C.

4. Conclusions

After the reducibility investigation to define the best C/Fe2O3 ratio, briquettes made of red mud and blast furnace sludge are mechanically characterized before reduction thermal treatments to ensure their transportation and handling, and then mechanically and metallurgically characterized after the thermal treatments. The latter defines the ideal temperature for the following magnetic separation, balancing the best iron oxide reduction and low mechanical resistance. The main results are summarized as follows:
  • Comparing the mass loss, the reduction behavior and the specific energy obtained from the TG-DSC, the best C/Fe2O3 ratios are 0.523 and 0.840.
  • The agglomeration method with a 12:1 water/solid ratio is the best procedure to ensure the mechanical resistance of cured briquettes. If the water is used only for the starch gelatinization, the lack of hydrated phases in the RM causes the breakage of the agglomerate during the curing or after a few drops. Instead, when increasing the amount of water (18:1 as water/solid ratio), the mechanical performances of the agglomerate decrease due to lower density and a weakened mechanism.
  • The mixture that performed better as a cured briquette during the drop test, cold compression strength test and abrasion test is 0.840-2W; however, all the 2W and 3W mixtures largely satisfy the mechanical requirements imposed by the literature.
  • The ideal temperature for the thermal treatment to favor the following magnetic separation is 1450 °C with a maintenance time of 15 min. It allowed the highest degree of reduction and low abrasion and compression resistance, combining the better recovery of metallic iron with easy breakage of the agglomerate.

Supplementary Materials

The following supporting information can be downloaded at https://www.mdpi.com/article/10.3390/met15101108/s1. Figure S1: Heat flow and mass loss obtained from TG-DSC analysis for C/Fe2O3 ratio (a) 0.131, (b) 0.262, (c) 0.523, (d) 0.840 and (e) 1.000.; Figure S2: Heat flow derivative and mass loss obtained from TG-DSC analysis for C/Fe2O3 ratio (a) 0.131, (b) 0.262, (c) 0.523, (d) 0.840 and (e) 1.000.

Author Contributions

Conceptualization, S.S., G.D., A.T., D.M. and C.M.; methodology, A.T. and D.M.; validation, S.S., G.D., A.T., D.M. and C.M.; formal analysis, S.S., G.D., A.T. and D.M.; investigation, S.S., G.D., A.T. and D.M.; data curation, A.T. and D.M.; writing—original draft preparation, S.S. and D.M.; writing—review and editing, S.S., G.D. and D.M.; visualization, S.S.; supervision, C.M.; project administration, C.M. All authors have read and agreed to the published version of the manuscript.

Funding

This research received no external funding.

Data Availability Statement

The original contributions presented in this study are included in the article/Supplementary Material. Further inquiries can be directed to the corresponding author.

Conflicts of Interest

The authors declare no conflicts of interest.

Abbreviations

RMRed mud
BFSBlast furnace sludge
IRIImpact resistance index
AIRIAdjusted impact resistance index
TITumbler index
AIAbrasion index
RDDegree of reduction

References

  1. Available online: https://pubs.usgs.gov/of/2010/1256/pdf/ofr2010-1256..pdf (accessed on 10 September 2025).
  2. Ashkenazi, D. How Aluminum Changed the World: A Metallurgical Revolution through Technological and Cultural Perspectives. Technol. Forecast. Soc. Chang. 2019, 143, 101–113. [Google Scholar] [CrossRef]
  3. Khairul, M.A.; Zanganeh, J.; Moghtaderi, B. The Composition, Recycling and Utilisation of Bayer Red Mud. Resour. Conserv. Recycl. 2019, 141, 483–498. [Google Scholar] [CrossRef]
  4. Smith, P. The Processing of High Silica Bauxites—Review of Existing and Potential Processes. Hydrometallurgy 2009, 98, 162–176. [Google Scholar] [CrossRef]
  5. Brough, D.; Jouhara, H. The Aluminium Industry: A Review on State-of-the-Art Technologies, Environmental Impacts and Possibilities for Waste Heat Recovery. Int. J. Thermofluids 2020, 1–2, 100007. [Google Scholar] [CrossRef]
  6. Mohapatra, B.K.; Mishra, B.K.; Mishra, C.R. Investigation of Alumina Discharge into the Red Mud Pond at Nalco’s Alumina Refinery, Damanjodi, Orissa, India. In Light Metals 2011; Springer International Publishing: Cham, Switzerland, 2011; pp. 93–96. [Google Scholar]
  7. Klauber, C.; Gräfe, M.; Power, G. Bauxite Residue Issues: II. Options for Residue Utilization. Hydrometallurgy 2011, 108, 11–32. [Google Scholar] [CrossRef]
  8. Tsakiridis, P.E.; Agatzini-Leonardou, S.; Oustadakis, P. Red Mud Addition in the Raw Meal for the Production of Portland Cement Clinker. J. Hazard. Mater. 2004, 116, 103–110. [Google Scholar] [CrossRef]
  9. Jitsangiam, P.; Nikraz, H. Pozzolanic-Stabilised Mixture (PSM) for Red Sand as Road Base Materials. In Proceedings of the International Conference on the Role of Universities in Hands-On Education. Rajamangala University of Technology Lanna, Chiang-Mai, Thailand, 23–29 August 2009. [Google Scholar]
  10. Singh, M.; Upadhayay, S.N.; Prasad, P.M. Preparation of Iron Rich Cements Using Red Mud. Cem. Concr. Res. 1997, 27, 1037–1046. [Google Scholar] [CrossRef]
  11. Dimas, D.D.; Giannopoulou, I.P.; Panias, D. Utilization of Alumina Red Mud for Synthesis of Inorganic Polymeric Materials. Miner. Process. Extr. Metall. Rev. 2009, 30, 211–239. [Google Scholar] [CrossRef]
  12. Komnitsas, K.; Bartzas, G.; Paspaliaris, I. Efficiency of Limestone and Red Mud Barriers: Laboratory Column Studies. Miner. Eng. 2004, 17, 183–194. [Google Scholar] [CrossRef]
  13. Genç, H.; Tjell, J.C.; McConchie, D.; Schuiling, O. Adsorption of Arsenate from Water Using Neutralized Red Mud. J. Colloid. Interface Sci. 2003, 264, 327–334. [Google Scholar] [CrossRef]
  14. Genç-Fuhrman, H.; Mikkelsen, P.S.; Ledin, A. Simultaneous Removal of As, Cd, Cr, Cu, Ni and Zn from Stormwater: Experimental Comparison of 11 Different Sorbents. Water Res. 2007, 41, 591–602. [Google Scholar] [CrossRef]
  15. Jeremy, E.; Sanwani, E.; Chaerun, S.K.; Mubarok, M.Z. Exploring Bioflocculation: A Novel Approach for Iron Recovery from Red Mud—A Review. Miner. Process. Extr. Metall. Rev. 2025, 46, 415–435. [Google Scholar] [CrossRef]
  16. Muster, F. Rotschlamm: Reststoff Aus Der Aluminiumoxidproduktion—Ökologischer Rucksack Oder Input Für Produktionsprozesse? Kassel University Press GmbH: Kassel, Germany, 2007. [Google Scholar]
  17. CR3 Communication: Red Mud—A Resource or a Waste? JOM 2013, 65, 340–341. [CrossRef]
  18. Jamieson, E.; Jones, A.; Cooling, D.; Stockton, N. Magnetic Separation of Red Sand to Produce Value. Miner. Eng. 2006, 19, 1603–1605. [Google Scholar] [CrossRef]
  19. Cardenia, C.; Balomenos, E.; Panias, D. Iron Recovery from Bauxite Residue Through Reductive Roasting and Wet Magnetic Separation. J. Sustain. Metall. 2019, 5, 9–19. [Google Scholar] [CrossRef]
  20. Liu, Z.; Li, H. Metallurgical Process for Valuable Elements Recovery from Red Mud—A Review. Hydrometallurgy 2015, 155, 29–43. [Google Scholar] [CrossRef]
  21. Kapelari, S.; Gamaletsos, P.N.; Van Der Donck, T.; Pontikes, Y.; Blanpain, B. H2-Based Processes for Fe and Al Recovery from Bauxite Residue (Red Mud): Comparing the Options. Mater. Proc. 2021, 5, 45. [Google Scholar]
  22. Kar, M.K.; Hassanzadeh, A.; van der Eijk, C.; Kowalczuk, P.B.; Aasly, K.; Safarian, J. Properties of Self-Hardened CaO-Added Bauxite Residue Pellets, and Their Behavior in Hydrogen Reduction Followed by Leaching and Magnetic Separation for Iron and Alumina Recovery. Int. J. Hydrogen Energy 2023, 48, 38976–38990. [Google Scholar] [CrossRef]
  23. Hassanzadeh, A.; Kar, M.K.; Safarian, J.; Kowalczuk, P.B. An Investigation on Reduction of Calcium Added Bauxite Residue Pellets by Hydrogen and Iron Recovery through Physical Separation Methods. Metals 2023, 13, 946. [Google Scholar] [CrossRef]
  24. Raspopov, N.A.; Korneev, V.P.; Averin, V.V.; Lainer, Y.A.; Zinoveev, D.V.; Dyubanov, V.G. Reduction of Iron Oxides during the Pyrometallurgical Processing of Red Mud. Russ. Metall. (Met.) 2013, 2013, 33–37. [Google Scholar] [CrossRef]
  25. Liu, W.; Yang, J.; Xiao, B. Application of Bayer Red Mud for Iron Recovery and Building Material Production from Alumosilicate Residues. J. Hazard. Mater. 2009, 161, 474–478. [Google Scholar] [CrossRef]
  26. Li, X.; Xiao, W.; Liu, W.; Liu, G.; Peng, Z.; Zhou, Q.; Qi, T. Recovery of Alumina and Ferric Oxide from Bayer Red Mud Rich in Iron by Reduction Sintering. Trans. Nonferrous Met. Soc. China 2009, 19, 1342–1347. [Google Scholar] [CrossRef]
  27. Jayasankar, K.; Ray, P.K.; Chaubey, A.K.; Padhi, A.; Satapathy, B.K.; Mukherjee, P.S. Production of Pig Iron from Red Mud Waste Fines Using Thermal Plasma Technology. Int. J. Miner. Metall. Mater. 2012, 19, 679–684. [Google Scholar] [CrossRef]
  28. Mombelli, D.; Mapelli, C.; di Cecca, C.; Barella, S.; Gruttadauria, A. Riduzione Di Fanghi Rossi d’allumina Mediante Fanghi d’altoforno per La Produzione Di Ghisa. La Metall. Ital. 2016, 11, 23–41. [Google Scholar]
  29. Zhu, D.; Chun, T.; Pan, J.; He, Z. Recovery of Iron from High-Iron Red Mud by Reduction Roasting with Adding Sodium Salt. J. Iron Steel Res. Int. 2012, 19, 1–5. [Google Scholar] [CrossRef]
  30. Liu, W.; Sun, S.; Zhang, L.; Jahanshahi, S.; Yang, J. Experimental and Simulative Study on Phase Transformation in Bayer Red Mud Soda-Lime Roasting System and Recovery of Al, Na and Fe. Miner. Eng. 2012, 39, 213–218. [Google Scholar] [CrossRef]
  31. Rath, S.S.; Pany, A.; Jayasankar, K.; Mitra, A.K.; Kumar, C.S.; Mukherjee, P.S.; Mishra, B.K. Statistical Modeling Studies of Iron Recovery from Red Mud Using Thermal Plasma. Plasma Sci. Technol. 2013, 15, 459–464. [Google Scholar] [CrossRef]
  32. Mombelli, D.; Barella, S.; Gruttadauria, A.; Mapelli, C. Iron Recovery from Bauxite Tailings Red Mud by Thermal Reduction with Blast Furnace Sludge. Appl. Sci. 2019, 9, 4902. [Google Scholar] [CrossRef]
  33. Rai, S.; Nimje, M.T.; Chaddha, M.J.; Modak, S.; Rao, K.R.; Agnihotri, A. Recovery of Iron from Bauxite Residue Using Advanced Separation Techniques. Miner. Eng. 2019, 134, 222–231. [Google Scholar] [CrossRef]
  34. Chun, T. Recovery of Iron from Red Mud by High-Temperature Reduction of Carbon-Bearing Briquettes. J. S. Afr. Inst. Min. Metall. 2017, 117, 361–364. [Google Scholar] [CrossRef]
  35. Yu, H.; Liu, L.; Liu, M.; Zhang, H.; Mao, R. Waste Control by Waste: Recovering Iron from Red Mud with the Effect of Phosphogypsum-Included Additive. Resour. Conserv. Recycl. 2024, 206, 107641. [Google Scholar] [CrossRef]
  36. Chun, T.J.; Zhu, D.Q.; Pan, J.; He, Z. Preparation of Metallic Iron Powder from Red Mud by Sodium Salt Roasting and Magnetic Separation. Can. Metall. Q. 2014, 53, 183–189. [Google Scholar] [CrossRef]
  37. Li, G.; Liu, M.; Rao, M.; Jiang, T.; Zhuang, J.; Zhang, Y. Stepwise Extraction of Valuable Components from Red Mud Based on Reductive Roasting with Sodium Salts. J. Hazard. Mater. 2014, 280, 774–780. [Google Scholar] [CrossRef]
  38. Dworzanowski, M. Maximizing the Recovery of Fine Iron Ore Using Magnetic Separation. J. S. Afr. Inst. Min. Metall. 2012, 112, 197–202. [Google Scholar]
  39. Mombelli, D.; Gonçalves, D.L.; Mapelli, C.; Barella, S.; Gruttadauria, A. Processing and Characterization of Self-Reducing Briquettes Made of Jarosite and Blast Furnace Sludges. J. Sustain. Metall. 2021, 7, 1603–1626. [Google Scholar] [CrossRef]
  40. Mombelli, D.; Mapelli, C.; Barella, S.; Gruttadauria, A.; Spada, E. Jarosite Wastes Reduction through Blast Furnace Sludges for Cast Iron Production. J. Environ. Chem. Eng. 2019, 7, 102966. [Google Scholar] [CrossRef]
  41. Dall’Osto, G.; Mombelli, D.; Trombetta, V.; Mapelli, C. Effect of Particle Size and Starch Gelatinization on the Mechanical and Metallurgical Performance of Jarosite Plus Blast Furnace Sludge Self-Reducing Briquettes. J. Sustain. Met. 2024, 10, 759–774. [Google Scholar] [CrossRef]
  42. Takano, C.; Mourao, M.B. Self-Reducing Pellets for Ironmaking: Mechanical Behavior. Miner. Process. Extr. Metall. Rev. 2003, 24, 233–252. [Google Scholar] [CrossRef]
  43. Pang, L.; Yang, Y.; Wu, L.; Wang, F.; Meng, H. Effect of Particle Sizes on the Physical and Mechanical Properties of Briquettes. Energies 2019, 12, 3618. [Google Scholar] [CrossRef]
  44. Kotta, A.B.; Patra, A.; Kumar, M.; Karak, S.K. Effect of Molasses Binder on the Physical and Mechanical Properties of Iron Ore Pellets. Int. J. Miner. Metall. Mater. 2019, 26, 41–51. [Google Scholar] [CrossRef]
  45. Flores-Hernández, M.A.; González, I.R.; Lomelí-Ramírez, M.G.; Fuentes-Talavera, F.J.; Silva-Guzmán, J.A.; Cerpa-Gallegos, M.A.; García-Enríquez, S. Physical and Mechanical Properties of Wood Plastic Composites Polystyrene-White Oak Wood Flour. J. Compos. Mater. 2014, 48, 209–217. [Google Scholar] [CrossRef]
  46. Kozaev, A.A.; Khabibulin, E.E.; Khaidarov, B.B.; Suvorov, D.S.; Khaidarov, T.B.; Lysov, D.V.; Kuznetsov, D.V. Study of the Influence of the Binder Composition on the Mechanical Characteristics of Dust Briquettes from Electric Arc Furnace Production. Refract. Ind. Ceram. 2022, 62, 587–592. [Google Scholar] [CrossRef]
  47. Mombelli, D.; Di Cecca, C.; Mapelli, C.; Barella, S.; Bondi, E. Experimental Analysis on the Use of BF-Sludge for the Reduction of BOF-Powders to Direct Reduced Iron (DRI) Production. Process Saf. Environ. Prot. 2016, 102, 410–420. [Google Scholar] [CrossRef]
  48. Scolari, S.; Mombelli, D.; Dall’Osto, G.; Mapelli, C. Effect of Water-Powder Interaction on the Mechanical and Metallurgical Behavior of Integrated Steel Plant Byproducts Agglomerates. Particuology 2025, 105, 74–87. [Google Scholar] [CrossRef]
  49. Novembre, D.; Gimeno, D.; Pasculli, A.; Di Sabatino, B. Synthesis and Characterization of Sodalite Using Natural Kaolinite: An Analitical and Mathematical Approach to Simulate the Loss in Weight of Chlorine during the Synthesis Process. Fresenius Environ. Bull. 2010, 19, 1109–1117. [Google Scholar]
  50. Nayak, M.; Kutty, T.R.N. Luminescence of Fe3+ Doped NaAlSiO4 Prepared by Gel to Crystallite Conversion. Mater. Chem. Phys. 1998, 57, 138–146. [Google Scholar] [CrossRef]
  51. Available online: https://www.horiba.com/int/scientific/products/particle-characterization/particle-education/understanding-and-interpreting-particle-size-distribution-calculations/ (accessed on 15 May 2025).
  52. Available online: https://www.cif.iastate.edu/files/inline-files/Particle%20Characterization%20Guide.pdf (accessed on 29 August 2025).
  53. D440−07 (2019); Standard Title: Standard Test Method of Drop Shatter Test for Coal. ASTM International: West Conshohocken, PA, USA, 2019.
  54. Blesa, M.J.; Miranda, J.L.; Izquierdo, M.T.; Moliner, R. Curing Time Effect on Mechanical Strength of Smokeless Fuel Briquettes. Fuel Process. Technol. 2003, 80, 155–167. [Google Scholar] [CrossRef]
  55. Adu-Poku, K.A.; Appiah, D.; Asosega, K.A.; Derkyi, N.S.A.; Uba, F.; Kumi, E.N.; Akowuah, E.; Akolgo, G.A.; Gyamfi, D. Characterization of Fuel and Mechanical Properties of Charred Agricultural Wastes: Experimental and Statistical Studies. Energy Rep. 2022, 8, 4319–4331. [Google Scholar] [CrossRef]
  56. BS ISO 4700:2015; Iron Ore Pellets for Blast Furnace and Direct Reduction Feedstocks—Determination of the Crushing Strength. British Standards Institution (BSI): London, UK, 2015.
  57. BS ISO 3271:2015; Iron Ores for Blast Furnace and Direct Reduction Feedstocks—Determination of the Tumble and Abrasion Indices. BSI Standards Limited: London, UK, 2015.
  58. ISO 4696-2:2015; Iron Ores for Blast Furnace Feedstocks—Determination of Low-Temperature Reduction-Disintegration Indices by Static Method—Part 2: Reduction with CO and N2. International Organization for Standardization (ISO): Geneva, Switzerland, 2015.
  59. Menéndez, E.; Vega, L.; Andrade, C. Use of Decomposition of Portlandite in Concrete Fire as Indicator of Temperature Progression into the Material: Application to Fire-Affected Builds. J. Therm. Anal. Calorim. 2012, 110, 203–209. [Google Scholar] [CrossRef]
  60. Bilton, M.; Brown, A.P.; Milne, S.J. Investigating the Optimum Conditions for the Formation of Calcium Oxide, Used for CO2 Sequestration, by Thermal Decomposition of Calcium Acetate. In Proceedings of the Electron Microscopy and Analysis Group Conference 2011 (EMAG 2011), Birmingham, UK, 6–9 September 2011; Journal of Physics: Conference Series. Institute of Physics Publishing: Bristol, UK, 2012; Volume 371. [Google Scholar]
  61. Rao, Y.K. The Kinetics of Reduction of Hematite by Carbon. Met. Trans. 1971, 2, 1439–1447. [Google Scholar] [CrossRef]
  62. Dall’Osto, G.; Mombelli, D.; Scolari, S.; Mapelli, C. Iron Recovery from Waelz Slag through Biogenic Carbothermic Reduction. J. Phys. Conf. Ser. 2025, 3050, 012003. [Google Scholar] [CrossRef]
  63. Pan, W.; Ma, Z.J.; Zhao, Z.X.; Kim, W.H.; Min, D.J. Effect of Na2O on the Reduction of Fe2O3 Compacts with CO/CO2. Metall. Mater. Trans. B Process Metall. Mater. Process. Sci. 2012, 43, 1326–1337. [Google Scholar] [CrossRef]
  64. Nogueira, A.; Takano, C.; Mourão, M.; Pillihuaman, A. Effects of Reducer and Slag Concentrations in the Iron-Carbon Nuggets Coalescence in Self Reducing Processes. In 5th International Symposium on High-Temperature Metallurgical Processing; Wiley: Pittsburgh, PA, USA, 2014; pp. 247–254. [Google Scholar]
  65. Patil, D.P.; Taulbee, D.; Parekh, B.K.; Honaker, R. Briquetting of Coal Fines and Sawdust—Effect of Particle-Size Distribution. Int. J. Coal Prep. Util. 2009, 29, 251–264. [Google Scholar] [CrossRef]
  66. Hover, K.C. The Influence of Water on the Performance of Concrete. Constr. Build. Mater. 2011, 25, 3003–3013. [Google Scholar] [CrossRef]
  67. Mansor, A.M.; Borg, R.P.; M Hamed, A.M.; Gadeem, M.M.; Saeed, M.M. The Effects of Water-Cement Ratio and Chemical Admixtures on the Workability of Concrete. IOP Conf. Ser. Mater. Sci. Eng. 2018, 442, 012017. [Google Scholar] [CrossRef]
  68. Trinh, V.Q.; Nagy, S.; Csoke, B. Effect of Moisture Content and Particle Size on Beech Biomass Agglomeration. AAB Bioflux 2017, 9, 79–88. [Google Scholar]
  69. Seetharaman, S. Treatise on Process Metallurgy, Volume 3: Industrial Processes, 1st ed.; Elsevier: Amsterdam, The Netherlands, 2013. [Google Scholar]
  70. Barisetty, S.; Kalshetty, S.; Ramakrishna, S.; Vishwanath, S.C.; Balachandran, G. Cold Briquetting of DRI Fines for Use in Steel Making Process. Trans. Indian. Inst. Met. 2020, 73, 449–455. [Google Scholar] [CrossRef]
  71. AL-Bazali, T. The Impact of Water Content and Ionic Diffusion on the Uniaxial Compressive Strength of Shale. Egypt. J. Pet. 2013, 22, 249–260. [Google Scholar] [CrossRef]
  72. Bertolini, L.; Pedeferri, P. Tecnologia Dei Materiali: Leganti e Calcestruzzo; CittàStudiEdizioni: Milano, Italy, 2000. [Google Scholar]
  73. Hou, D.; Ma, H.; Zhu, Y.; Li, Z. Calcium Silicate Hydrate from Dry to Saturated State: Structure, Dynamics and Mechanical Properties. Acta Mater. 2014, 67, 81–94. [Google Scholar] [CrossRef]
  74. Chevrier, V. Direct from Midrex. Available online: https://www.midrex.com/direct-from-midrex/ (accessed on 29 August 2025).
  75. Han, H.; Duan, D.; Yuan, P. Exploration of Straw Fiber as Reducing Agent Utilization in Rotary Hearth Furnace Process for Direct Reduced Iron Production. Steel Res. Int. 2015, 86, 1361–1369. [Google Scholar] [CrossRef]
  76. Mishra, B.; Staley, A.; Kirkpatrick, D. Recovery of value-added products from red mud. Min. Metall. Explor. 2002, 19, 87–94. [Google Scholar] [CrossRef]
  77. Al-Shathr, A.; Al-Zaidi, B.Y.; Shehab, A.K.; Shakoor, Z.M.; Aal-Kaeb, S.; Gomez, L.Q.; Majdi, H.S.; Al-Shafei, E.N.; AbdulRazak, A.A.; McGregor, J. Experimental and Kinetic Studies of the Advantages of Coke Accumulation over Beta and Mordenite Catalysts According to the Pore Mouth Catalysis Hypothesis. Catal. Commun. 2023, 181, 106718. [Google Scholar] [CrossRef]
  78. Valeev, D.; Zinoveev, D.; Kondratiev, A.; Lubyanoi, D.; Pankratov, D. Reductive Smelting of Neutralized Red Mud for Iron Recovery and Produced Pig Iron for Heat-Resistant Castings. Metals 2020, 10, 32. [Google Scholar] [CrossRef]
  79. Ning, G.; Zhang, B.; Liu, C.; Li, S.; Ye, Y.; Jiang, M. Large-Scale Consumption and Zero-Waste Recycling Method of Red Mud in Steel Making Process. Minerals 2018, 8, 102. [Google Scholar] [CrossRef]
  80. Mantovani, M.C.; Takano, C.; Büchler, P.M. Electric Arc Furnace Dust-Coal Composite Pellet: Effects of Pellet Size, Dust Composition, and Additives on Swelling and Zinc Removal. Ironmak. Steelmak. 2002, 29, 257–265. [Google Scholar] [CrossRef]
  81. Mantovani, M.C.; Takano, C. The Strength and the High Temperature Behaviors of Self-Reducing Pellets Containing EAF Dust. ISIJ Int. 2000, 40, 224–230. [Google Scholar] [CrossRef]
  82. Singh, M.; Bjorkman, B. Effect of Reduction Conditions on the Swelling Behaviour of-Bonded Briquettes. ISIJ Int. 2004, 44, 294–303. [Google Scholar] [CrossRef]
  83. Song, W.; Luo, G.P.; Sun, C.C.; Zhang, J.; Zhu, J.G. Effect of K and Na on Reduction Swelling Performance of Oxidized Roasted Briquettes. High Temp. Mater. Process. 2021, 40, 241–252. [Google Scholar] [CrossRef]
  84. Saito, Y.; Mori, A.; Kudo, S.; Hayashi, J.I. Hot Strength of Coke Prepared by Briquetting and Carbonization of Lignite. ISIJ Int. 2022, 62, 2511–2515. [Google Scholar] [CrossRef]
  85. Wang, H.; Zhao, Y.; Lin, Z.; Shen, L. Efficient Separation of Iron and Alumina in Red Mud Using Reduction Roasting and Magnetic Separation. Min. Metall. Explor. 2024, 41, 1543–1552. [Google Scholar] [CrossRef]
  86. Suprapto, S.; Istiqomah, Z.; Santoso, E.; Dawam, A.A.; Prasetyoko, D. Alumina Extraction from Red Mud by Magnetic Separation. Indones. J. Chem. 2018, 18, 331. [Google Scholar] [CrossRef]
  87. Menad, N.; Tayibi, H.; Carcedo, F.G.; Hernández, A. Minimization Methods for Emissions Generated from Sinter Strands: A Review. J. Clean. Prod. 2006, 14, 740–747. [Google Scholar] [CrossRef]
  88. Liu, Z.; Zheng, L.; Liu, X.; Guo, X.; Dai, S. Study on the Influence of High Permeability Magnetic Iron on Energy Consumption Reduction in High Gradient Magnetic Separator. Miner. Eng. 2024, 219, 109064. [Google Scholar] [CrossRef]
  89. Kar, M.K.; Safarian, J. High-Temperature Heat Treatment of Hydrogen-Reduced Bauxite Residue-Calcite Pellets for Iron Particles Growth and Separation. Can. Metall. Q. 2025, 64, 731–744. [Google Scholar] [CrossRef]
  90. Yu, J.; Han, Y.; Li, Y.; Gao, P. Beneficiation of an Iron Ore Fines by Magnetization Roasting and Magnetic Separation. Int. J. Miner. Process 2017, 168, 102–108. [Google Scholar] [CrossRef]
Figure 1. X-Ray diffraction pattern of roasted red mud at 1000 °C (DB card: hematite 9014880; sodalite 9003329; perovskite 1542143; carnegieite 1010957; nepheline 9010480).
Figure 1. X-Ray diffraction pattern of roasted red mud at 1000 °C (DB card: hematite 9014880; sodalite 9003329; perovskite 1542143; carnegieite 1010957; nepheline 9010480).
Metals 15 01108 g001
Figure 2. TG-DSC results for each C/Fe2O3 ratio (TG-DSC measured mass loss expressed in wt.% [black line], peak temperature expressed in °C [red line] and specific energy expressed in J g−1 [blue line] calculated on the peak at 1000 °C).
Figure 2. TG-DSC results for each C/Fe2O3 ratio (TG-DSC measured mass loss expressed in wt.% [black line], peak temperature expressed in °C [red line] and specific energy expressed in J g−1 [blue line] calculated on the peak at 1000 °C).
Metals 15 01108 g002
Figure 3. Comparison between experimental and theoretical mass loss (expressed in wt.%) for each Fe2O3 ratio, considering different reduction cases: (1) alkali, TiO2 and SiO2 reduction; (2) alkali reduction; (3) TiO2 and SiO2 reduction and (4) TiO2, SiO2, alkali no reduction.
Figure 3. Comparison between experimental and theoretical mass loss (expressed in wt.%) for each Fe2O3 ratio, considering different reduction cases: (1) alkali, TiO2 and SiO2 reduction; (2) alkali reduction; (3) TiO2 and SiO2 reduction and (4) TiO2, SiO2, alkali no reduction.
Metals 15 01108 g003
Figure 4. Appearance of uncured briquettes (a) 0.523-1W, (b) 0.523-2W and (c) 0.523-3W.
Figure 4. Appearance of uncured briquettes (a) 0.523-1W, (b) 0.523-2W and (c) 0.523-3W.
Metals 15 01108 g004
Figure 5. Mass loss expressed in wt.% of briquettes during curing time.
Figure 5. Mass loss expressed in wt.% of briquettes during curing time.
Metals 15 01108 g005
Figure 6. Appearance of 0.840-2W briquettes after reduction at (a) 700 °C, (b) 950 °C, (c) 1200 °C and (d) 1450 °C.
Figure 6. Appearance of 0.840-2W briquettes after reduction at (a) 700 °C, (b) 950 °C, (c) 1200 °C and (d) 1450 °C.
Metals 15 01108 g006
Figure 7. X-Ray diffraction patterns of reduced briquettes at 950 and 1450 °C (DB card: iron 9003326; magnetite 9005842; graphite 9012230). The peaks not identified are slag such as gehlenite-akermanite (Ca2Al2SiO7-Ca2MgSi2O7) solid solution, oldhamite (CaS), perovskite (CaTiO3) and wustite (FeO). At 950 °C nephelite (NaAlSiO4) and sodalite (Na8(Al6Si6O24)Cl2) are also identified.
Figure 7. X-Ray diffraction patterns of reduced briquettes at 950 and 1450 °C (DB card: iron 9003326; magnetite 9005842; graphite 9012230). The peaks not identified are slag such as gehlenite-akermanite (Ca2Al2SiO7-Ca2MgSi2O7) solid solution, oldhamite (CaS), perovskite (CaTiO3) and wustite (FeO). At 950 °C nephelite (NaAlSiO4) and sodalite (Na8(Al6Si6O24)Cl2) are also identified.
Metals 15 01108 g007
Figure 8. (a) Stereo microscopy of reduced 0.840-2W at 1450 °C and (b) SEM image of the 0.840-2W briquette reduced at 1450 °C.
Figure 8. (a) Stereo microscopy of reduced 0.840-2W at 1450 °C and (b) SEM image of the 0.840-2W briquette reduced at 1450 °C.
Metals 15 01108 g008
Table 1. Chemical composition of dried and roasted red mud expressed in wt.%.
Table 1. Chemical composition of dried and roasted red mud expressed in wt.%.
wt.%Fe2O3Al2O3SiO2Na2O + K2OTiO2CaOClOthers 1LOI
Dried23.7321.1412.6710.905.844.700.341.0717.45
Roasted26.7727.6814.5916.616.535.950.461.410.00
1 ZrO2, MgO, P2O5, MnO, SO3, V2O5, Cr2O3, Er2O3 and PbO.
Table 2. Chemical composition of blast furnace sludge expressed in wt.%.
Table 2. Chemical composition of blast furnace sludge expressed in wt.%.
CFe2O3ZnOSiO2Na2OSCaOAl2O3Others 2
wt.%48.9030.292.088.091.160.643.602.622.62
2 As2O5, BaO, CuO, SnO, NiO, PbO, MnO, MgO, K2O and TiO2.
Table 3. Chemical composition of lime expressed in wt.%.
Table 3. Chemical composition of lime expressed in wt.%.
CaOMgOSO3Others 3
wt.%96.780.460.152.01
3 Fe2O3, SiO2 and Al2O3.
Table 4. Diameter percentile (D10, D50 and D90), Brouckere diameter (D4.3), Sauter diameter (D3.2), mean mathematical diameter (Dm) and respective standard deviation (STD) and the relative standard deviation (RSD) of sieved fraction of roasted red mud and blast furnace sludge.
Table 4. Diameter percentile (D10, D50 and D90), Brouckere diameter (D4.3), Sauter diameter (D3.2), mean mathematical diameter (Dm) and respective standard deviation (STD) and the relative standard deviation (RSD) of sieved fraction of roasted red mud and blast furnace sludge.
SampleD10 [µm]D50 [µm]D90 [µm]D4.3 [µm]D3.2 [µm]Dm [µm]STD [µm]RSD [%]
Red Mud10.0132.23104.4030.4117.677.224.9067.91
BF sludge13.4840.4577.0343.4527.779.127.6083.31
Table 5. Density, drop test and compression test results [* compression test performed on briquettes previously dropped, hence “-“ means failed after drop test. “Failed” means a disintegrated agglomerate just after briquetting.].
Table 5. Density, drop test and compression test results [* compression test performed on briquettes previously dropped, hence “-“ means failed after drop test. “Failed” means a disintegrated agglomerate just after briquetting.].
SampleDensity [g/cm−3]s [%]IRIAIRIUCS [MPa] *
0.523-1WFailedFailedFailedFailedFailed
0.523-2W1.81 ± 0.0298.95 ± 0.401000 ± 0.00893.52 ± 12.2916.670 ± 2.93
0.523-3W1.70 ± 0.1199.49 ± 0.421000 ± 0.00986.51 ± 13.7813.972 ± 2.12
0.840-1W1.73 ± 0.0282.18 ± 16.2866.67 ± 28.8729.08 ± 27.78-
0.840-2W1.79 ± 0.0199.02 ± 0.231000 ± 0.00890.9 ± 29.5919.210 ± 0.47
0.840-3W1.59 ± 0.0397.22 ± 2.061000 ± 0.00897.90 ± 62.2910.229 ± 0.67
Table 6. Cold compression and abrasive test results of cured 0.840-2W briquettes.
Table 6. Cold compression and abrasive test results of cured 0.840-2W briquettes.
UCS [MPa]Rotation [rpm]Abrasion Index [%]Tumbler Index [%]
17.925 ± 2.351000.657 ± 0.3299.197 ± 0.39
3000.546 ± 0.1299.381 ± 0.09
9001.624 ± 0.5798.184 ± 0.88
Table 7. Degree of reduction of 0.840-2W briquettes at 700, 950, 1200 and 1450 °C.
Table 7. Degree of reduction of 0.840-2W briquettes at 700, 950, 1200 and 1450 °C.
RD @700 °C [%]RD @950 °C [%]RD @1200 °C [%]RD @1450 °C [%]
20.42050.82567.54293.818
Table 8. Abrasion test and cold compression test of 0.840-2W briquettes after thermal treatments at 700, 950, 1200 and 1450 °C.
Table 8. Abrasion test and cold compression test of 0.840-2W briquettes after thermal treatments at 700, 950, 1200 and 1450 °C.
700 °C950 °C1200 °C1450 °C
RDI-22.0 [%]36.84180.6518.46215.037
UCS [MPa]4.2160.4497.4425.050
Table 9. SEM-EDS of reduced 0.840-2W at 1450 °C, expressed in wt.% (“-“ means not detected).
Table 9. SEM-EDS of reduced 0.840-2W at 1450 °C, expressed in wt.% (“-“ means not detected).
SpectrumMgAlSiSCaFeTi
A7.4416.291.88-0.671.5149.74
B3.5510.142.14-7.521.5064.14
C-1.323.6918.5222.0817.2726.76
D-0.7416.29--81.760.68
E--0.90-1.5891.506.02
Disclaimer/Publisher’s Note: The statements, opinions and data contained in all publications are solely those of the individual author(s) and contributor(s) and not of MDPI and/or the editor(s). MDPI and/or the editor(s) disclaim responsibility for any injury to people or property resulting from any ideas, methods, instructions or products referred to in the content.

Share and Cite

MDPI and ACS Style

Scolari, S.; Dall’Osto, G.; Tuveri, A.; Mombelli, D.; Mapelli, C. Optimization of Red Mud and Blast Furnace Sludge Self-Reducing Briquettes Propaedeutic for Subsequent Magnetic Separation. Metals 2025, 15, 1108. https://doi.org/10.3390/met15101108

AMA Style

Scolari S, Dall’Osto G, Tuveri A, Mombelli D, Mapelli C. Optimization of Red Mud and Blast Furnace Sludge Self-Reducing Briquettes Propaedeutic for Subsequent Magnetic Separation. Metals. 2025; 15(10):1108. https://doi.org/10.3390/met15101108

Chicago/Turabian Style

Scolari, Sara, Gianluca Dall’Osto, Alberto Tuveri, Davide Mombelli, and Carlo Mapelli. 2025. "Optimization of Red Mud and Blast Furnace Sludge Self-Reducing Briquettes Propaedeutic for Subsequent Magnetic Separation" Metals 15, no. 10: 1108. https://doi.org/10.3390/met15101108

APA Style

Scolari, S., Dall’Osto, G., Tuveri, A., Mombelli, D., & Mapelli, C. (2025). Optimization of Red Mud and Blast Furnace Sludge Self-Reducing Briquettes Propaedeutic for Subsequent Magnetic Separation. Metals, 15(10), 1108. https://doi.org/10.3390/met15101108

Note that from the first issue of 2016, this journal uses article numbers instead of page numbers. See further details here.

Article Metrics

Back to TopTop