Prediction of Final Phosphorus Content of Steel in a Scrap-Based Electric Arc Furnace Using Artificial Neural Networks
Abstract
1. Introduction
2. Analysis of Scrap-Based EAF
2.1. Description of EAF Process
2.2. Phosphorous Removal
2.3. Factors Influencing Phosphorus Removal
3. Prediction of Endpoint Phosphorus Content in Steel
3.1. Machine Learning Algorithms
3.1.1. Random Forest
3.1.2. Support Vector Machine
3.1.3. Artificial Neural Network
Establishment of Artificial Neural Network Models
3.2. Data Treatment
3.2.1. Data Collection
3.2.2. Data Cleaning
3.2.3. Correlation Analysis and Normalization
Correlation Analysis
Data Normalization
3.3. Model Evaluation
4. Results and Discussion
4.1. Hyperparameter Optimization of ANN
4.2. Comparison of the ANN Models with Other Models
5. Conclusions
- Strong correlations with the endpoint phosphorus content of steel were found for Cr and S contents in scrap, injected oxygen, and process duration (p-value < 0.01). Intermediate correlations were observed for scrap weight, Mn content in scrap, and injected lime (0.01 < p-value < 0.05). Weaker correlations were noted for energy consumption, deslagging temperature, C and Si contents in scrap, and tapping temperature (p-value > 0.05).
- Machine learning models, such as SVM-RBF and RF, did not yield satisfactory results in terms of phosphorus prediction accuracy. Several ANN models with different architectures were tested, and the best model consisted of four hidden layers and 448 neurons. This model was trained for 500 epochs with batches of 50 samples, and implemented using the TensorFlow library. Hyperparameters were carefully tuned to maximize performance, employing the Adam optimizer for adaptive learning rate adjustments and the sigmoid activation function to introduce non-linearity in each neuron.
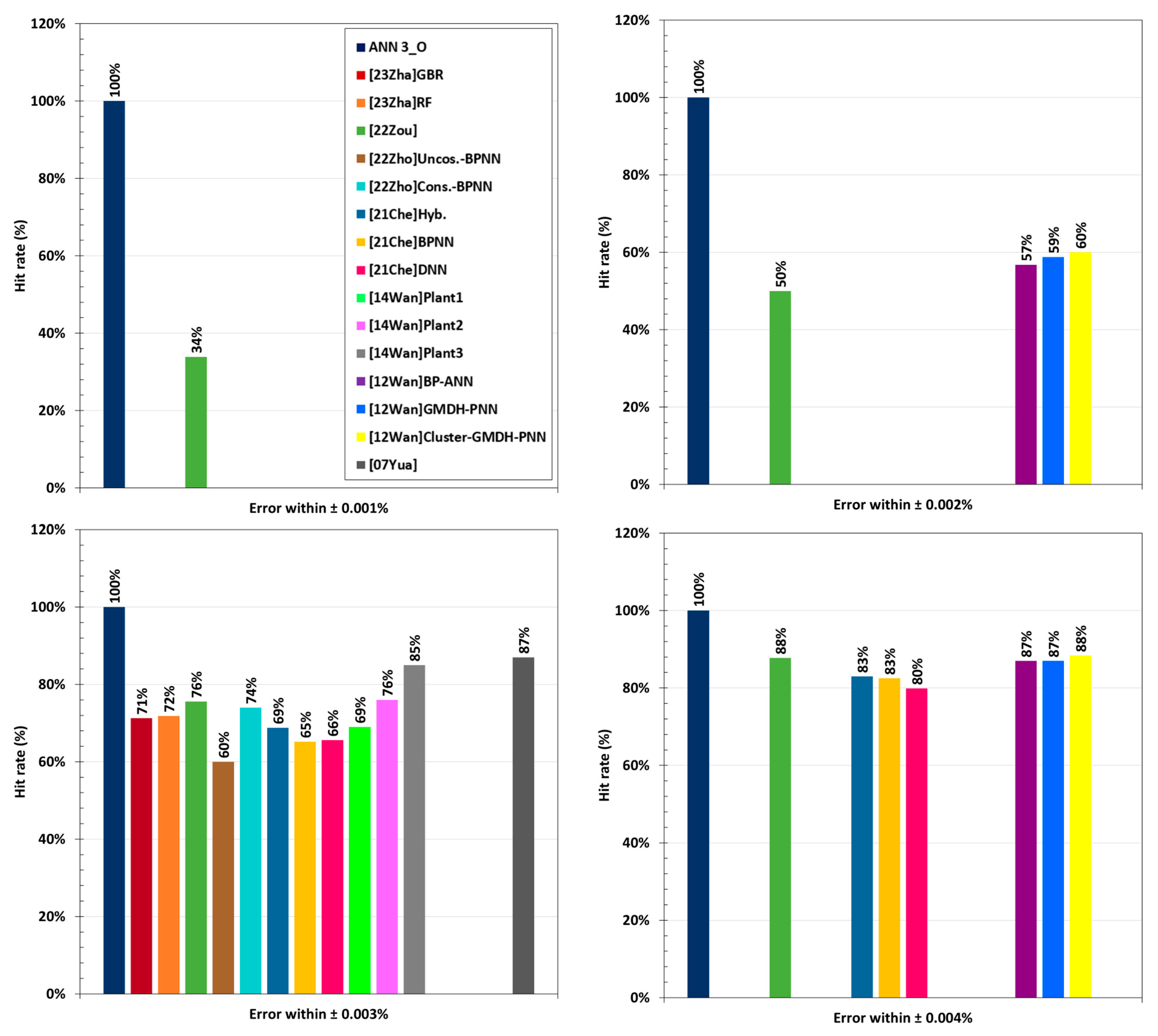
- The optimized ANN model achieved higher performance compared to similar models reported in the literature, with a root mean square error (RMSE) of 0.004999, a mean squared error (MSE) of 0.000016, a correlation coefficient (r) of 0.9998, and a coefficient of determination (R2) of 0.9996. Additionally, it demonstrated a very good hit rate of 100% for predicting endpoint phosphorus content within ±0.001 wt% in steel (when tested on over 200 unseen data points). These results confirm that, even with a limited dataset (1005), an optimized ANN architecture combined with proper input data selection, such as scrap composition, can deliver accurate and reliable predictions of the phosphorus content in steel during the EAF process.
Author Contributions
Funding
Data Availability Statement
Acknowledgments
Conflicts of Interest
Appendix A
References
- Abadi, M.M.; Tang, H.; Rashidi, M.M. A Review of Simulation and Numerical Modeling of Electric Arc Furnace (EAF) and its Processes. Heliyon 2024, 10, e32157. [Google Scholar] [CrossRef]
- Kildahl, H.; Wang, L.; Tong, L.; Ding, Y. Cost effective decarbonisation of blast furnace–basic oxygen furnace steel production through thermochemical sector coupling. J. Clean. Prod. 2023, 389, 135963. [Google Scholar] [CrossRef]
- WorldSteelAssociation. Maximising Scrap Use Helps Reduce CO2 Emissions. Raw Materials 2024. Available online: https://worldsteel.org/steel-topics/raw-materials/ (accessed on 1 September 2024).
- Heo, J.H.; Park, J.H. Effect of Slag Composition on Dephosphorization and Foamability in the Electric Arc Furnace Steelmaking Process: Improvement of Plant Operation. Metall. Mater. Trans. B 2021, 52, 3613–3623. [Google Scholar] [CrossRef]
- Lin, W.; Jiao, S.; Zhou, K.; Sun, J.; Feng, X.; Liu, Q. A review of multi-phase slag refining for dephosphorization in the steelmaking process. Front. Mater. 2020, 7, 602522. [Google Scholar] [CrossRef]
- Rodrigues, C.; Bandeira, R.; Duarte, B.; Tremiliosi-Filho, G.; Jorge, A.M., Jr. Effect of phosphorus content on the mechanical, microstructure and corrosion properties of supermartensitic stainless steel. Mater. Sci. Eng. A 2016, 650, 75–83. [Google Scholar] [CrossRef]
- Holappa, L.; Nava, A.C. Secondary steelmaking. In Treatise on Process Metallurgy; Elsevier: Amsterdam, The Netherlands, 2024; pp. 267–301. [Google Scholar]
- Menard, P. Finkl Steel Sorel, Saint-Joseph-de-Sorel, QC, Canada. Personal Communication, 2023.
- Compañero, R.J.; Feldmann, A.; Tilliander, A. Circular steel: How information and actor incentives impact the recyclability of scrap. J. Sustain. Metall. 2021, 7, 1654–1670. [Google Scholar] [CrossRef]
- Anameric, B.; Rohaus, D.; Riebeiro, T.R. Ironmaking. In SME Mineral Processing & Extractive Metallurgy Handbook; Dunne, R.C., Kawatra, S.K., Young, C.A., Eds.; Society for Mining, Metallurgy, and Exploration (SME): Englewood, CO, USA, 2019; pp. 1781–1796. [Google Scholar]
- Ripke, S.J.; Poveromo, J.; Battle, T.P.; Al, E. Iron ore beneficiation. In SME Mineral Processing & Extractive Metallurgy Handbook; Dunne, R.C., Kawatra, S.K., Young, C.A., Eds.; Society for Mining, Metallurgy, and Exploration (SME): Englewood, CO, USA, 2019; pp. 1755–1779. [Google Scholar]
- Suito, H.; Inoue, R.; Takada, M. Phosphorus distribution between liquid iron and MgO saturated slags of the system CaO-MgO-FeOx-SiO2. Tetsu-to-Hagané 1981, 67, 2645–2654. [Google Scholar] [CrossRef]
- Suito, H.; Inoue, R. Effect of calcium fluoride on phosphorus distribution between MgO-saturated slags of the system CaO-MgO-FeOx-SiO2 and liquid iron. Tetsu-to-Hagané 1982, 68, 1541–1550. [Google Scholar] [CrossRef] [PubMed]
- Suito, H.; Inoue, R. Effects of Na2O and BaO additions on phosphorus distribution between CaO-MgO-FetO-SiO2-slags and liquid iron. Trans. Iron Steel Inst. Jpn. 1984, 24, 47–53. [Google Scholar] [CrossRef]
- Nakamura, S.; Tsukihashi, F.; Sano, N. Phosphorus partition between CaOsatd.-BaO-SiO2-FetO slags and liquid iron at 1873 K. ISIJ Int. 1993, 33, 53–58. [Google Scholar] [CrossRef]
- Ostrovski, O.I.; Utochkin, Y.I.; Pavlov, A.V.; Akberdin, R.A. Phosphate Capacity of the CaO-CaF2 System Containing Chromium Oxide. ISIJ Int. 1994, 34, 849–851. [Google Scholar] [CrossRef]
- Im, J.; Morita, K.; Sano, N. Phosphorus distribution ratios between CaO-SiO2-FetO slags and carbon-saturated iron at 1573 K. ISIJ Int. 1996, 36, 517–521. [Google Scholar] [CrossRef]
- Katsuki, J.-i.; Yashima, Y.; Yamauchi, T.; Hasegawa, M. Removal of P and Cr by oxidation refining of Fe-36% Ni melt. ISIJ Int. 1996, 36, S73–S76. [Google Scholar] [CrossRef] [PubMed]
- Hamano, T.; Tsukihashi, F. The Effect of B2O3 on Dephosphorization of Molten Steel by FeOx-CaO-MgOsatd.-SiO2 Slags at 1873K. ISIJ Int. 2005, 45, 159–165. [Google Scholar] [CrossRef][Green Version]
- Lee, C.; Fruehan, R. Phosphorus equilibrium between hot metal and slag. Ironmak. Steelmak. 2005, 32, 503–508. [Google Scholar] [CrossRef]
- Li, G.; Hamano, T.; Tsukihashi, F. The effect of Na2O and Al2O3 on dephosphorization of molten steel by high basicity MgO saturated CaO-FeOx-SiO2 slag. ISIJ Int. 2005, 45, 12–18. [Google Scholar] [CrossRef]
- Basu, S.; Lahiri, A.K.; Seetharaman, S. Phosphorus partition between liquid steel and CaO-SiO2-P2O5-MgO slag containing low FeO. Metall. Mater. Trans. B 2007, 38, 357–366. [Google Scholar] [CrossRef]
- Cho, M.K.; Park, J.H.; Min, D.J. Phosphate Capacity of CaO–SiO2–MnO–FeO Slag Saturated with MgO. ISIJ Int. 2010, 50, 324–326. [Google Scholar] [CrossRef]
- Li, F.; Li, X.; Yang, S.; Zhang, Y. Distribution ratios of phosphorus between CaO-FeO-SiO2-Al2O3/Na2O/TiO2 slags and carbon-saturated iron. Metall. Mater. Trans. B 2017, 48, 2367–2378. [Google Scholar] [CrossRef]
- Drain, P.B.; Monaghan, B.J.; Longbottom, R.J.; Chapman, M.W.; Zhang, G.; Chew, S.J. Phosphorus partition and phosphate capacity of basic oxygen steelmaking slags. ISIJ Int. 2018, 58, 1965–1971. [Google Scholar] [CrossRef]
- Heo, J.H.; Park, J.H. Effect of direct reduced iron (DRI) on dephosphorization of molten steel by electric arc furnace slag. Metall. Mater. Trans. B 2018, 49, 3381–3389. [Google Scholar] [CrossRef]
- Frueham, R.J. AISI/DOE Technology Roadmap Program: Behavior of Phosphorus in DRI/HBI During Electric Furnace Steelmaking; American Iron and Steel Institute (US): Pittsburgh, PA, USA, 2001. [Google Scholar]
- Lee, M.; Trotter, D.; Mazzei, O. The production of low phosphorus and nitrogen steels in an EAF using HBI. Scand. J. Metall. 2008, 30, 286–291. [Google Scholar] [CrossRef]
- Hassan, A.; Kotelnikov, G.; Semin, A.; Megahed, G. Phosphorous behavior in Electric Arc Furnace steelmaking with the melting of high phosphorous content direct reduced iron. In Proceedings of the METAL 2015-24th International Conference on Metallurgy and Materials, Conference Proceedings, Brno, Czech Republic, 3–5 June 2015. [Google Scholar]
- Odenthal, H.J.; Kemminger, A.; Krause, F.; Sankowski, L.; Uebber, N.; Vogl, N. Review on modeling and simulation of the electric arc furnace (EAF). Steel Res. Int. 2018, 89, 1700098. [Google Scholar] [CrossRef]
- Ek, M.; Shu, Q.; van Boggelen, J.; Sichen, D. New approach towards dynamic modelling of dephosphorisation in converter process. Ironmak. Steelmak. 2012, 39, 77–84. [Google Scholar] [CrossRef]
- Hay, T.; Visuri, V.-V.; Aula, M.; Echterhof, T. A review of mathematical process models for the electric arc furnace process. Steel Res. Int. 2021, 92, 2000395. [Google Scholar] [CrossRef]
- Tao, J.; Qian, W. Intelligent Method For BOF Endpoint [P]&[Mn] Estimation. In Proceedings of the 2006 6th World Congress on Intelligent Control and Automation, Dalian, China, 21–23 June 2003. [Google Scholar]
- Yuan, P.; Mao, Z.-Z.; Wang, F.-L. Endpoint prediction of EAF based on multiple support vector machines. J. Iron Steel Res. Int. 2007, 14, 20–24. [Google Scholar] [CrossRef]
- Zhaoyi, L.; Zhi, X.; Hongji, M. Prediction model of end-point phosphorous in converter based on cluster analysis and gray theory. In Proceedings of the 2008 7th World Congress on Intelligent Control and Automation, Chongqing, China, 25–27 June 2008. [Google Scholar]
- Wang, H.-B.; Xu, A.-J.; Ai, L.-X.; Tian, N.-Y. Prediction of endpoint phosphorus content of molten steel in BOF using weighted K-means and GMDH neural network. J. Iron Steel Res. Int. 2012, 19, 11–16. [Google Scholar] [CrossRef]
- Wang, R.; Zhang, B.; Hu, C.; Liu, C.; Jiang, M. Modeling Study of Metallurgical Slag Foaming via Dimensional Analysis. Metall. Mater. Trans. B 2021, 52, 1805–1817. [Google Scholar] [CrossRef]
- Qiu, D.; Fu, Y.-Y.; Zhang, N.; Zhao, C.-X. Research on relationship model of dephosphorization efficiency and slag basicity based on support vector machine. In Proceedings of the 2013 International Conference on Mechanical and Automation Engineering, Jiujang, China, 21–23 July 2013. [Google Scholar]
- Liu, H.; Wang, B.; Xiong, X. Basic oxygen furnace steelmaking end-point prediction based on computer vision and general regression neural network. Optik 2014, 125, 5241–5248. [Google Scholar] [CrossRef]
- Laha, D.; Ren, Y.; Suganthan, P.N. Modeling of steelmaking process with effective machine learning techniques. Expert Syst. Appl. 2015, 42, 4687–4696. [Google Scholar] [CrossRef]
- He, F.; Zhang, L. Prediction model of end-point phosphorus content in BOF steelmaking process based on PCA and BP neural network. J. Process Control 2018, 66, 51–58. [Google Scholar] [CrossRef]
- Elkoumy, M.M.; Fathy, A.M.; Megahed, G.M.; El-Mahallawi, I.; Ahmed, H.; El-Anwar, M. Empirical Model for Predicting Process Parameters during Electric Arc Furnace Refining Stage Based on Real Measurements. Steel Res. Int. 2019, 90, 1900208. [Google Scholar] [CrossRef]
- Chang, S.; Zhao, C.; Li, Y.; Zhou, M.; Fu, C.; Qiao, H. Multi-channel graph convolutional network based end-point element composition prediction of converter steelmaking. IFAC-PapersOnLine 2021, 54, 152–157. [Google Scholar] [CrossRef]
- Chen, C.; Wang, N.; Chen, M. Optimization of dephosphorization parameter in consteel electric arc furnace using rule set model. Steel Res. Int. 2021, 92, 2000719. [Google Scholar] [CrossRef]
- Klimas, M.; Grabowski, D. Application of shallow neural networks in electric arc furnace modeling. IEEE Trans. Ind. Appl. 2022, 58, 6814–6823. [Google Scholar] [CrossRef]
- Zhang, R.; Yang, J.; Wu, S.; Sun, H.; Yang, W. Comparison of the Prediction of BOF End-Point Phosphorus Content Among Machine Learning Models and Metallurgical Mechanism Model. Steel Res. Int. 2023, 94, 2200682. [Google Scholar] [CrossRef]
- Zou, Y.; Yang, L.; Li, B.; Yan, Z.; Li, Z.; Wang, S.; Guo, Y. Prediction Model of End-Point Phosphorus Content in EAF Steelmaking Based on BP Neural Network with Periodical Data Optimization. Metals 2022, 12, 1519. [Google Scholar] [CrossRef]
- Wang, R.; Mohanty, I.; Srivastava, A.; Roy, T.K.; Gupta, P.; Chattopadhyay, K. Hybrid method for endpoint prediction in a basic oxygen furnace. Metals 2022, 12, 801. [Google Scholar] [CrossRef]
- Tomažič, S.; Andonovski, G.; Škrjanc, I.; Logar, V. Data-driven modelling and optimization of energy consumption in EAF. Metals 2022, 12, 816. [Google Scholar] [CrossRef]
- Moosavi-Khoonsari, E.; Azzaz, R.; Hurel, V.; Jahazi, M.; Kahou, S.E. Controlling Minor Element Phosphorus in Green Electric Steelmaking Using Neural Networks. In Proceedings of the REWAS 2025 at TMS 2025 Annual Meeting & Exhibition (accepted), Las Vegas, NV, USA, 23–27 March 2025. [Google Scholar]
- Reinicke, A.; Engbrecht, T.-N.; Schüttensack, L.; Echterhof, T. Application of an Artificial Neural Network for Efficient Computation of Chemical Activities within an EAF Process Model. Metals 2024, 14, 736. [Google Scholar] [CrossRef]
- Zhou, K.-X.; Lin, W.-H.; Sun, J.-K.; Zhang, J.-S.; Zhang, D.-Z.; Feng, X.-M.; Liu, Q. Prediction model of end-point phosphorus content for BOF based on monotone-constrained BP neural network. J. Iron Steel Res. Int. 2022, 29, 751–760. [Google Scholar] [CrossRef]
- Nenchev, B.; Panwisawas, C.; Yang, X.; Fu, J.; Dong, Z.; Tao, Q.; Gebelin, J.-C.; Dunsmore, A.; Dong, H.; Li, M.; et al. Metallurgical data science for steel industry: A case study on basic oxygen furnace. Steel Res. Int. 2022, 93, 2100813. [Google Scholar] [CrossRef]
- Freuhan, J. The Making, Shaping and Treating of Steel 11th Edition—Steelmaking and Refining Volume; The AISE Steel Foundation: Pittsburgh, PA, USA, 1998. [Google Scholar]
- Maia, T.A.; Onofri, V.C. Survey on the electric arc furnace and ladle furnace electric system. Ironmak. Steelmak. 2022, 49, 976–994. [Google Scholar] [CrossRef]
- Singh, R. Applied Welding Engineering: Processes, Codes, and Standards; Butterworth-Heinemann: Oxford, UK, 2020; pp. 33–38. [Google Scholar]
- Rathaba, L.P. Model Fitting for Electric Arc Furnace Refining; University of Pretoria (South Africa): Pretoria, South Africa, 2004. [Google Scholar]
- Busa, N. Optimization of Steelmaking Processes in an Electric ARC Furnace; Purdue University: West Lafayette, IN, USA, 2023. [Google Scholar]
- Kadkhodabeigi, M.; Tveit, H.; Johansen, S.T. Modelling the tapping process in submerged arc furnaces used in high silicon alloys production. ISIJ Int. 2011, 51, 193–202. [Google Scholar] [CrossRef]
- Yang, X.-M.; Li, J.-Y.; Chai, G.-M.; Duan, D.-P.; Zhang, J. Critical evaluation of prediction models for phosphorus partition between CaO-based slags and iron-based melts during dephosphorization processes. Metall. Mater. Trans. B 2016, 47, 2302–2329. [Google Scholar] [CrossRef]
- Nakamura, T.; Ueda, Y.; Yanagase, T. Optical Basicities in Some Oxide-Halide Systems. ECS Proc. Vol. 1987, 1987, 382. [Google Scholar] [CrossRef]
- Nassaralla, C.; Fruehan, R. Phosphate capacity of CaO-AI2O3 slags containing CaF2, BaO, Li2O, or Na2O. Metall. Trans. B 1992, 23, 117–123. [Google Scholar] [CrossRef]
- Liu, Z.; Cheng, S.S.; Wang, L. Factors Influencing Dephosphorization of Low Carbon Steel in Converter. In Materials Science Forum; Trans Tech Publications: Stafa-Zurich, Switzerland, 2021. [Google Scholar]
- Oh, M.K.; Park, J.H. Effect of fluorspar on the interfacial reaction between electric arc furnace slag and magnesia refractory: Competitive corrosion-protection mechanism of magnesiowüstite layer. Ceram. Int. 2021, 47, 20387–20398. [Google Scholar] [CrossRef]
- Vieira, D.; Almeida, R.A.M.d.; Bielefeldt, W.V.; Vilela, A.C.F. Slag evaluation to reduce energy consumption and EAF electrical instability. Mater. Res. 2016, 19, 1127–1131. [Google Scholar] [CrossRef]
- Li, F.; Li, X.; Zhang, Y.; Gao, M. Phosphate Capacities of CaO–FeO–SiO2–Al2O3/Na2O/TiO2 Slags. High Temp. Mater. Process. 2019, 38, 50–59. [Google Scholar] [CrossRef]
- Wang, Z.; Xie, F.; Wang, B.; Liu, Q.; Lu, X.; Hu, L.; Cai, F. The Control and Prediction of End-Point Phosphorus Content during BOF Steelmaking Process. Steel Res. Int. 2014, 85, 599–606. [Google Scholar] [CrossRef]
- Probst, P.; Wright, M.N.; Boulesteix, A.L. Hyperparameters and tuning strategies for random forest. Wiley Interdiscip. Rev. Data Min. Knowl. Discov. 2019, 9, e1301. [Google Scholar] [CrossRef]
- Cervantes, J.; Garcia-Lamont, F.; Rodríguez-Mazahua, L.; Lopez, A. A comprehensive survey on support vector machine classification: Applications, challenges and trends. Neurocomputing 2020, 408, 189–215. [Google Scholar] [CrossRef]
- Roy, A.; Chakraborty, S. Support vector machine in structural reliability analysis: A review. Reliab. Eng. Syst. Saf. 2023, 233, 109126. [Google Scholar] [CrossRef]
- Scikit Learn. RBF SVM Parameters. Available online: https://scikit-learn.org/stable/auto_examples/svm/plot_rbf_parameters.html (accessed on 1 September 2024).
- IBM. What Is a Neural Network? Available online: https://www.ibm.com/topics/neural-networks#:~:text=Every%20neural%20network%20consists%20of,own%20associated%20weight%20and%20threshold (accessed on 1 September 2024).
- Raiaan, M.A.K.; Sakib, S.; Fahad, N.M.; Al Mamun, A.; Rahman, M.A.; Shatabda, S.; Mukta, M.S.H. A systematic review of hyperparameter optimization techniques in Convolutional Neural Networks. Decis. Anal. J. 2024, 11, 100470. [Google Scholar] [CrossRef]
- Bergstra, J.; Bengio, Y. Random search for hyper-parameter optimization. J. Mach. Learn. Res. 2012, 13, 281–305. [Google Scholar]
- Karbowniczek, M.; Kawecka-Cebula, E.; Reichel, J. Investigations of the dephosphorization of liquid iron solution containing chromium and nickel. Metall. Mater. Trans. B 2012, 43, 554–561. [Google Scholar] [CrossRef]
- Sigworth, G.K.; Elliott, J.F. The thermodynamics of liquid dilute iron alloys. Met. Sci. 1974, 8, 298–310. [Google Scholar] [CrossRef]
- Yang, D.; Zhang, F.; Wang, J.; Yan, Z.; Pei, G.; Qiu, G.; Lv, X. Effect of Cr2O3 content on viscosity and phase structure of chromium-containing high-titanium blast furnace slag. J. Mater. Res. Technol. 2020, 9, 14673–14681. [Google Scholar] [CrossRef]
- Ma, S.; Li, K.; Zhang, J.; Jiang, C.; Bi, Z.; Sun, M.; Wang, Z. Effect of MnO content on slag structure and properties under different basicity conditions: A molecular dynamics study. J. Mol. Liq. 2021, 336, 116304. [Google Scholar] [CrossRef]
- Kawa, Y.; Mayani, H. Effect of alloying elements on the activity of phosphorous in molten iron. Tetsu Hagane 1982, 68. [Google Scholar]
- Dovoedo, Y.; Chakraborti, S. Boxplot-based outlier detection for the location-scale family. Commun. Stat. Simul. Comput. 2015, 44, 1492–1513. [Google Scholar] [CrossRef]
- Ratnasingam, S.; Muñoz-Lopez, J. Distance correlation-based feature selection in random forest. Entropy 2023, 25, 1250. [Google Scholar] [CrossRef] [PubMed]
- Dahiru, T. P-value, a true test of statistical significance? A cautionary note. Ann. Ib. Postgrad. Med. 2008, 6, 21–26. [Google Scholar] [CrossRef] [PubMed]
- Samarasinghe, S. Neural Networks for Applied Sciences and Engineering: From Fundamentals to Complex Pattern Recognition; Auerbach Publications: Boca Raton, FL, USA, 2016. [Google Scholar]









| Variables | Description of Variables | Justification |
|---|---|---|
| x1 | Scrap weight | Main material of EAF (source of P) |
| x2 | C content in scrap | Elements in scrap affecting dephosphorization |
| x3 | Mn content in scrap | |
| x4 | Cr content in scrap | |
| x5 | Si content in scrap | |
| x6 | S content in scrap | |
| x7 | Injected oxygen | Oxidant |
| x8 | Injected lime | Dephosphorization agent |
| x9 | Energy consumption | Process parameters |
| x10 | Deslagging temperature | |
| x11 | Tapping temperature | |
| x12 | Process duration |
| Feature Category | Feature | Min Value | Max Value | Mean | STD * |
|---|---|---|---|---|---|
| Endpoint | P content in steel (wt%) | 0.003 | 0.018 | 0.010 | 0.003 |
| Scrap key composition | C content in scrap (wt%) | 0.06 | 0.34 | 0.27 | 0.05 |
| Mn content in scrap (wt%) | 0.58 | 3.58 | 0.80 | 0.10 | |
| Cr content in scrap (wt%) | 0.11 | 1.88 | 0.75 | 0.26 | |
| Si content in scrap (wt%) | 0.13 | 0.79 | 0.23 | 0.04 | |
| S content in scrap (wt%) | 0.004 | 0.080 | 0.013 | 0.003 | |
| Process parameters | Injected oxygen (m3) | 77.87 | 289.97 | 179.05 | 29.96 |
| Injected lime (kg) | 975 | 1950 | 1048 | 256 | |
| Energy consumption (kWh) | 18,008 | 23,398 | 20,702 | 941 | |
| Deslagging temperature (°C) | 1518 | 1682 | 1600 | 55 | |
| Tapping temperature (°C) | 1609 | 1696 | 1652 | 27 | |
| Scrap weight (kg) | 41,340 | 43,708 | 42,673 | 783 | |
| Process duration (min) | 103 | 711 | 143 | 45 |
| Input Parameters | r | p-Value |
|---|---|---|
| Scrap weight | 0.07 | 2.44 × 10−2 * |
| C content in scrap (kg) | −0.03 | 3.49 × 10−1 |
| Mn content in scrap (kg) | −0.07 | 2.22 × 10−2 * |
| Cr content in scrap (kg) | 0.17 | 1.39 × 10−7 ** |
| Si content in scrap (kg) | −0.03 | 3.56 × 10−1 |
| S content in scrap (kg) | −0.11 | 5 × 10−4 ** |
| Injected oxygen (kg) | −0.18 | 3 × 10−9 ** |
| Injected lime (kg) | −0.06 | 4.73 × 10−2 * |
| Energy consumption | −0.05 | 9.23 × 10−2 |
| Deslagging temperature | −0.05 | 9.35 × 10−2 |
| Tapping temperature | 0.005 | 9.38 × 10−1 |
| Process duration | −0.08 | 8.89 × 10−3 * |
| Hyperparameters | Different Models | ||
|---|---|---|---|
| ANN (1) 12-16-8-1 | ANN (2) 12-144-256-64-1 | ANN (3) 12-128-128-128-64-1 | |
| Number of neurons | 24 | 464 | 448 |
| Number of layers | 2 | 3 | 4 |
| Number of epochs | 1000 | 100 | 500 |
| Batch size | 50 | 50 | 50 |
| Metrics | Model | |||||
|---|---|---|---|---|---|---|
| SVM-RBF | RF | ANN (1) | ANN (2) | ANN (3) | ANN (3) Optimized | |
| MSE | 0.03 | 7.9034 × 10−6 | 0.0148 | 0.0097 | 0.00003 | 0.000016 |
| RMSE | 0.17 | 0.0028 | 0.1216 | 0.0985 | 0.0055 | 0.004999 |
| r | 0.2828 | 0.3316 | 0.778 | 0.866 | 0.9996 | 0.9998 |
| R2 * | 0.08 | 0.11 | 0.61 | 0.75 | 0.9993 | 0.9996 |
| References | Process | Model | Input Parameters | Data Size | Evaluation Metrics |
|---|---|---|---|---|---|
| This work | EAF (Scrap) | ANN (3) | 12 | 1763 (1005) | R2: 0.9996 |
| r: 0.9998 | |||||
| ANN (2) | R2: 0.75 | ||||
| r: 0.866 | |||||
| Zou et al. [47] | EAF (HM * + Scrap) | BPNN | 10 | 1250 (580) | - |
| - | |||||
| Chen et al. [44] | EAF (HM + Scrap) | k means-BPNN-DT | 18 | 1258 (1114) | - |
| DNN | - | ||||
| BPNN | - | ||||
| Yuan et al. [34] | EAF | LS-SVM-PCR | 10 | 82 | - |
| Zhang et al. [46] | BOF | Ridge regression | 16 | 13,000 (7776) | r: 0.382 MARE: 0.182 RMSE: 0.00369 |
| GBR | r: 0.599 MARE: 0.155 RMSE: 0.00325 | ||||
| SVM | r: 0.52 MARE: 0.177 RMSE: 0.00342 | ||||
| RF | r: 0.608 MARE: 0.156 RMSE: 0.00319 | ||||
| CNN | r: 0.541 MARE: 0.173 RMSE: 0.00354 | ||||
| Zhou et al. [52] | BOF | Unconstrained BPNN | R2: 0.7596 RMSE: 0.0037 | ||
| Monotone-constrained BPNN | 10 | (900) | R2: 0.8456 RMSE: 0.0030 | ||
| Wang et al. [48] | BOF | Unhybrid NN | 19 | 28,000 | NRMSE: 0.1796 |
| Hybrid physics-based NN | NRMSE: 0.1775 | ||||
| Chang et al. [43] | BOF | PLS | 42 | R2: 0.728 RMSE: 0.0019 | |
| SVR | R2: 0.622 RMSE: 0.0022 | ||||
| FCN | R2: 0.280 RMSE: 0.0028 | ||||
| ELM | R2: 0.620 RMSE: 0.0022 | ||||
| GCN | R2: -0.132 RMSE: 0.0038 | ||||
| Multi-channel GCN | R2: 0.729 RMSE: 0.0019 | ||||
| He and Zhang [41] | BOF | PCA and BPNN | 18 (7 with PCA) | 1978 | r: 0.79 |
| Laha et al. [40] | Reverberatory Furnace | RF, NN, DENFIS, SVR | 10 | 54 | R2: 82% (for SVR) |
Disclaimer/Publisher’s Note: The statements, opinions and data contained in all publications are solely those of the individual author(s) and contributor(s) and not of MDPI and/or the editor(s). MDPI and/or the editor(s) disclaim responsibility for any injury to people or property resulting from any ideas, methods, instructions or products referred to in the content. |
© 2025 by the authors. Licensee MDPI, Basel, Switzerland. This article is an open access article distributed under the terms and conditions of the Creative Commons Attribution (CC BY) license (https://creativecommons.org/licenses/by/4.0/).
Share and Cite
Azzaz, R.; Jahazi, M.; Ebrahimi Kahou, S.; Moosavi-Khoonsari, E. Prediction of Final Phosphorus Content of Steel in a Scrap-Based Electric Arc Furnace Using Artificial Neural Networks. Metals 2025, 15, 62. https://doi.org/10.3390/met15010062
Azzaz R, Jahazi M, Ebrahimi Kahou S, Moosavi-Khoonsari E. Prediction of Final Phosphorus Content of Steel in a Scrap-Based Electric Arc Furnace Using Artificial Neural Networks. Metals. 2025; 15(1):62. https://doi.org/10.3390/met15010062
Chicago/Turabian StyleAzzaz, Riadh, Mohammad Jahazi, Samira Ebrahimi Kahou, and Elmira Moosavi-Khoonsari. 2025. "Prediction of Final Phosphorus Content of Steel in a Scrap-Based Electric Arc Furnace Using Artificial Neural Networks" Metals 15, no. 1: 62. https://doi.org/10.3390/met15010062
APA StyleAzzaz, R., Jahazi, M., Ebrahimi Kahou, S., & Moosavi-Khoonsari, E. (2025). Prediction of Final Phosphorus Content of Steel in a Scrap-Based Electric Arc Furnace Using Artificial Neural Networks. Metals, 15(1), 62. https://doi.org/10.3390/met15010062

