Kinetics of Iron Collector Leaching in HCl and HF Media
Abstract
1. Introduction
2. Materials and Methods
2.1. Materials
2.2. Experimental Technique
2.3. Analysis Methods
2.4. Calculation Method
3. Results and Discussion
3.1. Effect of Leaching Parameters on Fe and Si Extraction
3.2. Mechanism of Interaction of Ferrosilicon with HCl and HF

3.3. Characteristics of Cakes
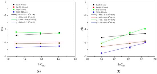
3.4. Modeling the Leaching Process of the Iron Collector
4. Conclusions
- Initial reaction period of 30 min, when the primary chemical interaction between the HCl-HF mixture and the iron collector occurs with the formation of the primary FeF2 layer on the surface of the unreacted material;
- The deeper reaction period with the time interval of 30–120 min, when the FeF2 layer on the surface of unreacted material becomes thicker, resulting in the formation of stable FeF2 conglomerates.
Author Contributions
Funding
Data Availability Statement
Conflicts of Interest
References
- Kašpar, J.; Fornasiero, P.; Hickey, N. Automotive catalytic converters: Current status and some perspectives. Catal. Today 2003, 77, 419–449. [Google Scholar] [CrossRef]
- Ding, Y.; Zheng, H.; Li, J.; Zhang, S.; Liu, B.; Ekberg, C.; Jian, Z. Recovery of Platinum from Spent Petroleum Catalysts: Optimization Using Response Surface Methodology. Metals 2019, 9, 354. [Google Scholar] [CrossRef]
- Sverdrup, H.U.; Ragnarsdottir, K.V. A system dynamics model for platinum group metal supply, market price, depletion of extractable amounts, ore grade, recycling and stocks-in-use. Resour. Conserv. Recycl. 2016, 114, 130–152. [Google Scholar] [CrossRef]
- Osman, A.I.; Abu-Dahrieh, J.K.; McLaren, M.; Laffir, F.; Rooney, D.W. Characterisation of Robust Combustion Catalyst from Aluminium Foil Waste. ChemistrySelect 2018, 3, 1545–1550. [Google Scholar] [CrossRef]
- Dong, H.; Zhao, J.; Chen, J.; Wu, Y.; Li, B. Recovery of platinum group metals from spent catalysts: A review. Int. J. Miner. Process. 2015, 145, 108–113. [Google Scholar] [CrossRef]
- Ghodrat, M.; Sharafi, P.; Samali, B. Recovery of Platinum Group Metals Out of Automotive Catalytic Converters Scrap: A Review on Australian Trends and Challenges. In Materials Processing Fundamentals 2018. TMS 2018. The Minerals, Metals & Materials Series; Lambotte, G., Lee, J., Allanore, A., Wagstaff, S., Eds.; Springer: Cham, Switzerland, 2018; pp. 149–161. [Google Scholar] [CrossRef]
- Yakoumis, I.; Panou, M.; Moschovi, A.M.; Panias, D. Recovery of platinum group metals from spent automotive catalysts: A review. Clean. Eng. Technol. 2021, 3, 100112. [Google Scholar] [CrossRef]
- Benson, M.; Bennett, C.R.; Harry, J.E.; Patel, M.K.; Cross, M. The recovery mechanism of platinum group metals from catalytic converters in spent automotive exhaust systems. Resour. Conserv. Recycl. 2000, 31, 1–7. [Google Scholar] [CrossRef]
- Peng, Z.; Li, Z.; Lin, X.; Tang, H.; Ye, L.; Ma, Y.; Rao, M.; Zhang, Y.; Li, G.; Jiang, T. Pyrometallurgical Recovery of Platinum Group Metals from Spent Catalysts. J. Miner. Met. Mater. Soc. 2017, 69, 1553–1562. [Google Scholar] [CrossRef]
- Morcali, M.H. A new approach to recover platinum-group metals from spent catalytic converters via iron matte. Resour. Conserv. Recycl. 2020, 159, 104891. [Google Scholar] [CrossRef]
- Jones, R.T.; Geldenhuys, I.J. The pros and cons of reductive matte smelting for PGMs. Miner. Eng. 2011, 24, 495–498. [Google Scholar] [CrossRef]
- Carnogurska, M.; Prihoda, M.; Lazar, M.; Kurilla, P.; Dobakova, R. High-temperature processing and recovery of autocatalysts. Mater. Technol. 2018, 52, 335–340. [Google Scholar] [CrossRef]
- Saternus, M.; Fornalczyk, A.; Gąsior, W.; Dębski, A.; Terlicka, S. Modifications and Improvements to the Collector Metal Method Using an mhd Pump for Recovering Platinum from Used Car Catalysts. Catalysts 2020, 10, 880. [Google Scholar] [CrossRef]
- Ding, Y.; Zheng, H.; Zhang, S.; Liu, B.; Wu, B.; Jian, Z. Highly efficient recovery of platinum, palladium, and rhodium from spent automotive catalysts via iron melting collection. Resour. Conserv. Recycl. 2020, 155, 104644. [Google Scholar] [CrossRef]
- Liu, C.; Sun, S.; Zhu, X.; Tu, G. Metals smelting-collection method for recycling of platinum group metals from waste catalysts: A mini review. Waste Manag. Res. J. A Sustain. Circ. Econ. 2021, 39, 43–52. [Google Scholar] [CrossRef] [PubMed]
- Fedichkin, S.A.; Bogdanov, V.I.; Kasikov, A.G.; Sandalov, I.P. Method for Processing of Iron Collector of Platinum Metals. RU Patent No. 2778436C1, 18 August 2022. Available online: https://patents.google.com/patent/RU2778436C1/en (accessed on 17 September 2024).
- Fomenko, I.; Pleshkov, M.; Lyakh, S.; Laevskiy, S. High-temperature pressure oxidation of double refractory ore. Tsvetnye Met. 2020, 9, 110–116. [Google Scholar] [CrossRef]
- Kritskii, A.; Naboichenko, S.; Karimov, K.; Agarwal, V.; Lundström, M. Hydrothermal pretreatment of chalcopyrite concentrate with copper sulfate solution. Hydrometallurgy 2020, 195, 105359. [Google Scholar] [CrossRef]
- Gordeev, D.; Petrov, G.; Khasanov, A.; Severinova, O. Review of modern processing technologies of refractory gold ores and concentrates with use of nitric acid. Bulletin of the Tomsk Polytechnic University. Geo Assets Eng. 2022, 333, 214–223. [Google Scholar] [CrossRef]
- Yoo, J.S. Metal recovery and rejuvenation of metal-loaded spent catalysts. Catal. Today 1998, 44, 27–46. [Google Scholar] [CrossRef]
- Padamata, S.K.; Yasinskiy, A.S.; Polyakov, P.V.; Pavlov, E.A.; Varyukhin, D.Y. Recovery of Noble Metals from Spent Catalysts: A Review. Met. Mater Trans B 2020, 51, 2413–2435. [Google Scholar] [CrossRef]
- Angelidis, T. Development of a Laboratory Scale Hydrometallurgical Procedure for the Recovery of Pt and Rh from Spent Automotive Catalysts. Top. Catal. 2001, 16, 419–423. [Google Scholar] [CrossRef]
- Chen, J.; Huang, K. A new technique for extraction of platinum group metals by pressure cyanidation. Hydrometallurgy 2006, 82, 164–171. [Google Scholar] [CrossRef]
- Jimenez de Aberasturi, D.; Pinedo, R.; Ruiz de Larramendi, I.; Ruiz de Larramendi, J.I.; Rojo, T. Recovery by hydrometallurgical extraction of the platinum-group metals from car catalytic converters. Miner. Eng. 2011, 24, 505–513. [Google Scholar] [CrossRef]
- Jha, M.K.; Lee, J.; Kim, M.; Jeong, J.; Kim, B.; Kumar, V. Hydrometallurgical recovery/recycling of platinum by the leaching of spent catalysts: A review. Hydrometallurgy 2013, 133, 23–32. [Google Scholar] [CrossRef]
- Panda, R.; Jha, M.K.; Pathak, D.D. Commercial Processes for the Extraction of Platinum Group Metals (PGMs). In Rare Metal Technology 2018. TMS 2018. The Minerals, Metals & Materials Series; Kim, H., Wesstrom, B., Alam, S., Ouchi, T., Azimi, G., Neelameggham, N.R., Wang, S., Guan, X., Eds.; Springer: Cham, Switzerland, 2018; pp. 119–130. [Google Scholar] [CrossRef]
- Saguru, C.; Ndlovu, S.; Moropeng, D. A review of recent studies into hydrometallurgical methods for recovering PGMs from used catalytic converters. Hydrometallurgy 2018, 182, 44–56. [Google Scholar] [CrossRef]
- Ding, Y.; Zhang, S.; Liu, B.; Zheng, H.; Chang, C.; Ekberg, C. Recovery of precious metals from electronic waste and spent catalysts: A review. Resour. Conserv. Recycl. 2019, 141, 284–298. [Google Scholar] [CrossRef]
- Wei, X.; Liu, C.; Cao, H.; Ning, P.; Jin, W.; Yang, Z.; Wang, H.; Sun, Z. Understanding the features of PGMs in spent ternary automobile catalysts for development of cleaner recovery technology. J. Clean. Prod. 2019, 239, 118031. [Google Scholar] [CrossRef]
- Antonov, A.; Samotaev, N.; Tietz, A.; Veselov, D.; Kirichenko, A. Iron Collector Recycling by Electrochlorination Method. Mater. Sci. Forum 2020, 977, 190–194. [Google Scholar] [CrossRef]
- Diac, C.; Maxim, F.I.; Tirca, R.; Ciocanea, A.; Filip, V.; Vasile, E.; Stamatin, S.N. Electrochemical Recycling of Platinum Group Metals from Spent Catalytic Converters. Metals 2020, 10, 822. [Google Scholar] [CrossRef]
- Trinh, B.; Lee, J.; Suh, Y.; Lee, J. A review on the recycling processes of spent auto-catalysts: Towards the development of sustainable metallurgy. Waste Manag. 2020, 114, 148–165. [Google Scholar] [CrossRef]
- Wen, Q.; Ding, Y.; Zheng, H.; Liu, B.; Zhang, S. Process and mechanism of electrolytic enrichment of PGMs from Fe-PGMs alloy. J. Clean. Prod. 2020, 271, 122829. [Google Scholar] [CrossRef]
- Karimov, K.A.; Rogozhnikov, D.A.; Kuzas, E.A.; Shoppert, A.A. Leaching Kinetics of Arsenic Sulfide-Containing Materials by Copper Sulfate Solution. Metals 2020, 10, 7. [Google Scholar] [CrossRef]
- Kuzas, E.; Rogozhnikov, D.; Dizer, O.; Karimov, K.; Shoppert, A.; Suntsov, A.; Zhidkov, I. Kinetic study on arsenopyrite dissolution in nitric acid media by the rotating disk method. Miner. Eng. 2022, 187, 107770. [Google Scholar] [CrossRef]
- Baghalha, M.; Khosravian, H.; Mortaheb, H.R. Kinetics of platinum extraction from spent reforming catalysts in aqua-regia solutions. Hydrometallurgy 2009, 95, 247–253. [Google Scholar] [CrossRef]
- Ding, Y.; Zheng, H.; Li, J.; Zhang, S.; Liu, B.; Ekberg, C. An Efficient Leaching of Palladium from Spent Catalysts through Oxidation with Fe (III). Materials 2019, 12, 1205. [Google Scholar] [CrossRef] [PubMed]
- Dickinson, C.F.; Heal, G.R. Solid-liquid diffusion-controlled rate equations. Thermochim. Acta 1999, 340, 89–103. [Google Scholar] [CrossRef]
- Levenspiel, O. Chemical Reaction Engineering, 3rd ed.; Wiley: New York, NY, USA, 1999. [Google Scholar]
- Hidalgo, T.; Kuhar, L.; Beinlich, A.; Putnis, A. Kinetics and mineralogical analysis of copper dissolution from a bornite/chalcopyrite composite sample in ferric-chloride and methanesulfonic-acid solutions. Hydrometallurgy 2019, 188, 140–156. [Google Scholar] [CrossRef]














| Point | Fe | Si | C |
|---|---|---|---|
| Spectrum 1 | 3.3 | 0.8 | 66.2 |
| Spectrum 2 | 77.5 | 16.5 | 5.5 |
| Spectrum 3 | 81.5 | 18.5 | – |
| Spectrum 4 | 95.3 | 4.4 | – |
| Spectrum 5 | 89.0 | 9.9 | – |
| Cake | EDS | XRD | ||
|---|---|---|---|---|
| Fe | Si | Fe3Si | C | |
| 1 | 12.0 | 88.0 | 93.4 | 6.6 |
| 2 | 86.8 | 13.2 | 91.8 | 8.2 |
| 3 | 86.6 | 13.4 | 78.2 | 21.8 |
| Element | Cake 2 | Cake 3 | ||||||||||||
|---|---|---|---|---|---|---|---|---|---|---|---|---|---|---|
| (a) | (b) | (c) | (d) | |||||||||||
| S1 | S1 | S2 | S3 | S4 | S5 | S6 | S1 | S1 | S2 | S3 | S4 | S5 | S6 | |
| Fe | 82.5 | 81.9 | 64.6 | 71.9 | 80.7 | 54.0 | 68.2 | 84.1 | 82.7 | 83.9 | 82.4 | 80.6 | 43.0 | 52.6 |
| Si | 15.1 | 14.9 | 11.8 | 28.1 | 16.8 | 24.3 | 16.6 | 15.4 | 15.0 | 14.5 | 14.6 | 15.9 | 54.4 | 44.5 |
| F | 2.4 | 2.9 | 2.0 | – | 2.5 | 1.9 | 2.0 | – | 2.3 | 1.5 | 2.2 | 2.9 | 1.0 | 1.6 |
| Cake | Fe | Si | F |
|---|---|---|---|
| 1 | – | 39.1 | – |
| 2 | 11.8 | 21.0 | 3.3 |
| 3 | 10.6 | – | 6.8 |
| No. | Limiting Stage | Equation |
|---|---|---|
| 1 | Diffusion through the product layer (SP) | 1 − 3(1 − X)2/3 + 2(1 − X) |
| 2 | Diffusion through the product layer (PP) | X2 |
| 3 | Diffusion through the product layer (CP) | X + (1 − X)ln(1 − X) |
| 4 | Diffusion through the liquid film (SP) | X |
| 5 | Chemical reaction on the surface (CP) | 1 − (1 − X)1/2 |
| 6 | Chemical reaction on the surface (SP) | 1 − (1 − X)1/3 |
| 7 | Diffusion through the product layer and interfacial transport (new model) | 1/3ln(1 − X) + [(1 − X)–1/3 − 1] |
| 8 | Hybrid (1 + 6) | 2 − 3(1 − X)2/3 + 2(1 − X) − (1 − X)1/3 |
Disclaimer/Publisher’s Note: The statements, opinions and data contained in all publications are solely those of the individual author(s) and contributor(s) and not of MDPI and/or the editor(s). MDPI and/or the editor(s) disclaim responsibility for any injury to people or property resulting from any ideas, methods, instructions or products referred to in the content. |
© 2024 by the authors. Licensee MDPI, Basel, Switzerland. This article is an open access article distributed under the terms and conditions of the Creative Commons Attribution (CC BY) license (https://creativecommons.org/licenses/by/4.0/).
Share and Cite
Kuzas, E.; Sandalov, I.; Karimov, K.; Kritskii, A.; Fomenko, I.; Zhidkov, I.; Abramov, A. Kinetics of Iron Collector Leaching in HCl and HF Media. Metals 2024, 14, 1077. https://doi.org/10.3390/met14091077
Kuzas E, Sandalov I, Karimov K, Kritskii A, Fomenko I, Zhidkov I, Abramov A. Kinetics of Iron Collector Leaching in HCl and HF Media. Metals. 2024; 14(9):1077. https://doi.org/10.3390/met14091077
Chicago/Turabian StyleKuzas, Evgeniy, Ivan Sandalov, Kirill Karimov, Aleksei Kritskii, Ilia Fomenko, Ivan Zhidkov, and Aleksandr Abramov. 2024. "Kinetics of Iron Collector Leaching in HCl and HF Media" Metals 14, no. 9: 1077. https://doi.org/10.3390/met14091077
APA StyleKuzas, E., Sandalov, I., Karimov, K., Kritskii, A., Fomenko, I., Zhidkov, I., & Abramov, A. (2024). Kinetics of Iron Collector Leaching in HCl and HF Media. Metals, 14(9), 1077. https://doi.org/10.3390/met14091077

