Next Article in Journal
Investigation on the Bending Properties and Geometric Defects of Steel/Polymer/Steel Sheets—Three-Point and Hat-Shaped Bending
Previous Article in Journal
Experimental Characterization and First-Principles Calculations of Zn Segregation at the β″-Mg5Al2Si4/Al Interfaces in Al-Mg-Si Alloys
 
 
Font Type:
Arial Georgia Verdana
Font Size:
Aa Aa Aa
Line Spacing:
Column Width:
Background:
Article

A Comparative Study of the As-Built Microstructure of a Cold-Work Tool Steel Produced by Laser and Electron-Beam Powder-Bed Fusion

1
Department of Engineering and Physics, Karlstad University, SE-651 88 Karlstad, Sweden
2
School of Science and Technology, Örebro University, SE-701 82 Örebro, Sweden
3
Uddeholms AB, SE-683 33 Hagfors, Sweden
4
Swerim AB, SE-164 40 Kista, Sweden
*
Author to whom correspondence should be addressed.
Metals 2024, 14(8), 934; https://doi.org/10.3390/met14080934
Submission received: 27 June 2024 / Revised: 22 July 2024 / Accepted: 13 August 2024 / Published: 16 August 2024
(This article belongs to the Section Additive Manufacturing)

Abstract

A high-alloy (Cr-Mo-V) cold-work tool steel was manufactured by laser powder-bed fusion (PBF-LB) without preheating and by electron-beam powder-bed fusion (PBF-EB) with the build temperature set at 850 °C. The solidification rates, cooling, and thermal cycles that the material was subjected to during manufacturing were different in the laser powder-bed fusion than electron-beam powder-bed fusion, which resulted in very different microstructures and properties. During the solidification of the PBF-LB steel, a cellular–dendritic structure was formed. The primary cell size was 0.28–0.32 µm, corresponding to a solidification rate of 2.0–2.5 × 106 °C/s. No coarse primary carbides were observed in the microstructure. Further rapid cooling resulted in the formation of a martensitic microstructure with high amounts of retained austenite. The high-retained austenite explained the low hardness of 597 ± 38 HV. Upon solidification of the PBF-EB tool steel, dendrites with well-developed secondary arms and a carbide network in the interdendritic space were formed. Secondary dendrite arm spacing was in the range of 1.49–3.10 µm, which corresponds to solidification rates of 0.5–3.8 × 104 °C/s. Cooling after manufacturing resulted in the formation of a bainite needle-like microstructure within the dendrites with a final hardness of 701 ± 17 HV. These findings provide a background for the selection of a manufacturing method and the development of the post-treatment of a steel to obtain a desirable final microstructure, which ensures that the final tool’s performance is up to specification.

1. Introduction

Powder-bed fusion (PBF) methods are additive-manufacturing (AM) technologies that enable a layer-by-layer building of uniquely designed near-net-shaped metallic components by melting a powder bed with a high-energy beam. Among the available commercial manufacturing systems, laser beams or electron beams are the main energy sources used. Depending on the beam used, the methods are called either laser- or electron-beam powder-bed fusion (PBF-LB and PBF-EB, respectively). Substantial differences in the energy input, beam scanning speed, preheating temperature, difference in atmosphere in the chamber, the use of protective gas, or the presence of low pressure result in differences in the thermal history to which the material is subjected during manufacturing. The thermal history, in turn, governs the microstructure, properties, and quality of the final component.
Both methods have advantages and disadvantages, as presented in [1,2,3,4,5,6]. The total time of manufacturing (including cooling of the build stage) with PBF-LB is usually faster but more materials are confirmed to be printable by PBF-LB, and removing the component is relatively easy. The drawback is a high level of residual stresses, resulting in possible cracks in the components designed without respect to thermal stresses. The advantage of PBF-EB is that the process is run at elevated temperatures, thus avoiding high thermal gradients. Low pressure in the building chamber is another advantage as it prevents oxidation of the powder feedstock during preheating and manufacturing. During preheating, the powder sinters so that the thermal and electrical conductivity are increased, which is necessary when the high current beam melts the sintered powder. Without preheating, a charge build up causes a phenomenon called smoke where powder is spread all over the chamber. The high chamber temperature resulting in sintered powder makes component removal more complicated, substantially reduces recyclability and the reusability of powders, and the elevated process temperature leads to a longer build cooling time compared to PBF-LB. This leads to an increase in powder waste, manufacturing time, and total costs. There are more manufacturers of PBF-LB machines than PBF-EB machines in the world, but, thanks to the advantages of the properties of components produced by PBF-EB, this niche is growing. More specific information about methods, method features, and other technical details are available in published comprehensive reviews and books [1,2,3,4,5,6]. To date, manufacturers using PBF have chosen either PBF-LB or PBF-EB, and they are usually based on the availability of known process parameters for the desired material. There are not many materials that have been manufactured by both methods and then characterized and compared in detail. Common materials such as AISI316L stainless steel, Ti6Al4V, and some Ni-based superalloys are among the materials that have been compared [2,4,5,6,7].
Recently, different steel grades have been manufactured either by the PBF-LB or the PBF-EB method [8,9,10,11,12,13,14,15,16]. In high-alloy cold-work tool steels manufactured with PBF-LB, a dendritic microstructure with interdendritic space enriched with Mo, V, W, and Cr is commonly observed [8]. To avoid thermal cracks, preheating temperatures up to 500 °C are used, which may result in the activation of diffusional processes and tempering of the material during manufacturing, or the formation of bainite instead of martensite. In some cases, pre-heating during PBF-LB may cause inhomogeneous microstructures and properties along the build height [8,9]. In high-alloy cold-work tool steels manufactured with PBF-EB, the process temperature is often between 850 and 900 °C in order to obtain a crack-free material. After manufacturing, a fine sub-celled bainitic/martensitic microstructure with Mo- and V-rich carbides, which are mostly along the cell boundaries, is commonly observed [11,12,13]. After heat treatment, the Mo-rich carbides are completely dissolved, and the material develops a homogenous network of vanadium carbides. Comparative studies of the same tool steel grade manufactured by both methods have not yet, to the authors’ knowledge, been presented; this is a gap in the current academic and industrial knowledge.
For industrial practice, knowledge about the main differences in the microstructures of the same steel grade, when manufactured either by PBF-LB or PBF-EB method, is of high importance. A better understanding could support the selection of the appropriate manufacturing method for a specific steel and better predict the as-built microstructure, both of which are key factors in the development of post-treatments to obtain desirable final microstructures, strength, toughness, and to ensure the final tool performance.
In the present research, a first comparative study of the differences in the as-built microstructure of a high-alloy (Cr-Mo-V) cold-work tool steel manufactured by PBF-LB and PBF-EB methods was carried out. The aim was to fill the knowledge gaps in the understanding of the correlation between the manufacturing process, the thermal history of the material, and the as-built microstructure of the cold-work tool steel manufactured by the two different methods.

2. Materials and Methods

A high-alloy (Cr-Mo-V) cold-work tool steel (with wt.%–1.4% C, 0.03% N, 0.4% Si, 0.4% Mn, 4.7% Cr, 3.5% Mo, 3.7% V, Fe-Bal.), designated as Uddeholm Vanadis© 4 Extra Super Clean, Uddeholms AB, Hagfors, Sweden, was investigated in this article. An inert-gas atomized powder with typical spherical morphology and a size distribution of d10 = 53 µm, d50 = 77 µm, and d90 = 127 µm was used for both experiments. The chemical composition and particle-size distribution are presented according to the manufacturer’s product data sheet. The powder size was larger than the optimum size for PBF-LB but still suitable for the pilot tests performed in this investigation.
Table 1 summarizes the manufacturing parameters used in this investigation. The terminology used for these two methods is not the same. Laser power, laser scanning speed, hatch distance, and layer thickness are used to calculate the volume energy density in PBF-LB, while, in PBF-EB, acceleration voltage, beam current, beam speed, hatch distance, and layer thickness are used for the same purpose. In PBF-LB and PBF-EB communities, some terms often have the same or similar meanings but are used differently. For example, the distance between two beam passes is named “hatch distance” in PBF-LB and “line offset” in PBF-EB.
PBF-EB specimens that were 60 mm in height with a square base of 20 × 20 mm2 were manufactured at various parameter sets. The beam current was in the range of 3.64–18.9 mA, the beam speed was in the range of 44.2–5000 mm/s, the line offset was in the range of 50–300 μm, and the accelerating voltage was kept constant at 60 kV. A special concept Arcam S12-AX machine, Arcam AB, Mölndal, Sweden, was used to manufacture the specimens. The build temperature was set at 850 °C. The scanning strategy was snake-like hatching (named the bi-directional scanning strategy in the PBF-LB method [15]). The manufacturing was completed with slow cooling in helium at 400 mbar. A total of 24 specimens were manufactured, and the specimen with the highest density, 99.96 ± 0.10%, which was measured with the Archimedes’ method, was selected for this investigation. The parameters used to manufacture this specimen are presented in Table 1.
The material is difficult to print with PBF-LB due to extensive crack formation, but an attempt was made to manufacture specimens suitable for characterization. Cylindrical specimens with a diameter of 3 and 5 mm and a height of 5 mm were manufactured with a Renishaw AM400, Renishaw plc, Wotton-under-Edge, UK, using an argon protective atmosphere and island (also called chessboard) scanning strategy [17]. Due to an insufficient amount of powder, the silo could not be used. Instead, the reduced build volume, which lacks preheating, was used. The laser beam spot size was 80 µm. Other parameters used in the printing were as follows: an island size of 1.0–2.0 mm, and a meander scanning pattern was used within the islands. The laser power was 185 and 250 W, and the scanning speed was in the range of 450–650 mm/s. A total of 24 different parameter sets were printed, with 5 samples of each. At lower laser power or higher laser scanning speeds, the material was porous. A decrease in the laser scanning speed, as well as larger, 5 mm, samples resulted in more intense cracking during manufacturing. Therefore, only specimens that were 3 mm in diameter were further investigated. The selected process parameters for the 5 investigated samples are presented in Table 1. The average density, measured with image analysis, was 98.08%.
It is important to mention that sample size upscaling and questions related to the optimization of process parameters for the printing of crack- and pore-free large specimens were deliberately moved beyond the scope of this article. Cold-work tool steels are prone to thermal cracking during laser powder-bed fusion; therefore, larger specimens of cold-work tool steel are usually printed with preheating to several hundred degrees. It often leads to changes in microstructure due to the activation of diffusional processes in the specimen during manufacturing. The present investigation was focused on as-built microstructures and therefore preheating was not used.
The specimens were analyzed using computed tomography (CT) using a SkyScan 1272 3D micro-CT (µ-CT) system, Bruker, Kontich, Belgium. The pin specimens with a diameter of 3 mm and height of 5 mm were manufactured and subsequently CT-scanned at an acceleration voltage and a filament current of 100 kV and 100 µA, respectively. Reconstruction of CT data was performed using InstaRecon version 1.7.3.1 software, correcting for post-alignment correction, ring artifacts, and beam hardening. The resulting CT volumes had an isometric voxel size of 3 μm. Analysis of the reconstructed CT data was performed with the commercially available software VGSTUDIO MAX, version 3.0.
The specimens were characterized using optical microscopy (OM) and scanning electron microscopy (SEM), as well as X-ray diffraction (XRD) and hardness measurements. Standard mechanical grinding and polishing methods. Specimens were etched in Vilella’s reagent. Microhardness was measured with a Future-Tech FM, and the load was 10 gf with a load time of 13 s. Scanning electron microscopy in secondary (SE) or backscattered (BSE) electrons, fracture analysis, energy dispersive X-ray spectroscopy (EDS), and electron backscatter diffraction (EBSD) were performed with a JEOL JSM-7900F, JEOL Ltd., Akishima, Japan, equipped with Oxford Instruments EDS (High Wycombe, UK) and EBSD detectors. EBSD measurements were conducted at 15 kV with a step size of 0.08 and 0.16 μm, respectively, for PBF-EB and PBF-LB. Analysis of SEM images was performed with ImageJ v1.54 software to quantify the volume fraction of carbides in the PBF-EB and PBF-LB materials. The volume fraction was averaged from 10 SEM images. For the EBSD analysis, the specimens’ surface was finished using JEOL IB-19530CP, JEOL Ltd., Akishima, Japan, ion gun polishing equipment. EBSD analysis was performed using the open-source crystallographic toolbox MTEX [18]. EDS mapping was carried out at a 20 kV acceleration voltage. XRD measurements were performed with a Malvern Panalytical Empyrean, Malvern Panalytical, Malvern, UK, equipped with a Cu source. Phase identification was conducted with HighScore Plus version 5.1.0.29607 software.

3. Results

3.1. Porosity and Microstructure

From the material characterization of the specimen using CT, Figure 1 shows an example cross-sectional view of the PBF-LB- and PBF-EB-manufactured samples. The specimens manufactured by PBF-LB were investigated with the original outer surface, and PBF-EB specimens were cut from larger pieces by wire-EDM, as shown in Figure 1a,b, respectively. As can be seen, the specimen produced by PBF-LB contained more defects than the specimen produced by PBF-EB. Typical defects found during analysis of the PBF-LB samples when using CT were pores. The pore sizes were approximately 50–100 µm in diameter, and the pores were generally observed as close to the surface. This was a typical observation over the whole volume of the PBF-LB specimens. In the PBF-EB samples, neither pores nor cracks were observed.
Figure 2 illustrates the microstructure of the near-surface regions of the PBF-LB and PBF-EB steels. The microstructure of the PBF-LB steel was finer compared to the PBF-EB steel. Scanning electron microscopy revealed a cellular–dendritic structure with needle-like features in the PBF-LB steel and a dendritic structure with developed secondary dendrite arms and a network in the interdendritic spacing in the PBF-EB steel.
In the PBF-LB steel, the last layer consisted of fresh martensite that had not been subjected to multiple thermal cycles; this has also been reported by Boes and Krakhmalev [15,19]. The average depth of this layer was about 80–100 µm, as indicated by the dashed line in Figure 2a.
Figure 3 illustrates the microstructure in the inner regions, i.e., at least 1 mm from the surface, of the PBF-LB and PBF-EB steel specimens at a higher magnification. In the PBF-LB steel, as shown in Figure 3a, the cellular structure was clearly visible. In the figure, a fusion boundary is indicated by a dashed line. The size of the cells varied in a range of 0.28–0.32 µm. In the backscattered electron (BSE) images, it can be seen that the cells were decorated by a network consisting of dark nm-scale particles, as shown in Figure 3b. Presumably, this is a network of interdendritic carbides that were formed during solidification. The PBF-LB specimen was slightly etched before the investigation, resulting in the decoration of long etched needles passing through the cells and the fusion boundary, which was later confirmed by EBSD analysis as the α/α’-phase (see the corresponding discussion below). The dendrites in the PBF-EB steel, as shown in Figure 3c, were well developed and much coarser than in the PBF-LB steel. Martensite/bainite needles were visible within the dendrites. In the interdendritic space, white, gray, and black particles were visible, which could be identified as carbides formed during the solidification process (see further discussion related to the SEM-EDS results and Thermo-Calc calculations).
SEM-EDS line scans and mappings were carried out to investigate the homogeneity of the PBF-LB and PBF-EB tool steels. In the PBF-LB material, the scan was made through numerous µm-scale bright needles that are clearly visible in Figure 4a (the same as the dark needles in Figure 3a). The results of the line scans showed that, within the EDS method resolution, there were no differences in the chemical composition detected between the bright needles and surrounding microstructure. The distribution of carbide-forming elements did not reveal the carbide phase or other segregations. The average concentration of the metallic elements was in wt.%–0.3 ± 0.2% Si, 0.3 ± 0.2% Mn, 4.6 ± 0.2% Cr, 3.3 ± 0.1% Mo, 3.6 ± 0.2% V, and Fe −84.0 ± 0.2%, which is close to the nominal composition of the investigated tool steel. The concentration of carbon could not be correctly measured by EDS, but, from the line scan (black line), it was seen that there were no regions with higher carbon content, which might be associated with coarse carbides or carbon-rich phases.
Figure 5 illustrates the SEM and SEM-EDS images/maps of the PBF-LB specimen. In the secondary electron contrast, a network of fine carbides between cells was visible. These carbides correspond to the dark interdendritic particles that were also observed in the BSE image (Figure 3b). Mapping of the microstructure of PBF-LB steel made at higher magnifications revealed that those particles were V, Mo, and Cr-rich carbides, which are presumably MC-type carbides (Figure 5).
Figure 6 illustrates the BSE and elemental maps of the PBF-EB steel. Mapping of the microstructure of the PBF-EB steel revealed several characteristic phases formed in the interdendritic space during solidification. First, black V-rich carbides alloyed with Cr and Mo were observed (Point 1). Then, white Mo-rich carbides were detected (Point 2). Finally, Cr-rich gray carbides were observed. Apparently, these carbides have a varied Mo content, and, on the map, they were brighter or darker but still with Cr as the main alloying element (Points 3 and 4).
For further phase identification, XRD analysis was carried out. The investigation of the PBF-LB material showed, first of all, an unexpectedly high amount of austenite. The peaks of ferrite had a much lower intensity (Figure 7). Additionally, the intensity of the (220)γ peak (at 89.93°) was substantially higher than in the standard pattern, which indicates a developed texture in the PBF-LB material. The V-rich MC type of carbides were difficult to index confidently because of the overlap of the peaks and high level of residual stresses. In the PBF-EB steel, ferrite was the dominating phase, although some retained austenite was also identified by XRD. The V-rich MC carbides were also identified by XRD in the PBF-EB steel. Other carbides in the PBF-EB steel were the Cr,Mo-rich M7C3-type, and the Mo-rich M6C-type carbides are depicted as gray (points 2, 3 and 4) in the SEM image (Figure 6).
Figure 8 illustrates the EBSD maps of the PBF-LB (left column) and PBF-EB (right column) tools steels. A band contrast map of the PBF-LB steel, as shown in Figure 8a, shows a columnar microstructure with clearly visible fusion boundaries. Colonies grown with different orientations in each layer reflect the manufacturing strategy when laser-scanned over the powder layer reciprocally. A band contrast map of the PBF-EB steel, as shown in Figure 8b, shows a needle-like structure typical for bainite. The fusion boundaries were not fully visible. The columnar, in PBF-LB, and needle-like, in PBF-EB, microstructures are further visualized in Figure 8c,d, where each grain is colored according to the inverse pole figure orientation of the phases parallel to the building direction. It was seen that the columns grew in the same crystallographic directions in the PBF-LB materials, while a rather random orientation of needles was observed in the PBF-EB steel. Finally, the phase maps in Figure 8e,f illustrate the fraction of the indexed phases in the PBF-LB and PBF-EB steels, respectively. Image analysis of the EBSD maps estimated average 64 ± 2.0% retained austenite in PBF-LB steel, and 10.5 ± 2.5% retained austenite in PBF-EB steel.
Based on XRD, the amount of retained austenite was estimated using ASTM E975-13—Standard practice for X-ray determination of the retained austenite in the steel [20]. The volume fraction of the carbide phase was measured in advance by image analysis of the micrographs obtained with SEM. The image analysis revealed 10.88 ± 1.84% carbides in PBF-LB and 8.90 ± 0.76% carbides in PBF-EB. The calculated content of retained austenite was 81.5 ± 3.5% in the PBF-LB and 33.3 ± 0.1% in the PBF-EB steel. Although high, the retained austenite was quite in agreement with the EBSD analysis. The obtained EBSD phase maps confirmed the XRD observations of the high content of the austenite phase in the PBF-LB material. Assessment of the retained austenite in the PBF-EB material was difficult due to the quite high fraction of non-indexed points and the difficulty in distinguishing between the austenite (γ-phase) and face-centered cubic MC carbides. Nevertheless, in the same material, ≈15% of retained austenite has been reported by Botero [21]. The amount of retained austenite assessed by XRD was higher, and this could have been as a result of the crystallographic texture influencing the integral intensity and intensity ratio of the diffraction peaks of the α- and γ-phases. It is worth noting that the exact amount of retained austenite was not the aim of this investigation, which was presented in a comparison of the steel manufactured by the two different AM methods. The actual content of the retained austenite in every AM article depends on the material, manufacturing strategy, size of the build, laser/electron-beam power, and other factors. However, carried out in this investigation comparative study showed an obvious difference in the retained austenite content in the PBF-LB and PBF-EB steels.

3.2. Hardness

Figure 9 illustrates the hardness depth profile measured in the PBF-LB and PBF-EB specimens. The hardness of PBF-LB steel depends on the depth. It reached 748 HV10 at the top but then decreased. At 125–150 µm—which roughly corresponds to a depth of 2 layers, as seen in Figure 2a, and deeper—the hardness was measured at 597 ± 38 HV10. The hardness of the PBF-EB steel was not dependent on depth and was generally higher than the hardness of the PBF-LB steel. The average hardness of 701 ± 17 HV10 was measured in the PBF-EB material down to a 500 µm depth (see Figure 9). In a conventional material with the same composition, according to the material data sheet [22], the martensitic structure had a hardness of around 860 HV10, and the carbide + bainite structures had a hardness in the range of 520–650 HV10. Both AM-manufactured steels showed lower hardness than the conventional steel when quenched to martensite [22].

3.3. Fracture Surface

Interdendritic fractures were observed in the PBF-LB material, which fractured during manufacturing. Cracks propagating parallel to the dendrites in colonies formed characteristic facets at the fracture surface (Figure 10a). However, dendrites were clearly visible at the fracture surface. Figure 10b illustrates the fracture surface in a case where the crack propagated perpendicular to the dendrites within a colony. In this case, the fracture surface was irregular and facets were not observed.

4. Discussion

4.1. Solidification

The as-built microstructure of the additively manufactured material is usually dendritic or cellular dendritic due to high thermal gradients and high solidification rates [1,3,23]. In the present investigation, similar microstructures were observed in the PBF-LB and PBF-EB tool steel. A characteristic feature of the microstructure is the size of cells/dendrites, and the size of cells/dendrites depends on the solidification rate.
In the investigated PBF-LB tool steel, the cellular structure was investigated, whereas in the PBF-EB steel, dendrites with well-developed secondary arms were observed (Figure 3b,c). This characteristic feature is related to the solidification rate and can be roughly estimated using the empirical equations proposed in [24,25], which link primary (λ1) or secondary (λ2) dendrite arm spacing with the solidification rate (CR) with respect to the material constants (A1, A2, m1, m2, n) and carbon content (CC) in steel. In the present work, the empirical equations proposed in [24,25] were used. For the estimation of the solidification rate in the PBF-LB material, the Equation (1) proposed in [24] was selected because the microstructure is cellular, so the primary dendrite arm spacing was measured and used to assess the solidification rate. In the PBF-EB steel, the dendrites were well developed, secondary dendrite arm spacing was measured, and the Equation (2) proposed in [25] was used. The parameters used in these empirical equations are summarized in Table 2.
The secondary dendrite arm spacing was estimated in SEM using a method recommended by Vandersluis et al. [27]; similarly, the primary dendrite arm spacing was measured in SEM. The primary dendrite arm spacing in PBF-LB was in a range of 0.28–0.32 µm. Using these values in Equation (1), the solidification rate in PBF-LB was calculated to be 2.0–2.5 × 106 °C/s. The measured secondary dendrite arm spacing in PBF-EB was in the range of 1.49–3.10 µm. Using these measured values and the carbon content of 1.4 wt.%C in Equation (2), a 0.5–3.8 × 104 °C/s solidification rate was calculated for the PBF-EB tool steel. The calculated values are in agreement with the values presented in the literature [2,3]. Experimentally observed variations of the measured dendrite spacing were related to the variations in solidification rate along the solidification interface in the molten pool.
Figure 11 illustrates an equilibrium solidification diagram for the investigated tool steel, which was calculated with Thermo-Calc. One can see that austenite and MC carbides were formed from the liquid, while the M7C3 and M6C carbides were formed in a solid state from the austenitic phase.
L     ~ 1385     L + γ     ~ 1365     L + γ + M C     ~ 1250     γ + M C     ~ 990     γ + M C + M 7 C 3   ~ 960     γ + M C + M 7 C 3   + M 6 C   ~ 825     γ + α + M C + M 7 C 3 + M 6 C   ~ 815     α + M C + M 7 C 3 + M 6 C
In practice, during solidification, M7C3 and M6C carbides can start forming when some liquid still exists in the system, as illustrated by the Scheil simulation with fast diffusers (as seen in Figure 11b). This simulation assumes zero diffusion in the solid state in all elements except carbon, which is defined as the fast diffuser. In additive-manufacturing processes, as shown in Table 2, solidification rates are very high, and this can significantly affect the liquid phase and solid phase diffusional process during solidification. Analysis of the microstructure of the PBF-LB material with SEM-EDS shows the presence of MC, i.e., dark carbides, in the interdendritic space. Other carbides were not formed due to the high cooling rates. As solidification of the PBF-EB tool steel was slower and the build temperature was kept at 850 °C, there was more time to form a carbide network in the interdendritic space. Therefore, all three types of carbides predicted by Scheil simulation, i.e., MC, M7C3, and M6C, were observed in the microstructure and identified with SEM-EDS and XRD in the PBF-EB material.

4.2. Thermal History and Cooling to Room Temperature

Due to the track-by-track and layer-by-layer manufacturing method, the solidified material was subjected to thermal cycling before cooling to room temperature. There was a significant difference between the thermal history of the PBF-LB and PBF-EB tool steels, which, in turn, resulted in different microstructures after cooling.
The microstructure of the last printed layer in additively manufactured materials is usually different from the microstructure in inner regions. In the PBF-LB-manufactured tool steel, a harder fresh martensite layer is normally observed on the top surface. The thickness of this layer is not the same as the thickness of the last deposited layer but larger and corresponds to the depth of the austenitization isotherm in the heat-affected zone. The presence of such a layer in the PBF-LB tool steel in the present work is illustrated in Figure 2a. Figure 2b shows the difference in the top layer observed in the PBF-EB material. A distinguished directionally solidified structure is visible.
The difference in the microstructure observed in the PBF-LB steel was also reflected in the hardness measurements. The top layer was hard and reached 748 HV10, which may indicate the presence of fresh martensite in the near-surface region. Nevertheless, the hardness was still lower than the martensite in the conventional steel [20], which may be a result of the retained austenite in the microstructure. Regions below 150 µm are softer, at 597 ± 38 HV10, which is a result of the in situ heat treatment; in addition, high austenite content also reduces hardness. In the PBF-EB steel, the hardness was not dependent on the depth, and the average hardness of 701 ± 17 HV10 was measured. This value was higher than that reported for the carbide + bainite structures in conventional materials (520–650 HV10) [22], which can be as a result of a fine structure, low retained austenite content, and the presence of primary carbides in the microstructure.
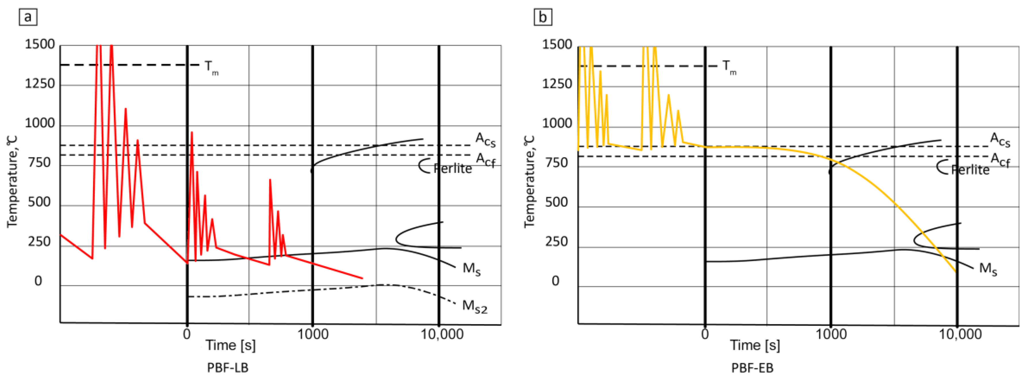
Figure 12a,b illustrate the thermal cycles that took place during the PBF-LB and PBF-EB processes, respectively. The lines illustrating cooling cycles are schematic and do not show the actual temperature but illustrate temperature variations in the material in relation to the transformation temperatures (critical points) of the steel. Actual curves depend on laser power, scanning speed, scanning strategy, and size of the build, while this picture describes a general situation of thermal cycling during manufacturing. In Figure 12a, heat accumulation, general cooling of each layer below the steel austenitization temperature, and multiple oscillations of the temperature around critical points are schematically illustrated. The dashed MS2 line depicts the decrease in the martensite transformation start (MS) point if the carbides were dissolved during manufacturing. As shown in Figure 12b, due to preheating during manufacturing, the temperature of the build did not drop below the critical points of the steel. After the PBF-EB process was finished, the build was cooled down in the chamber, which is illustrated by a yellow curve.
During PBF-LB, a number “n” layer was melted on top as the laser scans over this layer. It is common to partially remelt the previous, “n−1”, layer during manufacturing, and the depth of remelting was controlled by the energy input used. Even deeper lying layers, i.e., “n−2, n−3, n−4...”, were subjected to in situ thermal cycling. In the present case, as seen from Figure 2a and the hardness profile in Figure 9, the thermal cycles may have had a large amplitude, resulting in the austenitization of the inner regions to a depth of about 150 µm. On rapid cooling of the steel from these temperatures, the martensitic microstructure is usually formed. In deeper layers, the martensite is subjected to thermal cycles at lower temperatures, as schematically presented in Figure 12a. These thermal cycles initiate in situ heat treatment: a diffusion process that leads to a partial decomposition of the martensite. Finally, the build is cooled down from quite low temperatures by thermal conductivity through the substrate and powder bed around the build. The actual temperature in the inner regions depends on the manufacturing parameters, as well as the shape and the size of the component. In general, cooling time depends on the build size. Larger builds may accumulate more heat during manufacturing and thus need to cool down for a longer time. The continuous cooling transformation (CCT) diagram, in this case, can give an idea about the possible transformation that happened but cannot be directly applied to predict the final microstructure of the PBF-LB steel (Figure 12a).
In the PBF-EB tool steel, preheating to 850 °C was performed. This means that, after the manufacturing of a new “n” layer, the previously manufactured “n−1, n−2, n−3” layers were also subjected to in situ heat treatment, but the lowest temperature of the cycles was about 850 °C. The actual temperature may have varied to some extent (800–850 °C), but, in the internal parts of the PBF-EB tool steel, the temperature was maintained for a considerable time around Acs and finishes Acf temperatures. Then, after the manufacturing of the last layer, the material slowly cooled inside a partially sintered powder under low pressure. Under these cooling conditions, a CCT diagram can be used to predict the final microstructure (Figure 12b). Preheating and slow cooling to room temperature facilitate stress relaxation; therefore, thermal cracks were not observed in the PBF-EB tool steel investigated in this study.

4.3. Final Microstructure of PBF-LB Tool Steel

Thermal cycles and cooling after manufacturing determine the final microstructure and properties of AM steels. In the manufacturing of PBF-LB steel, thermal cycles have a large amplitude. The inner regions, although some heat accumulation takes place, cool down well below the Acf temperature several times. In the PBF-LB tool steels, it resulted in the formation and in situ heat treatment of the martensitic structure in the inner regions. Additionally, a great deal of retained austenite was formed in the material. It is proposed that the high amount of austenite was an important factor that resulted in the quite low hardness values of 597 ± 38 HV10 observed in the PBF-LB steel.
The high content of the retained austenite could be facilitated by the high cooling rates and by enrichments of austenite-stabilizing alloying elements from the almost completely dissolved carbides. Estimation of the change in the Ms point can be performed using an equation for high-alloy steels austenitized at temperatures at which almost all carbides are dissolved (Table 2). This rough estimation suggests a decrease in the Ms point down to about −20 °C, which gives an idea behind the mechanism of the stabilization of the high content of retained austenite in the PBF-LB tool steel. Another factor suppressing isothermal transformation is the very fine austenite grain size [28]. Additionally, due to thermal cycling and in situ heat treatment, carbon partitioning and the reversion of austenite may take place [19,29].
The specific feature of a microstructure in the investigated PBF-LB tool steel was the morphology of the α/α’ phase. It had two distinguishable morphologies: (i) one that was typical for the high-alloy steel blocks of lath martensite within cells, and (ii) one where long needles grow within colonies and through the fusion boundaries (see Figure 13). These long needles were observed even in the top region, as shown in Figure 2a, which was not subjected to multiple thermal cycles during manufacturing. It indicates that the long needles most likely formed at cooling after solidification rather than during in situ heat treatment.
Mixed martensite morphologies may co-exist in steels [30]. It has been suggested that the change in austempering temperature [31], the transformation sequence [32], and carbon content [33] can result in the formation of paired variants of an α/α’ phase with different morphologies within the same grain of austenite. The additional driving force for the formation of these long needles could be the high level of residual stresses during cooling after the solidification of the material. In the present investigation, growth of the α/α’ phase needles through the fusion boundary was observed in the PBF-LB tool steel, which confirms the growth of the α/α’ phase through fusion-boundaries. These needles are the characteristic feature of the PBF-LB cold-work tool steel, but more efforts are needed to explain the mechanisms of the formation of martensite with mixed morphology in the PBF-LB material, as well as to identify the observed α/α’ phase.

4.4. Final Microstructure of PBF-EB Tool Steel

Relatively slow cooling after manufacturing of the presently investigated PBF-EB tool steel resulted in the formation of carbide + bainite structures in the steel (Figure 12b). Needle-like bainite was visible within the dendrites and was visualized by EBSD (see Figure 3 and Figure 8). The formation of carbide + bainite was also confirmed by hardness measurements. In conventional materials, hardness values of 500–700 HV correspond to materials that are quite slowly cooled, i.e., when bainitic microstructures are formed, while the martensite has a hardness of about 800 HV.

4.5. Prior Austenite Size

Prior austenite grains were reconstructed using the method proposed by Niessen et al. [34] assuming the Kurdjumov–Sachs orientation, 111 γ 110 α and 110 γ 111 α , between the prior austenite and α/α’-phase phases. The prior austenite grain in this case was a colony of dendrites grown with the same crystallographic orientation. Figure 13a illustrates the reconstructed prior austenite grains in the PBF-LB tool steel. Figure 13b shows the γ-phase in the microstructure identified with EBSD, while Figure 13c illustrates the α/α’-phase in the microstructure. The reconstruction confirmed that, although the martensite variant and morphology of the lath- and needle-like martensite were not the same, the lath- and needle-like martensite and retained austenite all belonged to the same prior austenite grains.
Figure 13d illustrates the reconstructed austenite grains (the colonies of dendrites) obtained in the PBF-EB material. Interestingly, the size of the prior austenite colonies observed in the tool steel manufactured with PBF-EB was a bit smaller compared to the size of colonies observed in the PBF-LB tool steel. At first glance, it was not expected, as the PBF-EB material was manufactured with preheating to 850 °C, and—with respect to the heat accumulation during manufacturing—substantial austenite grain growth could be expected. Nevertheless, the primary carbides formed in the interdendritic space apparently were efficient in preventing austenite grain coarsening and keeping the austenite colony size almost constant. In the PBF-LB material, carbides were dissolved during manufacturing but the thermal history was different and the manufactured material was at a high temperature for a shorter time, so austenite colony coarsening took place but was not dramatic. The stability of the colony boundaries was also a possible reason for this effect.

4.6. Fracture Surface

In the PBF-LB material, typical interdendritic fracture morphologies were observed. If the crack propagated parallel to the colony growth direction, characteristic large facets were observed at the fracture surface (Figure 11a). If the crack propagated perpendicular to the colony growth direction, dendrites were oriented as crack arresters related to the crack propagation direction; therefore, cells/dendrites were also visible, but large facets were not observed (Figure 11b). This observation confirms a hypothesis that has been presented where the segregations of elements and formation of carbide phases in the interdendritic space are the easy path for the crack to propagate through the microstructure [35]. Similar behavior has been observed by Baek [36] in a tool steel manufactured with directed energy deposition.

5. Conclusions

The Cr-Mo-V cold-work tool steel was manufactured using PBF-LB (laser power of 250 W, scanning speed of 600 mm/s, hatch distance of 60 µm, layer thickness of 50 µm, and volumetric energy density of 138.89 J/mm3) or PBF-EB (beam current of 3.64 mA, acc. voltage of 60 kV, beam speed of 500 mm/s, line offset of 100 µm, layer thickness of 75 µm, and volumetric energy density of 58.28 J/mm3) methods with densities of 98.08% and 99.96%, respectively.
Differences in the thermal history, in the cooling rates, and in the in situ heat treatment in the PBF-LB or PBF-EB manufacturing methods resulted in the following differences in the microstructure of the additively manufactured Cr-Mo-V cold-work tool steel:
-
At the solidification of the PBF-LB steel, a cellular–dendritic structure was formed with a primary cell size of 0.28–0.32 µm. No coarse primary carbides were observed, but a nanoscale network consisting of black particles was revealed by SEM in the final microstructure of the PBF-LB steel. At the solidification of the PBF-EB tool steel, dendrites with well-developed secondary arms and carbides in the interdendritic space were formed. Secondary dendrite arm spacing was in the range of 1.49–3.10 µm;
-
The solidification rates calculated based on dendrite spacing measurements were 2.0–2.5 × 106 °C/s in the PBF-LB process and 0.5–3.8 × 104 °C/s in the PBF-EB process;
-
During PBF-LB manufacturing and cooling in the solid state, the inner regions of the build were subjected to thermal cycles, and the temperatures of the cycles gradually decreased down to ambient temperatures. This resulted in the formation of a two-phase microstructure consisting of an α/α’-phase and high amounts of retained austenite. The α/α’-phase observed in the PBF-LB tool steel had two morphologies, resembling lath martensite and long needles grown through layers and fusion boundaries;
-
During PBF-EB manufacturing and cooling in the solid state, the inner regions were subjected to thermal cycles (predominantly in the austenite region) due to the preheating. According to the reconstruction of prior austenite grain size, the network of interdendritic carbides efficiently suppressed the growth of austenite grains during manufacturing.
The high content of the retained austenite explained the low hardness of 597 ± 38 HV in the inner region of the PBF-LB tool steel. The cooling after PBF-EB manufacturing resulted in the formation of bainite needles within the dendrites with a final hardness of 701 ± 17 HV.

Author Contributions

Conceptualization—M.Å., C.O., E.S. and P.K. (Pavel Krakhmalev); Investigation—M.Å., F.L., P.K. (Patrik Karlsson), E.S., M.U. and P.K. (Pavel Krakhmalev); Formal analysis and validation—all; Writing—Original draft, review, and editing—M.Å., F.L., P.K. (Patrik Karlsson), E.S., M.U. and P.K. (Pavel Krakhmalev); Resources and Funding acquisition—C.O., E.S. and P.K. (Pavel Krakhmalev). All authors have read and agreed to the published version of the manuscript.

Funding

This work was funded by the strategic innovation program Metalliska Material, Vinnova, Formas and Energimyndigheten, Sweden [grant number 2018-00809]. A contribution to F.L. was made by The Knowledge Foundation (KK-stiftelsen - Stiftelsen för kunskaps- och kompetensutveckling), Sweden [grant number 2019-0033].

Data Availability Statement

The original contributions presented in this study are included in the article; further inquiries can be directed to the authors.

Acknowledgments

The authors wish to thank S. Ejnermark and M. Nilsson (Fallqvist), Uddeholms AB, for their help with the Thermo-Calc calculations and fruitful discussions.

Conflicts of Interest

Author Markus Uhlirsch was employed by the company Uddeholms AB. Author Markus Uhlirsch was employed by the company Swerim AB. The remaining authors declare that the research was conducted in the absence of any commercial or financial relationships that could be construed as a potential conflict of interest.

References

  1. Murr, L.E. Metallurgy of additive manufacturing: Examples from electron beam melting. Addit. Manuf. 2015, 5, 40–53. [Google Scholar] [CrossRef]
  2. Körner, C. Additive manufacturing of metallic components by selective electron beam melting—A review. Int. Mater. Rev. 2016, 61, 361–377. [Google Scholar] [CrossRef]
  3. DebRoy, T.; Wei, H.L.; Zuback, J.S.; Mukherjee, T.; Elmer, J.W.; Milewski, J.O.; Beese, A.M.; Wilson-Heid, A.; De, A.; Zhang, W. Additive manufacturing of metallic components–process, structure and properties. Prog. Mater. Sci. 2018, 92, 112–224. [Google Scholar] [CrossRef]
  4. Murr, L.E.; Gaytan, S.M.; Ramirez, D.A.; Martinez, E.; Hernandez, J.; Amato, K.N.; Shindo, P.W.; Medina, F.R.; Wicker, R. Metal fabrication by additive manufacturing using laser and electron beam melting technologies. J. Mater. Sci. Technol. 2012, 28, 1–14. [Google Scholar] [CrossRef]
  5. Herzog, D.; Seyda, V.; Wycisk, E.; Emmelmann, C. Additive manufacturing of metals. Acta Mater. 2016, 117, 371–392. [Google Scholar] [CrossRef]
  6. Ladani, L. Additive Manufacturing of Metals: Materials, Processes, Tests, and Standards; DEStech Publications Inc.: Lancaster, PA, USA, 2021; p. 265. [Google Scholar]
  7. Bertsch, K.M.; Voisin, T.; Forien, J.B.; Tiferet, E.; Ganor, Y.I.; Chonin, M.; Wang, Y.M.; Matthews, M.J. Critical differences between electron beam melted and selective laser melted Ti-6Al-4 V. Mater. Design. 2022, 16, 110533. [Google Scholar] [CrossRef]
  8. Bajaj, P.; Hariharan, A.; Kini, A.; Kürnsteiner, P.; Raabe, D.; Jägle, E.A. Steels in additive manufacturing: A review of their microstructure and properties. Mater. Sci. Eng. A 2020, 772, 138633. [Google Scholar] [CrossRef]
  9. Qin, S.; Saewe, J.; Kunz, J.; Herzog, S.; Kaletsch, A.; Schleifenbaum, J.H.; Broeckmann, C. Influence of preheating temperature on microstructure evolution and hardness of high-speed steel AISI M50 processed by laser powder bed fusion. Steel Res. Int. 2023, 94, 2200784. [Google Scholar] [CrossRef]
  10. Mertens, R.; Vrancken, B.; Holmstock, N.; Kinds, Y.; Kruth, J.P.; Van Humbeeck, J. Influence of powder bed preheating on microstructure and mechanical properties of H13 tool steel SLM parts. Phys. Procedia 2016, 83, 882–890. [Google Scholar] [CrossRef]
  11. Kirchner, A.; Klöden, B.; Franke-Jurisch, M.; Inarra Rauh-Hain, L.; Weißgärber, T. Manufacturing of Tool Steels by PBF-EB. Metals 2021, 11, 1640. [Google Scholar] [CrossRef]
  12. Franke-Jurisch, M.; Mirz, M.; Wenz, T.; Kirchner, A.; Klöden, B.; Weißgärber, T. PBF-EB of Fe-Cr-V Alloy for Wear Applications. Materials 2022, 15, 1679. [Google Scholar] [CrossRef] [PubMed]
  13. Kahlert, M.; Brenne, F.; Vollmer, M.; Niendorf, T. Influence of Microstructure and Defects on Mechanical Properties of AISI H13 Manufactured by Electron Beam Powder Bed Fusion. J. Mater. Eng. Perform. 2021, 30, 6895–6904. [Google Scholar] [CrossRef]
  14. Jin, J.; Gao, R.; Peng, H.; Guo, H.; Gong, S.; Chen, B. Rapid solidification microstructure and carbide precipitation behavior in electron beam melted high-speed steel. Metall. Mater. Trans. 2020, 51, 2411–2429. [Google Scholar] [CrossRef]
  15. Boes, J.; Röttger, A.; Mutke, C.; Escher, C.; Theisen, W. Microstructure and mechanical properties of X65MoCrWV3-2 cold-work tool steel produced by selective laser melting. Addit. Manuf. 2018, 23, 170–180. [Google Scholar] [CrossRef]
  16. Sander, J.; Hufenbach, J.; Giebeler, L.; Wendrock, H.; Kühn, U.; Eckert, J. Microstructure and properties of FeCrMoVC tool steel produced by selective laser melting. Mater. Design. 2016, 89, 335–341. [Google Scholar] [CrossRef]
  17. Jia, H.; Sun, H.; Wang, H.; Wu, Y.; Wang, H. Scanning strategy in selective laser melting (SLM): A review. Int. J. Adv. Manuf. Tech. 2021, 113, 2413–2435. [Google Scholar] [CrossRef]
  18. Bachmann, F.; Hielscher, R.; Schaeben, H. Texture analysis with MTEX—Free and open source software toolbox. Solid State Phenom. 2010, 160, 63–68. [Google Scholar] [CrossRef]
  19. Krakhmalev, P.; Yadroitsava, I.; Fredriksson, G.; Yadroitsev, I. In situ heat treatment in selective laser melted martensitic AISI 420 stainless steels. Mater. Des. 2015, 87, 380–385. [Google Scholar] [CrossRef]
  20. ASTM E975-22; Standard Practice for X-ray Determination of Retained Austenite in Steel with Near Random Crystallographic Orientation; ASTM Volume 03.01: Metals—Mechanical Testing; Elevated and Low-Temperature Tests, Metallography. ASTM International: West Conshohocken, PA, USA. Available online: https://www.astm.org/e0975-22.html (accessed on 12 August 2024).
  21. Botero, C.A.; Şelte, A.; Ramsperger, M.; Maistro, G.; Koptyug, A.; Bäckström, M.; Sjöström, W.; Rännar, L.-E. Microstructural and mechanical evaluation of a Cr-Mo-V cold-work tool steel produced via electron beam melting (EBM). Materials 2021, 14, 2963. [Google Scholar] [CrossRef] [PubMed]
  22. Available online: https://www.uddeholm.com/app/uploads/sites/43/2017/09/van_4_extra-swe_p_R1611_e5.pdf (accessed on 15 July 2024).
  23. Krakhmalev, P.; Kazantseva, N. Microstructure of L-PBF Alloys. In Fundamentals of Laser Powder Bed Fusion of Metals; Yadroitsev, I., Yadroitsava, I., Plessis, A.D., MacDonald, E., Eds.; Elsevier: Amsterdam, The Netherlands, 2021; pp. 215–243. [Google Scholar] [CrossRef]
  24. Jacobi, H.; Schwerdtfeger, K. Dendrite morphology of steady state unidirectionally solidified steel. Metall. Trans. A 1976, 7, 811–820. [Google Scholar] [CrossRef]
  25. Won, Y.M.; Thomas, B.G. Simple model of microsegregation during solidification of steels. Metall. Mater. Trans. A 2001, 32, 1755–1767. [Google Scholar] [CrossRef]
  26. Platl, J.; Leitner, H.; Turk, C.; Schnitzer, R. Determination of martensite start temperature of high-speed steels based on thermodynamic calculations. Steel Res. Int. 2020, 91, 2000063. [Google Scholar] [CrossRef]
  27. Vandersluis, E.; Comondore, R. Comparison of measurement methods for secondary dendrite arm spacing. Metallogr. Microstruct. Anal. 2017, 6, 89–94. [Google Scholar] [CrossRef]
  28. Freeman, F.S.; Sharp, J.; Xi, J.; Todd, I. Influence of solidification cell structure on the martensitic transformation in additively manufactured steels. Addit. Manuf. 2019, 30, 100917. [Google Scholar] [CrossRef]
  29. Holzweissig, M.J.; Taube, A.; Brenne, F.; Schaper, M.; Niendorf, T. Microstructural characterization and mechanical performance of hot work tool steel processed by selective laser melting. Metall. Mater. Trans. B 2015, 46, 545–549. [Google Scholar] [CrossRef]
  30. Maki, T.; Tsuzaki, K.; Tamura, I. The morphology of microstructure composed of lath martensites in steels. Trans. Iron Steel Inst. Jpn. 1980, 20, 207–214. [Google Scholar] [CrossRef]
  31. Ståhlkrantz, A.; Hedström, P.; Sarius, N.; Borgenstam, A. Revealing the unexpected two variant pairing shifts due to temperature change in a single bainitic medium carbon steel. Metall. Mater. Trans. A 2021, 52, 4546–4557. [Google Scholar] [CrossRef]
  32. Morsdorf, L.; Tasan, C.C.; Ponge, D.; Raabe, D. 3D structural and atomic-scale analysis of lath martensite: Effect of the transformation sequence. Acta Mater. 2015, 95, 366–377. [Google Scholar] [CrossRef]
  33. Stormvinter, A.; Miyamoto, G.; Furuhara, T.; Hedström, P.; Borgenstam, A. Effect of carbon content on variant pairing of martensite in Fe–C alloys. Acta Mater. 2012, 60, 7265–7274. [Google Scholar] [CrossRef]
  34. Niessen, F.; Nyyssönen, T.; Gazder, A.; Hielscher, R. Parent grain reconstruction from partially or fully transformed microstructures in MTEX. J. Appl. Crystallogr. 2022, 55, 180–194. [Google Scholar] [CrossRef] [PubMed]
  35. Platl, J.; Bodner, S.; Hofer, C.; Landefeld, A.; Leitner, H.; Turk, C.; Nielsen, M.-A.; Demir, A.G.; Previtali, B.; Keckes, J.; et al. Cracking mechanism in a laser powder bed fused cold-work tool steel: The role of residual stresses, microstructure and local elemental concentrations. Acta Mater. 2022, 225, 117570. [Google Scholar] [CrossRef]
  36. Baek, G.Y.; Shin, G.Y.; Lee, K.Y.; Shim, D.S. Mechanical Properties of Tool Steels with High Wear Resistance via Directed Energy Deposition. Metals 2019, 9, 282. [Google Scholar] [CrossRef]
Figure 1. Cross-sectional CT views of the specimens that were 3 mm in diameter and manufactured by (a) PBF-LB and (b) PBF-EB. The building direction (BD) is perpendicular to the view.
Figure 1. Cross-sectional CT views of the specimens that were 3 mm in diameter and manufactured by (a) PBF-LB and (b) PBF-EB. The building direction (BD) is perpendicular to the view.
Metals 14 00934 g001
Figure 2. SEM BSE images of the microstructures of etched, near-surface regions: (a) PBF-LB and (b) PBF-EB tool steel. Building direction (BD) is indicated with an arrow.
Figure 2. SEM BSE images of the microstructures of etched, near-surface regions: (a) PBF-LB and (b) PBF-EB tool steel. Building direction (BD) is indicated with an arrow.
Metals 14 00934 g002
Figure 3. SEM BSE images of the microstructure of the inner regions: (a) the martensite needles grown through the cells and the fusion boundary are indicated by the dashed line, and (b) a cellular structure with martensite lath inside the cells and a network of dark particles in the PBF-LB steel, and (c) the dendritic structure and carbide network in the PBF-EB tool steel. Building direction is indicated with an arrow.
Figure 3. SEM BSE images of the microstructure of the inner regions: (a) the martensite needles grown through the cells and the fusion boundary are indicated by the dashed line, and (b) a cellular structure with martensite lath inside the cells and a network of dark particles in the PBF-LB steel, and (c) the dendritic structure and carbide network in the PBF-EB tool steel. Building direction is indicated with an arrow.
Metals 14 00934 g003
Figure 4. The microstructure and EDS line scan in the PBF-LB tool steel: (a) the SEM BSE of the region containing needles, where the building direction is bottom-up, and (b) the EDS line scans over the selected region.
Figure 4. The microstructure and EDS line scan in the PBF-LB tool steel: (a) the SEM BSE of the region containing needles, where the building direction is bottom-up, and (b) the EDS line scans over the selected region.
Metals 14 00934 g004
Figure 5. SEM SE images and EDS maps of the selected elements. Building direction is indicated with an arrow.
Figure 5. SEM SE images and EDS maps of the selected elements. Building direction is indicated with an arrow.
Metals 14 00934 g005
Figure 6. SEM BSE images and EDS maps of the selected elements. Arrow 1—vanadium-rich carbides (black in SEM image). Arrow 2—molybdenum-rich carbides (white in SEM image). Arrow 3 and 4—chromium-rich carbides with a varied content of molybdenum (gray in SEM BSE image). Building direction is indicated with an arrow.
Figure 6. SEM BSE images and EDS maps of the selected elements. Arrow 1—vanadium-rich carbides (black in SEM image). Arrow 2—molybdenum-rich carbides (white in SEM image). Arrow 3 and 4—chromium-rich carbides with a varied content of molybdenum (gray in SEM BSE image). Building direction is indicated with an arrow.
Metals 14 00934 g006
Figure 7. XRD pattern of the PBF-LB (green line), and the PBF-EB (red line) tool steels.
Figure 7. XRD pattern of the PBF-LB (green line), and the PBF-EB (red line) tool steels.
Metals 14 00934 g007
Figure 8. Microstructure of the PBF-LB (left column) and PBF-EB (right column) tools steels: (a,b) band-contrasted EBSD maps, (c,d) orientation maps parallel to the building direction, and (e,f) phase maps of the PBF-LB and PBF-EB steel. Building direction is indicated with an arrow.
Figure 8. Microstructure of the PBF-LB (left column) and PBF-EB (right column) tools steels: (a,b) band-contrasted EBSD maps, (c,d) orientation maps parallel to the building direction, and (e,f) phase maps of the PBF-LB and PBF-EB steel. Building direction is indicated with an arrow.
Metals 14 00934 g008
Figure 9. The hardness depth profiles from the top surfaces of the PBF-LB and PBF-EB tool steels.
Figure 9. The hardness depth profiles from the top surfaces of the PBF-LB and PBF-EB tool steels.
Metals 14 00934 g009
Figure 10. Fracture surface of PBF-LB with (a) a crack parallel to the colony growth direction and (b) a crack perpendicular to the colony growth direction.
Figure 10. Fracture surface of PBF-LB with (a) a crack parallel to the colony growth direction and (b) a crack perpendicular to the colony growth direction.
Metals 14 00934 g010
Figure 11. Thermo-Calc simulation of (a) the volume–fraction of all the stable phases present in the investigated steel as a function of temperature, and (b) a Scheil solidification simulation.
Figure 11. Thermo-Calc simulation of (a) the volume–fraction of all the stable phases present in the investigated steel as a function of temperature, and (b) a Scheil solidification simulation.
Metals 14 00934 g011
Figure 12. Schematic illustration of the thermal cycles during manufacturing, and a continuous cooling transformation diagram: (a) the PBF-LB- and (b) the PBF-EB-manufactured cold-work tool steels.
Figure 12. Schematic illustration of the thermal cycles during manufacturing, and a continuous cooling transformation diagram: (a) the PBF-LB- and (b) the PBF-EB-manufactured cold-work tool steels.
Metals 14 00934 g012
Figure 13. Parent austenite grain reconstruction: (a,d) orientation map of the reconstructed austenite grains, (b,e) orientation map of the grains belonging to the γ-phases (small round particles with high-angle boundaries are instead particles of VC that have the same face-centered cubic lattice as the austenitic phase in this steel), with boundaries of the prior austenite grains, and (c,f) orientation map of the grains belonging to the α/α’-phases, with boundaries of the prior austenite grains. (ac) represent PBF-LB, while (df) represent PBF-EB tool steel. In both cases, only boundaries with misorientations higher than 10° are depicted. Building direction is bottom-up in all images.
Figure 13. Parent austenite grain reconstruction: (a,d) orientation map of the reconstructed austenite grains, (b,e) orientation map of the grains belonging to the γ-phases (small round particles with high-angle boundaries are instead particles of VC that have the same face-centered cubic lattice as the austenitic phase in this steel), with boundaries of the prior austenite grains, and (c,f) orientation map of the grains belonging to the α/α’-phases, with boundaries of the prior austenite grains. (ac) represent PBF-LB, while (df) represent PBF-EB tool steel. In both cases, only boundaries with misorientations higher than 10° are depicted. Building direction is bottom-up in all images.
Metals 14 00934 g013
Table 1. Manufacturing parameters and selected properties of the high-alloy (Cr-Mo-V) cold-work tool steel manufactured by PBF-EB and PBF-LB methods.
Table 1. Manufacturing parameters and selected properties of the high-alloy (Cr-Mo-V) cold-work tool steel manufactured by PBF-EB and PBF-LB methods.
PBF-LBLaser Power
(W)
Scanning Speed
(mm/s)
Hatch Distance
(µm)
Layer Thickness
(µm)
Energy Density
(J/mm3)
Hardness As-Built (Bulk)
HV10
2506006050138.89597 ± 38
PBF-EBBeam Current
(mA)
Acc. Voltage
(kV)
Beam Speed
(mm/s)
Line Offset
(µm)
3.64605001007558.28701 ± 17
Table 2. The empirical equations and equation parameters used to estimate solidification rates and determine the martensite start temperature.
Table 2. The empirical equations and equation parameters used to estimate solidification rates and determine the martensite start temperature.
Primary Dendrite Arm Spacing (for Steel with 1.48 wt.%C), λ1, µm [24]
λ1 = A1(CR)m1
A1—material constant, A1 = 336;
m1—material constant, m1 = −0.48;
CR—solidification rate, °C/s;
Equation (1)
Secondary dendrite arm spacing, λ2, µm [25]
λ2 = A2(CR)m2(CC)n;
A2—material constant, A2 = 143.9;
CR—solidification rate, °C/s;
m2—material constant, m2= −0.3616;
CC—carbon content, wt.%;
n—exponent depending on carbon content;
n = 0.5501–1.996 CC (for CC > 0.15)
Equation (2)
Martensite start temperature, MS2 °C [26]
MS2 = 0.495 × (550 − 350 Cc − 40 CMn − 35 CV − 20 CCr − 17 CNi − 10 CCu − 10 CMo − 8 CW) + 0.00095 × (550 − 350 Cc − 40 CMn − 35 CV − 20 CCr − 17 CNi − 10 CCu − 10 CMo − 8 CW)2 + 40
CX, concentrations of element X, wt.%
Equation (3)
Disclaimer/Publisher’s Note: The statements, opinions and data contained in all publications are solely those of the individual author(s) and contributor(s) and not of MDPI and/or the editor(s). MDPI and/or the editor(s) disclaim responsibility for any injury to people or property resulting from any ideas, methods, instructions or products referred to in the content.

Share and Cite

MDPI and ACS Style

Åsberg, M.; Lin, F.; Karlsson, P.; Oikonomou, C.; Strandh, E.; Uhlirsch, M.; Krakhmalev, P. A Comparative Study of the As-Built Microstructure of a Cold-Work Tool Steel Produced by Laser and Electron-Beam Powder-Bed Fusion. Metals 2024, 14, 934. https://doi.org/10.3390/met14080934

AMA Style

Åsberg M, Lin F, Karlsson P, Oikonomou C, Strandh E, Uhlirsch M, Krakhmalev P. A Comparative Study of the As-Built Microstructure of a Cold-Work Tool Steel Produced by Laser and Electron-Beam Powder-Bed Fusion. Metals. 2024; 14(8):934. https://doi.org/10.3390/met14080934

Chicago/Turabian Style

Åsberg, Mikael, Fengxiang Lin, Patrik Karlsson, Christos Oikonomou, Emil Strandh, Markus Uhlirsch, and Pavel Krakhmalev. 2024. "A Comparative Study of the As-Built Microstructure of a Cold-Work Tool Steel Produced by Laser and Electron-Beam Powder-Bed Fusion" Metals 14, no. 8: 934. https://doi.org/10.3390/met14080934

APA Style

Åsberg, M., Lin, F., Karlsson, P., Oikonomou, C., Strandh, E., Uhlirsch, M., & Krakhmalev, P. (2024). A Comparative Study of the As-Built Microstructure of a Cold-Work Tool Steel Produced by Laser and Electron-Beam Powder-Bed Fusion. Metals, 14(8), 934. https://doi.org/10.3390/met14080934

Note that from the first issue of 2016, this journal uses article numbers instead of page numbers. See further details here.

Article Metrics

Back to TopTop