Investigation on the Bending Properties and Geometric Defects of Steel/Polymer/Steel Sheets—Three-Point and Hat-Shaped Bending
Abstract
1. Introduction
2. Experimental Procedures
2.1. Laminate Fabrication
2.2. Mechanical Properties’ Characterization
2.3. Hat-Shaped Bending
2.4. Three-Point Bending
3. Results and Discussion
3.1. Mechanical Properties of Monolithic Sheets
3.2. Flexural Properties and Bending Defects of Composite Sheets
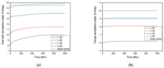
3.2.1. Hat-Shaped Bending
3.2.2. Three-Point Bending
4. Conclusions
- Due to the stress relaxation in the polymeric layer of the bent samples, there is a delay in the springback, which stabilizes in a time interval from 0 to .
- The higher the volume fraction of the polymer, the lower the ultimate springback in the bent specimens. The reason for this is an increase in the n-value and YPE, while there is a decrease in the yield strength, elastic modulus, and R-value with the increase in the thickness of the polymeric layer.
- As the SPS sheets’ thickness increases, the maximum required bending moment increases, which consequently increases the bending force. The bending rigidity of the three-layer sheets is equal to the bending rigidity of the homogeneous steel sheet at the same thickness and lighter weight.
- Although the required force to bend the three-layer sheets increases with the increase in the volume fraction of the polymeric layer, the flexural strength and the flexural modulus decrease due to the increase in the total thickness.
- The SEM analysis of the cross-section of the metal/polymer layers in the structure of the three-layer laminates shows that the presence of the mechanical interlocks at the metal/polymer interface prevents the delamination or slippage between the layers after the bending processes. Therefore, it can be concluded that the materials and the bonding method have been correctly selected.
- In both hat-shaped bent and three-point bent specimens, defects such as compaction or accumulation remain within permissible bounds and do not attain a critical scale that could potentially compromise the structural integrity of the composite.
Author Contributions
Funding
Data Availability Statement
Conflicts of Interest
References
- Lubimyi, N.S.; Polshin, A.A.; Gerasimov, M.D.; Tikhonov, A.A.; Antsiferov, S.I.; Chetverikov, B.S.; Ryazantsev, V.G.; Brazhnik, J.; Ridvanov, İ. Justification of the use of composite metal-metal-polymer parts for functional structures. Polymers 2022, 14, 352. [Google Scholar] [CrossRef]
- Bekele, T.; Ramulu, P.J.; Beri, H.; Siraji, A.; Reddy, P.P.K. Investigation of Forming Behaviour of Metal-Polymer Sandwich Composite through Limit Dome Height Test Simulations. J. Eng. 2022, 2022, 4674576. [Google Scholar] [CrossRef]
- Kella, C.K.; Mallick, P. Formability Analysis of Aluminum-Aluminum and AA5182/Polypropylene/AA5182 Laminates; SAE Technical Paper 2023-01-0731; SAE International: Warrendale, PA, USA, 2023. [Google Scholar] [CrossRef]
- Naik, R.K.; Das, A.K.; Mahale, P.R.; Panda, S.K.; Racherla, V. Design optimization of high interface strength metal–polymer–metal sandwich panels. Compos. Part. A Appl. Sci. Manuf. 2023, 171, 107544. [Google Scholar] [CrossRef]
- Liu, D.; Li, X. An overall view of laminate theories based on displacement hypothesis. J. Compos. Mater. 1996, 30, 1539–1561. [Google Scholar] [CrossRef]
- Liu, X.; Di, B.; Yu, X.; Liu, H.; Dhawan, S.; Politis, D.J.; Kopec, M.; Wang, L. Development of a formability prediction model for aluminium sandwich panels with polymer core. Materials 2022, 15, 4140. [Google Scholar] [CrossRef]
- Glushchenkov, V.A.; Palkowski, H.; Yusupov, R.Y.; Matveev, D.A.; Khardin, M. A Non-Destructive Method for Evaluating the Adhesion between the Layers of Metal-Polymer-Metal Composite Materials. Mater. Technol. 2024, 58, 3–8. [Google Scholar] [CrossRef]
- Forcellese, A.; Simoncini, M. Mechanical properties and formability of metal–polymer–metal sandwich composites. Int. J. Adv. Manuf. Technol. 2020, 107, 3333–3349. [Google Scholar] [CrossRef]
- Naderli, R.; Fazli, A. Experimental investigation of the clinching process for joining the three-layer aluminum/polymer/aluminum composite sheets. Int. J. Lightweight Mater. Manuf. 2024, 7, 308–326. [Google Scholar] [CrossRef]
- Kaščák, Ľ.; Slota, J.; Bidulská, J.; Bidulský, R.; Kubit, A. Experimental investigation of joining the metal/polymer/metal composite sheets by clinching method. Acta Metall. Slovaca 2023, 4, 214–218. [Google Scholar] [CrossRef]
- Kazemi, F.; Hashemi, R.; Niknam, S.A. Formability and fractography of AA5754/polyethylene/AA5754 sandwich composites. Mech. Based Des. Struct. Mach. 2022, 50, 1253–1267. [Google Scholar] [CrossRef]
- Pokkalla, D.K.; Hassen, A.A.; Nuttall, D.; Tsiamis, N.; Rencheck, M.L.; Kumar, V.; Nandwana, P.; Joslin, C.B.; Blanchard, P.; Tamhankar, S.L.; et al. A novel additive manufacturing compression overmolding process for hybrid metal polymer composite structures. Addit. Manuf. Lett. 2023, 5, 100128. [Google Scholar] [CrossRef]
- Tagimalek, H.; Mahmoodi, M. Experimental evaluation of T-peel strength on functionally graded Al5083 and HDPE tri-laminated composites fabricated by colding-assisted friction stir additive manufacturing. J. Adv. Join. Process. 2024, 9, 100174. [Google Scholar] [CrossRef]
- Trzepieciński, T.; Najm, S.M.; Sbayti, M.; Belhadjsalah, H.; Szpunar, M.; Lemu, H.G. New advances and future possibilities in forming technology of hybrid metal–polymer composites used in aerospace applications. J. Compos. Sci. 2021, 5, 217. [Google Scholar] [CrossRef]
- Parsa, M.H.; Ettehad, M.; Matin, P.H. Forming limit diagram determination of Al 3105 sheets and Al 3105/polypropylene/Al 3105 sandwich sheets using numerical calculations and experimental investigations. J. Eng. Mater. Technol. 2013, 135, 031003. [Google Scholar] [CrossRef]
- Yin, S.; Mason, J.; Schmid, S.; Corona, E. 522 Bending and Springback of Laminated Steel. In The Proceedings of the JSME Materials and Processing Conference (M&P) 10.2; The Japan Society of Mechanical Engineers: Saporo, Japan, 2002; pp. 159–163. [Google Scholar]
- Liu, L.; Wang, J. Modeling springback of metal-polymer-metal laminates. J. Manuf. Sci. Eng. 2004, 126, 599–604. [Google Scholar] [CrossRef]
- Yang, J.; Han, S.; Yu, W.-R. Detection of delamination of steel–polymer sandwich composites using acoustic emission and development of a forming limit diagram considering delamination. Heliyon 2023, 9, e16942. [Google Scholar] [CrossRef] [PubMed]
- Kim, K.J.; Kim, D.; Choi, S.H.; Chung, K.; Shin, K.S.; Barlat, F.; Oh, K.H.; Youn, J.R. Formability of AA5182/polypropylene/AA5182 sandwich sheets. J. Mater. Process Technol. 2003, 139, 1–7. [Google Scholar] [CrossRef]
- Hameed, G.G.; Jweeg, M.J.; Hussein, A. Springback and side wall curl of metal sheet in plain strain deep drawing. Res. J. Appl. Sci. 2009, 4, 192–201. [Google Scholar]
- Xu, Z.; Qiu, D.; Shahzamanian, M.M.; Zhou, Z.; Mei, D.; Peng, L. An improved springback model considering the transverse stress in microforming. Int. J. Mech. Sci. 2023, 241, 107947. [Google Scholar] [CrossRef]
- Mohammadi, S.V.; Parsa, M.H.; Aghchai, A.J. Effect of the thickness distribution and setting condition on springback in multi-layer sheet bending. Int. J. Eng. Sci. Technol. 2011, 3, 225–235. [Google Scholar] [CrossRef][Green Version]
- Mosse, L.; Compston, P.; Cantwell, W.J.; Cardew-Hall, M.; Kalyanasundaram, S. The effect of process temperature on the formability of polypropylene based fibre–metal laminates. Compos. Part. A Appl. Sci. Manuf. 2005, 36, 1158–1166. [Google Scholar] [CrossRef]
- Weiss, M.; Rolfe, B.F.; Dingle, M.E.; Hodgson, P. The influence of interlayer thickness and properties on spring-back of SPS-(steel/polymer/steel) laminates. Steel Grips 2004, 2, 445–449. [Google Scholar]
- Harhash, M.; Gilbert, R.R.; Hartmann, S.; Palkowski, H. Experimental characterization, analytical and numerical investigations of metal/polymer/metal sandwich composites–Part 2: Free bending. Compos. Struct. 2020, 232, 111421. [Google Scholar] [CrossRef]
- Engel, B.; Buhl, J. Forming of sandwich sheets considering changing damping properties. In Metal Forming-Process, Tools, Design; 2012; pp. 85–108. Available online: https://www.intechopen.com/chapters/40044 (accessed on 1 August 2024). [CrossRef]
- Li, H.; Chen, J.; Yang, J. Experimental and numerical investigation of laminated steel sheet in V-bending process considering nonlinear visco-elasticity of polymer layer. J. Mater. Process Technol. 2012, 212, 36–45. [Google Scholar] [CrossRef]
- Corona, E.; Eisenhour, T. Wiping die bending of laminated steel. Int. J. Mech. Sci. 2007, 49, 392–403. [Google Scholar] [CrossRef]
- Xiao, X.; Hsiung, C.-K.; Zhao, Z. Analysis and modeling of flexural deformation of laminated steel. Int. J. Mech. Sci. 2008, 50, 69–82. [Google Scholar] [CrossRef]
- Link, T.M. Formability and performance of steel-plastic-steel laminated sheet materials. SAE Trans. 2001, 110, 48–55. [Google Scholar]
- Aghchai, A.J.; Abolghasemi, A.; Moradkhani, B.; Tajik, M. Experimental, theoretical and numerical investigation of springback behavior of Al/composite/Al sandwich sheet. J. Sandw. Struct. Mater. 2017, 19, 659–678. [Google Scholar] [CrossRef]
- Parsa, M.H.; Mohammadi, S.V.; Aghchai, A.J. Al3105/polypropylene/Al3105 laminates springback in V-die bending. Int. J. Adv. Manuf. Technol. 2014, 75, 849–860. [Google Scholar] [CrossRef]
- Liu, J.; Xue, W. Unconstrained bending and springback behaviors of aluminum-polymer sandwich sheets. Int. J. Adv. Manuf. Technol. 2017, 91, 1517–1529. [Google Scholar] [CrossRef]
- Davies, R.G. ‘Side-wall curl’ in high-strength steels. J. Appl. Metalwork. 1984, 3, 120–126. [Google Scholar] [CrossRef]
- Liu, Y.C. The effect of restraining force on shape deviations in flanged channels. J. Eng. Mater. Technol. 1988, 110, 389–394. [Google Scholar] [CrossRef]
- Yoshida, T.; Sato, K.; Isogai, E.; Hashimoto, K. Springback Problems in Forming of High-Strength Steel Sheets and Countermeasures. Nippon Steel Technical Report. 3 May 2013, Volume 103, pp. 4–10. Available online: https://api.semanticscholar.org/CorpusID:53391257 (accessed on 12 August 2024).
- Kanno, K.; Nishino, S.; Ohya, K. Evaluation of the form-forming mechanism for high-tensile-strength steel plate. Mater. Trans. 2017, 58, 1708–1714. [Google Scholar] [CrossRef]
- Lawanwong, K.; Hamasaki, H.; Hino, R.; Yoshida, F. Double-action bending for eliminating springback in hat-shaped bending of advanced high-strength steel sheet. Int. J. Adv. Manuf. Technol. 2020, 106, 1855–1867. [Google Scholar] [CrossRef]
- Maleki, P.; Akbarzadeh, A.; Damghani, M. Effect of Interlayer Thickness on Mechanical Properties of Steel/Polymer/Steel Laminates Fabricated by Roll Bonding Technique. Glob. J. Res. Eng. 2024, 23, 43–64. [Google Scholar]
- ASTM E8; ASTM E8/E8M Standard Test Methods for Tension Testing of Metallic Materials. American Society for Testing and Materials: West Conshohocken, PA, USA, 2010. [CrossRef]
- ASTM E517-24; Standard Test Method for Plastic Strain Ratio R for Sheet Metal. American Society for Testing and Materials: Philadelphia, PA, USA, 2024. [CrossRef]
- Danckert, J.; Nielsen, K.B. Determination of the plastic anisotropy r in sheet metal using automatic tensile test equipment. J. Mater. Process Technol. 1998, 73, 276–280. [Google Scholar] [CrossRef]
- Chen, F.-K.; Tseng, P.-C. Deformation analysis of side-wall curl in the sheet-metal forming of flanged channels. J. Manuf. Sci. Eng. 2005, 127, 369–375. [Google Scholar] [CrossRef]
- ASTM-D638-14; Standard Test Method for Tensile Properties of Plastics. American Society for Testing and Materials: Philadelphia, PA, USA, 2014. [CrossRef]
- ASTM D790-17; Standard Test Methods for Flexural Properties of Unreinforced and Reinforced Plastics and Electrical Insulating Materials. American Society for Testing and Materials: Philadelphia, PA, USA, 2017. [CrossRef]
- Hufenbach, W.; Jaschinski, J.; Weber, T.; Weck, D. Numerical and experimental investigations on HYLITE sandwich sheets as an alternative sheet metal. Arch. Civ. Mech. Eng. 2008, 8, 67–80. [Google Scholar] [CrossRef]
- Mohsenzadeh, M.S.; Mazinani, M. On the yield point phenomenon in low-carbon steels with ferrite-cementite microstructure. Mater. Sci. Eng. A 2016, 673, 193–203. [Google Scholar] [CrossRef]
- Wisnom, M.R.; Potter, K.D. Understanding composite distortion during processing. In Composite Forming Technologies; Woodhead Publishing Limited: Cambridge, UK, 2007; pp. 177–195. [Google Scholar]
- Guo, Y.; Zhai, C.; Li, F.; Zhu, X.; Xu, F.; Wu, X. Formability, defects and strengthening effect of steel/CFRP structures fabricated by using the differential temperature forming process. Compos. Struct. 2019, 216, 32–38. [Google Scholar] [CrossRef]
- Irani, M.; Kuhtz, M.; Zapf, M.; Ullmann, M.; Hornig, A.; Gude, M.; Prahl, U. Investigation of the deformation behaviour and resulting ply thicknesses of multilayered fibre–metal laminates. J. Compos. Sci. 2021, 5, 176. [Google Scholar] [CrossRef]
- Maeva, E.; Severina, I.; Bondarenko, S.; Chapman, G.; O’Neill, B.; Severin, F.; Maev, R.G. Acoustical methods for the investigation of adhesively bonded structures: A review. Can. J. Phys. 2004, 82, 981–1025. [Google Scholar] [CrossRef]
- Baldan, A. Adhesion phenomena in bonded joints. Int. J. Adhes. Adhes. 2012, 38, 95–116. [Google Scholar] [CrossRef]
- Anvar, B.R.; Akbarzadeh, A. Roll bonding of AA5052 and polypropylene sheets: Bonding mechanisms, microstructure and mechanical properties. J. Adhes. 2017, 93, 550–574. [Google Scholar] [CrossRef]
- Ding, Z.; Wang, H.; Luo, J.; Li, N. A review on forming technologies of fibre metal laminates. Int. J. Lightweight Mater. Manuf. 2021, 4, 110–126. [Google Scholar] [CrossRef]
- Van der Leeden, M.; Frens, G. Surface properties of plastic materials in relation to their adhering performance. Adv. Eng. Mater. 2002, 4, 280–289. [Google Scholar] [CrossRef]
- Kella, C.K.; Mallick, P.K. Springback Behavior of Aluminum/Polypropylene/Aluminum Sandwich Laminates. J. Manuf. Mater. Process. 2022, 6, 152. [Google Scholar] [CrossRef]
- Qadeer, A.; Hussain, G.; Alkahtani, M.; Buhl, J. Springback behavior of a metal/polymer laminate in incremental sheet forming: Stress/strain relaxation perspective. J. Mater. Res. Technol. 2023, 23, 1725–1737. [Google Scholar] [CrossRef]
- Kleiner, M.; Hellinger, V. New possibilities for improved bending of vibration damping laminated sheets. CIRP Ann. 1999, 48, 217–220. [Google Scholar] [CrossRef]
- Ali, R.O.A.B.; Chatti, S. Simplified springback prediction of thick sandwich panel. J. Sandw. Struct. Mater. 2020, 22, 1019–1038. [Google Scholar]
- Bernd-Arno, B.; Sven, H.; Nenad, G.; Moritz, M.-C.; Tim, W.; André, N. Forming and joining of carbon-fiber-reinforced thermoplastics and sheet metal in one step. Procedia Eng. 2017, 183, 227–232. [Google Scholar] [CrossRef]
- Heggemann, T.; Homberg, W. Deep drawing of fiber metal laminates for automotive lightweight structures. Compos. Struct. 2019, 216, 53–57. [Google Scholar] [CrossRef]
- Carradò, A.; Faerber, J.; Niemeyer, S.; Ziegmann, G.; Palkowski, H. Metal/polymer/metal hybrid systems: Towards potential formability applications. Compos. Struct. 2011, 93, 715–721. [Google Scholar] [CrossRef]
- Hua, W.; Harhash, M.; Ziegmann, G.; Carradò, A.; Palkowski, H. Tensile and Bending Behaviour of Steel–Glass Fibre-Reinforced and Non-Reinforced Steel–Polyamide Sandwich Materials. Metals 2023, 13, 1291. [Google Scholar] [CrossRef]
- Kim, J.-K.; Yu, T.-X. Forming and failure behaviour of coated, laminated and sandwiched sheet metals: A review. J. Mater. Process Technol. 1997, 63, 33–42. [Google Scholar] [CrossRef]






















| Laminate Code | Laminate Thickness (mm) |
|---|---|
| L-30 | 2.03 |
| L-40 | 1.74 |
| L-50 | 1.45 |
| L-60 | 1.16 |
| Sample | L-30 | L-40 | L-50 | L-60 | Steel Sheet |
|---|---|---|---|---|---|
| Support span (mm) | 25.09 | 24.35 | 23.63 | 22.9 | 21.13 |
| Sample | R-Value | n-Value | YPE (%) | Elastic Modulus (GPa) | Ultimate Side-Wall Springback (Deg) | Ultimate Flange Springback (Deg) | |
|---|---|---|---|---|---|---|---|
| L-30 | 1.63 | 0.268 | 97 | 4.8 | 86.3 | 10 | 6.2 |
| L-40 | 1.65 | 0.252 | 123 | 4.2 | 117.8 | 11.4 | 8.1 |
| L-50 | 1.71 | 0.248 | 137 | 3.9 | 158.4 | 14 | 9.1 |
| L-60 | 1.73 | 0.24 | 163 | 3.7 | 174.3 | 15.7 | 10 |
| Steel sheet | 1.66 | 0.22 | 147 | 4 | 209.4 | 12 | 6 |
| Specimen | Flexural Strength (MPa) | Flexural Modulus (MPa) | Measured Density (gr/cm3) | Specific Flexural Strength (MPa·cm3/gr) | Flexural Rigidity (GPa·mm3) | (mm) |
|---|---|---|---|---|---|---|
| L-30 | 41.5 | 1151.7 | 4.2 | 9.82 | 145.76 | 2.02 |
| L-40 | 54.04 | 1617 | 4.57 | 11.82 | 91.93 | 1.73 |
| L-50 | 71.88 | 2510.24 | 5.47 | 13.14 | 53.94 | 1.45 |
| L-60 | 103.13 | 4154.57 | 6.3 | 16.36 | 31.81 | 1.22 |
| Steel sheet | 283 | 72098 | 7.8 | 36.28 | 1.59 | --- |
Disclaimer/Publisher’s Note: The statements, opinions and data contained in all publications are solely those of the individual author(s) and contributor(s) and not of MDPI and/or the editor(s). MDPI and/or the editor(s) disclaim responsibility for any injury to people or property resulting from any ideas, methods, instructions or products referred to in the content. |
© 2024 by the authors. Licensee MDPI, Basel, Switzerland. This article is an open access article distributed under the terms and conditions of the Creative Commons Attribution (CC BY) license (https://creativecommons.org/licenses/by/4.0/).
Share and Cite
Maleki, P.; Shahzamanian, M.; Basirun, W.J.; Wu, P.; Akbarzadeh, A. Investigation on the Bending Properties and Geometric Defects of Steel/Polymer/Steel Sheets—Three-Point and Hat-Shaped Bending. Metals 2024, 14, 935. https://doi.org/10.3390/met14080935
Maleki P, Shahzamanian M, Basirun WJ, Wu P, Akbarzadeh A. Investigation on the Bending Properties and Geometric Defects of Steel/Polymer/Steel Sheets—Three-Point and Hat-Shaped Bending. Metals. 2024; 14(8):935. https://doi.org/10.3390/met14080935
Chicago/Turabian StyleMaleki, Payam, Mohammadmehdi Shahzamanian, Wan Jefferey Basirun, Peidong Wu, and Abbas Akbarzadeh. 2024. "Investigation on the Bending Properties and Geometric Defects of Steel/Polymer/Steel Sheets—Three-Point and Hat-Shaped Bending" Metals 14, no. 8: 935. https://doi.org/10.3390/met14080935
APA StyleMaleki, P., Shahzamanian, M., Basirun, W. J., Wu, P., & Akbarzadeh, A. (2024). Investigation on the Bending Properties and Geometric Defects of Steel/Polymer/Steel Sheets—Three-Point and Hat-Shaped Bending. Metals, 14(8), 935. https://doi.org/10.3390/met14080935

