The Influence of the Structural Parameters of Nanoporous Alumina Matrices on Optical Properties
Abstract
1. Introduction
2. Materials and Methods
2.1. Production of Porous Alumina Membranes
2.2. Helium İon Transition through Alumina Membrane
3. Results and Discussion
3.1. Structural Characterization
3.1.1. SEM Measurements
3.1.2. Fractal Dimension Evaluation
3.2. Optical Properties
3.2.1. He+ Ion Beam Transmission Measurements
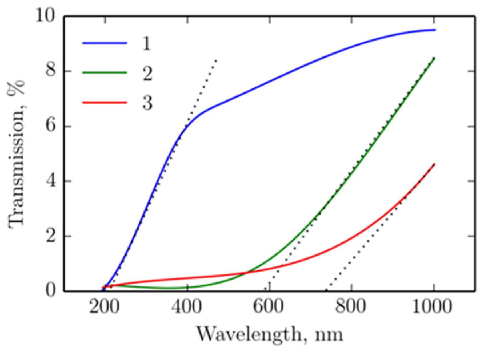
3.2.2. Ultraviolet–Visible Spectroscopy (UV–Vis)
4. Conclusions
Author Contributions
Funding
Data Availability Statement
Conflicts of Interest
References
- Ahmad, N.; Javed, M.; Qamar, M.A.; Kiran, U.; Shahid, S.; Akbar, M.B.; Sher, M.; Amjad, A. Synthesis, characterization and potential applications of Ag@ZnO nanocomposites with S@g-C3N4. Adv. Mater. Res. 2022, 11, 225–235. [Google Scholar] [CrossRef]
- Saad, M.; Hadji, L.; Tounsi, A. Effect of porosity on the free vibration analysis of various functionally graded sandwich plates. Adv. Mater. Res. 2021, 10, 293–311. [Google Scholar] [CrossRef]
- Hamad, L.B.; Khalaf, B.S.; Faleh, N.M. Analysis of static and dynamic characteristics of strain gradient shell structures made of porous nano-crystalline materials. Adv. Mater. Res. 2019, 8, 179–196. [Google Scholar] [CrossRef]
- Stolterfoht, N.; Yamazaki, Y. Guiding of charged particles through capillaries in insulating materials. Phys. Rep. 2016, 629, 1–107. [Google Scholar] [CrossRef]
- Borka, D.; Jovanović, V.B.; Lemell, C.; Tőkési, K. Electron transmission through a macroscopic platinum capillary. Nucl. Instrum. Methods Phys. Res. Sect. B Beam Interact. Mater. At. 2017, 406, 413–416. [Google Scholar] [CrossRef]
- Pinilla, S.; Campo, T.; Sanz, J.M.; Márquez, F.; Morant, C. Highly ordered metal-coated alumina membranes: Synthesis and RBS characterization. Surf. Coat. Technol. 2019, 377, 124883. [Google Scholar] [CrossRef]
- Su, T.; He, L.; Mo, R.; Zhou, C.; Wang, Z.; Wang, Y.; Hong, P.; Sun, S.; Li, C. A non-enzymatic uric acid sensor utilizing ion channels in the barrier layer of a porous anodic alumina membrane. Electrochem. Commun. 2018, 96, 113–118. [Google Scholar] [CrossRef]
- Costa, C.M.; Lee, Y.-H.; Kim, J.-H.; Lee, S.-Y.; Lanceros-Méndez, S. Recent advances on separator membranes for lithium-ion battery applications: From porous membranes to solid electrolytes. Energy Storage Mater. 2019, 22, 346–375. [Google Scholar] [CrossRef]
- Liu, G.; Li, K.; Zhang, Y.; Du, J.; Ghafoor, S.; Lu, Y. A facile periodic porous Au nanoparticle array with high-density and built-in hotspots for SERS analysis. Appl. Surf. Sci. 2020, 527, 146807. [Google Scholar] [CrossRef]
- Evseev, A.P.; Kozhemiako, A.V.; Kargina, Y.V.; Balakshin, Y.V.; Zvereva, E.A.; Chernysh, V.S.; Gongalsky, M.B.; Shemukhin, A.A. Radiation-induced paramagnetic defects in porous silicon under He and Ar ion irradiation. Radiat. Phys. Chem. 2020, 176, 109061. [Google Scholar] [CrossRef]
- Bensaid, I.; Bekhadda, A. Thermal stability analysis of temperature dependent inhomogeneous size-dependent nano-scale beams. Adv. Mater. Res. 2018, 7, 1–16. [Google Scholar] [CrossRef]
- Abdel-Zaher, N.A.; Moselhey, M.T.H.; Guirguis, O.W. Ultraviolet-ozone irradiation of HPMC thin films: Structural and thermal properties. Adv. Mater. Res. 2017, 6, 1–12. [Google Scholar] [CrossRef]
- Stolterfoht, N.; Herczku, P.; Juhász, Z.; Kovács, S.T.S.; Rácz, R.; Biri, S.; Sulik, B. Long-term stable transmission of 3-keV Ne7+ ions guided through nanocapillaries in polymers. Nucl. Instrum. Methods Phys. Res. Sect. B Beam Interact. Mater. At. 2016, 387, 96–102. [Google Scholar] [CrossRef]
- Stolterfoht, N.; Bremer, J.-H.; Hoffmann, V.; Hellhammer, R.; Fink, D.; Petrov, A.; Sulik, B. Transmission of 3 keV Ne7+ Ions through Nanocapillaries Etched in Polymer Foils: Evidence for Capillary Guiding. Phys. Rev. Lett. 2002, 88, 133201. [Google Scholar] [CrossRef]
- Du, G.; Guo, J.; Wu, R.; Guo, N.; Liu, W.; Ye, F.; Sheng, L.; Li, Q.; Li, H. The first interdisciplinary experiments at the IMP high energy microbeam. Nucl. Instrum. Methods Phys. Res. Sect. B Beam Interact. Mater. At. 2015, 348, 18–22. [Google Scholar] [CrossRef]
- Fujita, N.; Ishii, K.; Ogawa, H. Development of two-dimensional mapping technique by in-air-PIXE with metal capillary. Nucl. Instrum. Methods Phys. Res. Sect. B Beam Interact. Mater. At. 2011, 269, 1023–1025. [Google Scholar] [CrossRef]
- Folkard, M.; Prise, K.M.; Grime, G.; Kirkby, K.; Vojnovic, B. The use of microbeams to investigate radiation damage in living cells. Appl. Radiat. Isot. 2009, 67, 436–439. [Google Scholar] [CrossRef]
- Grotzer, M.A.; Schültke, E.; Bräuer-Krisch, E.; Laissue, J.A. Microbeam radiation therapy: Clinical perspectives. Phys. Medica. 2015, 31, 564–567. [Google Scholar] [CrossRef]
- Michelet, C.; Moretto, P. 3D mapping of individual cells using a proton microbeam. Nucl. Instrum. Methods Phys. Res. Sect. B Beam Interact. Mater. At. 1999, 150, 173–178. [Google Scholar] [CrossRef]
- Feng, S.; Ji, W. Advanced nanoporous anodic alumina-based optical sensors for biomedical applications. Front. Nanotechnol. 2021, 3, 678275. [Google Scholar] [CrossRef]
- Domagalski, J.T.; Xifre-Perez, E.; Marsal, L.F. Recent Advances in Nanoporous Anodic Alumina: Principles, Engineering, and Applications. Nanomaterials 2021, 11, 430. [Google Scholar] [CrossRef]
- Ruiz-Clavijo, A.; Caballero-Calero, O.; Martín-González, M. Revisiting anodic alumina templates: From fabrication to applications. Nanoscale 2021, 13, 2227–2265. [Google Scholar] [CrossRef]
- Davoodi, E.; Zhianmanesh, M.; Montazerian, H.; Milani, A.S.; Hoorfar, M. Nano-porous anodic alumina: Fundamentals and applications in tissue engineering. J. Mater. Sci. Mater. Med. 2020, 31, 60. [Google Scholar] [CrossRef]
- Alvarez-Carrizal, R.P.; Rodríguez-García, J.A.; Cortés-Hernández, D.A.; Esparza-Vázquez, S.J.; Rocha-Rangel, E. Manufacture of Al2O3/Ti composite by aluminum bonding reaction for their use as a biomaterial. Adv. Mater. Res. 2021, 10, 331–341. [Google Scholar] [CrossRef]
- Pandey, V.K.; Patel, B.P.; Guruprasad, S. Mechanical properties of Al/Al2O3 and Al/B4C composites. Adv. Mater. Res. 2016, 5, 263–277. [Google Scholar] [CrossRef]
- Vokhmyanina, K.A.; Zhukova, P.N.; Irribarra, E.F.; Kubankin, A.S.; Hoai, L.T.; Nazhmudinov, R.M.; Nasonov, N.N.; Pokhil, G.P. Investigation of contactless electron transmission through dielectric channels. J. Surf. Investig. 2013, 7, 271–275. [Google Scholar] [CrossRef]
- Zhang, H.Q.; Akram, N.; Schuch, R. Guiding and scattering of ions in transmission through mica nanocapillaries. Phys. Rev. A 2016, 94, 032704. [Google Scholar] [CrossRef]
- Röding, M.; Tomaszewski, P.; Yu, S.; Borg, M.; Rönnols, J. Machine learning-accelerated small-angle X-ray scattering analysis of disordered two- and three-phase materials. Front. Mater. 2022, 9, 956839. [Google Scholar] [CrossRef]
- Turner, D.C.; Mangelson, N.F.; Rees, L.B. Determination of aluminum oxide stopping cross sections for protons and deuterons by backscattering from thin targets. Nucl. Instrum. Methods Phys. Res. Sect. B Beam Interact. Mater. At. 1995, 103, 28–32. [Google Scholar] [CrossRef]
- Manzoor, S.; Ashraf, M.W.; Tayyaba, S.; Tariq, M.I.; Hossain, M.K. Recent Progress of Fabrication, Characterization, and Applications of Anodic Aluminum Oxide (AAO) Membrane: A Review. Comput. Model. Eng. Sci. 2022, 135, 1007–1052. [Google Scholar] [CrossRef]
- Komarov, F.F.; Kamyshan, A.S.; Grishin, P.A. Peculiarities of proton transmission through tapered glass capillaries. Nuovo Cim. Della Soc. Ital. DiFis. C 2011, 34, 365–372. [Google Scholar] [CrossRef]
- Romero, V.; Vega, V.; García, J.; Prida, V.M.; Hernando, B.; Benavente, J. Ionic transport across tailored nanoporous anodic alumina membranes. J. Colloid Interface Sci. 2012, 376, 40–46. [Google Scholar] [CrossRef] [PubMed]
- Juhász, Z.; Sulik, B.; Biri, S.; Iván, I.; Tokési, K.; Fekete, É.; Mátéfi-Tempfli, S.; Mátéfi-Tempfli, M.; Víkor, G.; Takács, E.; et al. Ion guiding in alumina capillaries: MCP images of the transmitted ions. Nucl. Instrum. Methods Phys. Res. Sect. B Beam Interact. Mater. At. 2009, 267, 321–325. [Google Scholar] [CrossRef]
- Rehn, L.E.; Birtcher, R.C.; Kestel, B.J.; Baldo, P.M.; Hiller, J.; McCormick, A.W. Generating Nanoscale Arrays Using Self-Organized Porous-Alumina Ion Implantation Masks. MRS Proc. 2003, 777, 22. [Google Scholar] [CrossRef]
- Reddy, P.R.; Ajith, K.M.; Udayashankar, N.K. Structural and optical analysis of silver nanoparticles grown on porous anodic alumina membranes by electro-less deposition. Mater. Today Proc. 2019, 19, 2633–2638. [Google Scholar] [CrossRef]
- Zhai, M.; Locquet, A.; Jung, M.; Woo, D.; Citrin, D.S. Characterization of nanoporous Al2O3 films at terahertz frequencies. Opt. Lett. 2020, 45, 4092–4095. [Google Scholar] [CrossRef] [PubMed]
- Romero, V.; Benavente, J. Electrochemical Characterization of Nanoporous Alumina-Based Membranes with Different Structure and Geometrical Parameters by Membrane Potential Analysis. Micro 2022, 2, 475–487. [Google Scholar] [CrossRef]
- Stępniowski, W.J.; Forbot, D.; Norek, M.; Michalska-Domańska, M.; Król, A. The impact of viscosity of the electrolyte on the formation of nanoporous anodic aluminum oxide. Electrochimica Acta 2014, 133, 57–64. [Google Scholar] [CrossRef]
- Abdelbagi, H.A.A.; Jafer, T.A.O.; Skuratov, V.A.; Njoroge, E.G.; Mlambo, M.; Hlatshwayo, T.T.; Malherbe, J.B. Effects of swift heavy ion irradiation and annealing on the microstructure and recrystallizationof SiC pre-implanted with Sr ions. Front. Nucl. Eng. 2022, 1, 1034114. [Google Scholar] [CrossRef]
- Shemukhin, A.A.; Muratova, E.N. Investigation of transmission of 1.7-MeV He+ beams through porous alumina membranes. Tech. Phys. Lett. 2014, 40, 219–221. [Google Scholar] [CrossRef]
- Lei, W.; McKenzie, D.R. Nanoscale Capillary Flows in Alumina: Testing the Limits of Classical Theory. J. Phys Chem Lett. 2016, 7, 2647–2652. [Google Scholar] [CrossRef] [PubMed]
- Ponomareva, A.A.; Moshnikov, V.A.; Suchaneck, G. Mesoporous gas-sensitive SnO2-SiO2 nanocomposites. In Handbook of Functional Nanomaterials V.2; Nova Science Publishers, Inc.: New York, NY, USA, 2013. [Google Scholar]
- Gwyddion–Data Analysis Software. Available online: http://gwyddion.net (accessed on 21 December 2023).
- Zhou, W.; Cao, Y.; Zhao, H.; Li, Z.; Feng, P.; Feng, F. Fractal Analysis on Surface Topography of Thin Films: A Review. Fractal Fract. 2022, 6, 135. [Google Scholar] [CrossRef]
- Kots, I.N.; Polyakova, V.V.; Morozova, Y.V.; Kolomiytsev, A.S.; Klimin, V.S.; Ageev, O.A. Nanosized Modification of the Silicon Surface by the Method of Focused Ion Beams. Russ Microelectron 2022, 51, 126–133. [Google Scholar] [CrossRef]
- Mikhailov, I.N.; Nikulin, Y.V.; Volchkov, S.S.; Vasilkov, M.Y.; Malofeeva, N.A.; Kosobudsky, I.D.; Ushakov, N.M. Optical spectroscopy of nanoporous membranes based on anodic alumina in an ammonia gas flow. Izv. Saratov Univ. Phys. 2023, 23, 209–220. [Google Scholar] [CrossRef]
- Tian, M.-W.; Yan, S.-R.; Mohammadzadeh, A.; Tavoosi, J.; Mobayen, S.; Safdar, R.; Assawinchaichote, W.; Vu, M.T.; Zhilenkov, A. Stability of Interval Type-3 Fuzzy Controllers for Autonomous Vehicles. Mathematics 2021, 9, 2742. [Google Scholar] [CrossRef]
- Matyushkin, L.B.; Muratova, E.N.; Panov, M.F. Determination of the alumina membrane geometrical parameters using its optical spectra. Micro Nano Lett. 2017, 12, 100–103. [Google Scholar] [CrossRef]






| Sample Title | Stage | Etching Process | Electrolyte Type and Concentration (vol.%) | Glycerol (vol.%) | Voltage (V) | Process Temperature (°C) | Process Time, min |
|---|---|---|---|---|---|---|---|
| PAA_S | 1 | Electrochem. | H2SO4 (30) | 15 | 20 | 5 | 3 |
| 2 | Chemical | H2CrO4 (7) | – | – | 20 | 3 | |
| 3 | Electrochem. | H2SO4 (30) | 15 | 25 | 5 | 1 | |
| 4 | Chemical | H2CrO4 (7) | – | – | 20 | 3 | |
| 5 | Electrochem. | H2SO4 (30) | 15 | 25 | 5 | 123 | |
| PAA_P | 1 | Electrochem. | H3PO4 (10) | 15 | 110 | 3 | 20 |
| Sample Title | Cube Counting | Triangulation | PSD |
|---|---|---|---|
| PAA_S | 2.60 | 2.64 | 2.70 |
| PAA_P | 2.47 | 2.54 | 2.39 |
| Composition | Average Pore Diameter [nm] | λc [nm] | Energy Gap [eV] |
|---|---|---|---|
| PAA_S | 20–30 | ≈200 | 6.2 |
| PAA_P | 180–220 | ≈700 | 1.77 |
Disclaimer/Publisher’s Note: The statements, opinions and data contained in all publications are solely those of the individual author(s) and contributor(s) and not of MDPI and/or the editor(s). MDPI and/or the editor(s) disclaim responsibility for any injury to people or property resulting from any ideas, methods, instructions or products referred to in the content. |
© 2024 by the authors. Licensee MDPI, Basel, Switzerland. This article is an open access article distributed under the terms and conditions of the Creative Commons Attribution (CC BY) license (https://creativecommons.org/licenses/by/4.0/).
Share and Cite
Muratova, E.N.; Ponomareva, A.A.; Shemukhin, A.A.; Balakshin, Y.V.; Evseev, A.P.; Moshnikov, V.A.; Zhilenkov, A.A.; Kichigina, O.Y. The Influence of the Structural Parameters of Nanoporous Alumina Matrices on Optical Properties. Metals 2024, 14, 651. https://doi.org/10.3390/met14060651
Muratova EN, Ponomareva AA, Shemukhin AA, Balakshin YV, Evseev AP, Moshnikov VA, Zhilenkov AA, Kichigina OY. The Influence of the Structural Parameters of Nanoporous Alumina Matrices on Optical Properties. Metals. 2024; 14(6):651. https://doi.org/10.3390/met14060651
Chicago/Turabian StyleMuratova, Ekaterina N., Alina A. Ponomareva, Andrey A. Shemukhin, Yuriy V. Balakshin, Aleksandr P. Evseev, Vyacheslav A. Moshnikov, Anton A. Zhilenkov, and Olga Yu. Kichigina. 2024. "The Influence of the Structural Parameters of Nanoporous Alumina Matrices on Optical Properties" Metals 14, no. 6: 651. https://doi.org/10.3390/met14060651
APA StyleMuratova, E. N., Ponomareva, A. A., Shemukhin, A. A., Balakshin, Y. V., Evseev, A. P., Moshnikov, V. A., Zhilenkov, A. A., & Kichigina, O. Y. (2024). The Influence of the Structural Parameters of Nanoporous Alumina Matrices on Optical Properties. Metals, 14(6), 651. https://doi.org/10.3390/met14060651

