Effect of Nitrogen on the Corrosion Resistance of 6Mo Super Austenitic Stainless Steel
Abstract
1. Introduction
2. Experimental Procedure
2.1. Material Preparation
2.2. Microstructure Characterization
2.3. Electrochemical Experiment
2.4. XPS Analysis
3. Results and Discussion
3.1. Microstructure Characterization
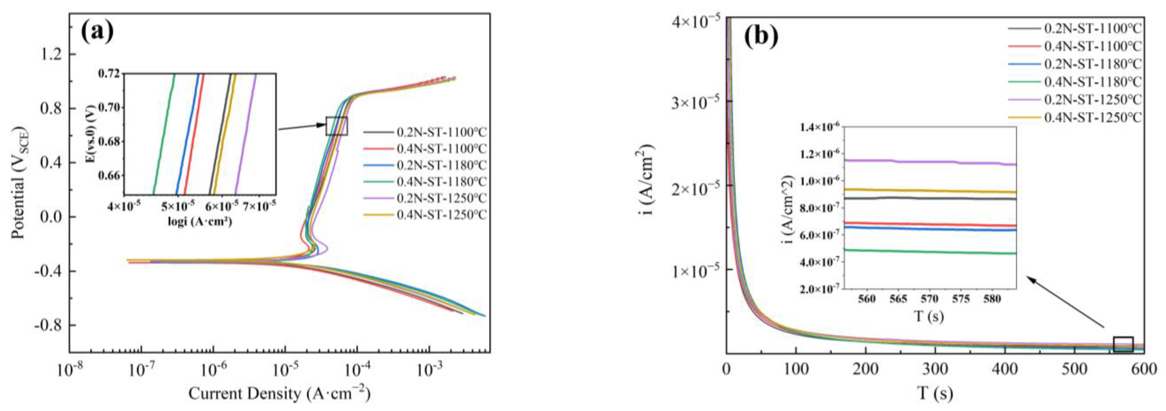
3.2. Polarization Curve Measurements
3.3. Electrochemical Impedance Spectroscopy Measurements
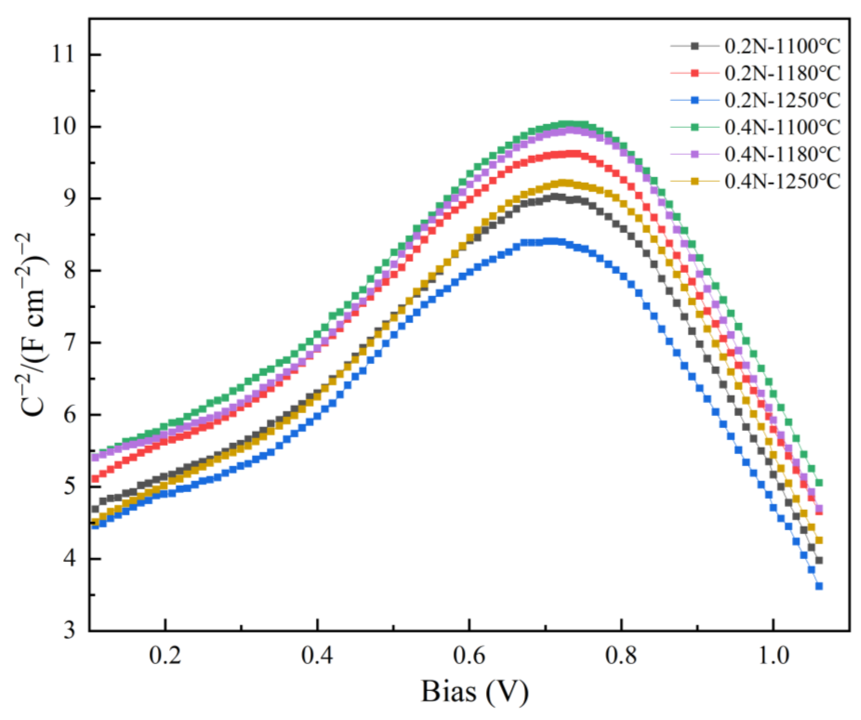
3.4. Mott–Schottky Analysis
3.5. XPS Analysis
4. Conclusions
- With increasing solution temperature, the grain size gradually increases, and alloys treated at 1100 °C exhibit incompletely dissolved second phases. The addition of nitrogen effectively inhibits the grain growth of 6Mo SASS during solution heat treatment.
 - At a heat-treatment temperature of 1180 °C, the alloy demonstrates the highest corrosion resistance, attributed to the combined effects of grain size and precipitates. In 3.5% NaCl solution with pH = 1, the corrosion resistance and re-passivation ability of 6Mo SASS were improved when the nitrogen content was increased from 0.2% to 0.4% wt.%.
 - Mott–Schottky and XPS analyses revealed that when the nitrogen content increased from 0.2% to 0.4%, the density of the donors and acceptors decreased and the structure of the passivation film changed, the Cr/Fe ratio at 0.4N being significantly higher than that at 0.2N. Moreover, the increase in nitrogen content results in thicker Cr and Mo oxide layers and higher levels of NH3 and NH4+, thereby improving the corrosion resistance of the stainless steel.
 
Supplementary Materials
Author Contributions
Funding
Data Availability Statement
Conflicts of Interest
References
- Sheik, S.; Tirumalla, A.; Gurrala, A.K.; Mohammed, R. Effect of microstructural morphology on corrosion susceptibility of austenitic and super austenitic stainless steels. Mater. Today Proc. 2022, 66, 514–518. [Google Scholar] [CrossRef]
 - Abd El Meguid, E.A.; Abd El Latif, A.A. Critical pitting temperature for Type 254 SMO stainless steel in chloride solutions. Corros. Sci. 2007, 49, 263–275. [Google Scholar] [CrossRef]
 - Li, Y.; Zou, D.; Li, M.; Tong, L.; Zhang, Y.; Zhang, W. Effect of cooling rate on segregation characteristics of 254SMO super austenitic stainless steel and pitting corrosion resistance under simulated flue gas desulfurization environment. J. Mater. Sci. 2023, 58, 4137–4149. [Google Scholar] [CrossRef]
 - Sandra, L.M.; Amélie, F. Corrosion Resistance of 6Mo Super-Austenitic Stainless Steel UNS S31266 for Process Industries. In Proceedings of the CORROSION 2013, Orlando, FL, USA, 17–21 March 2013. [Google Scholar]
 - Behrens, R.; Alves, H.; Stenner, F. New developed 6-Mo super-austenitic stainless steel with low sigma solvus temperature and high resistance to localized corrosion. In Proceedings of the CORROSION 2013, Orlando, FL, USA, 17–21 March 2013. [Google Scholar]
 - Ren, J.; Zhang, Y.; Yang, S.; Ma, J.; Zhang, C.; Jiang, Z.; Li, H.; Han, P. Effect of Boron Addition on the Oxide Scales Formed on 254SMO Super Austenitic Stainless Steels in High-Temperature Air. Metals 2023, 13, 258. [Google Scholar] [CrossRef]
 - Yang, S.; Ma, J.; Chen, C.; Zhang, C.; Ren, J.; Jiang, Z.; Fan, G.; Han, P. Effects of B and Ce Grain Boundary Segregation on Precipitates in Super Austenitic Stainless Steel. Metals 2023, 13, 326. [Google Scholar] [CrossRef]
 - Dou, Y.; Han, S.; Wang, L.; Wang, X.; Cui, Z. Characterization of the passive properties of 254SMO stainless steel in simulated desulfurized flue gas condensates by electrochemical analysis, XPS and ToF-SIMS. Corros. Sci. 2020, 165, 108405. [Google Scholar] [CrossRef]
 - Chen, X.; Xiong, Q.Y.; Zhu, F.; Li, H.; Liu, D.; Xiong, J.P.; Zhou, Y. The effects of chloride anions on corrosion and passivation behavior of 254SMO stainless steel in water absorbed of blast furnace gas (BFG). Int. J. Electrochem. Sci. 2018, 13, 1656–1665. [Google Scholar] [CrossRef]
 - Liu, C.T.; Wu, J.K. Influence of pH on the passivation behavior of 254SMO stainless steel in 3.5% NaCl solution. Corros. Sci. 2007, 49, 2198–2209. [Google Scholar] [CrossRef]
 - Li, B.; Qu, H.; Lang, Y.; Feng, H.; Chen, Q.; Chen, H. Copper alloying content effect on pitting resistance of modified 00Cr20Ni18Mo6CuN super austenitic stainless steels. Corros. Sci. 2020, 173, 108791. [Google Scholar] [CrossRef]
 - Lee, J.B.; Yoon, S.I. Effect of nitrogen alloying on the semiconducting properties of passive films and metastable pitting susceptibility of 316L and 316LN stainless steels. Mater. Chem. Phys. 2010, 122, 194–199. [Google Scholar] [CrossRef]
 - Feng, H.; Li, H.B.; Jiang, Z.H.; Zhang, T.; Dong, N.; Zhang, S.C.; Han, P.D.; Zhao, S.; Chen, Z.G. Designing for high corrosion-resistant high nitrogen martensitic stainless steel based on DFT calculation and pressurized metallurgy method. Corros. Sci. 2019, 158, 108081. [Google Scholar] [CrossRef]
 - Aamani, S.; Das, C.R.; Martha, S.K.; Albert, S.K.; Panigrahi, B.B. Influence of Nitrogen on Grain Size-Dependent Sensitisation and Corrosion Resistance of 316L (N) Austenitic Stainless Steels. Trans. Indian Inst. Met. 2022, 75, 2169–2177. [Google Scholar] [CrossRef]
 - Loable, C.; Viçosa, I.N.; Mesquita, T.J.; Mantel, M.; Nogueira, R.P.; Berthomé, G.; Chauveau, E.; Roche, V. Synergy between molybdenum and nitrogen on the pitting corrosion and passive film resistance of austenitic stainless steels as a pH-dependent effect. Mater. Chem. Phys. 2017, 186, 237–245. [Google Scholar] [CrossRef]
 - Dai, J.; Feng, H.; Li, H.B.; Jiang, Z.H.; Li, H.; Zhang, S.C.; Zhou, P.; Zhang, T. Nitrogen significantly enhances corrosion resistance of 316L stainless steel in thiosulfate-chloride solution. Corros. Sci. 2020, 174, 108792. [Google Scholar] [CrossRef]
 - Qiao, Y.; Gao, F.; Chen, J.; Yang, L.; Zhou, H.; Zheng, Z.; Zhang, L. Effect of nitrogen content on corrosion behavior of a high nitrogen austenitic stainless steel. Npj Mater. Degrad. 2023, 7, 73. [Google Scholar]
 - Zhang, S.; Li, H.; Jiang, Z.; Li, Z.; Wu, J.; Zhang, B.; Duan, F.; Feng, H.; Zhu, H. Influence of N on precipitation behavior, associated corrosion and mechanical properties of super austenitic stainless steel S32654. J. Mater. Sci. Technol. 2020, 42, 143–155. [Google Scholar] [CrossRef]
 - Cheng, B.; Gu, J.; Song, M. Precipitation and transformation of s phase in a selective laser melted high-chromium superalloy subjected to heat treatment. Micron 2021, 149, 103113. [Google Scholar] [CrossRef] [PubMed]
 - Yang, W.J.; Zhang, M.; Zhao, Y.H.; Shen, M.; Lei, H.; Xu, L.; Xiao, J.; Gong, J.; Yu, B.; Sun, C. Enhancement of mechanical property and corrosion resistance of 316 L stainless steels by low temperature arc plasma nitriding. Surf. Coat. Technol. 2016, 298, 64–72. [Google Scholar] [CrossRef]
 - Zhang, X.L.; Xun, M.N.; Ma, J.Y.; Liang, X.; Zhang, C.; Li, H.; Jiang, Z.; Fan, G.; Han, P. Effects of heat treatment on precipitation and corrosion resistance of cerium-containing super austenitic stainless steel S31254. Corros. Commun. 2022, 8, 1–8. [Google Scholar] [CrossRef]
 - Wang, R.G. Precipitation of sigma phase in duplex stainless steel and recent development on its detection by electrochemical potentiokinetic reactivation:A review. Corros. Commun. 2021, 2, 41–54. [Google Scholar] [CrossRef]
 - Escrivà-Cerdán, C.; Blasco-Tamarit, E.; García-García, D.M.; García-Antón, J.; Akid, R.; Walton, J. Effect of temperature on passive film formation of UNS N08031 Cr–Ni alloy in phosphoric acid contaminated with different aggressive anions. Electrochim. Acta 2013, 111, 552–561. [Google Scholar] [CrossRef]
 - Zhang, W.J.; Liu, F.G.; Liu, L.X.; Li, Q.; Liu, L.; Liu, F.; Huang, C. Chunping Huang, Effect of grain size and distribution on the corrosion behavior of Y2O3 dispersion-strengthened 304 stainless steel. Mater. Today Commun. 2022, 31, 103723. [Google Scholar] [CrossRef]
 - Chen, J.P.; Zhou, Q.Y.; Liu, Y.; Ma, Y.H.; Yin, J.F.; Hu, T.; Li, Y.Y. Influence of Temperature on the Corrosion Behavior of 18Mn–18Cr Austenitic Stainless Steel in 3.5 wt.% NaCl Solution. Int. J. Electrochem. Sci. 2022, 17, 22105. [Google Scholar]
 - Brug, G.J.; van den Eeden, A.L.G.; Sluyters-Rehbach, M.; Sluyters, J.H. The analysis of electrode impedances complicated by the presence of a constant phase element. J. Electroanal. Chem. Interfacial Electrochem. 1984, 176, 275–295. [Google Scholar] [CrossRef]
 - Della Rovere, C.A.; Alano, J.H.; Silva, R.; Nascente, P.; Otubo, J.; Kuri, S. Characterization of passive films on shape memory stainless steels. Corros. Sci. 2012, 57, 154–161. [Google Scholar] [CrossRef]
 - Le, D.P.; Ji, W.S.; Kim, J.G.; Jeong, K.J.; Lee, S.H. Effect of antimony on the corrosion behavior of low-alloy steel for flue gas desulfurization system. Corros. Sci. 2008, 50, 1195–1204. [Google Scholar] [CrossRef]
 - Li, J.X.; Liu, Z.D.; Ma, H.R.; Liu, Q.; Mao, J.; Zhang, J.; Kong, Y. Comparative study on the corrosion behaviour of 1.4529 super austenitic stainless steel and laser-cladding 1.4529 coating in simulated desulfurized flue gas condensates. Corros. Sci. 2022, 209, 110794. [Google Scholar] [CrossRef]
 - Ha, H.Y.; Lee, T.H.; Kim, S.J. Synergistic effect of Ni and N on improvement of pitting corrosion resistance of high nitrogen stainless steels. Corros. Eng. Sci. Technol. 2014, 49, 82–86. [Google Scholar] [CrossRef]
 - Kim, S.Y.; Kwon, H.S.; Kim, H.S. Effect of delta ferrite on corrosion resistance of type 316L stainless steel in acidic chloride solution by micro-droplet cell. Solid State Phenom. 2007, 124, 1533–1536. [Google Scholar] [CrossRef]
 - Ha, H.Y.; Jang, H.J.; Kwon, H.S.; Kim, S. Effects of nitrogen on the passivity of Fe–20Cr alloy. Corros. Sci. 2009, 51, 48–53. [Google Scholar] [CrossRef]
 - He, H.; Zhang, T.; Zhao, C.Z.; Hou, K.; Meng, G.; Shao, Y.; Wang, F. Effect of alternating voltage passivation on the corrosion resistance of duplex stainless steel. J. Appl. Electrochem. 2009, 39, 737–745. [Google Scholar] [CrossRef]
 - Jang, H.J.; Kwon, H.S. In situ study on the effects of Ni and Mo on the passive film formed on Fe–20Cr alloys by photoelectrochemical and Mott–Schottky techniques. J. Electroanal. Chem. 2006, 590, 120–125. [Google Scholar] [CrossRef]
 - Clayton, C.R.; Lu, Y.C. A bipolar model of the passivity of stainless steel: The role of Mo addition. J. Electrochem. Soc. 1986, 133, 2465. [Google Scholar] [CrossRef]
 - Willenbruch, R.D.; Clayton, C.R.; Oversluizen, M.; Kim, D.; Lu, Y. An XPS and electrochemical study of the influence of molybdenum and nitrogen on the passivity of austenitic stainless steel. Corros. Sci. 1990, 31, 179–190. [Google Scholar] [CrossRef]
 - Li, H.; Jiang, Z.; Yang, Y.; Cao, Y.; Zhang, Z.-R. Pitting corrosion and crevice corrosion behaviors of high nitrogen austenitic stainless steels. Int. J. Miner. Metall. Mater. 2009, 16, 517–524. [Google Scholar] [CrossRef]
 - Newman, R.C.; Shahrabi, T. The effect of alloyed nitrogen or dissolved nitrate ions on the anodic behaviour of austenitic stainless steel in hydrochloric acid. Corros. Sci. 1987, 27, 827–838. [Google Scholar] [CrossRef]
 













| NO. | C | Si | Mn | P | S | Cr | Ni | Mo | Cu | B | N | Fe | 
|---|---|---|---|---|---|---|---|---|---|---|---|---|
| 0.2N | 0.019 | 0.59 | 1.55 | 0.009 | 0.005 | 19.88 | 18.69 | 6.14 | 1.02 | 0.004 | 0.20 | Bal. | 
| 0.4N | 0.013 | 0.54 | 1.56 | 0.007 | 0.004 | 20.34 | 18.89 | 6.14 | 0.98 | 0.004 | 0.38 | Bal. | 
| NO. | Temperature/°C | Ecorr/VSCE | icorr | Ep/VSCE | 
|---|---|---|---|---|
| 0.2N-ST | 1100 | −0.338 | 2.231 × 10−5 | 0.887 | 
| 1180 | −0.339 | 1.338 × 10−5 | 0.888 | |
| 1250 | −0.333 | 2.611 × 10−5 | 0.884 | |
| 0.4N-ST | 1100 | −0.339 | 1.355 × 10−5 | 0.889 | 
| 1180 | −0.336 | 0.889 × 10−5 | 0.889 | |
| 1250 | −0.332 | 2.072 × 10−5 | 0.886 | 
| NO. | Temperature/°C | Rs/Ω | Q/×10−5 F | N | R/Ω | ∑χ2/×10−3 | 
|---|---|---|---|---|---|---|
| 0.2N-ST | 1100 | 18.17 | 10.308 | 0.8840 | 8813 | 1.601 | 
| 1180 | 18.03 | 10.459 | 0.8825 | 9985 | 1.604 | |
| 1250 | 18.17 | 9.207 | 0.8896 | 8143 | 1.692 | |
| 0.4N-ST | 1100 | 17.95 | 9.716 | 0.8958 | 9944 | 1.659 | 
| 1180 | 18.03 | 9.732 | 0.8884 | 12,264 | 1.609 | |
| 1250 | 18.57 | 10.593 | 0.8847 | 8795 | 1.806 | 
Disclaimer/Publisher’s Note: The statements, opinions and data contained in all publications are solely those of the individual author(s) and contributor(s) and not of MDPI and/or the editor(s). MDPI and/or the editor(s) disclaim responsibility for any injury to people or property resulting from any ideas, methods, instructions or products referred to in the content.  | 
© 2024 by the authors. Licensee MDPI, Basel, Switzerland. This article is an open access article distributed under the terms and conditions of the Creative Commons Attribution (CC BY) license (https://creativecommons.org/licenses/by/4.0/).
Share and Cite
Tian, H.; Wang, J.; Liu, Z.; Han, P. Effect of Nitrogen on the Corrosion Resistance of 6Mo Super Austenitic Stainless Steel. Metals 2024, 14, 391. https://doi.org/10.3390/met14040391
Tian H, Wang J, Liu Z, Han P. Effect of Nitrogen on the Corrosion Resistance of 6Mo Super Austenitic Stainless Steel. Metals. 2024; 14(4):391. https://doi.org/10.3390/met14040391
Chicago/Turabian StyleTian, Haiyu, Jian Wang, Zhiqiang Liu, and Peide Han. 2024. "Effect of Nitrogen on the Corrosion Resistance of 6Mo Super Austenitic Stainless Steel" Metals 14, no. 4: 391. https://doi.org/10.3390/met14040391
APA StyleTian, H., Wang, J., Liu, Z., & Han, P. (2024). Effect of Nitrogen on the Corrosion Resistance of 6Mo Super Austenitic Stainless Steel. Metals, 14(4), 391. https://doi.org/10.3390/met14040391
        
