Impact of Boundary Parameters Accuracy on Modeling of Directed Energy Deposition Thermal Field
Abstract
1. Introduction
2. Experimental Aspect
3. Numerical Methods
3.1. Implementation
3.2. Identification Method
4. Numerical Results
4.1. Identification Results
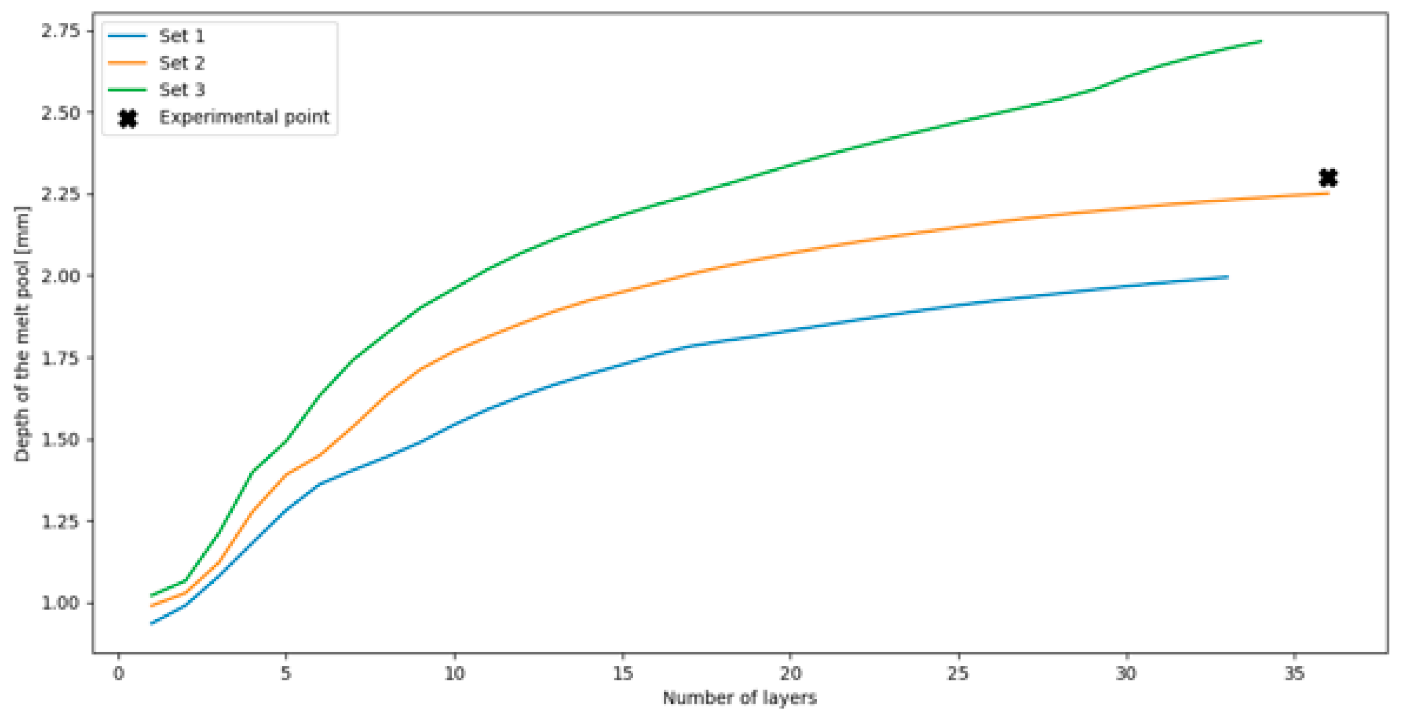
4.2. Validation of the Predicted Results
4.3. Sensitivity of the Simulation Results to the Boundary Conditions
5. Conclusions
Author Contributions
Funding
Data Availability Statement
Acknowledgments
Conflicts of Interest
References
- Rashid, R.; Masood, S.; Ruan, D.; Palanisamy, S.; Huang, X.; Rahman Rashid, R.A. Design Optimization and Finite Element Model Validation of LPBF-Printed Lattice-Structured Beams. Metals 2023, 13, 184. [Google Scholar] [CrossRef]
- ASTM F3187-16; Standard Guide for Directed Energy Deposition of Metals. ANSI: Washington, DC, USA, 2016. Available online: https://webstore.ansi.org/standards/astm/astmf318716 (accessed on 26 January 2024).
- Horgar, A.; Fostervoll, H.; Nyhus, B.; Ren, X.; Eriksson, M.; Akselsen, O.M. Additive Manufacturing Using WAAM with AA5183 Wire. J. Mater. Process. Technol. 2018, 259, 68–74. [Google Scholar] [CrossRef]
- Cao, L.; Li, J.; Hu, J.; Liu, H.; Wu, Y.; Zhou, Q. Optimization of Surface Roughness and Dimensional Accuracy in LPBF Additive Manufacturing. Opt. Laser Technol. 2021, 142, 107246. [Google Scholar] [CrossRef]
- Jardin, R.T.; Tuninetti, V.; Tchuindjang, J.T.; Duchêne, L.; Hashemi, N.; Tran, H.S.; Carrus, R.; Mertens, A.; Habraken, A.M. Optimizing Laser Power of Directed Energy Deposition Process for Homogeneous AISI M4 Steel Microstructure. Opt. Laser Technol. 2023, 163, 109426. [Google Scholar] [CrossRef]
- Gibson, I.; Rosen, D.; Stucker, B. Directed Energy Deposition Processes. In Additive Manufacturing Technologies; Springer New York: New York, NY, USA, 2015; pp. 245–268. ISBN 978-1-4939-2112-6. [Google Scholar]
- Saboori, A.; Aversa, A.; Marchese, G.; Biamino, S.; Lombardi, M.; Fino, P. Application of Directed Energy Deposition-Based Additive Manufacturing in Repair. Appl. Sci. 2019, 9, 3316. [Google Scholar] [CrossRef]
- Ahn, D.-G. Direct Metal Additive Manufacturing Processes and Their Sustainable Applications for Green Technology: A Review. Int. J. Precis. Eng. Manuf. Green Technol. 2016, 3, 381–395. [Google Scholar] [CrossRef]
- Ahn, D.-G. Directed Energy Deposition (DED) Process: State of the Art. Int. J. Precis. Eng. Manuf. Green Technol. 2021, 8, 703–742. [Google Scholar] [CrossRef]
- Chouhan, A.; Aggarwal, A.; Kumar, A. A Computational Study of Porosity Formation Mechanism, Flow Characteristics and Solidification Microstructure in the L-DED Process. Appl. Phys. A 2020, 126, 833. [Google Scholar] [CrossRef]
- Regulin, D.; Barucci, R. A Benchmark of Approaches for Closed Loop Control of Melt Pool Shape in DED. Int. J. Adv. Manuf. Technol. 2023, 126, 829–843. [Google Scholar] [CrossRef]
- Gerstgrasser, M.; Cloots, M.; Stirnimann, J.; Wegener, K. Residual Stress Reduction of LPBF-Processed CM247LC Samples via Multi Laser Beam Strategies. Int. J. Adv. Manuf. Technol. 2021, 117, 2093–2103. [Google Scholar] [CrossRef]
- Lewis, G.K.; Schlienger, E. Practical Considerations and Capabilities for Laser Assisted Direct Metal Deposition. Mater. Des. 2000, 21, 417–423. [Google Scholar] [CrossRef]
- Hug, E.; Lelièvre, M.; Folton, C.; Ribet, A.; Martinez-Celis, M.; Keller, C. Additive Manufacturing of a Ni-20 wt% Cr Binary Alloy by Laser Powder Bed Fusion: Impact of the Microstructure on the Mechanical Properties. Mater. Sci. Eng. A 2022, 834, 142625. [Google Scholar] [CrossRef]
- Heeling, T.; Cloots, M.; Wegener, K. Melt Pool Simulation for the Evaluation of Process Parameters in Selective Laser Melting. Addit. Manuf. 2017, 14, 116–125. [Google Scholar] [CrossRef]
- Yao, D.; Wang, J.; Luo, H.; Wu, Y.; An, X. Thermal Behavior and Control during Multi-Track Laser Powder Bed Fusion of 316 L Stainless Steel. Addit. Manuf. 2023, 70, 103562. [Google Scholar] [CrossRef]
- Karayagiz, K.; Johnson, L.; Seede, R.; Attari, V.; Zhang, B.; Huang, X.; Ghosh, S.; Duong, T.; Karaman, I.; Elwany, A.; et al. Finite Interface Dissipation Phase Field Modeling of Ni–Nb under Additive Manufacturing Conditions. Acta Mater. 2020, 185, 320–339. [Google Scholar] [CrossRef]
- Li, X.; Zhang, M.; Qi, J.; Yang, Z.; Jiao, Z. A Simulation Study on the Effect of Residual Stress on the Multi-Layer Selective Laser Melting Processes Considering Solid-State Phase Transformation. Materials 2022, 15, 7175. [Google Scholar] [CrossRef] [PubMed]
- Baumard, A.; Ayrault, D.; Fandeur, O.; Bordreuil, C.; Deschaux-Beaume, F. Numerical Prediction of Grain Structure Formation during Laser Powder Bed Fusion of 316 L Stainless Steel. Mater. Des. 2021, 199, 109434. [Google Scholar] [CrossRef]
- Denlinger, E.R.; Jagdale, V.; Srinivasan, G.V.; El-Wardany, T.; Michaleris, P. Thermal Modeling of Inconel 718 Processed with Powder Bed Fusion and Experimental Validation Using in Situ Measurements. Addit. Manuf. 2016, 11, 7–15. [Google Scholar] [CrossRef]
- Kumar, A.; Paul, C.P.; Pathak, A.K.; Bhargava, P.; Kukreja, L.M. A Finer Modeling Approach for Numerically Predicting Single Track Geometry in Two Dimensions during Laser Rapid Manufacturing. Opt. Laser Technol. 2012, 44, 555–565. [Google Scholar] [CrossRef]
- Zhang, Z.; Farahmand, P.; Kovacevic, R. Laser Cladding of 420 Stainless Steel with Molybdenum on Mild Steel A36 by a High Power Direct Diode Laser. Mater. Des. 2016, 109, 686–699. [Google Scholar] [CrossRef]
- Chiumenti, M.; Cervera, M.; Salmi, A.; Agelet De Saracibar, C.; Dialami, N.; Matsui, K. Finite Element Modeling of Multi-Pass Welding and Shaped Metal Deposition Processes. Comput. Methods Appl. Mech. Eng. 2010, 199, 2343–2359. [Google Scholar] [CrossRef]
- Buchenau, T.; Amkreutz, M.; Bruening, H.; Mayer, B. Influence of Contour Scan Variation on Surface, Bulk and Mechanical Properties of LPBF-Processed AlSi7Mg0.6. Materials 2023, 16, 3169. [Google Scholar] [CrossRef]
- Frazier, W.E. Metal Additive Manufacturing: A Review. J. Mater. Eng. Perform. 2014, 23, 1917–1928. [Google Scholar] [CrossRef]
- Hallam, J.M.; Kissinger, T.; Charrett, T.O.H.; Tatam, R.P. In-Process Range-Resolved Interferometric (RRI) 3D Layer Height Measurements for Wire + Arc Additive Manufacturing (WAAM). Meas. Sci. Technol. 2022, 33, 044002. [Google Scholar] [CrossRef]
- Nain, V.; Engel, T.; Carin, M.; Boisselier, D.; Seguy, L. Development of an Elongated Ellipsoid Heat Source Model to Reduce Computation Time for Directed Energy Deposition Process. Front. Mater. 2021, 8, 747389. [Google Scholar] [CrossRef]
- Chadha, U.; Selvaraj, S.K.; Lamsal, A.S.; Maddini, Y.; Ravinuthala, A.K.; Choudhary, B.; Mishra, A.; Padala, D.; Shashank, M.; Lahoti, V.; et al. Directed Energy Deposition via Artificial Intelligence-Enabled Approaches. Complexity 2022, 2022, 2767371. [Google Scholar] [CrossRef]
- Fetni, S.; Pham, Q.D.T.; Tran, V.X.; Duchêne, L.; Tran, H.S.; Habraken, A.M. Thermal field prediction in DED manufacturing process using Artificial Neural Network. In Proceedings of the ESAFORM 2021 24th International Conference on Material Forming, Virtual, 14–16 April 2021. [Google Scholar] [CrossRef]
- Leroy-Dubief, C. Contributions à La Définition de Règles de Fabrication Pour Le Procédé DED-LP Par Une Approche Thermique et Géométrique. Ph.D. Thesis, Université de Bordeaux, Bordeaux, France, 2023. [Google Scholar]
- Hashemi, S.N. Study of High Speed Steel Deposits Produced by Laser Cladding, Microstructure–Wear–Thermal Model. Ph.D. Thesis, University of Liège, Liège, Belgium, 2017. [Google Scholar]
- Bayat, M.; Dong, W.; Thorborg, J.; To, A.C.; Hattel, J.H. A Review of Multi-Scale and Multi-Physics Simulations of Metal Additive Manufacturing Processes with Focus on Modeling Strategies. Addit. Manuf. 2021, 47, 102278. [Google Scholar] [CrossRef]
- Liang, X.; Cheng, L.; Chen, Q.; Yang, Q.; To, A.C. A Modified Method for Estimating Inherent Strains from Detailed Process Simulation for Fast Residual Distortion Prediction of Single-Walled Structures Fabricated by Directed Energy Deposition. Addit. Manuf. 2018, 23, 471–486. [Google Scholar] [CrossRef]
- Keumo Tematio, J. Simulation Numérique Du Procédé de Fabrication Additive DED: Résolution Thermomécanique Incrémentale Complète et Modèles Réduits de Type “Inherent Strain,”. Ph.D. Thesis, Université Paris Sciences et Lettres, Paris, France, 2022. [Google Scholar]
- Jardin, R.T.; Tuninetti, V.; Tchuindjang, J.T.; Hashemi, N.; Carrus, R.; Mertens, A.; Duchêne, L.; Tran, H.S.; Habraken, A.M. Sensitivity Analysis in the Modelling of a High Speed Steel Thin-Wall Produced by Directed Energy Deposition. Metals 2020, 10, 1554. [Google Scholar] [CrossRef]
- Liu, S.; Zhang, Y.; Kovacevic, R. Numerical Simulation and Experimental Study of Powder Flow Distribution in High Power Direct Diode Laser Cladding Process. Lasers Manuf. Mater. Process. 2015, 2, 199–218. [Google Scholar] [CrossRef]
- Dinovitzer, M.; Chen, X.; Laliberte, J.; Huang, X.; Frei, H. Effect of Wire and Arc Additive Manufacturing (WAAM) Process Parameters on Bead Geometry and Microstructure. Addit. Manuf. 2019, 26, 138–146. [Google Scholar] [CrossRef]
- Fetni, S.; Enrici, T.M.; Niccolini, T.; Tran, H.S.; Dedry, O.; Duchêne, L.; Mertens, A.; Habraken, A.M. Thermal Model for the Directed Energy Deposition of Composite Coatings of 316 L Stainless Steel Enriched with Tungsten Carbides. Mater. Des. 2021, 204, 109661. [Google Scholar] [CrossRef]
- Khan, A.; Jaffery, S.H.I.; Hussain, S.Z.; Anwar, Z.; Dilawar, S. Numerical and Experimental Characterization of Melt Pool in Laser Powder Bed Fusion of SS316l. Integr. Mater. Manuf. Innov. 2023, 12, 210–230. [Google Scholar] [CrossRef]
- Simmons, J.C.; Chen, X.; Azizi, A.; Daeumer, M.A.; Zavalij, P.Y.; Zhou, G.; Schiffres, S.N. Influence of Processing and Microstructure on the Local and Bulk Thermal Conductivity of Selective Laser Melted 316L Stainless Steel. Addit. Manuf. 2020, 32, 100996. [Google Scholar] [CrossRef]
- Bobach, B.-J.; Boman, R.; Celentano, D.; Terrapon, V.E.; Ponthot, J.-P. Simulation of the Marangoni Effect and Phase Change Using the Particle Finite Element Method. Appl. Sci. 2021, 11, 11893. [Google Scholar] [CrossRef]
- Lampa, C.; Kaplan, A.F.H.; Powell, J.; Magnusson, C. An Analytical Thermodynamic Model of Laser Welding. J. Phys. Appl. Phys. 1997, 30, 1293–1299. [Google Scholar] [CrossRef]
- Cao, J.; Gharghouri, M.A.; Nash, P. Finite-Element Analysis and Experimental Validation of Thermal Residual Stress and Distortion in Electron Beam Additive Manufactured Ti-6Al-4V Build Plates. J. Mater. Process. Technol. 2016, 237, 409–419. [Google Scholar] [CrossRef]
- Ur Rehman, A.; Pitir, F.; Salamci, M.U. Laser Powder Bed Fusion (LPBF) of In718 and the Impact of Pre-Heating at 500 and 1000 °C: Operando Study. Materials 2021, 14, 6683. [Google Scholar] [CrossRef]
- Heigel, J.C.; Michaleris, P.; Reutzel, E.W. Thermo-Mechanical Model Development and Validation of Directed Energy Deposition Additive Manufacturing of Ti–6Al–4V. Addit. Manuf. 2015, 5, 9–19. [Google Scholar] [CrossRef]
- Yin, H.; Wang, L.; Felicelli, S.D. Comparison of Two-Dimensional and Three-Dimensional Thermal Models of the LENS® Process. J. Heat Transf. 2008, 130, 102101. [Google Scholar] [CrossRef]
- Marquardt, D.W. An Algorithm for Least Square Estimation of Nonlinear Parameters. J. Soc. Ind. Appl. Math. 1963, 11, 431–441. [Google Scholar] [CrossRef]
- Gavin, H.P. The Levenberg-Marquardt Algorithm for Nonlinear Least Squares Curve-Fitting Problems; Duke University: Durham, NC, USA, 2022. [Google Scholar]
- Betaieb, E.; Duchene, L.; Habraken, A. Calibration of kinematic hardening parameters on sheet metal with a Computer Numerical Control machine. Int. J. Mater. Form. 2022, 15, 69. [Google Scholar] [CrossRef]
- Modest, M.F. Radiative Heat Transfer, 3rd ed.; Academic Press: New York, NY, USA, 2013; ISBN 978-0-12-386944-9. [Google Scholar]
- Pham, T.Q.D.; Hoang, T.V.; Van Tran, X.; Pham, Q.T.; Fetni, S.; Duchêne, L.; Tran, H.S.; Habraken, A.-M. Fast and Accurate Prediction of Temperature Evolutions in Additive Manufacturing Process Using Deep Learning. J. Intell. Manuf. 2023, 34, 1701–1719. [Google Scholar] [CrossRef]














| C | Mn | Cr | Mo | V | W | Ni | Si | Fe |
|---|---|---|---|---|---|---|---|---|
| 1.35 | 0.34 | 4.30 | 4.64 | 4.10 | 5.60 | 0.9 | 0.33 | Balance |
| Laser beam speed [mm/s] | 6.67 |
| Laser power [W] | 1100 |
| Preheating [°C] | 300 |
| [/] | ] | [/] | ] | [/] | Mean Error [K] | |
|---|---|---|---|---|---|---|
| Set 1 | 0.03955 | 479.93 | 1.83 | 72.23 | 0.95 | 4.66 |
| Set 2 | 0.04097 | 823.47 | 0.8 | 82.49 | 0.8 | 4.27 |
| Set 3 | 0.04172 | 707.6 | 0.9 | 120 | 0.9 | 4.39 |
| Perturbed Parameter Sets | [/] | ] | [/] | ] | [/] |
|---|---|---|---|---|---|
| Set 2 | 0.04097 | 823.5 | 0.8 | 82.49 | 0.8 |
| Perturbed | 0.04101 | 823.5 | 0.8 | 82.49 | 0.8 |
| Perturbed | 0.04097 | 824.3 | 0.8 | 82.49 | 0.8 |
| Perturbed | 0.04097 | 823.5 | 0.801 | 82.49 | 0.8 |
| Perturbed | 0.04097 | 823.5 | 0.8 | 82.57 | 0.8 |
| Perturbed | 0.04097 | 823.5 | 0.8 | 82.49 | 0.801 |
Disclaimer/Publisher’s Note: The statements, opinions and data contained in all publications are solely those of the individual author(s) and contributor(s) and not of MDPI and/or the editor(s). MDPI and/or the editor(s) disclaim responsibility for any injury to people or property resulting from any ideas, methods, instructions or products referred to in the content. |
© 2024 by the authors. Licensee MDPI, Basel, Switzerland. This article is an open access article distributed under the terms and conditions of the Creative Commons Attribution (CC BY) license (https://creativecommons.org/licenses/by/4.0/).
Share and Cite
Gallo, C.; Duchêne, L.; Quy Duc Pham, T.; Jardin, R.; Tuninetti, V.; Habraken, A.-M. Impact of Boundary Parameters Accuracy on Modeling of Directed Energy Deposition Thermal Field. Metals 2024, 14, 173. https://doi.org/10.3390/met14020173
Gallo C, Duchêne L, Quy Duc Pham T, Jardin R, Tuninetti V, Habraken A-M. Impact of Boundary Parameters Accuracy on Modeling of Directed Energy Deposition Thermal Field. Metals. 2024; 14(2):173. https://doi.org/10.3390/met14020173
Chicago/Turabian StyleGallo, Calogero, Laurent Duchêne, Thinh Quy Duc Pham, Ruben Jardin, Víctor Tuninetti, and Anne-Marie Habraken. 2024. "Impact of Boundary Parameters Accuracy on Modeling of Directed Energy Deposition Thermal Field" Metals 14, no. 2: 173. https://doi.org/10.3390/met14020173
APA StyleGallo, C., Duchêne, L., Quy Duc Pham, T., Jardin, R., Tuninetti, V., & Habraken, A.-M. (2024). Impact of Boundary Parameters Accuracy on Modeling of Directed Energy Deposition Thermal Field. Metals, 14(2), 173. https://doi.org/10.3390/met14020173

