A Review on Sheet Metal Forming Behavior in High-Strength Steels and the Use of Numerical Simulations
Abstract
1. Introduction
2. Springback
3. Sheet Forming Simulation
3.1. Basic Concepts
3.2. Scientific Approach
3.3. Fracture Criteria
3.4. Material Definition Models
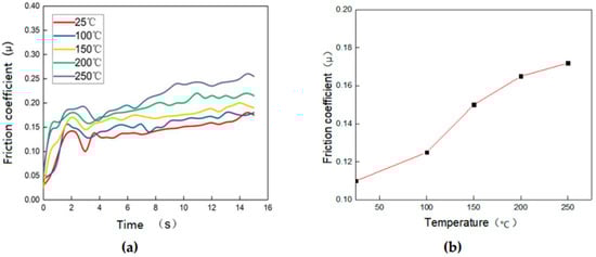
3.5. Friction Models
3.6. Simulation Results
4. Conclusions
Author Contributions
Funding
Data Availability Statement
Conflicts of Interest
References
- Tisza, M.; Lukács, Z.; Kovács, P.; Budai, D. Some recent developments in sheet metal forming for production of lightweight automotive parts. J. Phys. Conf. Ser. 2017, 896, 012087. [Google Scholar] [CrossRef]
- Silva, M.; Baptista, R.; Martins, P. Stamping of automotive components: A numerical and experimental investigation. J. Mater. Process. Technol. 2004, 155–156, 1489–1496. [Google Scholar] [CrossRef]
- Bai, S.-B.; Chen, Y.-A.; Sheng, J.; Li, D.-Z.; Lu, H.-H.; Bai, P.-K.; Huang, Z.-Q.; Li, J.-Y.; Zhao, C. A comprehensive overview of high strength and toughness steels for automobile based on QP process. J. Mater. Res. Technol. 2023, 27, 2216–2236. [Google Scholar] [CrossRef]
- Zhang, W.; Xu, J. Advanced lightweight materials for Automobiles: A review. Mater. Des. 2022, 221, 110994. [Google Scholar] [CrossRef]
- Cimprich, A.; Sadayappan, K.; Young, S.B. Lightweighting electric vehicles: Scoping review of life cycle assessments. J. Clean. Prod. 2023, 433, 139692. [Google Scholar] [CrossRef]
- Czerwinski, F. Current trends in automotive lightweighting strategies and materials. Materials 2021, 14, 6631. [Google Scholar] [CrossRef]
- Zhao, J.; Jiang, Z. Thermomechanical processing of advanced high strength steels. Prog. Mater. Sci. 2018, 94, 174–242. [Google Scholar] [CrossRef]
- Abdullah, N.; Salwani, M.; Husain, N. A review on crashworthiness studies of crash box structure. Thin-Walled Struct. 2020, 153, 106795. [Google Scholar] [CrossRef]
- Gronostajski, Z.; Pater, Z.; Madej, L.; Gontarz, A.; Lisiecki, L.; Lukaszek-Solek, A.; Łuksza, J.; Mróz, S.; Muskalski, Z.; Muzykiewicz, W.; et al. Recent development trends in metal forming. Arch. Civ. Mech. Eng. 2019, 19, 898–941. [Google Scholar] [CrossRef]
- Paul, S.K. Controlling factors of forming limit curve: A review. Adv. Ind. Manuf. Eng. 2021, 2, 100033. [Google Scholar] [CrossRef]
- Bowen, D.T.; Russo, I.M.; Cleaver, C.J.; Allwood, J.M.; Loukaides, E.G. From art to part: Learning from the traditional smith in developing flexible sheet metal forming processes. J. Mech. Work. Technol. 2022, 299, 117337. [Google Scholar] [CrossRef]
- Ma, B.; Wan, M.; Wu, X.; Cai, Z.; Diao, K.; Han, J. Investigation on forming limit of advanced high strength steels (AHSS) under hot stamping conditions. J. Manuf. Process. 2017, 30, 320–327. [Google Scholar] [CrossRef]
- Ma, B.; Wan, M.; Li, X.; Wu, X.; Diao, S. Evaluation of limit strain and temperature history in hot stamping of advanced high strength steels (AHSS). Int. J. Mech. Sci. 2017, 128–129, 607–613. [Google Scholar] [CrossRef]
- Romero-Resendiz, L.; El-Tahawy, M.; Zhang, T.; Rossi, M.; Marulanda-Cardona, D.; Yang, T.; Amigó-Borrás, V.; Huang, Y.; Mirzadeh, H.; Beyerlein, I.; et al. Heterostructured stainless steel: Properties, current trends, and future perspectives. Mater. Sci. Eng. R Rep. 2022, 150, 100691. [Google Scholar] [CrossRef]
- Cann, J.L.; De Luca, A.; Dunand, D.C.; Dye, D.; Miracle, D.B.; Oh, H.S.; Olivetti, E.A.; Pollock, T.M.; Poole, W.J.; Yang, R.; et al. Sustainability through alloy design: Challenges and opportunities. Prog. Mater. Sci. 2020, 117, 100722. [Google Scholar] [CrossRef]
- Bouaziz, O.; Allain, S.; Scott, C.P.; Cugy, P.; Barbier, D. High manganese austenitic twinning induced plasticity steels: A review of the microstructure properties relationships. Curr. Opin. Solid State Mater. Sci. 2011, 15, 141–168. [Google Scholar] [CrossRef]
- Hu, B.; Luo, H.; Yang, F.; Dong, H. Recent progress in medium-Mn steels made with new designing strategies, a review. J. Mater. Sci. Technol. 2017, 33, 1457–1464. [Google Scholar] [CrossRef]
- Zhang, Y.; Ye, Q.; Yan, Y. Processing, microstructure, mechanical properties, and hydrogen embrittlement of medium-Mn steels: A review. J. Mater. Sci. Technol. 2024, 201, 44–57. [Google Scholar] [CrossRef]
- Khaple, S.; Golla, B.R.; Prasad, V.S. A review on the current status of Fe–Al based ferritic lightweight steel. Def. Technol. 2023, 26, 1–22. [Google Scholar] [CrossRef]
- Soleimani, M.; Kalhor, A.; Mirzadeh, H. Transformation-induced plasticity (TRIP) in advanced steels: A review. Mater. Sci. Eng. A 2020, 795, 140023. [Google Scholar] [CrossRef]
- Dai, Z.; Chen, H.; Ding, R.; Lu, Q.; Zhang, C.; Yang, Z.; van der Zwaag, S. Fundamentals and application of solid-state phase transformations for advanced high strength steels containing metastable retained austenite. Mater. Sci. Eng. R Rep. 2021, 143, 100590. [Google Scholar] [CrossRef]
- Li, Y.; Martín, D.S.; Wang, J.; Wang, C.; Xu, W. A review of the thermal stability of metastable austenite in steels: Martensite formation. J. Mater. Sci. Technol. 2021, 91, 200–214. [Google Scholar] [CrossRef]
- Dhara, S.; van Bohemen, S.M.; Santofimia, M.J. Isothermal decomposition of austenite in presence of martensite in advanced high strength steels: A review. Mater. Today Commun. 2022, 33, 104567. [Google Scholar] [CrossRef]
- Tisza, M. Numerical modelling and simulation in sheet metal forming. J. Mech. Work. Technol. 2004, 151, 58–62. [Google Scholar] [CrossRef]
- Cai, Z.-Y.; Wang, S.-H.; Xu, X.-D.; Li, M.-Z. Numerical simulation for the multi-point stretch forming process of sheet metal. J. Mech. Work. Technol. 2009, 209, 396–407. [Google Scholar] [CrossRef]
- Alberti, N.; Fratini, L. Innovative sheet metal forming processes: Numerical simulations and experimental tests. J. Mech. Work. Technol. 2004, 150, 2–9. [Google Scholar] [CrossRef]
- Gantar, G.; Pepelnjak, T.; Kuzman, K. Optimization of sheet metal forming processes by the use of numerical simulations. J. Mech. Work. Technol. 2002, 130–131, 54–59. [Google Scholar] [CrossRef]
- Rabahallah, M.; Bouvier, S.; Balan, T.; Bacroix, B. Numerical simulation of sheet metal forming using anisotropic strain-rate potentials. Mater. Sci. Eng. A 2009, 517, 261–275. [Google Scholar] [CrossRef]
- Han, G.; He, J.; Li, S.; Lin, Z. Simple shear methodology for local structure–property relationships of sheet metals: State-of-the-art and open issues. Prog. Mater. Sci. 2024, 143, 101266. [Google Scholar] [CrossRef]
- Coppieters, S.; Traphöner, H.; Stiebert, F.; Balan, T.; Kuwabara, T.; Tekkaya, A. Large strain flow curve identification for sheet metal. J. Mech. Work. Technol. 2022, 308, 117725. [Google Scholar] [CrossRef]
- Bhargava, M.; Tewari, A.; Mishra, S.K. Forming limit diagram of Advanced High Strength Steels (AHSS) based on strain-path diagram. Mater. Des. 2015, 85, 149–155. [Google Scholar] [CrossRef]
- Zhu, Y.; Liu, Y.; Yang, H.; Li, H. Development and application of the material constitutive model in springback prediction of cold-bending. Mater. Des. 2012, 42, 245–258. [Google Scholar] [CrossRef]
- Jiang, H.-J.; Ren, Y.-X.; Lian, J.-W.; Xu, W.-L.; Gao, N.-H.; Wang, X.-G.; Jia, C.-S. A new predicting model study on U-shaped stamping springback behavior subjected to steady-state temperature field. J. Manuf. Process. 2022, 76, 21–33. [Google Scholar] [CrossRef]
- Gupta, M.S.; Reddy, D.R. Design and analysis of aircraft sheet metal for spring back effect. Mater. Today Proc. 2017, 4, 8287–8295. [Google Scholar] [CrossRef]
- Jamli, M.; Farid, N. The sustainability of neural network applications within finite element analysis in sheet metal forming: A review. Measurement 2019, 138, 446–460. [Google Scholar] [CrossRef]
- Choi, J.; Lee, J.; Bong, H.J.; Lee, M.-G.; Barlat, F. Advanced constitutive modeling of advanced high strength steel sheets for springback prediction after double stage U-draw bending. Int. J. Solids Struct. 2018, 151, 152–164. [Google Scholar] [CrossRef]
- Siswanto, W.A.; Omar, B.; Anggono, A.D.; Mathew, A. Springback Behavior Prediction of Benchmark Problem II Numisheet 2008 Model Under Smooth Drawbead. In Proceedings of the National Conference on Advanced Manufacturing and Material Engineering (NAMME 2010), Johor, Malaysia, 25–26 June 2010; Available online: https://www.researchgate.net/publication/216242495 (accessed on 11 December 2024).
- Banabic, D. Sheet Metal Forming Processes: Constitutive Modelling and Numerical Simulation; Springer: Berlin/Heidelberg, Germany, 2010. [Google Scholar] [CrossRef]
- Cadet, G.; Paredes, M. Convergence analysis and mesh optimization of finite element analysis related to helical springs. Mech. Ind. 2024, 25, 22. [Google Scholar] [CrossRef]
- Lee, M.G.; Kim, C.; Pavlina, E.J.; Barlat, F. Advances in sheet forming-materials modeling, numerical simulation, and press technologies. J. Manuf. Sci. Eng. 2011, 133, 061001. [Google Scholar] [CrossRef]
- Ablat, M.A.; Qattawi, A. Numerical simulation of sheet metal forming: A review. Int. J. Adv. Manuf. Technol. 2017, 89, 1235–1250. [Google Scholar] [CrossRef]
- Silva, C.R.; Silva, F.; Gouveia, R.M. Investigations on the edge crack defect in Dual Phase steel stamping process. Procedia Manuf. 2018, 17, 737–745. [Google Scholar] [CrossRef]
- Sun, X.; Shen, W.; Li, Y.; Hu, X.; Li, C.; Xue, F. An uncoupled ductile fracture criterion for a wide range of stress states in sheet metal forming failure prediction. Eng. Fract. Mech. 2024, 310, 110464. [Google Scholar] [CrossRef]
- Zheng, L.; Meng, B.; Wan, M. Prediction of micro/meso scale forming limit for metal foils using a simple criterion. J. Mech. Work. Technol. 2024, 333, 118612. [Google Scholar] [CrossRef]
- Zheng, L.; Wang, K.; Jiang, Y.; Wan, M.; Meng, B. A new ductile failure criterion for micro/meso scale forming limit prediction of metal foils considering size effect and free surface roughening. Int. J. Plast. 2022, 157, 103406. [Google Scholar] [CrossRef]
- Zheng, L.; Yoon, J.W. A new failure criterion for predicting meso/micro-scale forming limit of composite metal foils. Int. J. Plast. 2024, 176, 103962. [Google Scholar] [CrossRef]
- Kõrgesaar, M. The effect of low stress triaxialities and deformation paths on ductile fracture simulations of large shell structures. Mar. Struct. 2019, 63, 45–64. [Google Scholar] [CrossRef]
- Ma, L.; Wang, Z. The effects of through-thickness shear stress on the formability of sheet metal—A review. J. Manuf. Process. 2021, 71, 269–289. [Google Scholar] [CrossRef]
- Feistle, M.; Golle, R.; Volk, W. Edge crack test methods for AHSS steel grades: A review and comparisons. J. Mech. Work. Technol. 2022, 302, 117488. [Google Scholar] [CrossRef]
- Golling, S.; Frómeta, D.; Casellas, D.; Jonsén, P. Investigation on the influence of loading-rate on fracture toughness of AHSS grades. Mater. Sci. Eng. A 2018, 726, 332–341. [Google Scholar] [CrossRef]
- Paul, S.K. Effect of forming strain on low cycle, high cycle and notch fatigue performance of automotive grade dual phase steels: A review. Forces Mech. 2023, 11, 100184. [Google Scholar] [CrossRef]
- Keralavarma, S.; Sidharth, R. Analysis of localized necking in anisotropic sheet metals. Int. J. Solids Struct. 2023, 281, 112429. [Google Scholar] [CrossRef]
- Luo, Z.C.; Huang, M.X. Revealing the Fracture Mechanism of Twinning-Induced Plasticity Steels. Steel Res. Int. 2018, 89, 1700433. [Google Scholar] [CrossRef]
- Zhao, K.; Wang, L.; Chang, Y.; Yan, J. Identification of post-necking stress-strain curve for sheet metals by inverse method. Mech. Mater. 2016, 92, 107–118. [Google Scholar] [CrossRef]
- Lou, Y.; Huh, H.; Lim, S.; Pack, K. New ductile fracture criterion for prediction of fracture forming limit diagrams of sheet metals. Int. J. Solids Struct. 2012, 49, 3605–3615. [Google Scholar] [CrossRef]
- Lou, Y.; Huh, H. Prediction of ductile fracture for advanced high strength steel with a new criterion: Experiments and simulation. J. Mech. Work. Technol. 2013, 213, 1284–1302. [Google Scholar] [CrossRef]
- Beese, A.M.; Luo, M.; Li, Y.; Bai, Y.; Wierzbicki, T. Partially coupled anisotropic fracture model for aluminum sheets. Eng. Fract. Mech. 2010, 77, 1128–1152. [Google Scholar] [CrossRef]
- Habibi, N.; Sundararaghavan, V.; Prahl, U.; Ramazani, A. Experimental and Numerical Investigations into the failure mechanisms of TRIP700 steel sheets. Metals 2018, 8, 1073. [Google Scholar] [CrossRef]
- Li, R.; Zheng, Z.; Zhan, M.; Zhang, H.; Lei, Y. A comparative study of three forms of an uncoupled damage model as fracture judgment for thin-walled metal sheets. Thin-Walled Struct. 2021, 169, 108321. [Google Scholar] [CrossRef]
- Ganjiani, M. A damage model for predicting ductile fracture with considering the dependency on stress triaxiality and Lode angle. Eur. J. Mech.-A/Solids 2020, 84, 104048. [Google Scholar] [CrossRef]
- Cao, J.; Li, F.; Ma, X.; Sun, Z. A modified elliptical fracture criterion to predict fracture forming limit diagrams for sheet metals. J. Mech. Work. Technol. 2018, 252, 116–127. [Google Scholar] [CrossRef]
- Ganjiani, M.; Homayounfard, M. Development of a ductile failure model sensitive to stress triaxiality and Lode angle. Int. J. Solids Struct. 2021, 225, 111066. [Google Scholar] [CrossRef]
- Basak, S.; Panda, S.K. Failure strains of anisotropic thin sheet metals: Experimental evaluation and theoretical prediction. Int. J. Mech. Sci. 2019, 151, 356–374. [Google Scholar] [CrossRef]
- Park, N.; Huh, H.; Lim, S.J.; Lou, Y.; Kang, Y.S.; Seo, M.H. Fracture-based forming limit criteria for anisotropic materials in sheet metal forming. Int. J. Plast. 2017, 96, 1–35. [Google Scholar] [CrossRef]
- Mirnia, M.J.; Shamsari, M. Numerical prediction of failure in single point incremental forming using a phenomenological ductile fracture criterion. J. Mech. Work. Technol. 2017, 244, 17–43. [Google Scholar] [CrossRef]
- Li, F.-F.; Fang, G.; Qian, L.-Y. Forming limit analysis of Mg-2Zn-1.2Al-0.2Ca-0.2RE alloy sheet using ductile fracture models. Int. J. Damage Mech. 2020, 29, 1181–1198. [Google Scholar] [CrossRef]
- Habibi, N.; Ramazani, A.; Sundararaghavan, V.; Prahl, U. Failure predictions of DP600 steel sheets using various uncoupled fracture criteria. Eng. Fract. Mech. 2018, 190, 367–381. [Google Scholar] [CrossRef]
- Talebi-Ghadikolaee, H.; Naeini, H.M.; Mirnia, M.J.; Alexandrov, S.; Gorji, H. Experimental and numerical investigation of failure during bending of AA6061 aluminum alloy sheet using the modified Mohr-Coulomb fracture criterion. Int. J. Adv. Manuf. Technol. 2019, 105, 5217–5237. [Google Scholar] [CrossRef]
- Prasad, K.; Panda, S.; Kar, S.; Murty, S.; Sharma, S. Prediction of fracture and deep drawing behavior of solution treated Inconel-718 sheets: Numerical modeling and experimental validation. Mater. Sci. Eng. A 2018, 733, 393–407. [Google Scholar] [CrossRef]
- Basak, S.; Panda, S.K. Use of uncoupled ductile damage models for fracture forming limit prediction during two-stage forming of aluminum sheet material. J. Manuf. Process. 2023, 97, 185–199. [Google Scholar] [CrossRef]
- Zhang, S.; Zhang, K.; Li, K.; Ye, H. Prediction of ductile fracture on 6016-T4 aluminum alloy sheet metal forming considering anisotropic plasticity. J. Braz. Soc. Mech. Sci. Eng. 2020, 42, 593. [Google Scholar] [CrossRef]
- Panich, S.; Suranuntchai, S.; Jirathearanat, S.; Uthaisangsuk, V. A hybrid method for prediction of damage initiation and fracture and its application to forming limit analysis of advanced high strength steel sheet. Eng. Fract. Mech. 2016, 166, 97–127. [Google Scholar] [CrossRef]
- Chen, X.; Shi, M.F.; Shih, H.-C.; Luo, M.; Wierzbicki, T. AHSS shear fracture predictions based on a recently developed fracture criterion. SAE Int. J. Mater. Manuf. 2010, 3, 723–731. [Google Scholar] [CrossRef]
- Dunand, M.; Mohr, D. On the predictive capabilities of the shear modified Gurson and the modified Mohr-Coulomb fracture models over a wide range of stress triaxialities and Lode angles. J. Mech. Phys. Solids 2011, 59, 1374–1394. [Google Scholar] [CrossRef]
- Morchhale, A.; Badrish, A.; Kotkunde, N.; Singh, S.K.; Khanna, N.; Saxena, A.; Nikhare, C. Prediction of fracture limits of Ni–Cr based alloy under warm forming condition using ductile damage models and numerical method. Trans. Nonferrous Met. Soc. China 2021, 31, 2372–2387. [Google Scholar] [CrossRef]
- Li, Y.; Luo, M.; Gerlach, J.; Wierzbicki, T. Prediction of shear-induced fracture in sheet metal forming. J. Mater. Process. Technol. 2010, 210, 1858–1869. [Google Scholar] [CrossRef]
- Karafillis, A.P.; Boyce, M.C. A general anisotropic yield criterion using bounds bad a transformation weighting tensor. J. Mech. Phys. Solids 1993, 41, 1859–1886. [Google Scholar] [CrossRef]
- Lou, Y.; Huh, H.; Yoon, J.W. Consideration of strength differential effect in sheet metals with symmetric yield functions. Int. J. Mech. Sci. 2013, 66, 214–223. [Google Scholar] [CrossRef]
- Barlat, F.; Aretz, H.; Yoon, J.W.; Karabin, M.E.; Brem, J.C.; Dick, R.E. Linear transfomation-based anisotropic yield functions. Int. J. Plast. 2005, 21, 1009–1039. [Google Scholar] [CrossRef]
- Barlat, F.; Brem, J.C.; Yoon, J.W.; Chung, K.; Dick, R.E.; Lege, D.J.; Pourboghrat, F.; Choi, S.-H.; Chu, E. Plane stress yield function for aluminum alloy sheets—Part 1: Theory. Int. J. Mech. Sci. 2013, 66, 214–223. [Google Scholar] [CrossRef]
- Lou, Y.; Yoon, J.W. Anisotropic yield function based on stress invariants for BCC and FCC metals and its extension to ductile fracture criterion. Int. J. Plast. 2018, 101, 125–155. [Google Scholar] [CrossRef]
- Yoon, J.W.; Lou, Y.; Yoon, J.; Glazoff, M.V. Asymmetric yield function based on the stress invariants for pressure sensitive metals. Int. J. Plast. 2014, 56, 184–202. [Google Scholar] [CrossRef]
- Yoshida, F.; Hamasaki, H.; Uemori, T. A user-friendly 3D yield function to describe anisotropy of steel sheets. Int. J. Plast. 2013, 45, 119–139. [Google Scholar] [CrossRef]
- Cazacu, O.; Barlat, F. A criterion for description of anisotropy and yield differential effects in pressure-insensitive metals. Int. J. Plast. 2004, 20, 2027–2045. [Google Scholar] [CrossRef]
- Lou, Y.; Yoon, J.W. Anisotropic ductile fracture criterion based on linear transformation. Int. J. Plast. 2017, 93, 3–25. [Google Scholar] [CrossRef]
- Lee, J.Y.; Lee, M.G.; Barlat, F.; Bae, G. Piecewise linear approximation of nonlinear unloading-reloading behaviors using a multi-surface approach. Int. J. Plast. 2017, 93, 112–136. [Google Scholar] [CrossRef]
- Mohr, D.; Marcadet, S.J. Micromechanically-motivated phenomenological Hosford-Coulomb model for predicting ductile fracture initiation at low stress triaxialities. Int. J. Solids Struct. 2015, 67–68, 40–55. [Google Scholar] [CrossRef]
- Huang, B.; Lin, L.; Xu, T.; Xiao, X.; Wang, J. A Study of the Dynamic Mechanical Properties of Q460D Steel. Metals 2023, 13, 1609. [Google Scholar] [CrossRef]
- Jiang, W.; Li, Y.; Su, J. Modified GTN model for a broad range of stress states and application to ductile fracture. Eur. J. Mech.-A/Solids 2016, 57, 132–148. [Google Scholar] [CrossRef]
- Malcher, L.; Andrade Pires, F.M.; César De Sá, J.M.A. An extended GTN model for ductile fracture under high and low stress triaxiality. Int. J. Plast. 2014, 54, 193–228. [Google Scholar] [CrossRef]
- Zhou, J.; Gao, X.; Sobotka, J.C.; Webler, B.A.; Cockeram, B.V. On the extension of the Gurson-type porous plasticity models for prediction of ductile fracture under shear-dominated conditions. Int. J. Solids Struct. 2014, 51, 3273–3291. [Google Scholar] [CrossRef]
- Hering, O.; Kolpak, F.; Tekkaya, A.E. Flow curves up to high strains considering load reversal and damage. Int. J. Mater. Form. 2019, 12, 955–972. [Google Scholar] [CrossRef]
- Deng, Z.; Hennig, R. Influence of material modeling on simulation accuracy of aluminum stampings. J. Phys. Conf. Ser. 2017, 896, 012025. [Google Scholar] [CrossRef]
- Hollomon, J.H. Tensile deformation. Aime Trans. 1945, 12, 1–22. [Google Scholar]
- Ludwik, P. Elemente der Technologischen Mechanik; Springer: Berlin/Heidelberg, Germany, 1909. [Google Scholar]
- Swift, H. Plastic instability under plane stress. J. Mech. Phys. Solids 1952, 1, 1–18. [Google Scholar] [CrossRef]
- Voce, E. The relationship between stress and strain for homogeneous deformation. J. Inst. Met. 1948, 74, 537–562. [Google Scholar]
- Hockett, J.E.; Sherby, O.D. Large strain deformation of polycrystalline metals at low homologous temperatures. J. Mech. Phys. Solids 1975, 23, 87–98. [Google Scholar] [CrossRef]
- Banabic, D.; Bunge, H.-J.; Pöhlandt, K.; Tekkaya, A.E.; Banabic, D. Anisotropy of sheet metal. In Formability of Metallic Materials: Plastic Anisotropy, Formability Testing, Forming Limits; Springer: Berlin/Heidelberg, Germany, 2000; pp. 119–172. [Google Scholar]
- Hill, R. A theory of the yielding and plastic flow of anisotropic metals. Proc. R. Soc. Lond. Ser. A Math. Phys. Sci. 1948, 193, 281–297. [Google Scholar]
- Cai, Z.; Diao, K.; Wu, X.; Wan, M. Constitutive modeling of evolving plasticity in high strength steel sheets. Int. J. Mech. Sci. 2016, 107, 43–57. [Google Scholar] [CrossRef]
- Barlat, F.; Lian, K. Plastic behavior and stretchability of sheet metals. Part I: A Yield function for orthotropic sheets under plane stress conditions. Int. J. Plast. 1989, 5, 51–66. [Google Scholar] [CrossRef]
- Bïllur, E.; Karabulut, S.; Yilmaz, I.; Erzïncanlioğlu, S.; Çelïk, H.; Altinok, E.; Başer, T.A. Mechanical Properties of Trip Aided Bainitic Ferrite (Tbf) Steels in Production and Service Conditions. Hittite J. Sci. Eng. 2018, 5, 231–237. [Google Scholar] [CrossRef]
- Chongthairungruang, B.; Uthaisangsuk, V.; Suranuntchai, S.; Jirathearanat, S. Springback prediction in sheet metal forming of high strength steels. Mater. Des. 2013, 50, 253–266. [Google Scholar] [CrossRef]
- Skelton, R.P.; Maier, H.J.; Christ, H.-J. The Bauschinger effect, Masing model and the Ramberg-Osgood relation for cyclic deformation in metals. Mater. Sci. Eng. 1997, 238, 377–390. [Google Scholar] [CrossRef]
- Chun, B.K.; Jinn, J.T.; Lee, J.K. Modeling the Bauschinger effect for sheet metals, part I: Theory. Int. J. Plast. 2002, 18, 571–595. [Google Scholar] [CrossRef]
- Bouaziz, O.; Kim, H.S.; Lee, J.; Estrin, Y. Bauschinger Effect or Kinematic Hardening: Bridging Microstructure and Continuum Mechanics. Met. Mater. Int. 2023, 29, 280–292. [Google Scholar] [CrossRef]
- Yoshida, F.; Uemori, T. A model of large-strain cyclic plasticity describing the Bauschinger effect and workhardening stagnation. Int. J. Plast. 2002, 18, 661–686. [Google Scholar] [CrossRef]
- Yoshida, F.; Uemori, T. A model of large-strain cyclic plasticity and its application to springback simulation. Int. J. Mech. Sci. 2003, 45, 1687–1702. [Google Scholar] [CrossRef]
- Phongsai, T.; Uthaisangsuk, V.; Chongthairungruang, B.; Suranuntchai, S.; Jirathearanat, S. Simplified identification of material parameters for Yoshida-Uemori kinematic hardening model. In Proceedings of the International Conference on Experimental Mechanics 2013 and Twelfth Asian Conference on Experimental Mechanics, Bangkok, Thailand, 25–27 November 2013; Volume 9234, p. 92340A. [Google Scholar] [CrossRef]
- Banerjee, D.K.; Luecke, W.E.; Iadicola, M.A.; Rust, E. Evaluation of methods for determining the Yoshida-Uemori combined isotropic/kinematic hardening model parameters from tension-compression tests of advanced lightweighting materials. Mater. Today Commun. 2022, 33, 104270. [Google Scholar] [CrossRef]
- Barlat, F.; Gracio, J.J.; Lee, M.-G.; Rauch, E.F.; Vincze, G. An alternative to kinematic hardening in classical plasticity. Int. J. Plast. 2011, 27, 1309–1327. [Google Scholar] [CrossRef]
- Fedorenkov, D.I.; Kosov, D.A.; Tumanov, A.V. A Method of Determining the Constants and Parameters of a Damage Accumulation Model with Isotropic and Kinematic Hardening. Phys. Mesomech. 2023, 26, 157–166. [Google Scholar] [CrossRef]
- Halama, R.; Sedlák, J.; Šofer, M. Phenomenological Modelling of Cyclic Plasticity. Numer. Model. 2012, 1, 329–354. [Google Scholar] [CrossRef]
- Kim, H.; Han, S.; Yan, Q.; Altan, T. Evaluation of tool materials, coatings and lubricants in forming galvanized advanced high strength steels (AHSS). CIRP Ann. 2008, 57, 299–304. [Google Scholar] [CrossRef]
- Trzepiecinski, T.; Lemu, H.G. Recent developments and trends in the friction testing for conventional sheet metal forming and incremental sheet forming. Metals 2019, 10, 47. [Google Scholar] [CrossRef]
- Lee, K.; Park, J.; Lee, J.; Kwon, S.; Choi, I.; Lee, M. Computational framework for predicting friction law under mixed-boundary lubrication, and its application to sheet metal forming process. Tribol. Int. 2024, 199, 109941. [Google Scholar] [CrossRef]
- Tillmann, W.; Stangier, D.; Lopes-Dias, N.-F.; Biermann, D.; Krebs, E. Adjustment of friction by duplex-treated, bionic structures for Sheet-Bulk Metal Forming. Tribol. Int. 2017, 111, 9–17. [Google Scholar] [CrossRef]
- Cora, Ö.N.; Koç, M. Experimental investigations on wear resistance characteristics of alternative die materials for stamping of advanced high-strength steels (AHSS). Int. J. Mach. Tools Manuf. 2009, 49, 897–905. [Google Scholar] [CrossRef]
- Wang, W.; Zhao, Y.; Wang, Z.; Hua, M.; Wei, X. A study on variable friction model in sheet metal forming with advanced high strength steels. Tribol. Int. 2016, 93, 17–28. [Google Scholar] [CrossRef]
- Dou, S.; Wang, X.; Xia, J.; Wilson, L. Analysis of sheet metal forming (Warm stamping process): A study of the variable friction coefficient on 6111 aluminum alloy. Metals 2020, 10, 1189. [Google Scholar] [CrossRef]
- Dou, S.; Xia, J. Analysis of sheet metal forming (Stamping process): A study of the variable friction coefficient on 5052 aluminum alloy. Metals 2019, 9, 853. [Google Scholar] [CrossRef]
- Hora, P.; Heingärtner, J.; Peters, P.; Manopulo, N. New software and hardware concepts for an integral in-line quality control in sheet metal forming. AIP Conf. Proc. 2013, 1567, 998–1001. [Google Scholar] [CrossRef]
- Tekkaya, A. State-of-the-art of simulation of sheet metal forming. J. Mech. Work. Technol. 2000, 103, 14–22. [Google Scholar] [CrossRef]
- Makinouchi, A. Materials Processing Technology Sheet metal forming simulation in industry. J. Mater. Process. Technol. 1996, 60, 19–26. [Google Scholar] [CrossRef]













































| Model | Equation | |
|---|---|---|
| Hollomon [94] | (4) | |
| Ludwik [95] | (5) | |
| Swift [96] | (6) | |
| Voce [97] | (7) | |
| Hockett/Sherby [98] | (8) | |
| Ghosh | (9) | |
| Swift–Voce | (10) | |
| Aspects | Advantages | Disadvantages |
|---|---|---|
| Cost and time | Significant cost reduction in trials and construction of prototypes. | High initial cost of software and hardware to run simulations. |
| Shorter project development time (reduces lead time from design to production). | Considerable time to correctly set up and run complex simulations. | |
| Predictability | Identification of process problems such as forming defects and springback. | Dependency on the quality of input data regarding material properties and process conditions. |
| Enables obtaining a detailed analysis on stresses, strains, thickness variation. | Results obtained may be inaccurate if the numerical models applied cannot adequately represent real forming processes. | |
| Flexibility | Facilitates testing of different process conditions such as materials, tools, and forming parameters. | Limited in analyzing process involving highly non-linear and complex phenomena. |
| Enables process optimization without physical intervention. | Optimization obtained may not be feasible depending on technology restrictions. | |
| Safety | Allows analysis of extreme conditions without risks to the operator or equipment. | Cannot fully replace experimental test for final validation. |
| Integration with design and project | Compatibility with other CAD/CAE software, facilitating adjustments and analysis. | Requires specialized training and knowledge to correctly interpret the results and adjust the design. |
Disclaimer/Publisher’s Note: The statements, opinions and data contained in all publications are solely those of the individual author(s) and contributor(s) and not of MDPI and/or the editor(s). MDPI and/or the editor(s) disclaim responsibility for any injury to people or property resulting from any ideas, methods, instructions or products referred to in the content. |
© 2024 by the authors. Licensee MDPI, Basel, Switzerland. This article is an open access article distributed under the terms and conditions of the Creative Commons Attribution (CC BY) license (https://creativecommons.org/licenses/by/4.0/).
Share and Cite
Folle, L.F.; Lima, T.N.; Santos, M.P.S.; Callegari, B.; Silva, B.C.d.S.; Zamorano, L.G.S.; Coelho, R.S. A Review on Sheet Metal Forming Behavior in High-Strength Steels and the Use of Numerical Simulations. Metals 2024, 14, 1428. https://doi.org/10.3390/met14121428
Folle LF, Lima TN, Santos MPS, Callegari B, Silva BCdS, Zamorano LGS, Coelho RS. A Review on Sheet Metal Forming Behavior in High-Strength Steels and the Use of Numerical Simulations. Metals. 2024; 14(12):1428. https://doi.org/10.3390/met14121428
Chicago/Turabian StyleFolle, Luis Fernando, Tiago Nunes Lima, Matheus Passos Sarmento Santos, Bruna Callegari, Bruno Caetano dos Santos Silva, Luiz Gustavo Souza Zamorano, and Rodrigo Santiago Coelho. 2024. "A Review on Sheet Metal Forming Behavior in High-Strength Steels and the Use of Numerical Simulations" Metals 14, no. 12: 1428. https://doi.org/10.3390/met14121428
APA StyleFolle, L. F., Lima, T. N., Santos, M. P. S., Callegari, B., Silva, B. C. d. S., Zamorano, L. G. S., & Coelho, R. S. (2024). A Review on Sheet Metal Forming Behavior in High-Strength Steels and the Use of Numerical Simulations. Metals, 14(12), 1428. https://doi.org/10.3390/met14121428

