Recurrent Neural Networks and Three-Point Bending Test on the Identification of Material Hardening Parameters
Abstract
1. Introduction
2. Recurrent Neural Networks
Long-Short Term Memory
3. Materials and Methods
3.1. Materials
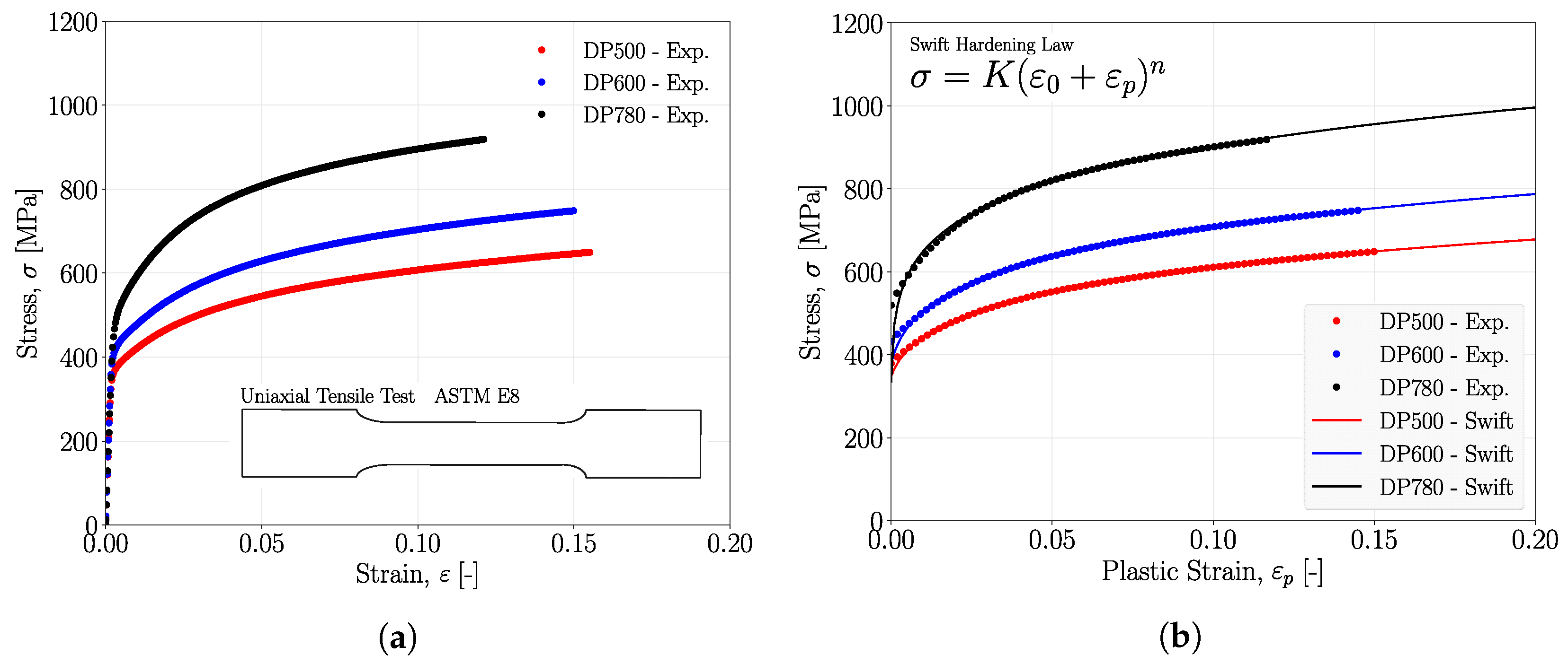
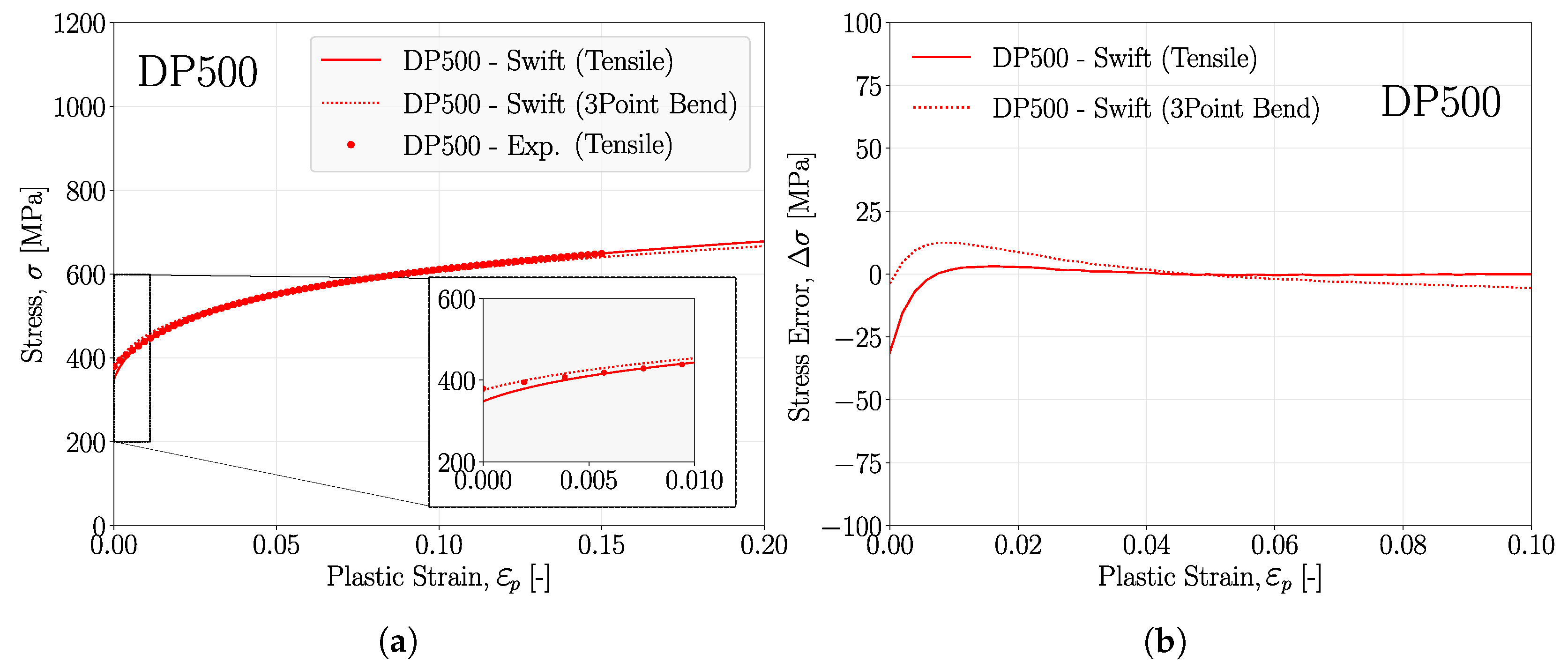
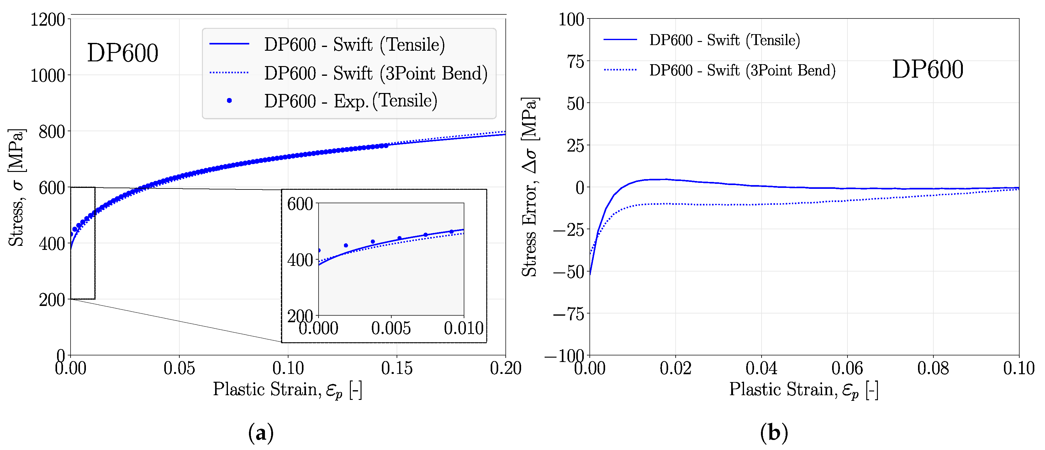
Experimental Characterization—Uniaxial Tensile Test
3.2. Three-Point Bending Test
3.2.1. Experimental Details
3.2.2. Finite Element Model
3.2.3. Analysis of Fundamental Variables
Effect of Swift Hardening Law Parameters
Effect of Young’s Modulus
Effect of Material Thickness
Effect of Friction
3.3. Proposed Methodology
4. Long Short-Term Memory Implementation
4.1. Implementation of ML Model—Elasticity
4.2. Implementation of ML Model—Plasticity
5. Results
5.1. Results for the ML Model—Elasticity
5.2. Results for the ML Model—Plasticity
Results for Materials with Thickness Variations
5.3. Experimental Results
6. Conclusions
Author Contributions
Funding
Data Availability Statement
Acknowledgments
Conflicts of Interest
Abbreviations
| AHSS | advanced high-strength steels |
| ANN | artificial neural network |
| FEA | finite element analysis |
| FEM | finite element modeling |
| FFNN | feed-forward neural network |
| SD | stress differential |
| DP | dual phase |
| DL | deep learning |
| CNN | convolutional neural network |
| LSTM | long short-term memory |
| RNN | recurrent neural network |
| RMSE | root mean square error |
| MSE | mean square error |
| MLP | multi-layer perceptron |
References
- Cao, J.; Banu, M. Opportunities and Challenges in Metal Forming for Lightweighting: Review and Future Work. J. Manuf. Sci. Eng. 2020, 142, 11. [Google Scholar] [CrossRef]
- Wagoner, R.H. Sheet Springback. Contin. Scale Simul. Eng. Mater. Fundam. Microstruct. Process Appl. 2004, 777–794. [Google Scholar] [CrossRef]
- Prates, P.A.; Pereira, A.F.G. Recent Advances and Applications of Machine Learning in Metal Forming Processes. Metals 2022, 12, 1342. [Google Scholar] [CrossRef]
- Pugliese, R.; Regondi, S.; Marini, R. Machine learning-based approach: Global trends, research directions, and regulatory standpoints. Data Sci. Manag. 2021, 4, 19–29. [Google Scholar] [CrossRef]
- Liu, H.; Saksham, D.; Shen, M.; Chen, K.; Wu, V.; Wang, L. Industry 4.0 in Metal Forming Industry Towards Automotive Applications: A Review. Int. J. Automot. Manuf. Mater. 2022, 1, 1. [Google Scholar] [CrossRef]
- Kim, H.; Chae, H.; Kwon, S.; Lee, S. Optimization of Deep Learning Parameters for Magneto-Impedance Sensor in Metal Detection and Classification. Sensors 2023, 23, 9259. [Google Scholar] [CrossRef]
- Dib, M.A.; Oliveira, N.J.; Marques, A.E.; Oliveira, M.C.; Fernandes, J.V.; Ribeiro, B.M.; Prates, P.A. Single and ensemble classifiers for defect prediction in sheet metal forming under variability. Neural Comput. Appl. 2019, 32, 12335–12349. [Google Scholar] [CrossRef]
- Tsai, S.Y.; Chang, J.Y. Parametric study and design of deep learning on leveling system for smart manufacturing. In Proceedings of the 2018 IEEE International Conference on Smart Manufacturing, Industrial & Logistics Engineering (SMILE), Hsinchu, Taiwan, 8–9 February 2018. [Google Scholar] [CrossRef]
- Hamouche, E.; Loukaides, E.G. Classification and selection of sheet forming processes with machine learning. Int. J. Comput. Integr. Manuf. 2018, 31, 921–932. [Google Scholar] [CrossRef]
- Lourenço, R.; Andrade-Campos, A.; Georgieva, P. The Use of Machine-Learning Techniques in Material Constitutive Modelling for Metal Forming Processes. Metals 2022, 12, 427. [Google Scholar] [CrossRef]
- Jin, H.; Zhang, E.; Espinosa, H.D. Recent Advances and Applications of Machine Learning in Experimental Solid Mechanics: A Review. Appl. Mech. Rev. 2023, 75, 6. [Google Scholar] [CrossRef]
- Palmieri, M.E.; Lorusso, V.D.; Tricarico, L. Robust Optimization and Kriging Metamodeling of Deep-Drawing Process to Obtain a Regulation Curve of Blank Holder Force. Metals 2021, 11, 319. [Google Scholar] [CrossRef]
- Shamsuzzoha, A.; Kankaanpaa, T.; Nguyen, H.; Nguyen, H. Application of machine learning algorithm in the sheet metal industry: An exploratory case study. Int. J. Comput. Integr. Manuf. 2021, 35, 145–164. [Google Scholar] [CrossRef]
- Li, W.; Zhang, L.C.; Wu, C.H.; Wang, Y.; Cui, Z.X.; Niu, C. A data-driven approach to RUL prediction of tools. Adv. Manuf. 2023, 11. [Google Scholar] [CrossRef]
- Uijl, N.D.; Carless, L. Advanced metal-forming technologies for automotive applications. In Advanced Materials in Automotive Engineering; Elsevier: Amsterdam, The Netherlands, 2012; pp. 28–56. [Google Scholar] [CrossRef]
- Hovorun, T.P.; Berladir, K.V.; Pererva, V.I.; Rudenko, S.G.; Martynov, A.I. Modern materials for automotive industry. J. Eng. Sci. 2017, 4, f8–f18. [Google Scholar] [CrossRef]
- Ghosh, M.; Ghosh, A.; Roy, A. Renewable and Sustainable Materials in Automotive Industry. In Encyclopedia of Renewable and Sustainable Materials; Elsevier: Amsterdam, The Netherlands, 2020; pp. 162–179. [Google Scholar] [CrossRef]
- Hilditch, T.; de Souza, T.; Hodgson, P. Properties and automotive applications of advanced high-strength steels (AHSS). In Welding and Joining of Advanced High Strength Steels (AHSS); Elsevier: Amsterdam, The Netherlands, 2015; pp. 9–28. [Google Scholar] [CrossRef]
- Mendiguren, J.; Trujillo, J.J.; Cortés, F.; Galdos, L. An extended elastic law to represent non-linear elastic behaviour: Application in computational metal forming. Int. J. Mech. Sci. 2013, 77, 57–64. [Google Scholar] [CrossRef]
- Joo, G.; Huh, H.; Kwon, J. Evaluation of rate-dependent hardening behaviors of AHSS sheets with novel tension and compression test devices. J. Mater. Process. Technol. 2019, 270, 365–379. [Google Scholar] [CrossRef]
- Manopulo, N.; Barlat, F.; Hora, P. Isotropic to distortional hardening transition in metal plasticity. Int. J. Solids Struct. 2015, 56–57, 11–19. [Google Scholar] [CrossRef]
- Chaboche, J. Constitutive equations for cyclic plasticity and cyclic viscoplasticity. Int. J. Plast. 1989, 5, 247–302. [Google Scholar] [CrossRef]
- Alves, J.; Oliveira, M.; Menezes, L.; Cazacu, O. The role of tension-compression asymmetry of the plastic flow on ductility and damage accumulation of porous polycrystals. Ciência Tecnol. Dos Mater. 2017, 29, e234–e238. [Google Scholar] [CrossRef][Green Version]
- Yoshida, F.; Uemori, T. A model of large-strain cyclic plasticity describing the Bauschinger effect and workhardening stagnation. Int. J. Plast. 2002, 18, 661–686. [Google Scholar] [CrossRef]
- Rauch, E.; Gracio, J.; Barlat, F. Work-hardening model for polycrystalline metals under strain reversal at large strains. Acta Mater. 2007, 55, 2939–2948. [Google Scholar] [CrossRef]
- Versino, D.; Tonda, A.; Bronkhorst, C.A. Data driven modeling of plastic deformation. Comput. Methods Appl. Mech. Eng. 2017, 318, 981–1004. [Google Scholar] [CrossRef]
- Aguir, H.; BelHadjSalah, H.; Hambli, R. Parameter identification of an elasto-plastic behaviour using artificial neural networks–genetic algorithm method. Mater. Des. 2011, 32, 48–53. [Google Scholar] [CrossRef]
- Abbassi, F.; Belhadj, T.; Mistou, S.; Zghal, A. Parameter identification of a mechanical ductile damage using Artificial Neural Networks in sheet metal forming. Mater. Des. 2013, 45, 605–615. [Google Scholar] [CrossRef]
- Schulte, R.; Karca, C.; Ostwald, R.; Menzel, A. Machine learning-assisted parameter identification for constitutive models based on concatenated loading path sequences. Eur. J. Mech. A/Solids 2023, 98, 104854. [Google Scholar] [CrossRef]
- Marques, A.; Pereira, A.; Ribeiro, B.; Prates, P.A. On the Identification of Material Constitutive Model Parameters Using Machine Learning Algorithms. Key Eng. Mater. 2022, 926, 2146–2153. [Google Scholar] [CrossRef]
- Ghaboussi, J.; Sidarta, D. New nested adaptive neural networks (NANN) for constitutive modeling. Comput. Geotech. 1998, 22, 29–52. [Google Scholar] [CrossRef]
- Bock, F.E.; Aydin, R.C.; Cyron, C.J.; Huber, N.; Kalidindi, S.R.; Klusemann, B. A Review of the Application of Machine Learning and Data Mining Approaches in Continuum Materials Mechanics. Front. Mater. 2019, 6. [Google Scholar] [CrossRef]
- Jang, D.P.; Fazily, P.; Yoon, J.W. Machine learning-based constitutive model for J2- plasticity. Int. J. Plast. 2021, 138, 102919. [Google Scholar] [CrossRef]
- Zhang, A.; Mohr, D. Using neural networks to represent von Mises plasticity with isotropic hardening. Int. J. Plast. 2020, 132, 102732. [Google Scholar] [CrossRef]
- Ibáñez, R.; Abisset-Chavanne, E.; González, D.; Duval, J.L.; Cueto, E.; Chinesta, F. Hybrid constitutive modeling: Data-driven learning of corrections to plasticity models. Int. J. Mater. Form. 2018, 12, 717–725. [Google Scholar] [CrossRef]
- Huber, N.; Tsakmakis, C. A neural network tool for identifying the material parameters of a finite deformation viscoplasticity model with static recovery. Comput. Methods Appl. Mech. Eng. 2001, 191, 353–384. [Google Scholar] [CrossRef]
- Ktari, Z.; Leitão, C.; Prates, P.A.; Khalfallah, A. Mechanical design of ring tensile specimen via surrogate modelling for inverse material parameter identification. Mech. Mater. 2021, 153, 103673. [Google Scholar] [CrossRef]
- Yao, D.; Duan, Y.-c.; Li, M.-y.; Guan, Y.-p. Hybrid identification method of coupled viscoplastic-damage constitutive parameters based on BP neural network and genetic algorithm. Eng. Fract. Mech. 2021, 257, 108027. [Google Scholar] [CrossRef]
- Morand, L.; Helm, D. A mixture of experts approach to handle ambiguities in parameter identification problems in material modeling. Comput. Mater. Sci. 2019, 167, 85–91. [Google Scholar] [CrossRef]
- Heider, Y.; Wang, K.; Sun, W. SO(3)-invariance of informed-graph-based deep neural network for anisotropic elastoplastic materials. Comput. Methods Appl. Mech. Eng. 2020, 363, 112875. [Google Scholar] [CrossRef]
- Abueidda, D.W.; Koric, S.; Sobh, N.A.; Sehitoglu, H. Deep learning for plasticity and thermo-viscoplasticity. Int. J. Plast. 2021, 136, 102852. [Google Scholar] [CrossRef]
- Ghavamian, F.; Simone, A. Accelerating multiscale finite element simulations of history-dependent materials using a recurrent neural network. Comput. Methods Appl. Mech. Eng. 2019, 357, 112594. [Google Scholar] [CrossRef]
- Gorji, M.B.; Mozaffar, M.; Heidenreich, J.N.; Cao, J.; Mohr, D. On the potential of recurrent neural networks for modeling path dependent plasticity. J. Mech. Phys. Solids 2020, 143, 103972. [Google Scholar] [CrossRef]
- Mozaffar, M.; Bostanabad, R.; Chen, W.; Ehmann, K.; Cao, J.; Bessa, M.A. Deep learning predicts path-dependent plasticity. Proc. Natl. Acad. Sci. USA 2019, 116, 26414–26420. [Google Scholar] [CrossRef]
- Guo, Z.; Bai, R.; Lei, Z.; Jiang, H.; Liu, D.; Zou, J.; Yan, C. CPINet: Parameter identification of path-dependent constitutive model with automatic denoising based on CNN-LSTM. Eur. J. Mech. A/Solids 2021, 90, 104327. [Google Scholar] [CrossRef]
- Cruz, D.J.; Barbosa, M.R.; Santos, A.D.; Miranda, S.S.; Amaral, R.L. Application of Machine Learning to Bending Processes and Material Identification. Metals 2021, 11, 1418. [Google Scholar] [CrossRef]
- Schmidt, R.M. Recurrent Neural Networks (RNNs): A gentle Introduction and Overview. arXiv 2019, arXiv:1912.05911. [Google Scholar]
- Sherstinsky, A. Fundamentals of Recurrent Neural Network (RNN) and Long Short-Term Memory (LSTM) network. Phys. D Nonlinear Phenom. 2020, 404, 132306. [Google Scholar] [CrossRef]
- Hochreiter, S.; Schmidhuber, J. Long Short-Term Memory. Neural Comput. 1997, 9, 1735–1780. [Google Scholar] [CrossRef] [PubMed]
- Sutskever, I.; Vinyals, O.; Le, Q.V. Sequence to sequence learning with neural networks. Adv. Neural Inf. Process. Syst. 2014, 27, 3104–3112. [Google Scholar]
- Graves, A.; Mohamed, A.r.; Hinton, G. Speech recognition with deep recurrent neural networks. In Proceedings of the 2013 IEEE International Conference on Acoustics, Speech and Signal Processing, Vancouver, BC, Canada, 26–31 May 2013; pp. 6645–6649. [Google Scholar]
- Amodei, D.; Ananthanarayanan, S.; Anubhai, R.; Bai, J.; Battenberg, E.; Case, C.; Casper, J.; Catanzaro, B.; Cheng, Q.; Chen, G.; et al. Deep speech 2: End-to-end speech recognition in English and Mandarin. arXiv 2016, arXiv:1512.02595. [Google Scholar]
- Chan, W.; Jaitly, N.; Le, Q.; Vinyals, O. Listen, attend and spell. In Proceedings of the 2016 IEEE International Conference on Acoustics, Speech and Signal Processing (ICASSP), Shanghai, China, 20–25 March 2016; pp. 2620–2624. [Google Scholar]
- Zhang, A.; Lipton, Z.C.; Li, M.; Smola, A.J. Dive into Deep Learning; Cambridge University Press: Cambridge, UK, 2021. [Google Scholar] [CrossRef]
- DiPietro, R.; Hager, G.D. Deep learning: RNNs and LSTM. In Handbook of Medical Image Computing and Computer Assisted Intervention; Elsevier: Amsterdam, The Netherlands, 2020; pp. 503–519. [Google Scholar] [CrossRef]
- ASTM E8; E8M-16ae1—Standard Test Methods for Tension Testing of Metallic Materials. American Society for Testing and Materials: West Conshohocken, PA, USA, 2016.
- Lagarias, J.C.; Reeds, J.A.; Wright, M.H.; Wright, P.E. Convergence Properties of the Nelder–Mead Simplex Method in Low Dimensions. SIAM J. Optim. 1998, 9, 112–147. [Google Scholar] [CrossRef]
- ASTM E290; Standard Test Methods for Bend Testing of Material for Ductility. ASTM International: West Conshohocken, PA, USA, 2014.
- Sofuoğlu, M.A.; Gürgen, S.; Çakır, F.H.; Orak, S. Springback Behavior of AA6082T6 Tubes in Three-point Bending Operation. Procedia Eng. 2017, 182, 658–664. [Google Scholar] [CrossRef]
- Raabe, D.; Roters, F.; Barlat, F.; Chen, L.Q. Continuum Scale Simulation of Engineering Materials: Fundamentals, Microstructures, Process Applications; Wiley-VCH: Weinheim, Germany, 2004. [Google Scholar]
- Wagner, L.; Larour, P.; Dolzer, D.; Leomann, F.; Suppan, C. Experimental issues in the instrumented 3 point bending VDA238-100 test. IOP Conf. Ser. Mater. Sci. Eng. 2020, 967, 012079. [Google Scholar] [CrossRef]
- Naseem, S.; Perdahcıoğlu, E.S.; Geijselaers, H.J.M.; van den Boogaard, A. A New in-Plane Bending Test to Determine Flow Curves for Materials with Low Uniform Elongation. Exp. Mech. 2020, 60, 1225–1238. [Google Scholar] [CrossRef]
- Mujika, F. Three-Point Bending Test Procedure: Rectangular Cross Section. 2020. Available online: https://www.researchgate.net/publication/344267126_THREE-POINT_BENDING_TEST_PROCEDURE_RECTANGULAR_CROSS_SECTION?channel=doi&linkId=5f61f63d4585154dbbd57fe4&showFulltext=true (accessed on 1 December 2023).
- Kim, Y.J.; Lee, C.H.; Kim, J.H.; Lim, J.H. Numerical modeling of shape memory alloy plates considering tension/compression asymmetry and its verification under pure bending. Int. J. Solids Struct 2018, 136–137, 77–88. [Google Scholar] [CrossRef]
- Badr, O.M.; Rolfe, B.; Zhang, P.; Weiss, M. Applying a new constitutive model to analyse the springback behaviour of titanium in bending and roll forming. Int. J. Mech. Sci. 2017, 128–129, 389–400. [Google Scholar] [CrossRef]
- Capilla, G.; Hamasaki, H.; Yoshida, F. Determination of uniaxial large-strain workhardening of high-strength steel sheets from in-plane stretch-bending testing. J. Mater. Process. Technol 2017, 243, 152–169. [Google Scholar] [CrossRef]
- Nádai, Á.; Wahl, A.M.; Bingham, E.C. iPlasticity, A Mechanics of the Plastic State of Matter/i. J. Rheol. 1931, 2, 455–456. [Google Scholar] [CrossRef]
- Mujika, F. On the effect of shear and local deformation in three-point bending tests. Polym. Test. 2007, 26, 869–877. [Google Scholar] [CrossRef]
- Dassault Systèmes. Abaqus Analysis User’s Manual; Version 2021; Dassault Systèmes: Providence, RI, USA, 2021. [Google Scholar]
- Ferreira, B. Integração de Metodologias de Análise do Processo de Quinagem. Master’s Thesis, Faculdade de Engenharia da Universidade do Porto, Porto, Portugal, 2015. [Google Scholar]
- Deng, N.; Korkolis, Y.P. Elastic anisotropy of dual-phase steels with varying martensite content. Int. J. Solids Struct. 2018, 141–142, 264–278. [Google Scholar] [CrossRef]
- de Souza, T.; Rolfe, B. Multivariate modelling of variability in sheet metal forming. J. Mater. Process. Technol. 2008, 203, 1–12. [Google Scholar] [CrossRef]
- Marciniak, Z.; Duncan, J.; Hu, S. (Eds.) 6—Bending of sheet. In Mechanics of Sheet Metal Forming, 2nd ed.; Butterworth-Heinemann: Oxford, UK, 2002; pp. 82–107. [Google Scholar] [CrossRef]
- Mentink, R.; Lutters, D.; Streppel, A.; Kals, H. Determining material properties of sheet metal on a press brake. J. Mater. Process. Technol. 2003, 141, 143–154. [Google Scholar] [CrossRef]
- Zhai, X.; Zhang, F.; Zhao, H.; Li, C.; Xu, Z.; Hao, X.; Zhu, Z.; Xu, X. Research on the Effects of Friction Coefficient on Three-Point Bending by Finite Element Analysis. J. Comput. Theor. Nanosci. 2015, 12, 5139–5143. [Google Scholar] [CrossRef]
- Chollet, F. Keras. 2015. Available online: https://keras.io (accessed on 1 December 2023).
- Snoek, J.; Larochelle, H.; Adams, R.P. Practical Bayesian Optimization of Machine Learning Algorithms. In Advances in Neural Information Processing Systems; Curran Associates Inc.: Red Hook, NY, USA, 2012; pp. 2951–2959. [Google Scholar]
























| [mm] | [mm] | |
|---|---|---|
| DP500 | 0.802 | 0.004 |
| DP600 | 0.817 | 0.007 |
| DP780 | 0.801 | 0.007 |
| Element (%) | C | Si | Mn | P | S | Cr | Ni | V | Cu | Al | Nb | B | N |
|---|---|---|---|---|---|---|---|---|---|---|---|---|---|
| DP500 | 0.079 | 0.31 | 0.65 | 0.003 | 0.003 | 0.03 | 0.03 | 0.01 | 0.01 | 0.038 | 0.0 | 0.0003 | 0.003 |
| DP600 | 0.089 | 0.20 | 0.85 | 0.014 | 0.004 | 0.03 | 0.03 | 0.01 | 0.01 | 0.046 | 0.019 | 0.0003 | 0.004 |
| DP780 | 0.138 | 0.20 | 1.52 | 0.011 | 0.002 | 0.03 | 0.03 | 0.02 | 0.01 | 0.038 | 0.014 | 0.0002 | 0.003 |
| K | n | ||
|---|---|---|---|
| DP500 | 865.32 | 0.0026 | 0.1530 |
| DP600 | 1011.01 | 0.0019 | 0.1563 |
| DP780 | 1253.72 | 0.0001 | 0.1431 |
| Three-Point Bending Test Geometry | Test Conditions | |||
|---|---|---|---|---|
| Punch Radius | Support Radius | Support Span | Max. Displacement | Test Speed |
| V | v | |||
| 4 mm | mm | 50 mm | 20 mm | 200 mm/min |
| Sample Geometry | ||||
| Lenght | Thickness | Width | ||
| L | t | W | ||
| 150 mm | mm | 45 mm | ||
| Properties | ML Model—Elasticity | ML Model—Plasticity | |
|---|---|---|---|
| Elastic Modulus | E | 50–240 GPa | 210 GPa |
| Poisson Coefficient | 0.3 | 0.3 | |
| K | 400–1600 | 400–1600 | |
| Swift Parameter | 0.0001–0.01 | 0.0001–0.01 | |
| n | 0.05–0.35 | 0.05–0.35 | |
| Training Parameters | |
|---|---|
| Parameter | Value/Range |
| Number of Units | [10, 80] |
| Optimizer | Adams |
| Learning Rate | 0.1 |
| Decay Steps | [500, 5000] |
| Batch Size | 64 |
| Decay Rate | 0.96 |
| Epochs | 50,000 |
| Hyperparameter Tuner | Bayesian Optimization |
| Swift Parameters | Young’s Modulus (E) | |||||
|---|---|---|---|---|---|---|
| Material | True Values (GPa) | Prediction (GPa) | Relative Error | |||
| VM1 | 1020 | 0.007 | 0.23 | 75.00 | 75.91 | 1.21% |
| VM2 | 10111 | 0.0019 | 0.16 | 215.00 | 215.07 | 0.03% |
| VM3 | 1150 | 0.0032 | 0.32 | 225.00 | 221.68 | 1.48% |
| Swift Parameters | Young’s Modulus | |||
|---|---|---|---|---|
| Material | (GPa) | |||
| VM4 | 600 | 0.0001 | 0.05 | 210 |
| VM5 | 600 | 0.01 | 0.35 | |
| Young’s Modulus | Swift Parameters | |||||||
|---|---|---|---|---|---|---|---|---|
| (GPa) | ||||||||
| Material | Analytical | Ml Elasticity | Tensile | 3Point Bend | Tensile | 3Point Bend | Tensile | 3Point Bend |
| DP500 | 192 | 191 | 865.32 | 835.56 | 0.0026 | 0.0035 | 0.1530 | 0.1421 |
| DP600 | 208 | 209 | 1011.01 | 1063.21 | 0.0019 | 0.0039 | 0.1563 | 0.1805 |
| DP780 | 196 | 194 | 1253.72 | 1281.27 | 0.0001 | 0.0010 | 0.1431 | 0.1559 |
Disclaimer/Publisher’s Note: The statements, opinions and data contained in all publications are solely those of the individual author(s) and contributor(s) and not of MDPI and/or the editor(s). MDPI and/or the editor(s) disclaim responsibility for any injury to people or property resulting from any ideas, methods, instructions or products referred to in the content. |
© 2024 by the authors. Licensee MDPI, Basel, Switzerland. This article is an open access article distributed under the terms and conditions of the Creative Commons Attribution (CC BY) license (https://creativecommons.org/licenses/by/4.0/).
Share and Cite
Cruz, D.J.; Barbosa, M.R.; Santos, A.D.; Amaral, R.L.; de Sa, J.C.; Fernandes, J.V. Recurrent Neural Networks and Three-Point Bending Test on the Identification of Material Hardening Parameters. Metals 2024, 14, 84. https://doi.org/10.3390/met14010084
Cruz DJ, Barbosa MR, Santos AD, Amaral RL, de Sa JC, Fernandes JV. Recurrent Neural Networks and Three-Point Bending Test on the Identification of Material Hardening Parameters. Metals. 2024; 14(1):84. https://doi.org/10.3390/met14010084
Chicago/Turabian StyleCruz, Daniel J., Manuel R. Barbosa, Abel D. Santos, Rui L. Amaral, Jose Cesar de Sa, and Jose V. Fernandes. 2024. "Recurrent Neural Networks and Three-Point Bending Test on the Identification of Material Hardening Parameters" Metals 14, no. 1: 84. https://doi.org/10.3390/met14010084
APA StyleCruz, D. J., Barbosa, M. R., Santos, A. D., Amaral, R. L., de Sa, J. C., & Fernandes, J. V. (2024). Recurrent Neural Networks and Three-Point Bending Test on the Identification of Material Hardening Parameters. Metals, 14(1), 84. https://doi.org/10.3390/met14010084

