Comparative Study of Preparation and Electrochemical Properties of Nb4C3Tx (T = –OH, –F, or =O) and (Nb0.8Ti0.05V0.05Zr0.05Ta0.05)4C3Tx (T = –OH, –F, or =O) MXenes
Abstract
:1. Introduction
2. Experimental Procedures
2.1. Synthesis of LE–MAX Phase
2.2. Preparation of LE–MXene
2.3. Material Characterization and Electrochemical Performance
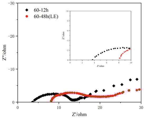
3. Results and Discussion
4. Conclusions
- (1)
- As the electrode material of a lithium–ion battery, the resulting Nb4C3Tx MXene provided the reversible capacity of 163.7 mAh·g−1 after 50 cycles at 0.1 A·g−1, maintaining the coulombic efficiency close to 100%. The measured specific capacities of the lithium batteries containing Nb4C3Tx MXene were 164.7, 116.1, and 72.2 mAh·g−1 at the current densities of 0.1, 0.2, and 0.5 A·g−1, respectively. When the current density was decreased to 0.1 A·g−1, the specific capacity increased to 169.5 mAh·g−1 again.
- (2)
- The lithium battery containing LE–MXene (Nb0.8Ti0.05V0.05Zr0.05Ta0.05)4C3Tx exhibited the reversible capacity of 130 mAh·g−1 at 0.1 A·g−1 after 50 cycles. Also, the coulombic efficiency retained the high value close to 100%. The tested specific capacities of the lithium batteries containing (Nb0.8Ti0.05V0.05Zr0.05Ta0.05)4C3Tx MXene were 123.1, 68.7, and 35.2 mAh·g−1 at the current densities of 0.1, 0.2, and 0.5 A·g−1, respectively. When the current density was restored to 0.1 A·g−1, the specific capacity recovered to 112.6 mAh·g−1.
- (3)
- It is concluded that the specific capacity of a lithium battery containing Nb4C3Tx MXene was higher than that of a lithium battery containing LE–MXene (Nb0.8Ti0.05V0.05Zr0.05Ta0.05)4C3Tx MXene, which was ascribed to the existence of lattice distortion and defects in the LE–MXene which hindered the diffusion of lithium ions and reduced the reversible insertion and extraction of lithium ions.
- (4)
- The present work proved the promising applications of Nb4C3Tx and (Nb0.8Ti0.05V0.05Zr0.05Ta0.05)4C3Tx MXenes in lithium batteries.
Author Contributions
Funding
Data Availability Statement
Conflicts of Interest
References
- Naguib, M.; Kurtoglu, M.; Presser, V.; Lu, J.; Niu, J.; Heon, M.; Hultman, L.; Gogotsi, Y.; Barsoum, M.W. Two-dimensional nanocrystals produced by exfoliation of Ti3AlC2. Adv. Mater. 2011, 23, 4248–4253. [Google Scholar] [CrossRef]
- Ghidiu, M.; Lukatskaya, M.R.; Zhao, M.-Q.; Gogotsi, Y.; Barsoum, M.W. Conductive two-dimensional titanium carbide ‘clay’ with high volumetric capacitance. Nature 2014, 516, 78–81. [Google Scholar] [CrossRef]
- Naguib, M.; Mashtalir, O.; Carle, J.; Presser, V.; Lu, J.; Hultman, L.; Gogotsi, Y.; Barsoum, M.W. Two-dimensional transition metal carbides. Acs Nano 2012, 6, 1322–1331. [Google Scholar] [CrossRef]
- Zhang, X.; Zhang, Z.; Zhou, Z. MXene-based materials for electrochemical energy storage. J. Energy Chem. 2018, 27, 73–85. [Google Scholar] [CrossRef]
- Naguib, M.; Come, J.; Dyatkin, B.; Presser, V.; Taberna, P.-L.; Simon, P.; Barsoum, M.W.; Gogotsi, Y. MXene: A promising transition metal carbide anode for lithium-ion batteries. Electrochem. Commun. 2012, 16, 61–64. [Google Scholar] [CrossRef]
- Kim, S.J.; Naguib, M.; Zhao, M.; Zhang, C.; Jung, H.-T.; Barsoum, M.W.; Gogotsi, Y. High mass loading, binder-free MXene anodes for high areal capacity Li-ion batteries. Electrochim. Acta 2015, 163, 246–251. [Google Scholar] [CrossRef]
- Lukatskaya, M.R.; Mashtalir, O.; Ren, C.E.; Dall’Agnese, Y.; Rozier, P.; Taberna, P.L.; Naguib, M.; Simon, P.; Barsoum, M.W.; Gogotsi, Y. Cation intercalation and high volumetric capacitance of two-dimensional titanium carbide. Science 2013, 341, 1502–1505. [Google Scholar] [CrossRef]
- Li, X.; Fan, G.; Zeng, C. Synthesis of ruthenium nanoparticles deposited on graphene-like transition metal carbide as an effective catalyst for the hydrolysis of sodium borohydride. Int. J. Hydrogen Energy 2014, 39, 14927–14934. [Google Scholar] [CrossRef]
- Gao, Y.; Wang, L.; Li, Z.; Zhou, A.; Hu, Q.; Cao, X. Preparation of MXene-Cu2O nanocomposite and effect on thermal decomposition of ammonium perchlorate. Solid State Sci. 2014, 35, 62–65. [Google Scholar] [CrossRef]
- Peng, Q.; Guo, J.; Zhang, Q.; Xiang, J.; Liu, B.; Zhou, A.; Liu, R.; Tian, Y. Unique lead adsorption behavior of activated hydroxyl group in two-dimensional titanium carbide. J. Am. Chem. Soc. 2014, 136, 4113–4116. [Google Scholar] [CrossRef]
- Hu, Q.; Sun, D.; Wu, Q.; Wang, H.; Wang, L.; Liu, B.; Zhou, A.; He, J. MXene: A new family of promising hydrogen storage medium. J. Phys. Chem. A 2013, 117, 14253–14260. [Google Scholar] [CrossRef]
- Lin, H.; Wang, Y.; Gao, S.; Chen, Y.; Shi, J. Theranostic 2D tantalum carbide (MXene). Adv. Mater. 2018, 30, 1703284. [Google Scholar] [CrossRef]
- Yeh, J.W.; Chen, S.K.; Lin, S.J.; Gan, J.Y.; Chin, T.S.; Shun, T.T.; Tsau, C.H.; Chang, S.Y. Nanostructured high-entropy alloys with multiple principal elements: Novel alloy design concepts and outcomes. Adv. Eng. Mater. 2004, 6, 299–303. [Google Scholar] [CrossRef]
- Cantor, B.; Chang, I.T.H.; Knight, P.; Vincent, A.J.B. Microstructural development in equiatomic multicomponent alloys. Mater. Sci. Eng. A-Struct. Mater. Prop. Microstruct. Process. 2004, 375, 213–218. [Google Scholar] [CrossRef]
- Yeh, J.-W. Recent progress in high-entropy alloys. Ann. Chim. Sci. Mater. 2006, 31, 633–648. [Google Scholar] [CrossRef]
- Rost, C.M.; Sachet, E.; Borman, T.; Moballegh, A.; Dickey, E.C.; Hou, D.; Jones, J.L.; Curtarolo, S.; Maria, J.-P. Entropy-stabilized oxides. Nat. Commun. 2015, 6, 8485. [Google Scholar] [CrossRef]
- Du, Z.; Wu, C.; Chen, Y.; Cao, Z.; Hu, R.; Zhang, Y.; Gu, J.; Cui, Y.; Chen, H.; Shi, Y.; et al. High-entropy atomic layers of transition-metal carbides (MXenes). Adv. Mater. 2021, 33, 2101473. [Google Scholar] [CrossRef]
- Etman, A.S.; Zhou, J.; Rosen, J. Ti1.1V0.7CrxNb1.0Ta0.6C3Tz high-entropy MXene freestanding films for charge storage applications. Electrochem. Commun. 2022, 137, 107264. [Google Scholar] [CrossRef]
- Du, Z.; Wu, C.; Chen, Y.; Zhu, Q.; Cui, Y.; Wang, H.; Zhang, Y.; Chen, X.; Shang, J.; Li, B.; et al. High-entropy carbonitride MAX phases and their derivative MXenes. Adv. Energy Mater. 2022, 12, 2103228. [Google Scholar] [CrossRef]
- Ma, W.; Wang, M.; Yi, Q.; Huang, D.; Dang, J.; Lv, Z.; Lv, X.; Zhang, S. A new Ti2V0.9Cr0.1C2Tx MXene with ultrahigh gravimetric capacitance. Nano Energy 2022, 96, 107129. [Google Scholar] [CrossRef]
- Zhou, J.; Tao, Q.; Ahmed, B.; Palisaitis, J.; Persson, I.; Halim, J.; Barsoum, M.W.; Persson, P.O.A.; Rosen, J. High-entropy laminate metal carbide (MAX phase) and its two-dimensional derivative MXene. Chem. Mater. 2022, 34, 2098–2106. [Google Scholar] [CrossRef]
- Yang, J.; Naguib, M.; Ghidiu, M.; Pan, L.-M.; Gu, J.; Nanda, J.; Halim, J.; Gogotsi, Y.; Barsoum, M.W. Two-dimensional Nb-based M4C3 solid solutions (MXenes). J. Am. Ceram. Soc. 2016, 99, 660–666. [Google Scholar] [CrossRef]
- Cai, P.; He, Q.; Wang, L.; Liu, X.; Yin, J.; Liu, Y.; Huang, Y.; Huang, Z. Two-dimensional Nb-based M4C3Tx MXenes and their sodium storage performances. Ceram. Int. 2019, 45, 5761–5767. [Google Scholar] [CrossRef]
- Naguib, M.; Mochalin, V.N.; Barsoum, M.W.; Gogotsi, Y. 25th anniversary article: MXenes: A new family of two-dimensional materials. Adv. Mater. 2014, 26, 992–1005. [Google Scholar] [CrossRef]
- Mashtalir, O.; Naguib, M.; Dyatkin, B.; Gogotsi, Y.; Barsoum, M.W. Kinetics of aluminum extraction from Ti3AlC2 in hydrofluoric acid. Mater. Chem. Phys. 2013, 139, 147–152. [Google Scholar] [CrossRef]
- Naguib, M.; Halim, J.; Lu, J.; Cook, K.M.; Hultman, L.; Gogotsi, Y.; Barsoum, M.W. New two-dimensional niobium and vanadium carbides as promising materials for Li-ion batteries. J. Am. Chem. Soc. 2013, 135, 15966–15969. [Google Scholar] [CrossRef]
- Zhao, S.; Meng, X.; Zhu, K.; Du, F.; Chen, G.; Wei, Y.; Gogotsi, Y.; Gao, Y. Li-ion uptake and increase in interlayer spacing of Nb4C3 MXene. Energy Storage Mater. 2017, 8, 42–48. [Google Scholar] [CrossRef]
- Ghidiu, M.; Naguib, M.; Shi, C.; Mashtalir, O.; Pan, L.M.; Zhang, B.; Yang, J.; Gogotsi, Y.; Billinge, S.J.L.; Barsoum, M.W. Synthesis and characterization of two-dimensional Nb4C3 (MXene). Chem. Commun. 2014, 50, 9517–9520. [Google Scholar] [CrossRef]
- Lei, J.-C.; Zhang, X.; Zhou, Z. Recent advances in MXene: Preparation, properties, and applications. Front. Phys. 2015, 10, 276–286. [Google Scholar] [CrossRef]
- Zhan, R.; Zhang, Y.; Chen, H.; Xu, Q.; Ma, Q.; Gao, W.; Yang, T.; Jiang, J.; Bao, S.; Xu, M. High-rate and long-life sodium-ion batteries based on sponge-like three-dimensional porous Na-rich ferric pyrophosphate cathode material. Acs Appl. Mater. Interfaces 2019, 11, 5107–5113. [Google Scholar] [CrossRef]
- Hui, X.; Zhao, R.; Zhang, P.; Li, C.; Wang, C.; Yin, L. Low-temperature reduction strategy synthesized Si/Ti3C2 MXene composite anodes for high-performance Li-ion batteries. Adv. Energy Mater. 2019, 9, 1901065. [Google Scholar] [CrossRef]
- Tao, M.; Du, G.; Zhang, Y.; Gao, W.; Liu, D.; Luo, Y.; Jiang, J.; Bao, S.; Xu, M. TiOxNy nanoparticles/C composites derived from MXene as anode material for potassium-ion batteries. Chem. Eng. J. 2019, 369, 828–833. [Google Scholar] [CrossRef]
- Zou, G.; Zhang, Z.; Guo, J.; Liu, B.; Zhang, Q.; Fernandez, C.; Peng, Q. Synthesis of MXene/Ag composites for extraordinary long cycle lifetime lithium storage at high rates. ACS Appl. Mater. Interfaces 2016, 8, 22280–22286. [Google Scholar] [CrossRef] [PubMed]
- Okubo, M.; Sugahara, A.; Kajiyama, S.; Yamada, A. MXene as a charge storage host. Acc. Chem. Res. 2018, 51, 591–599. [Google Scholar] [CrossRef] [PubMed]
- Ko, J.S.; Sassin, M.B.; Rolison, D.R.; Long, J.W. Deconvolving double-layer, pseudocapacitance, and battery-like charge-storage mechanisms in nanoscale LiMn2O4 at 3D carbon architectures. Electrochim. Acta 2018, 275, 225–235. [Google Scholar] [CrossRef]
- Jiang, Y.; Liu, J. Definitions of pseudocapacitive materials: A brief review. Energy Environ. Mater. 2019, 2, 30–37. [Google Scholar] [CrossRef]
- Xie, Y.; Naguib, M.; Mochalin, V.N.; Barsoum, M.W.; Gogotsi, Y.; Yu, X.; Nam, K.-W.; Yang, X.-Q.; Kolesnikov, A.I.; Kent, P.R.C. Role of surface structure on Li-ion energy storage capacity of two-dimensional transition-metal carbides. J. Am. Chem. Soc. 2014, 136, 6385–6394. [Google Scholar] [CrossRef]
- Xia, Z.; Chen, X.; Ci, H.; Fan, Z.; Yi, Y.; Yin, W.; Wei, N.; Cai, J.; Zhang, Y.; Sun, J. Designing N-doped graphene/ReSe2/Ti3C2 MXene heterostructure frameworks as promising anodes for high-rate potassium-ion batteries. J. Energy Chem. 2021, 53, 155–162. [Google Scholar] [CrossRef]
- Xiong, Y.; Shepherd, S.; Tibbs, J.; Bacon, A.; Liu, W.; Akin, L.D.; Ayupova, T.; Bhaskar, S.; Cunningham, B.T. Photonic crystal enhanced fluorescence: A review on design strategies and applications. Micromachines 2023, 14, 668. [Google Scholar] [CrossRef]
- Bhaskar, S.; Kambhampati, N.S.V.; Ganesh, K.M.; Sharma, M.P.; Srinivasan, V.; Ramamurthy, S.S. Metal-free, graphene, oxide-based tunable soliton and plasmon engineering for biosensing applications. ACS Appl. Mater. Interfaces 2021, 13, 17046–17061. [Google Scholar] [CrossRef]
- Yang, W.; Cai, X.; Guo, S.; Wen, L.; Sun, Z.; Shang, R.; Shi, X.; Wang, J.; Chen, H.; Li, Z. A high performance triboelectric nanogenerator based on MXene/Graphene oxide electrode for glucose detection. Materials 2023, 16, 841. [Google Scholar] [CrossRef] [PubMed]







| Sample | Nb:Ti:V:Zr:Ta (Atomic Ratio) | Al: M–Site Elements (Atomic Ratio) |
|---|---|---|
| (Nb0.8Ti0.05V0.05Zr0.05Ta0.05)4AlC3 | 80:4.02:4.88:5.03:4.72 | 0.844:4.00 |
| 60–48 h–LE | 80:5.81:6.52:2.58:7.64 | 0.034:4.00 |
| Nb4AlC3 | - | 1.061:4.00 |
| 60–12 h | - | 0.095:4.00 |
Disclaimer/Publisher’s Note: The statements, opinions and data contained in all publications are solely those of the individual author(s) and contributor(s) and not of MDPI and/or the editor(s). MDPI and/or the editor(s) disclaim responsibility for any injury to people or property resulting from any ideas, methods, instructions or products referred to in the content. |
© 2023 by the authors. Licensee MDPI, Basel, Switzerland. This article is an open access article distributed under the terms and conditions of the Creative Commons Attribution (CC BY) license (https://creativecommons.org/licenses/by/4.0/).
Share and Cite
Fu, M.; Chen, H.; Cheng, J.; Chu, L.; Feng, Q.; Hu, C. Comparative Study of Preparation and Electrochemical Properties of Nb4C3Tx (T = –OH, –F, or =O) and (Nb0.8Ti0.05V0.05Zr0.05Ta0.05)4C3Tx (T = –OH, –F, or =O) MXenes. Metals 2023, 13, 1548. https://doi.org/10.3390/met13091548
Fu M, Chen H, Cheng J, Chu L, Feng Q, Hu C. Comparative Study of Preparation and Electrochemical Properties of Nb4C3Tx (T = –OH, –F, or =O) and (Nb0.8Ti0.05V0.05Zr0.05Ta0.05)4C3Tx (T = –OH, –F, or =O) MXenes. Metals. 2023; 13(9):1548. https://doi.org/10.3390/met13091548
Chicago/Turabian StyleFu, Ming, Hongyu Chen, Juan Cheng, Longsheng Chu, Qingguo Feng, and Chunfeng Hu. 2023. "Comparative Study of Preparation and Electrochemical Properties of Nb4C3Tx (T = –OH, –F, or =O) and (Nb0.8Ti0.05V0.05Zr0.05Ta0.05)4C3Tx (T = –OH, –F, or =O) MXenes" Metals 13, no. 9: 1548. https://doi.org/10.3390/met13091548
APA StyleFu, M., Chen, H., Cheng, J., Chu, L., Feng, Q., & Hu, C. (2023). Comparative Study of Preparation and Electrochemical Properties of Nb4C3Tx (T = –OH, –F, or =O) and (Nb0.8Ti0.05V0.05Zr0.05Ta0.05)4C3Tx (T = –OH, –F, or =O) MXenes. Metals, 13(9), 1548. https://doi.org/10.3390/met13091548

