Low-Cycle Fatigue Behavior and Fracture Characteristics of Low-Cost Ti-2Fe-0.1B Alloy
Abstract
1. Introduction
2. Materials and Methods
3. Results and Discussion
3.1. Microstructure
3.2. Quasi-Static Tensile Curves
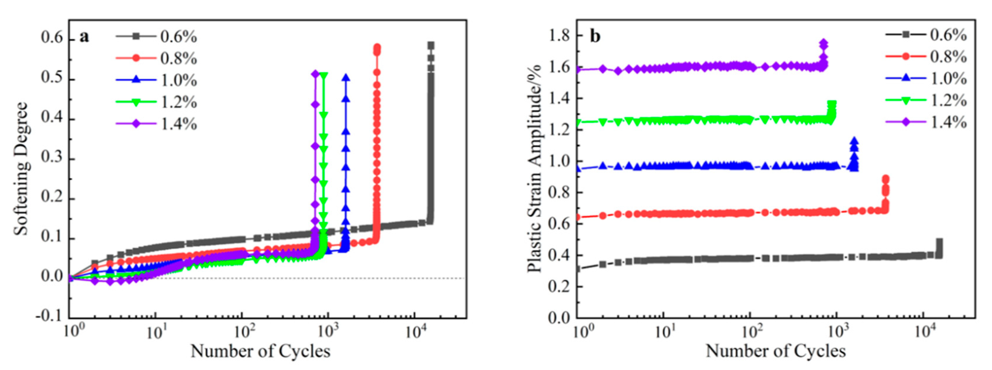
3.3. Cyclic Stress Response Behavior
3.4. Fatigue Life Analysis
3.5. Fracture Characteristics
4. Conclusions
- (1)
- At low strain amplitude Δεt/2 ≤ 1.2%, the overall LCF behavior of the Ti-2Fe-0.1B alloy shows continuous cyclic softening, while at Δεt/2 = 1.4%, slight cyclic hardening occurs in the initial stage of this alloy, then shows cyclic softening, the cyclic response depends on the evolution of dislocation structure with the number of cycles;
- (2)
- Different from low strain amplitude (Δεt/2 = 0.6%), the fatigue fracture of the Ti-2Fe-0.1B alloy at high strain amplitude (Δεt/2 = 1.4%) has more crack nucleation points and moves from the edge of the specimen to the interior, producing more and deeper secondary cracks. From the TEM results, it is due to the greater degree of plastic deformation of the alloy at high strain amplitude, which leads to faster dislocation proliferation and promotes dislocation slippage;
- (3)
- Compared to the pure titanium and several traditional titanium alloys, the fatigue life of the Ti-2Fe-0.1B alloy is improved dramatically, and it can be attributed to the fine grain size result from the effect of Fe element and trace B, which could hinder the dislocation movement and crack propagation.
Author Contributions
Funding
Data Availability Statement
Acknowledgments
Conflicts of Interest
References
- Ye, Q.; He, G. In-Situ formed graded microporous structure in titanium alloys and its effect on the mechanical properties. Mater. Des. 2015, 83, 295–300. [Google Scholar] [CrossRef]
- Cotton, J.D.; Briggs, R.D.; Boyer, R.R.; Tamirisakandala, S.; Russo, P.; Shchetnikov, N.; Fanning, J.C. State of the art in beta titanium alloys for airframe applications. JOM 2015, 67, 1281–1303. [Google Scholar] [CrossRef]
- Ding, C.; Li, X.; Zhu, H.-Y.; Chen, F.-W.; Li, F.; Chang, H. Microstructure evolution and phase transformation kinetics of low cost Ti-35421 titanium alloy during continuous heating. J. Mater. Res. Technol. 2021, 14, 620–630. [Google Scholar] [CrossRef]
- Sasaki, L.; Hénaff, G.; Arzaghi, M.; Villechaise, P.; Delfosse, J. Effect of long term aging on the fatigue crack propagation in the β titanium alloy Ti 17. Mater. Sci. Eng. A 2017, 707, 253–258. [Google Scholar] [CrossRef]
- Bodunrin, M.O.; Chown, L.H.; Omotoyinbo, J.A. Development of low-cost titanium alloys: A chronicle of challenges and opportunities. Mater. Today Proc. 2021, 38, 564–569. [Google Scholar] [CrossRef]
- Niu, J.; Dai, G.; Guo, Y.; Sun, Z.; Dan, Z.; Dong, Y.; Chang, H.; Alexandrov, I.V.; Zhou, L. Microstructure and mechanical properties of B modified Ti–Fe alloy manufactured by casting, forging and laser melting deposition. Compos. Part B Eng. 2021, 216, 108854. [Google Scholar] [CrossRef]
- Esteban, P.; Bolzoni, L.; Ruiz-Navas, E.; Gordo, E. PM processing and characterisation of Ti–7Fe low cost titanium alloys. Powder Metall. 2011, 54, 242–252. [Google Scholar] [CrossRef]
- Kilmametov, A.; Ivanisenko, Y.; Mazilkin, A.; Straumal, B.; Gornakova, A.; Fabrichnaya, O.; Kriegel, M.; Rafaja, D.; Hahn, H. The α→ ω and β→ ω phase transformations in Ti–Fe alloys under high-pressure torsion. Acta Mater. 2018, 144, 337–351. [Google Scholar] [CrossRef]
- Chen, Y.; Sun, S.; Zhang, T.; Zhou, X.; Li, S. Effects of post-weld heat treatment on the microstructure and mechanical properties of laser-welded NiTi/304SS joint with Ni filler. Mater. Sci. Eng. A 2020, 771, 138545. [Google Scholar] [CrossRef]
- Chen, Y.; Mao, Y.; Lu, W.; He, P. Investigation of welding crack in micro laser welded NiTiNb shape memory alloy and Ti6Al4V alloy dissimilar metals joints. Opt. Laser Technol. 2017, 91, 197–202. [Google Scholar]
- Lee, S.-M.; Perng, T.-P. Effects of boron and carbon on the hydrogenation properties of TiFe and Ti1.1Fe. Int. J. Hydrog. Energy 2000, 25, 831–836. [Google Scholar] [CrossRef]
- Zhang, Y.; Chang, H.; Li, G.; Dong, Y.; Cui, Y.; Zhou, L. Effect of Fe Content on Microstructure Evolution and Mechanical Properties of as-cast Ti-xFe-B Alloy. Rare Met. Mater. Eng. 2017, 46, 180–184. [Google Scholar]
- Wang, Y.; Li, X.; Alexandrov, I.; Ma, L.; Dong, Y.; Valiev, R.; Chang, H.; Zhang, B.; Wang, Y.; Zhou, L. Impact of equal channel angular pressing on mechanical behavior and corrosion resistance of hot-rolled Ti-2Fe-0.1 B alloy. Materials 2020, 13, 5117. [Google Scholar] [CrossRef]
- Zhang, B.; Wang, Y.; Chang, H.; Alexandrov, I.; Sun, Z.; Dong, Y.; Valiev, R.; Wang, Y.; Zhou, L. Effect of hydrogen on microstructure evolution and deformation behaviors of Ti-2Fe-0.1 B alloy. J. Alloy. Compd. 2022, 900, 163473. [Google Scholar] [CrossRef]
- Dai, G.; Niu, J.; Guo, Y.; Sun, Z.; Dan, Z.; Chang, H.; Zhou, L. Microstructure evolution and grain refinement behavior during hot deformation of Fe micro-alloyed Ti-6Al-4V. J. Mater. Res. Technol. 2021, 15, 1881–1895. [Google Scholar] [CrossRef]
- Mi, Y.; Wang, Y.; Wang, Y.; Dong, Y.; Chang, H.; Alexandrov, I. Effect of Heat Treatment on Microstructure and Mechanical Behavior of Ultrafine-Grained Ti-2Fe-0.1 B. Materials 2023, 16, 2955. [Google Scholar] [CrossRef]
- Li, X.-K.; Zhu, S.-P.; Liao, D.; Correia, J.A.; Berto, F.; Wang, Q. Probabilistic fatigue modelling of metallic materials under notch and size effect using the weakest link theory. Int. J. Fatigue 2022, 159, 106788. [Google Scholar] [CrossRef]
- Zhang, Q.; Liu, X.; Luo, L.; Yang, X.; Yang, C.; Qiang, M. Low-cycle fatigue behavior of commercially pure titanium at room temperature. J. Plast. Eng. 2019, 26, 219–224. [Google Scholar]
- Gao, P.; Lei, Z.; Li, Y.; Zhan, M. Low-cycle fatigue behavior and property of TA15 titanium alloy with tri-modal microstructure. Mater. Sci. Eng. A 2018, 736, 1–11. [Google Scholar] [CrossRef]
- Wang, Q.; Ren, J.; Xin, C.; Jiang, P.; Zhang, L.; Liu, Q.; Wu, J. Low cycle fatigue behavior of near-alpha titanium alloys used in deep-driving submersible: Ti-6Al-3 Nb-2Zr-1Mo vs. Ti-6Al-4 V ELI. J. Alloy. Compd. 2023, 934, 167856. [Google Scholar] [CrossRef]
- Xu, H.; Ye, D.; Mei, L. A study of the back stress and the friction stress behaviors of Ti-6Al-4V alloy during low cycle fatigue at room temperature. Mater. Sci. Eng. A 2017, 700, 530–539. [Google Scholar] [CrossRef]
- Sun, Y.; Alexandrov, I.; Dong, Y.; Valiev, R.; Chang, H.; Zhou, L. Optimized low-cycle fatigue behavior and fracture characteristics of Ti–6Al–4V alloy by Fe microalloying. J. Mater. Res. Technol. 2021, 15, 5277–5287. [Google Scholar] [CrossRef]
- Singh, G.; Ramamurty, U. Reprint: Boron modified titanium alloys. Prog. Mater. Sci. 2021, 120, 100815. [Google Scholar] [CrossRef]
- Terlinde, G.; Rathjen, H.-J.; Schwalbe, K.-H. Microstructure and fracture toughness of the aged, β-Ti Alloy Ti-10V-2Fe-M. Metall. Trans. A 1988, 19, 1037–1049. [Google Scholar] [CrossRef]
- Zhang, H.; Sun, Y.; Dong, Y.; Chang, H.; Zhou, L.; Alexandrov, I.; Fang, Z.; Yi, C. Study on low cycle fatigue behavior of Ti-3Al-5Mo-4Cr-2Zr-1Fe alloy with high strength and toughness. Rare Met. Mater. Eng. 2021, 50, 588–594. [Google Scholar]
- Zhang, Z.; Gu, H.; Tan, X. Low-cycle fatigue behaviors of commercial-purity titanium. Mater. Sci. Eng. A 1998, 252, 85–92. [Google Scholar] [CrossRef]
- Chang, L.; Zhou, B.-B.; Ma, T.-H.; Li, J.; He, X.-H.; Zhou, C.-Y. Comparisons of low cycle fatigue behavior of CP-Ti under stress and strain-controlled modes in transverse direction. Mater. Sci. Eng. A 2019, 746, 27–40. [Google Scholar] [CrossRef]
- Xu, J.; Huo, M.; Xia, R. Effect of cyclic plastic strain and flow stress on low cycle fatigue life of 316L (N) stainless steel. Mech. Mater. 2017, 114, 134–141. [Google Scholar] [CrossRef]
- Ankem, S.; Margolin, H.; Greene, C.A.; Neuberger, B.W.; Oberson, P.G. Mechanical properties of alloys consisting of two ductile phases. Prog. Mater. Sci. 2006, 51, 632–709. [Google Scholar] [CrossRef]
- Beranger, A.; Feaugas, X.; Clavel, M. Low cycle fatigue behavior of an α+ β titanium alloy: Ti6246. Mater. Sci. Eng. A 1993, 172, 31–41. [Google Scholar] [CrossRef]
- Sterling, A.; Shamsaei, N.; Torries, B.; Thompson, S.M. Fatigue behaviour of additively manufactured Ti-6Al-4 V. Procedia Eng. 2015, 133, 576–589. [Google Scholar] [CrossRef]
- Cavaliere, P. Fatigue properties and crack behavior of ultra-fine and nanocrystalline pure metals. Int. J. Fatigue 2009, 31, 1476–1489. [Google Scholar] [CrossRef]
- Sen, I.; Tamirisakandala, S.; Miracle, D.; Ramamurty, U. Microstructural effects on the mechanical behavior of B-modified Ti–6Al–4V alloys. Acta Mater. 2007, 55, 4983–4993. [Google Scholar] [CrossRef]
- Zhang, Q.; Sun, W.; Xu, S.; Zhang, X.; Wang, J.; Si, C. Nano-TiB whiskers reinforced Ti–6Al–4 V matrix composite fabricated by direct laser deposition: Microstructure and mechanical properties. J. Alloy. Compd. 2022, 922, 166171. [Google Scholar] [CrossRef]
- Helbert, A.; Feaugas, X.; Clavel, M. Effects of microstructural parameters and back stress on damage mechanisms in α/β titanium alloys. Acta Mater. 1998, 46, 939–951. [Google Scholar] [CrossRef]
- Laird, C. The influence of metallurgical structure on the mechanisms of fatigue crack propagation. ASTM STP 1967, 415, 131–168. [Google Scholar]
- Fournier, B.; Sauzay, M.; Caës, C.; Mottot, M.; Noblecourt, M.; Pineau, A. Analysis of the hysteresis loops of a martensitic steel: Part II: Study of the influence of creep and stress relaxation holding times on cyclic behaviour. Mater. Sci. Eng. A 2006, 437, 197–211. [Google Scholar] [CrossRef]
- Huang, J.; Wang, Z.; Xue, K. Cyclic deformation response and micromechanisms of Ti alloy Ti–5Al–5V–5Mo–3Cr–0.5 Fe. Mater. Sci. Eng. A 2011, 528, 8723–8732. [Google Scholar] [CrossRef]










| Elements | Fe | B | C | N | O | H | Ti |
|---|---|---|---|---|---|---|---|
| wt.% | 1.89 | 0.08 | 0.014 | 0.004 | 0.062 | 0.0012 | Balance |
Disclaimer/Publisher’s Note: The statements, opinions and data contained in all publications are solely those of the individual author(s) and contributor(s) and not of MDPI and/or the editor(s). MDPI and/or the editor(s) disclaim responsibility for any injury to people or property resulting from any ideas, methods, instructions or products referred to in the content. |
© 2023 by the authors. Licensee MDPI, Basel, Switzerland. This article is an open access article distributed under the terms and conditions of the Creative Commons Attribution (CC BY) license (https://creativecommons.org/licenses/by/4.0/).
Share and Cite
Wang, C.; Sun, Y.; Mi, Y.; Dong, Y.; Chang, H.; Alexandrov, I.V. Low-Cycle Fatigue Behavior and Fracture Characteristics of Low-Cost Ti-2Fe-0.1B Alloy. Metals 2023, 13, 1208. https://doi.org/10.3390/met13071208
Wang C, Sun Y, Mi Y, Dong Y, Chang H, Alexandrov IV. Low-Cycle Fatigue Behavior and Fracture Characteristics of Low-Cost Ti-2Fe-0.1B Alloy. Metals. 2023; 13(7):1208. https://doi.org/10.3390/met13071208
Chicago/Turabian StyleWang, Chu, Yangyang Sun, Yaoyao Mi, Yuecheng Dong, Hui Chang, and I. V. Alexandrov. 2023. "Low-Cycle Fatigue Behavior and Fracture Characteristics of Low-Cost Ti-2Fe-0.1B Alloy" Metals 13, no. 7: 1208. https://doi.org/10.3390/met13071208
APA StyleWang, C., Sun, Y., Mi, Y., Dong, Y., Chang, H., & Alexandrov, I. V. (2023). Low-Cycle Fatigue Behavior and Fracture Characteristics of Low-Cost Ti-2Fe-0.1B Alloy. Metals, 13(7), 1208. https://doi.org/10.3390/met13071208

