Magnetostriction of Heusler Ferromagnetic Alloy, Ni2MnGa0.88Cu0.12, around Martensitic Transition Temperature
Abstract
1. Introduction
2. Materials and Methods
2.1. Materials
2.2. Methods for Experimental Measurements
3. Results and Discussions
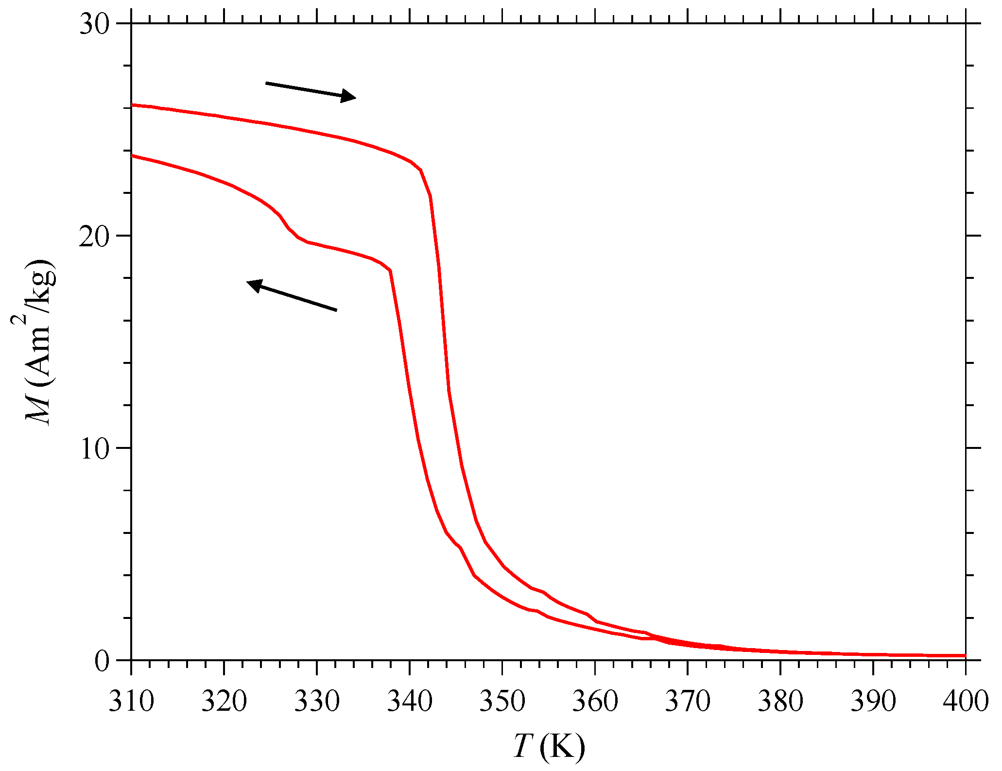
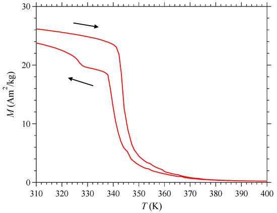
3.1. Temperature and Magnetic Field Dependency of the Magnetization
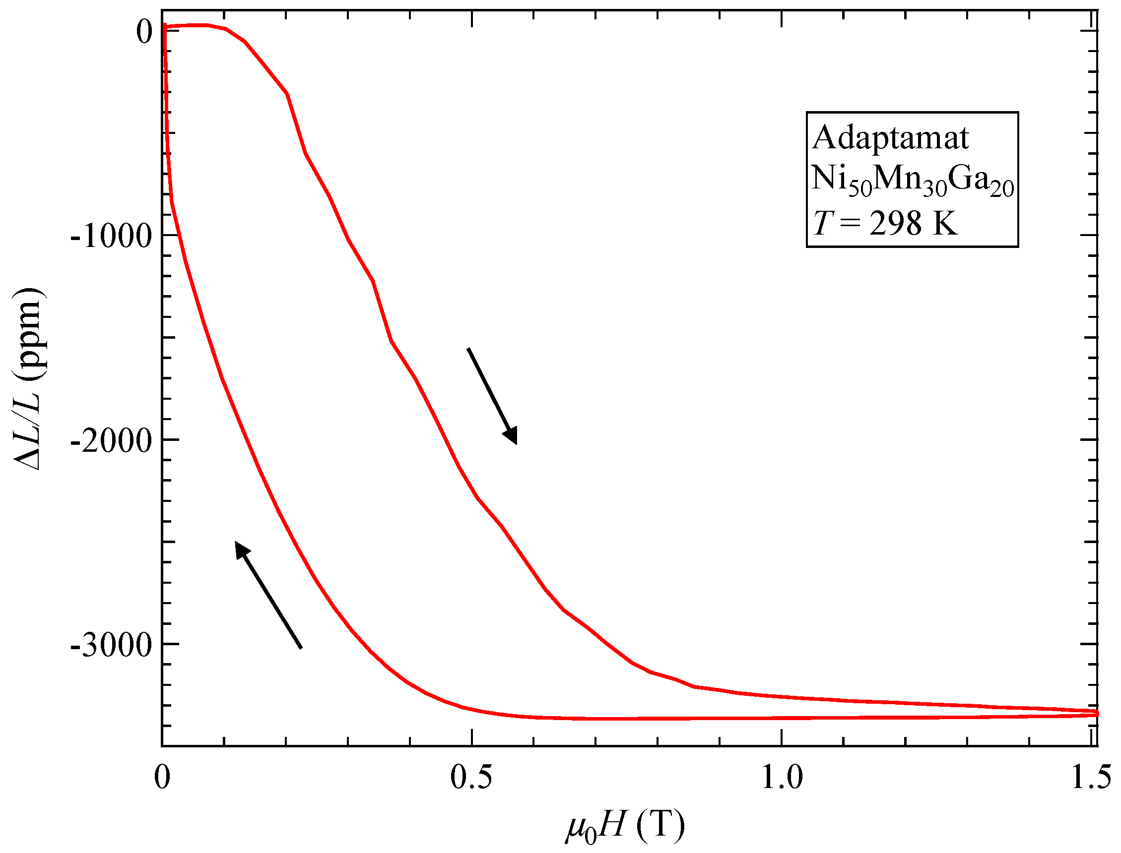
3.2. Forced Magnetostriction
3.3. Comparation with Other Ferromagnetic Magneto-Structural Alloys
4. Conclusions
Author Contributions
Funding
Data Availability Statement
Acknowledgments
Conflicts of Interest
References
- Ullakko, K.; Huang, J.K.; Kantner, C.; O’Handley, R.C.; Kokorin, V.V. Large magnetic-field-induced strains in Ni2MnGa single crystals. Appl. Phys. Lett. 1996, 69, 1966–1968. [Google Scholar] [CrossRef]
- Ullakko, K.; Huang, J.K.; Kokorin, V.V.; O’Handley, R.C. Magnetically controlled shape memory effect in Ni2MnGa intermetallics. Scr. Mater. 1997, 36, 1133–1138. [Google Scholar] [CrossRef]
- Sozinov, A.; Likhachev, A.A.; Lanska, N.; Ullakko, K. Giant magnetic-field-induced strain in NiMnGa seven-layered martensitic phase. Appl. Phys. Lett. 2002, 80, 1746–1748. [Google Scholar] [CrossRef]
- Tellinen, J.; Suorsa, I.; Jääskeläinen, A.; Aaltio, I.; Ullakko, K. Basic properties of magnetic shape memory actuators. In Proceedings of the 8th International Conference ACTUATOR, Bremen, Germany, 10–12 June 2002; pp. 566–569. [Google Scholar]
- Ge, Y.; Söderberg, O.; Lanska, N.; Sozinov, A.; Ullakko, K.; Lindroos, V.K. Crystal structure of three Ni-Mn-Ga alloys in powder and bulk materials. J. Phys. IV 2003, 112, 921–924. [Google Scholar] [CrossRef]
- Chernenko, V.A.; L’vov, V.A. Magnetoelastic nature of ferromagnetic shape memory effect. Mater. Sci. Forum 2008, 583, 1–20. [Google Scholar] [CrossRef]
- Kainuma, R.; Imano, Y.; Ito, W.; Sutou, Y.; Morito, H.; Okamoto, S.; Kitakami, O.; Oikawa, K.; Fujita, A.; Kanomata, T.; et al. Magnetic-field-induced shape recovery by reverse phase transformation. Nature 2006, 439, 957–960. [Google Scholar] [CrossRef]
- Sakon, T.; Sasaki, K.; Numakura, D.; Abe, M.; Nojiri, H.; Adachi, Y.; Kanomata, T. Magnetic field-induced transition in co-doped Ni41Co9Mn31.5Ga18.5 heusler alloy. Mater. Trans. 2013, 54, 9–13. [Google Scholar] [CrossRef]
- Karaca, H.E.; Karaman, I.; Basaran, B.; Ren, Y.; Chumlyakov, Y.I.; Maier, H.J. Magnetic field-induced phase transformation in NiMnCoIn magnetic shape-memory alloys—A new actuation mechanism with large work output. Adv. Funct. Mater. 2009, 19, 983–998. [Google Scholar] [CrossRef]
- Kainuma, R.; Oikawa, K.; Ito, W.; Sutou, Y.; Kanomata, T.; Ishida, K. Metamagnetic shape memory effect in NiMn-based Heusler-type alloys. J. Mater. Chem. 2008, 18, 1837. [Google Scholar] [CrossRef]
- O’Handley, R.C.; Murray, S.J.; Marioni, M.; Nembach, H.; Allen, S.M. Phenomenology of giant magnetic-field-induced strain in ferromagnetic shape memory materials. J. Appl. Phys. 2000, 87, 4712–4717. [Google Scholar] [CrossRef]
- Wu, P.; Liang, Y. Enhanced reversible magnetic-field-induced strain in Ni-Mn-Ga Alloy. Metals 2021, 11, 2017. [Google Scholar] [CrossRef]
- Kumar, A.S.; Seshubai, V. 0.7% magnetic field induced strain in polycrystalline Ni50Mn29Ga21 ferromagnetic shape memory alloy. Int. J. Innov. Res. Sci. Eng. Technol. 2013, 2, 4226–4232. [Google Scholar]
- Mennerich, C.; Wendler, F.; Jainta, M.; Nestler, B. Rearrangement of martensitic variants in Ni2MnGa studied with the phase-field method. Eur. Phys. J. B 2013, 86, 171. [Google Scholar] [CrossRef]
- Okamoto, N.; Fukuda, T.; Kakeshita, T.; Takeuchi, T.; Kishino, K. Rearrangement of variants in Ni2MnGa under magnetic field. Sci. Technol. Adv. Mater. 2004, 5, 29–34. [Google Scholar] [CrossRef]
- Sakon, T.; Fujimoto, N.; Kanomata, T.; Adachi, Y. Magnetostriction of Ni2Mn1−xCrxGa heusler alloys. Metals 2017, 7, 410. [Google Scholar] [CrossRef]
- Sakon, T.; Yamasaki, Y.; Kodama, H.; Kanomata, T.; Nojiri, H.; Adachi, Y. The characteristic properties of magnetostriction and magneto-volume effects of Ni2MnGa-type ferromagnetic heusler alloys. Materials 2019, 12, 3655. [Google Scholar] [CrossRef] [PubMed]
- Sakon, T.; Adach, Y.; Kanomata, T. Magneto-structural properties of Ni2MnGa ferromagnetic shape memory alloy in magnetic fields. Metals 2013, 3, 202–224. [Google Scholar] [CrossRef]
- Mendonça, A.A.; Jurado, J.F.; Stuard, S.J.; Silva, L.E.L.; Eslava, G.G.; Cohen, L.F.; Ghivelder, L.; Gomes, A.M. Giant magnetic-field-induced strain in Ni2MnGa-based polycrystal. J. Alloys Compd. 2018, 738, 509–514. [Google Scholar] [CrossRef]
- Mendonça, A.A.; Ghivelder, L.; Bernardo, P.L.; Cohen, L.F.; Gomes, A.M. Low hysteretic magnetostructural transformation in Cr-doped Ni-Mn-Ga Heusler alloy. J. Alloys Compd. 2023, 938, 168444. [Google Scholar] [CrossRef]
- Sofronie, M.; Tolea, F.; Tolea, M.; Popescu, B.; Valeanu, M. Magnetic and magnetostrictive properties of the ternary Fe67.5Pd30.5Ga2 ferromagnetic shape memory ribbons. J. Phys. Chem. Sol. 2020, 142, 109446. [Google Scholar] [CrossRef]
- Mahfouzi, M.; Carman, G.P.; Kioussis, N. Magnetoelastic and magnetostrictive properties of Co2XAl Heusler compounds. Phys. Rev. B 2020, 102, 094401. [Google Scholar] [CrossRef]
- Sofronie, M.; Tolea, M.; Popescu, B.; Enculescu, M.; Tolea, F. Magnetic and Magnetostrictive Properties of Ni50Mn20Ga27Cu3 Rapidly Quenched Ribbons. Materials 2021, 14, 5126. [Google Scholar] [CrossRef]
- Liu, K.; Ma, S.; Zhang, Y.; Zeng, H.; Yu, G.; Luo, X.; Chena, C.; Rehman, S.U.; Hu, Y.; Zhong, Z. Magnetic-field-driven reverse martensitic transformation with multiple magneto-responsive effects by manipulating magnetic ordering in Fe-doped Co-V-Ga Heusler alloys. J. Mater. Sci. Technol. 2020, 58, 145–154. [Google Scholar] [CrossRef]
- Kaštil, J.; Kamarád, J.; Míšek, J.; Isnard, O.; Amara, M.; Arnold, Z. Magnetostriction and extraordinary exchange spring and exchange bias effects in Ni48Mn39Sn13 Heusler alloy. Intermetallics 2021, 132, 109137. [Google Scholar] [CrossRef]
- Huang, Y.; Qian, J.; Dong, D.; Shi, Y.; Du, Y.; Tang, S. Magnetostriction in <0kl>-oriented composites with CoMnSi microspheres. J. Magn. Magn. Mater. 2022, 543, 168621. [Google Scholar]
- Liua, J.; Gonga, Y.; Zhang, F.; Youa, Y.; Xu, G.; Miao, X.; Xu, F. Large, low-field and reversible magnetostrictive effect in MnCoSi-based metamagnet at room temperature. J. Mater. Sci. Technol. 2021, 76, 104–110. [Google Scholar] [CrossRef]
- Minorowicz, B.; Milecki, A. Design and Control of Magnetic Shape Memory Alloy Actuators. Materials 2022, 15, 4400. [Google Scholar] [CrossRef]
- Kurita, H.; Keino, T.; Senzaki, T.; Narita, F. Direct and inverse magnetostrictive properties of Fe–Co–V alloy particle-dispersed polyurethane matrix soft composite sheets. Sens. Actuators A Phys. 2022, 337, 113427. [Google Scholar] [CrossRef]
- Sadeghzadeh, A.; Asua, E.; Feuchtwanger, J.; Etxebarria, V.; García-Arribas, A. Ferromagnetic shape memory alloy actuator enabled for nanometric position control using hysteresis compensation. Sens. Actuators A Phys. 2012, 182, 122–129. [Google Scholar] [CrossRef]
- Kihara, T.; Roy, T.; Xu, X.; Miyake, A.; Tsujikawa, M.; Mitamura, H.; Tokunaga, M.; Adachi, Y.; Eto, T.; Kanomata, T. Observation of inverse magnetocaloric effect in magnetic-field-induced austenite phase of Heusler alloys Ni50−xCoxMn31.5Ga18.5 (x = 9 and 9.7). Phys. Rev. Mater. 2021, 5, 034416. [Google Scholar] [CrossRef]
- Hennel, M.; Galdun, L.; Džubinská, A.; Reiffers, M.; Varga, R. High efficiency direct magnetocaloric effect in Heusler Ni2MnGa microwire at low magnetic fields. J. Alloys Compd. 2023, 960, 170621. [Google Scholar] [CrossRef]
- Brock, J.; Khan, M. Large refrigeration capacities near room temperature in Ni2Mn1−xCrxIn. J. Magn. Magn. Mater. 2017, 425, 1–5. [Google Scholar] [CrossRef]
- Zheng, T.; Liu, K.; Chen, H.; Wang, C. Large magnetocaloric and magnetoresistance effects during martensitic transformation in Heusler-type Ni44Co6Mn37In13 alloy. J. Magn. Magn. Mater. 2022, 563, 170034. [Google Scholar] [CrossRef]
- Salazar-Mejía, C.; Devi, P.; Singh, S.; Felser, C.; Wosnitza, J. Influence of Cr substitution on the reversibility of the magnetocaloric effect in Ni-Cr-Mn-In Heusler alloys. Phys. Rev. Mater. 2021, 5, 104406. [Google Scholar] [CrossRef]
- Kitanovski, A. Energy applications of magnetocaloric materials. Adv. Energy Mater. 2020, 10, 1903741. [Google Scholar] [CrossRef]
- Sakon, T.; Nagashio, H.; Sasaki, K.; Susuga, S.; Numakura, D.; Abe, M.; Endo, K.; Nojiri, H.; Kanomata, T. Thermal expansion and magnetization studies of the novel ferromagnetic shape memory alloy N 2MnGa0.88Cu0.12 in a magnetic field. Phys. Scr. 2011, 84, 045603. [Google Scholar] [CrossRef]
- Khovailo, V.V.; Takagi, T.; Tani, J.; Levitin, R.Z.; Cherechukin, A.A.; Matsumoto, M.; Note, R. Magnetic properties of Ni2.18Mn0.82Ga heusler alloys with a coupled magnetostructural transition. Phys. Rev. B 2002, 65, 092410. [Google Scholar] [CrossRef]
- Filippov, D.A.; Khovailo, V.V.; Koledov, V.V.; Krasnoperov, E.P.; Levitin, R.Z.; Shavrov, V.G.; Takagi, T. The magnetic field influence on magnetostructural phase transition in Ni2.19Mn0.81Ga. J. Magn. Magn. Mater. 2003, 258, 507–509. [Google Scholar] [CrossRef]
- Khovailo, V.V.; Novosad, V.; Takagi, T.; Filippov, D.A.; Levitin, R.Z.; Vasil’ev, A.N. Magnetic properties and magnetostructural phase transitions in shape memory alloys. Phys. Rev. B 2004, 70, 174413. [Google Scholar] [CrossRef]
- Gonzàlez-Comas, A.; Obradó, E.; Mañosa, L.; Planes, A.; Chernenko, V.A.; Hattink, B.J.; Labarta, A. Premartensitic and martensitic phase transitions in ferromagnetic Ni2MnGa. Phys. Rev. B 1999, 60, 7085–7090. [Google Scholar] [CrossRef]
- Endo, K.; Kanomata, T.; Kimura, A.; Kataoka, M.; Nishihara, H.; Umetsu, R.Y.; Obara, K.; Shishido, T.; Nagasako, M.; Kainuma, R.; et al. Magnetic phase diagram of the ferromagnetic shape memory alloys Ni2MnGa1−xCux. Mater. Sci. Forum 2011, 684, 165–176. [Google Scholar] [CrossRef]
- Kanomata, T.; Endo, K.; Kudo, N.; Umetsu, R.Y.; Nishihara, H.; Kataoka, M.; Nagasako, M.; Kainuma, R.; Ziebeck, K.R.A. Magnetic moment of Cu-modified Ni2MnGa magnetic shape memory alloys. Metals 2013, 3, 114–122. [Google Scholar] [CrossRef]
- Kittel, C. Introduction of Solid State Physics, 8th ed.; John Wiley & Sons Inc.: Hoboken, NJ, USA, 2004; p. 75. [Google Scholar]
- Singh, S.; Bednarcik, J.; Barman, S.R.; Felser, C.; Pandey, D. Premartensite to martensite transition and its implications for the origin of modulation in Ni2MnGa ferromagnetic shape memory alloy. Phys. Rev. B 2015, 92, 054112. [Google Scholar] [CrossRef]
- Nizhankovskii, V.I. Classical magnetostriction of nickel in high magnetic field. Eur. Phys. J. B 2006, 53, 1–4. [Google Scholar] [CrossRef]
- Wang, Z.; Liu, J.; Jiang, C.; Xu, H. The stress dependence of magnetostriction hysteresis in TbDyFe [110] oriented crystal. J. Appl. Phys. 2011, 109, 123923. [Google Scholar] [CrossRef]
- Sakon, T.; Matsumoto, T.; Komori, T. Rotation angle sensing system using magnetostrictive alloy Terfenol-D and permanent magnet. Sens. Actuators A 2021, 321, 112588. [Google Scholar] [CrossRef]






| Alloy | Crystal Structure (Martensite Phase) | Volume Change (ppm) (Paramagnetic Austenite Ferromagnetic Martensite) | Linear Magnetostriction (Paramagnetic Austenite Ferromagnetic Martensite) |
|---|---|---|---|
| Ni2MnGa | 14M 1 | −330 1 | −780 2 |
| Ni2MnGa0.88Cu0.12 3 | D022 + 14M | −2000 | −1300 (this study) |
| Ni41Co9Mn31.5Ga18.5 4 | tetragonal | 5700 | 1900 |
| Ni45Co5Mn36.7In13.3 5 | 14M | --- | 30,000 (single crystal) |
| Ni2Mn0.7Cu0.3Ga0.84 Al0.16 6 | L10 | −55,000 | −26,000 |
| Ni2.15Mn0.70Cr0.15Ga 7 | L10 | −30,000 | −8100 |
| Ni50Mn30Ga20 8 | 5M | −260 | −3300 (single crystal) (this study) |
Disclaimer/Publisher’s Note: The statements, opinions and data contained in all publications are solely those of the individual author(s) and contributor(s) and not of MDPI and/or the editor(s). MDPI and/or the editor(s) disclaim responsibility for any injury to people or property resulting from any ideas, methods, instructions or products referred to in the content. |
© 2023 by the authors. Licensee MDPI, Basel, Switzerland. This article is an open access article distributed under the terms and conditions of the Creative Commons Attribution (CC BY) license (https://creativecommons.org/licenses/by/4.0/).
Share and Cite
Sakon, T.; Morikawa, K.; Narumi, Y.; Hagiwara, M.; Kanomata, T.; Nojiri, H.; Adachi, Y. Magnetostriction of Heusler Ferromagnetic Alloy, Ni2MnGa0.88Cu0.12, around Martensitic Transition Temperature. Metals 2023, 13, 1185. https://doi.org/10.3390/met13071185
Sakon T, Morikawa K, Narumi Y, Hagiwara M, Kanomata T, Nojiri H, Adachi Y. Magnetostriction of Heusler Ferromagnetic Alloy, Ni2MnGa0.88Cu0.12, around Martensitic Transition Temperature. Metals. 2023; 13(7):1185. https://doi.org/10.3390/met13071185
Chicago/Turabian StyleSakon, Takuo, Koki Morikawa, Yasuo Narumi, Masayuki Hagiwara, Takeshi Kanomata, Hiroyuki Nojiri, and Yoshiya Adachi. 2023. "Magnetostriction of Heusler Ferromagnetic Alloy, Ni2MnGa0.88Cu0.12, around Martensitic Transition Temperature" Metals 13, no. 7: 1185. https://doi.org/10.3390/met13071185
APA StyleSakon, T., Morikawa, K., Narumi, Y., Hagiwara, M., Kanomata, T., Nojiri, H., & Adachi, Y. (2023). Magnetostriction of Heusler Ferromagnetic Alloy, Ni2MnGa0.88Cu0.12, around Martensitic Transition Temperature. Metals, 13(7), 1185. https://doi.org/10.3390/met13071185

