Effect of Tropical Marine Atmospheric Environment on Corrosion Behaviour of the 7B04-T74 Aluminium Alloy
Abstract
1. Introduction
2. Experimental Methods and Procedures
2.1. Experimental Material
2.2. Alternate Immersion Test
2.3. Corrosion Kinetic Analysis
2.4. Surface Morphology Observation
2.5. Corrosion Product Composition Identification
2.6. Potentiodynamic Polarization Curves Analysis
3. Results and Discussion
3.1. Corrosion Kinetic Analysis
3.2. Surface Morphology Analysis
3.2.1. Macroscopic Morphology Analysis
3.2.2. Microscopic Morphology Analysis
3.3. Corrosion Product Composition Identification
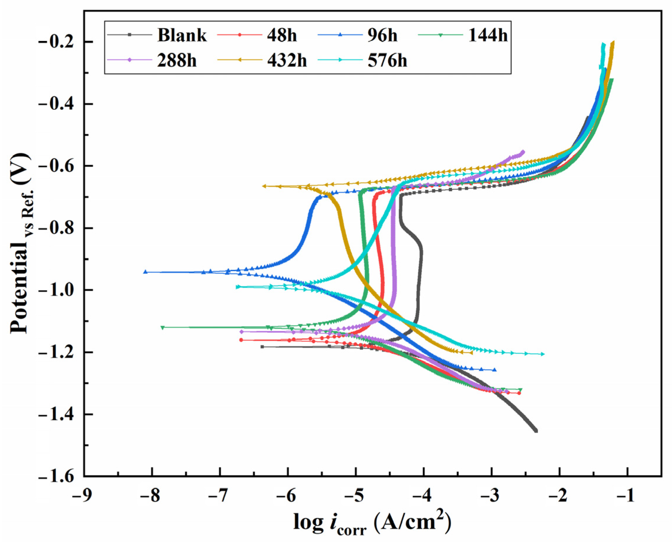
3.4. Potentiodynamic Polarization Curves Analysis
3.5. Corrosion Behavior Analysis
4. Conclusions
- The corrosion kinetics of the 7B04-T74 aluminium alloy followed the power functions D = Atn = 2.92t0.141, which attests that this aluminium alloy has high corrosion resistance in the tropical marine atmospheric environment;
- Due to the abundance of Cl- in the marine atmospheric environment, the surface of the 7B04-T74 aluminium alloy undergoes rapid pitting corrosion. However, no significant intergranular or exfoliation corrosion was found while the corrosion time increased, which proves that the T74 thermal treatment process could be a successful means of improving the intergranular corrosion resistance of the 7B04-T74 aluminium alloy;
- The corrosion products of the 7B04-T74 aluminium alloy gradually accumulate around the pitting, forming a cluster. The corrosion products were Al2O3, Al(OH)3, and AlCl3. The detection of Cl- in the form of metallic chlorine, AlCl3, proves that chlorine ions in the marine atmosphere are involved in the corrosion reaction of the 7B04-T74 aluminium alloy. Al(OH)3 is the main component of surface corrosion products;
- The similar shape of the potentiodynamic polarization curves at different corrosion times proves that the corrosion mechanism of the 7B04-T74 aluminium alloy does not change. The pitting potential is clearly observed in the curves, which proves that the oceanic atmospheric corrosion of the 7B04-T74 aluminium alloy remains in the pitting stage. The forward motion of the corrosion potential, the decrease in the corrosion current, and the change of the charge transfer resistance all demonstrate that the tropical marine atmospheric corrosion of the 7B04-T74 aluminium alloy presents a deceleration process, and the corrosion resistance is also proved from the side.
Author Contributions
Funding
Institutional Review Board Statement
Informed Consent Statement
Data Availability Statement
Conflicts of Interest
References
- Claudet, J.; Bopp, L.; Cheung, W.W.; Devillers, R.; Escobar-Briones, E.; Haugan, P.; Heymans, J.J.; Masson-Delmotte, V.; Matz-Lück, N.; Miloslavich, P.; et al. A Roadmap for Using the UN Decade of Ocean Science for Sustainable Development in Support of Science, Policy, and Action. One Earth 2020, 2, 34–42. [Google Scholar] [CrossRef]
- Zhou, B.; Liu, B.; Zhang, S. The Advancement of 7XXX Series Aluminium Alloys for Aircraft Structures: A Review. Metals 2021, 11, 718. [Google Scholar] [CrossRef]
- Fuente, D. Corrosion of Aluminium, Aluminium Alloys, and Composites. Encycl. Mater. Met. Alloys 2022, 1, 160–169. [Google Scholar]
- Koli, D.K.; Agnihotri, G.; Purohit, R. Advanced Aluminium Matrix Composites: The Critical Need of Automotive and Aerospace Engineering Fields. Mater. Today Proc. 2015, 2, 3032–3041. [Google Scholar] [CrossRef]
- Dursun, T.; Soutis, C. Recent developments in advanced aircraft aluminium alloys. Mater. Des. 2014, 56, 862–871. [Google Scholar] [CrossRef]
- Chen, S.Y.; Chen, K.H.; Peng, G.S.; Jia, L.; Dong, P.X. Effect of heat treatment on strength, exfoliation corrosion and electrochemical behavior of 7085 aluminium alloy. Mater. Des. 2012, 35, 93–98. [Google Scholar] [CrossRef]
- Hou, S.; Zhu, Y.L.; Cai, Z.H.; Wang, Y.L.; Ni, Y.H.; Du, X.K. Effect of hole cold expansion on fatigue performance of corroded 7B04-T6 aluminium alloy. Int. J. Fatigue 2019, 126, 210–220. [Google Scholar]
- Zhao, Q.Y.; Guo, C.; Niu, K.K.; Zhao, J.B.; Huang, Y.H.; Li, X.G. Long-term corrosion behavior of the 7A85 aluminium alloy in an industrial-marine atmospheric environment. J. Mater. Res. Technol. 2021, 12, 1350–1359. [Google Scholar] [CrossRef]
- Sun, S.Q.; Zheng, Q.F.; Li, D.F.; Wen, J.G. Long-term atmospheric corrosion behaviour of aluminium alloys 2024 and 7075 in urban, coastal and industrial environments. Corros. Sci. 2009, 51, 719–727. [Google Scholar] [CrossRef]
- Zhang, S.; Zhang, T.; He, Y.T.; Liu, D.X.; Wang, J.P.; Du, X.; Ma, B.L. Long-term atmospheric corrosion of aluminium alloy 2024-T4 in coastal environment: Surface and sectional corrosion behavior. J. Alloys Compd. 2019, 789, 460–471. [Google Scholar] [CrossRef]
- Cai, Y.K.; Xu, Y.M.; Zhao, Y.; Ma, X.B. Atmospheric corrosion prediction: A review. Corros. Rev. 2020, 38, 299–321. [Google Scholar] [CrossRef]
- Ji, Z.G.; Ma, X.B.; Zhou, K.; Cai, Y.K. An Improved Atmospheric Corrosion Prediction Model Considering Various Environmental Factors. Corrosion 2021, 77, 1178–1191. [Google Scholar] [CrossRef] [PubMed]
- Cai, J.; Ming, L.; Luo, Z.; Tang, Z.; Bin, L.I.; Zhang, X.; Feng, L.U.; Tao, C. Study on accelerated tests for aluminium alloy atmospheric corrosion. J. Chin. Soc. Corros. Prot. 2005, 25, 262–266. [Google Scholar]
- Zhang, Y.G.; Chen, Y.L.; Zhang, Y.; Bian, G.X.; Wang, C.G.; Wang, A.D. Initial corrosion behavior and mechanism of 7B04 aluminium alloy under acid immersion and salt spray environments. Chin. J. Aeronaut. 2022, 35, 277–289. [Google Scholar] [CrossRef]
- Dan, Z.H.; Takigawa, S.; Muto, I.; Hara, N. Applicability of constant dew point corrosion tests for evaluating atmospheric corrosion of aluminium alloys. Corros. Sci. 2011, 53, 2006–2014. [Google Scholar] [CrossRef]
- Vera, R.; Delgado, D.; Rosales, B.M. Effect of atmospheric pollutants on the corrosion of high power electrical conductors: Part 1. Aluminium and AA6201 alloy. Corros. Sci. 2006, 48, 2882–2900. [Google Scholar] [CrossRef]
- Cao, M.; Liu, L.; Yu, Z.F.; Fan, L.; Li, Y.; Wang, F.H. Electrochemical corrosion behavior of 2A02 Al alloy under an accelerated simulation marine atmospheric environment. J. Mater. Sci. Technol. 2019, 35, 651–659. [Google Scholar] [CrossRef]
- Peng, C.; Cao, G.W.; Gu, T.Z.; Wang, C.; Wang, Z.Y.; Sun, C. The corrosion behavior of the 6061 Al alloy in simulated Nansha marine atmosphere. J. Mater. Sci. Technol. 2022, 19, 709–721. [Google Scholar] [CrossRef]
- Li, N.; Zhang, W.F.; Xu, H.; Cai, Y.K.; Yan, X.J. Corrosion Behavior and Mechanical Properties of 30CrMnSiA High-Strength Steel under an Indoor Accelerated Harsh Marine Atmospheric Environment. Materials 2022, 15, 629. [Google Scholar] [CrossRef]
- Hao, L.; Zhang, S.X.; Dong, J.H.; Ke, W. Atmospheric corrosion resistance of MnCuP weathering steel in simulated environments. Corros. Sci. 2011, 53, 4187–4192. [Google Scholar] [CrossRef]
- Zhang, Y.G.; Chen, Y.L.; Bian, G.X.; Zhang, Y. Electrochemical behavior and corrosion mechanism of anodized 7B04 aluminium alloy in acid NaCl environments. J. Alloys Compd. 2021, 886, 161231. [Google Scholar] [CrossRef]
- Liang, M.X.; Melchers, R.; Chaves, I. Corrosion and pitting of 6060 series aluminium after 2 years exposure in seawater splash, tidal and immersion zones. Corros. Sci. 2018, 140, 286–296. [Google Scholar] [CrossRef]
- Birbilis, N.; Zhu, Y.M.; Kairy, S.K.; Glenn, M.A.; Nie, J.F.; Morton, A.J.; Gonzalez-Garcia, Y.; Terryn, H.; Mol, J.M.C.; Hughes, A.E. A closer look at constituent induced localised corrosion in Al-Cu-Mg alloys. Corros. Sci. 2016, 113, 160–171. [Google Scholar] [CrossRef]
- Ma, Y.; Zhou, X.; Huang, W.; Thompson, G.E.; Zhang, X.; Luo, C.; Sun, Z. Localized corrosion in AA2099-T83 aluminium–lithium alloy: The role of intermetallic particles. Mater. Chem. Phys. 2015, 161, 201–210. [Google Scholar] [CrossRef]
- Yang, B.W.; Wang, Y.; Gao, M.Q.; Guan, R.G. The response of mechanical property to the microstructure variation of an Al-Mg alloy by adding tin element. Mater. Sci. Eng. A 2021, 825, 141901. [Google Scholar] [CrossRef]
- Niverty, S.; Kale, C.; Solanki, K.N.; Chawla, N. Multiscale investigation of corrosion damage initiation and propagation in AA7075-T651 alloy using correlative microscopy. Corros. Sci. 2021, 185, 109429. [Google Scholar] [CrossRef]
- He, L.Z.; Jia, P.F.; Zhang, L.; Cui, J.Z. Evolution of secondary phases and properties of 7B04 aluminium alloy during DC homogenization. Trans. Nonferrous Met. Soc. China 2016, 26, 319–327. [Google Scholar] [CrossRef]
- Chen, Z.W.; Yan, K.; Ren, C.C.; Naseem, S. Precipitation sequence and hardening effect in 7A85 aluminium alloy. J. Alloys Compd. 2021, 875, 159950. [Google Scholar] [CrossRef]
- Li, Z.H.; Xiong, B.Q.; Zhang, Y.A.; Zhu, B.H.; Wang, F.; Liu, H.W. Effects of the two-step ageing treatment on the microstructure and properties of 7B04 alloy pre-stretched thick plates. Rare Metals 2007, 26, 193–199. [Google Scholar] [CrossRef]












| Element | Zn | Mg | Cu | Ni | Ti | Cr | Mn | Fe | Si | Al |
|---|---|---|---|---|---|---|---|---|---|---|
| Composition (wt%) | 6.09 | 2.54 | 1.65 | <0.05 | 0.017 | 0.13 | 0.26 | 0.14 | 0.049 | Bal. |
| Thermal Treatment Procedure | Temperature (°C) | Time |
|---|---|---|
| Solution Treatment Process | 470 | 35 min |
| Primary Aging Treatment Process | 115 | 7 h |
| Secondary Aging Treatment Process | 165 | 16 h |
| NaCl | MgCl2·6H2O | Na2SO4 | CaCl2 | KCl |
|---|---|---|---|---|
| 37.2 | 16.67 | 6.14 | 1.74 | 1.04 |
| Corrosion Time (h) | 0 | 48 | 96 | 144 | 288 | 432 | 576 |
|---|---|---|---|---|---|---|---|
| icorr (μA/cm2) | 42.0146 | 10.5536 | 0.4782 | 4.0365 | 16.2705 | 3.3814 | 2.7887 |
| Ecorr (V) | −1.1720 | −1.1543 | −0.9403 | −1.1196 | −1.1396 | −0.6643 | −0.9882 |
| βa (mV/decade) | 237 | 250 | 130 | 127 | 274 | 26 | 114 |
| βc (mV/decade) | −98 | −81 | −72 | −71 | −93 | −320 | −77 |
| Rp (Ω·cm2) | 717.47 | 2520.40 | 42,130.5 | 4905.34 | 1855.41 | 3091.86 | 7165.3 |
Disclaimer/Publisher’s Note: The statements, opinions and data contained in all publications are solely those of the individual author(s) and contributor(s) and not of MDPI and/or the editor(s). MDPI and/or the editor(s) disclaim responsibility for any injury to people or property resulting from any ideas, methods, instructions or products referred to in the content. |
© 2023 by the authors. Licensee MDPI, Basel, Switzerland. This article is an open access article distributed under the terms and conditions of the Creative Commons Attribution (CC BY) license (https://creativecommons.org/licenses/by/4.0/).
Share and Cite
Li, N.; Zhang, W.; Yan, X.; Zhang, M.; Han, L.; Cai, Y. Effect of Tropical Marine Atmospheric Environment on Corrosion Behaviour of the 7B04-T74 Aluminium Alloy. Metals 2023, 13, 995. https://doi.org/10.3390/met13050995
Li N, Zhang W, Yan X, Zhang M, Han L, Cai Y. Effect of Tropical Marine Atmospheric Environment on Corrosion Behaviour of the 7B04-T74 Aluminium Alloy. Metals. 2023; 13(5):995. https://doi.org/10.3390/met13050995
Chicago/Turabian StyleLi, Ning, Weifang Zhang, Xiaojun Yan, Meng Zhang, Lu Han, and Yikun Cai. 2023. "Effect of Tropical Marine Atmospheric Environment on Corrosion Behaviour of the 7B04-T74 Aluminium Alloy" Metals 13, no. 5: 995. https://doi.org/10.3390/met13050995
APA StyleLi, N., Zhang, W., Yan, X., Zhang, M., Han, L., & Cai, Y. (2023). Effect of Tropical Marine Atmospheric Environment on Corrosion Behaviour of the 7B04-T74 Aluminium Alloy. Metals, 13(5), 995. https://doi.org/10.3390/met13050995

