Investigation on Optical Absorption and Reflection of Carbon Nanotubes Mixed Copper Composites for Laser Sintering Process Improvement
Abstract
:1. Introduction
2. Materials and Methods
2.1. Copper Powder Mixing with CNTs, Fourier Transform Infrared (FTIR) Spectroscopy, and Pellet Production
2.2. Laser Processing
2.3. Density Measurement
2.4. Hardness Measurement
3. Results
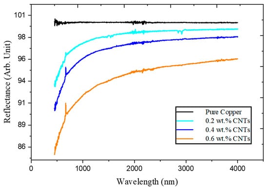
3.1. Spectroscopy of Cu-CNTs Composite
3.2. Laser Sintering Optimization of Cu-CNTs Composition
3.3. Optimization of Energy Densities
3.4. Morphological Analysis of Laser-Sintered Pellets
3.5. Density Measurements
3.6. Hardness Results
3.7. Results from Indentation Testing of Samples
4. Discussions
4.1. Morphological Analysis
4.2. Density
4.3. Hardness
4.4. Indentation Test
5. Conclusions
Author Contributions
Funding
Data Availability Statement
Conflicts of Interest
Nomenclature
| CNTs | Carbon Nanotubes |
| Cu | Copper |
| SWCNTs | Single-walled carbon nanotubes |
| W | Watts |
| Liquid Density | |
| ml | Mass in liquid |
| Density of Cu-CNTs | |
| Vickers pyramid number | |
| N | Newton |
| F | Force |
| Energy | |
| V | Scanning speed |
| Wt | Weight |
| DoE | Design of experiment |
| IR | Infrared |
| MMCs | Metal matrix composites |
| μm | Micrometer |
| Sample density | |
| ma | Mass in air |
| ϕ | Porosity |
| D | Diameter |
| Radial stress | |
| Tangential stress | |
| P | Laser power |
| SEM | Scanning electron microscopy |
| 3D | Three-dimensional |
| MPa | Megapascal |
| FTIR | Fourier transform infrared |
References
- Kianian, B. Comparing Acquisition and Operation Life Cycle Costs of Powder Metallurgy and Conventional Wrought Steel Gear Manufacturing Techniques. Procedia CIRP 2019, 81, 1101–1106. [Google Scholar] [CrossRef]
- Vasanthakumar, P.; Sekar, K.; Venkatesh, K. Recent developments in powder metallurgy based aluminium alloy composite for aerospace applications. Mater. Today Proc. 2019, 18, 5400–5409. [Google Scholar] [CrossRef]
- Ghosh, S. Electroless copper deposition: A critical review. Thin Solid Films 2019, 669, 641–658. [Google Scholar] [CrossRef]
- Nazari, K.A.; Nouri, A.; Hilditch, T. Mechanical properties and microstructure of powder metallurgy Ti-xNb-yMo alloys for implant materials. Mater. Des. 2015, 88, 1164–1174. [Google Scholar] [CrossRef]
- Anandaraj, T.; Sethusundaram, P.; Chanakyan, C.; Sakthivelu, S.; Meignanamoorthy, M. Influence of different reinforcements on properties of metal matrix composites: A review. Mater. Today Proc. 2020, 37, 3480–3484. [Google Scholar] [CrossRef]
- Gao, X.; Yue, H.; Guo, E.; Zhang, S.; Yao, L.; Lin, X.; Wang, B.; Guan, E. Tribological properties of copper matrix composites reinforced with homogeneously dispersed graphene nanosheets. J. Mater. Sci. Technol. 2018, 34, 1925–1931. [Google Scholar] [CrossRef]
- Yan, X.; Chang, C.; Dong, D.; Gao, S.; Ma, W.; Liu, M.; Liao, H.; Yin, S. Microstructure and mechanical properties of pure copper manufactured by selective laser melting. Mater. Sci. Eng. A 2020, 789, 139615. [Google Scholar] [CrossRef]
- Colopi, M.; Demir, A.G.; Caprio, L.; Previtali, B. Limits and solutions in processing pure Cu via selective laser melting using a high-power single-mode fiber laser. Int. J. Adv. Manuf. Technol. 2019, 104, 2473–2486. [Google Scholar] [CrossRef]
- Oyar, P. Laser Sintering Technology and Balling Phenomenon. Photomed. Laser Surg. 2018, 36, 72–77. [Google Scholar] [CrossRef]
- Vora, P.; Mumtaz, K.; Todd, I.; Hopkinson, N. AlSi12 in-situ alloy formation and residual stress reduction using anchorless selective laser melting. Addit. Manuf. 2015, 7, 12–19. [Google Scholar] [CrossRef]
- Bartolomeu, F.; Buciumeanu, M.; Pinto, E.; Alves, N.; Carvalho, O.; Silva, F.S.; Miranda, G. 316L stainless steel mechanical and tribological behavior—A comparison between selective laser melting, hot pressing and conventional casting. Addit. Manuf. 2017, 16, 81–89. [Google Scholar] [CrossRef]
- Tanabi, H.; Erdal, M. Effect of CNTs dispersion on electrical, mechanical and strain sensing properties of CNT/epoxy nanocomposites. Results Phys. 2018, 12, 486–503. [Google Scholar] [CrossRef]
- Wang, F.; Zhang, K.; Liang, W.; Wang, Z.; Tay, T.E.; Lu, S.; Yang, B. Epoxy/CNT@X nanocomposite: Improved quasi-static, dynamic fracture toughness, and conductive functionalities by non-ionic surfactant treatment. Polym. Test. 2019, 81, 106256. [Google Scholar] [CrossRef]
- Alam, T.; Ansari, A.H.; Arif, S.; Alam, N. Mechanical properties and morphology of aluminium metal matrix nanocomposites-stir cast products. Adv. Mater. Process. Technol. 2017, 3, 600–615. [Google Scholar] [CrossRef]
- Liu, Y.; Wang, F.; Cao, Y.; Nie, J.; Zhou, H.; Yang, H.; Liu, X.; An, X.; Liao, X.; Zhao, Y.; et al. Unique defect evolution during the plastic deformation of a metal matrix composite. Scr. Mater. 2018, 162, 316–320. [Google Scholar] [CrossRef]
- Stalin, B.; Ravichandran, M.; Sudha, G.; Karthick, A.; Prakash, K.S.; Asirdason, A.B.; Saravanan, S. Effect of titanium diboride ceramic particles on mechanical and wear behaviour of Cu-10 wt% W alloy composites processed by P/M route. Vacuum 2020, 184, 109895. [Google Scholar] [CrossRef]
- Casati, R.; Vedani, M. Metal Matrix Composites Reinforced by Nano-Particles—A Review. Metals 2014, 4, 65–83. [Google Scholar] [CrossRef]
- Ikeshoji, T.-T.; Nakamura, K.; Yonehara, M.; Imai, K.; Kyogoku, H. Selective Laser Melting of Pure Copper. JOM 2017, 70, 396–400. [Google Scholar] [CrossRef]
- Datsyuk, V.; Kalyva, M.; Papagelis, K.; Parthenios, J.; Tasis, D.; Siokou, A.; Kallitsis, I.; Galiotis, C. Chemical oxidation of multiwalled carbon nanotubes. Carbon 2008, 46, 833–840. [Google Scholar] [CrossRef]
- Jung, M.; Lee, Y.-S.; Hong, S.-G.; Moon, J. Carbon nanotubes (CNTs) in ultra-high performance concrete (UHPC): Dispersion, mechanical properties, and electromagnetic interference (EMI) shielding effectiveness (SE). Cem. Concr. Res. 2020, 131, 106017. [Google Scholar] [CrossRef]
- Yu, J.; Grossiord, N.; Koning, C.E.; Loos, J. Controlling the dispersion of multi-wall carbon nanotubes in aqueous surfactant solution. Carbon 2007, 45, 618–623. [Google Scholar] [CrossRef]
- Vaisman, L.; Wagner, H.D.; Marom, G. The role of surfactants in dispersion of carbon nanotubes. Adv. Colloid Interface Sci. 2007, 130, 37–46. [Google Scholar] [CrossRef] [PubMed]
- Singh, S.C.E.; Selvakumar, N. Effect of milled B4C nanoparticles on tribological analysis, microstructure and mechanical properties of Cu-4Cr matrix produced by hot extrusion. Arch. Civ. Mech. Eng. 2017, 17, 446–456. [Google Scholar] [CrossRef]
- Nouari, S. Effect of Processing on the Dispersion of CNTs in Al-Nanocomposites. Adv. Mater. Res. 2011, 239–242, 759–763. [Google Scholar] [CrossRef]
- George, R.; Kashyap, K.; Rahul, R.; Yamdagni, S. Strengthening in carbon nanotube/aluminium (CNT/Al) composites. Scr. Mater. 2005, 53, 1159–1163. [Google Scholar] [CrossRef]
- Poirier, D.; Gauvin, R.; Drew, R.A. Structural characterization of a mechanically milled carbon nanotube/aluminum mixture. Compos. Part A Appl. Sci. Manuf. 2009, 40, 1482–1489. [Google Scholar] [CrossRef]
- Jenei, P.; Yoon, E.; Gubicza, J.; Kim, H.; Lábár, J.; Ungár, T. Microstructure and hardness of copper-carbon nanotube composites consolidated by High Pressure Torsion. Mater. Sci. Eng. A 2011, 528, 4690–4695. [Google Scholar] [CrossRef]
- Ruoff, R.S.; Qian, D.; Liu, W.K. Mechanical properties of carbon nanotubes: Theoretical predictions and experimental measurements. Comptes Rendus Phys. 2003, 4, 993–1008. [Google Scholar] [CrossRef]
- Demczyk, B.; Wang, Y.; Cumings, J.; Hetman, M.; Han, W.; Zettl, A.; Ritchie, R. Direct mechanical measurement of the tensile strength and elastic modulus of multiwalled carbon nanotubes. Mater. Sci. Eng. A 2002, 334, 173–178. [Google Scholar] [CrossRef]
- De Heer, W.A. Nanotubes and the Pursuit of Applications. MRS Bull. 2004, 29, 281–285. [Google Scholar] [CrossRef]
- Soulier, M.; Benayad, A.; Teulon, L.; Oudart, Y.; Senol, S.; Vanmeensel, K. Nanocomposite powder for powder-bed-based additive manufacturing obtained by dry particle coating. Powder Technol. 2022, 404, 117474. [Google Scholar] [CrossRef]
- Ayub, H.; Khan, L.A.; McCarthy, E.; Ahad, I.U.; Fleischer, K.; Brabazon, D. Investigating the morphology, hardness, and porosity of copper filters produced via Hydraulic Pressing. J. Mater. Res. Technol. 2022, 19, 208–219. [Google Scholar] [CrossRef]
- Kazup, Á.; Fegyverneki, G.; Gácsi, Z. Evaluation of the Applicability of Computer-Aided Porosity Testing Methods for Different Pore Structures. Met. Microstruct. Anal. 2022, 11, 774–789. [Google Scholar] [CrossRef]
- Yanıkoğlu, N.D.; Sakarya, R.E. Test methods used in the evaluation of the structure features of the restorative materials: A literature review. J. Mater. Res. Technol. 2020, 9, 9720–9734. [Google Scholar] [CrossRef]
- Yang, Z.; Peng, H.; Wang, W.; Liu, T. Crystallization Behavior of Poly(ε-Caprolactone)/Layered Double Hydroxide Nanocomposites. J. Appl. Polym. Sci. 2010, 116, 2658–2667. [Google Scholar] [CrossRef]
- Guo, Q.; Zhao, C.; Qu, M.; Xiong, L.; Escano, L.I.; Hojjatzadeh, S.M.H.; Parab, N.D.; Fezzaa, K.; Everhart, W.; Sun, T.; et al. In-situ characterization and quantification of melt pool variation under constant input energy density in laser powder bed fusion additive manufacturing process. Addit. Manuf. 2019, 28, 600–609. [Google Scholar] [CrossRef]
- Liu, S.; Li, H.; Qin, C.; Zong, R.; Fang, X. The effect of energy density on texture and mechanical anisotropy in selective laser melted Inconel 718. Mater. Des. 2020, 191, 108642. [Google Scholar] [CrossRef]
- Constantin, L.; Fan, L.; Mortaigne, B.; Keramatnejad, K.; Zou, Q.; Azina, C.; Lu, Y.F.; Silvain, J.-F. Laser sintering of cold-pressed Cu powder without binder use. Materialia 2018, 3, 178–181. [Google Scholar] [CrossRef]
- Hess, A.; Schuster, R.; Heider, A.; Weber, R.; Graf, T. Continuous Wave Laser Welding of Copper with Combined Beams at Wavelengths of 1030nm and of 515nm. Phys. Procedia 2011, 12, 88–94. [Google Scholar] [CrossRef]
- Pappas, J.M.; Dong, X. Porosity characterization of additively manufactured transparent MgAl2O4 spinel by laser direct deposition. Ceram. Int. 2019, 46, 6745–6755. [Google Scholar] [CrossRef]
- Nagira, T.; Liu, X.; Ushioda, K.; Fujii, H. Mechanism of grain structure development for pure Cu and Cu-30Zn with low stacking fault energy during FSW. Sci. Technol. Weld. Join. 2020, 25, 669–678. [Google Scholar] [CrossRef]
- Zhou, J.; Zhong, K.; Zhao, C.; Meng, H.; Qi, L. Effect of carbon nanotubes grown temperature on the fracture behavior of carbon fiber reinforced magnesium matrix composites: Interlaminar shear strength and tensile strength. Ceram. Int. 2020, 47, 6597–6607. [Google Scholar] [CrossRef]
- Kim, K.T.; Cha, S.I.; Hong, S.H.; Hong, S.H. Microstructures and tensile behavior of carbon nanotube reinforced Cu matrix nanocomposites. Mater. Sci. Eng. A 2006, 430, 27–33. [Google Scholar] [CrossRef]
- Uddin, S.M.; Mahmud, T.; Wolf, C.; Glanz, C.; Kolaric, I.; Volkmer, C.; Höller, H.; Wienecke, U.; Roth, S.; Fecht, H.-J. Effect of size and shape of metal particles to improve hardness and electrical properties of carbon nanotube reinforced copper and copper alloy composites. Compos. Sci. Technol. 2010, 70, 2253–2257. [Google Scholar] [CrossRef]
- Duan, B.; Zhou, Y.; Wang, D.; Zhao, Y. Effect of CNTs content on the microstructures and properties of CNTs/Cu composite by microwave sintering. J. Alloy. Compd. 2018, 771, 498–504. [Google Scholar] [CrossRef]
- Constantin, L.; Wu, Z.; Li, N.; Fan, L.; Silvain, J.-F.; Lu, Y.F. Laser 3D printing of complex copper structures. Addit. Manuf. 2020, 35, 101268. [Google Scholar] [CrossRef]
- Jiang, Q.; Zhang, P.; Yu, Z.; Shi, H.; Wu, D.; Yan, H.; Ye, X.; Lu, Q.; Tian, Y. A Review on Additive Manufacturing of Pure Copper. Coatings 2021, 11, 740. [Google Scholar] [CrossRef]
- Park, C.; Jung, D.; Chun, E.-J.; Ahn, S.; Jang, H.; Kim, Y.-J. Effect of laser shock peening without coating on fretting corrosion of copper contacts. Appl. Surf. Sci. 2020, 514, 145917. [Google Scholar] [CrossRef]
- Babu, R.V.; Kanagaraj, S. Effect of different processing techniques on hardness, electrical and thermal conductivity of Copper/Carbon nanotube composites for industrial applications. Diam. Relat. Mater. 2021, 120, 108634. [Google Scholar] [CrossRef]
- Ghayoor, M.; Lee, K.; He, Y.; Chang, C.-H.; Paul, B.K.; Pasebani, S. Selective laser melting of austenitic oxide dispersion strengthened steel: Processing, microstructural evolution and strengthening mechanisms. Mater. Sci. Eng. A 2020, 788, 139532. [Google Scholar] [CrossRef]














| Product Form | Powder Size (μm) | Purity (%) | Melting/Boiling Point (°C) | Density (g/cm3) |
|---|---|---|---|---|
| Carbon nanotube (single wall) | 10–25 | 95% | 2000/4027 | 1.74 |
| Copper powder (spheroidal) | 0.5–2.0 | 98% | 1083/2567 | 8.96 |
| Std | Run | Factor 1 | Factor 2 | Factor 3 |
|---|---|---|---|---|
| A: Laser Power | B: CNTs Conc. | C: Scan Speed | ||
| (W) | (wt.%) | (mm/s) | ||
| 3 | 1 | 300 | 0.6 | 1.5 |
| 5 | 2 | 300 | 0.4 | 1 |
| 2 | 3 | 400 | 0.2 | 1.5 |
| 13 | 4 | 350 | 0.4 | 1.5 |
| 12 | 5 | 350 | 0.6 | 2 |
| 14 | 6 | 350 | 0.4 | 1.5 |
| 17 | 7 | 350 | 0.4 | 1.5 |
| 8 | 8 | 400 | 0.4 | 2 |
| 6 | 9 | 400 | 0.4 | 1 |
| 7 | 10 | 300 | 0.4 | 2 |
| 11 | 11 | 350 | 0.2 | 2 |
| 4 | 12 | 400 | 0.6 | 1.5 |
| 1 | 13 | 300 | 0.2 | 1.5 |
| 10 | 14 | 350 | 0.6 | 1 |
| 9 | 15 | 350 | 0.2 | 1 |
| 16 | 16 | 350 | 0.4 | 1.5 |
| 15 | 17 | 350 | 0.4 | 1.5 |
| Track Number | Laser Power | Beam Spot Size | Scan Speed | Energy Density | Temp. with 0.2 wt.% CNTs | Temp. with 0.4% CNTs | Temp. with 0.6% CNTs |
|---|---|---|---|---|---|---|---|
| (W) | mm | mm/s | J/mm2 | (°C) | (°C) | (°C) | |
| 1 | 100 | 5 | 5 | 4 | 37 | 41 | 54 |
| 3 | 200 | 5 | 2 | 20 | 89 | 98 | 111 |
| 4 | 250 | 5 | 2 | 25 | 132 | 168 | 172 |
| 6 | 300 | 5 | 1 | 60 | 203 | 286 | 335 |
| 8 | 350 | 5 | 1 | 70 | 317 | 385 | 467 |
| 11 | 400 | 5 | 1 | 80 | 547 | 618 | 657 |
| Std | Run | Factor 1 | Factor 2 | Factor 3 | Response 1 | Response 2 |
|---|---|---|---|---|---|---|
| A: Laser Power | B: CNTs Conc. | C: Scan Speed | Relative Density | Hardness | ||
| W | % | mm/s | % | (HV) | ||
| 3 | 1 | 300 | 0.6 | 1.5 | 97.76 | 53.82 |
| 5 | 2 | 300 | 0.4 | 1 | 96.49 | 55.56 |
| 2 | 3 | 400 | 0.2 | 1.5 | 97.20 | 54.54 |
| 13 | 4 | 350 | 0.4 | 1.5 | 97.73 | 53.48 |
| 12 | 5 | 350 | 0.6 | 2 | 97.87 | 52.86 |
| 14 | 6 | 350 | 0.4 | 1.5 | 97.70 | 52.98 |
| 17 | 7 | 350 | 0.4 | 1.5 | 97.68 | 53.14 |
| 8 | 8 | 400 | 0.4 | 2 | 95.89 | 61.6 |
| 6 | 9 | 400 | 0.4 | 1 | 98.38 | 58.48 |
| 7 | 10 | 300 | 0.4 | 2 | 94.18 | 56.48 |
| 11 | 11 | 350 | 0.2 | 2 | 96.20 | 58.62 |
| 4 | 12 | 400 | 0.6 | 1.5 | 99.21 | 50.7 |
| 1 | 13 | 300 | 0.2 | 1.5 | 94.10 | 66.5 |
| 10 | 14 | 350 | 0.6 | 1 | 98.54 | 49.3 |
| 9 | 15 | 350 | 0.2 | 1 | 97.10 | 54.48 |
| 16 | 16 | 350 | 0.4 | 1.5 | 97.73 | 53.08 |
| 15 | 17 | 350 | 0.4 | 1.5 | 97.67 | 53.24 |
| Source | Sum of Squares | df | Mean Square | F-Value | p-Value |
|---|---|---|---|---|---|
| Model | 28.95 | 9 | 3.22 | 10.07 | 0.003 |
| A-Laser Power | 8.3 | 1 | 8.3 | 25.99 | 0.0014 |
| B-CNTs Conc. | 9.64 | 1 | 9.64 | 30.21 | 0.0009 |
| C-Scan Speed | 5.08 | 1 | 5.08 | 15.9 | 0.0053 |
| AB | 0.6821 | 1 | 0.6821 | 2.14 | 0.1872 |
| AC | 0.008 | 1 | 0.008 | 0.025 | 0.8789 |
| BC | 0.0137 | 1 | 0.0137 | 0.043 | 0.8416 |
| A2 | 3.52 | 1 | 3.52 | 11.03 | 0.0128 |
| B2 | 0.3364 | 1 | 0.3364 | 1.05 | 0.3388 |
| C2 | 1.29 | 1 | 1.29 | 4.05 | 0.0839 |
| Residual | 2.23 | 7 | 0.3193 | ||
| Lack of Fit | 2.23 | 3 | 0.744 | 1127 | <0.0001 |
| Pure Error | 0.0026 | 4 | 0.0007 | ||
| Cor Total | 31.18 | 16 |
| Verification Parameters | Obtained Values |
|---|---|
| R-Squared | 0.9283 |
| Adjusted R-Squared | 0.8362 |
| Predicted R-Squared | −0.1455 |
| Adequate Precision | 11.084 |
| Standard Deviation | 0.565 |
| Mean | 5.35 |
| Coefficient of Variation (CV %) | 0.5816 |
| Sample No. | Mean Diagonal (d) in μm | Vickers Hardness Values | Average | ||||||||
|---|---|---|---|---|---|---|---|---|---|---|---|
| L1 | L2 | L3 | L4 | L5 | L1 | L2 | L3 | L4 | L5 | ||
| 1 | 61 | 57 | 55 | 58 | 55 | 54 | 49 | 56 | 56.1 | 54 | 53.82 |
| 2 | 57 | 55 | 55 | 58 | 57.1 | 54.1 | 56.1 | 56.5 | 54.1 | 57 | 55.56 |
| 3 | 58.9 | 57.9 | 57 | 57.9 | 60.9 | 53.4 | 55.3 | 56.1 | 57.9 | 50 | 54.54 |
| 4 | 58 | 61 | 57 | 55 | 58 | 54.1 | 49 | 54.1 | 56.1 | 54.1 | 53.48 |
| 5 | 60 | 60 | 58 | 60 | 59 | 51.2 | 54.5 | 54.5 | 50.8 | 53.3 | 52.86 |
| 6 | 62 | 58 | 59 | 56 | 60 | 48.2 | 54.5 | 53.3 | 58.1 | 50.8 | 52.98 |
| 7 | 59 | 60 | 57 | 60 | 58 | 53.3 | 50.8 | 56.7 | 50.8 | 54.1 | 53.14 |
| 8 | 50.9 | 56 | 54 | 57 | 56 | 72.1 | 58.1 | 62 | 56.7 | 59.1 | 61.6 |
| 9 | 60 | 55 | 55 | 58 | 52 | 50.8 | 60.6 | 60.2 | 54.5 | 66.3 | 58.48 |
| 10 | 60 | 58 | 53 | 58 | 56.5 | 50.8 | 54.5 | 64.5 | 54.5 | 58.1 | 56.48 |
| 11 | 56 | 57 | 55 | 57 | 53 | 59.1 | 56.7 | 56.1 | 56.7 | 64.5 | 58.62 |
| 12 | 63 | 60 | 60.5 | 60 | 58 | 46.7 | 50.8 | 50.7 | 50.8 | 54.5 | 50.7 |
| 13 | 50 | 53 | 53 | 50 | 50 | 72.1 | 58.1 | 58.1 | 72.1 | 72.1 | 66.5 |
| 14 | 60 | 60 | 61 | 61 | 64 | 51.2 | 51.2 | 49 | 49.8 | 45.3 | 49.3 |
| 15 | 57 | 59 | 57.9 | 57 | 57.9 | 54 | 53 | 55.3 | 56.1 | 54 | 54.48 |
| 16 | 59.6 | 58.4 | 59.1 | 59 | 59.5 | 52.2 | 54.4 | 53.1 | 53.3 | 52.4 | 53.08 |
| 17 | 59.5 | 59 | 59.6 | 57 | 60 | 52.4 | 53.3 | 52.2 | 57.1 | 51.2 | 53.24 |
Disclaimer/Publisher’s Note: The statements, opinions and data contained in all publications are solely those of the individual author(s) and contributor(s) and not of MDPI and/or the editor(s). MDPI and/or the editor(s) disclaim responsibility for any injury to people or property resulting from any ideas, methods, instructions or products referred to in the content. |
© 2023 by the authors. Licensee MDPI, Basel, Switzerland. This article is an open access article distributed under the terms and conditions of the Creative Commons Attribution (CC BY) license (https://creativecommons.org/licenses/by/4.0/).
Share and Cite
Ayub, H.; Khan, L.A.; McCarthy, E.; Ahad, I.U.; Fleischer, K.; Brabazon, D. Investigation on Optical Absorption and Reflection of Carbon Nanotubes Mixed Copper Composites for Laser Sintering Process Improvement. Metals 2023, 13, 1984. https://doi.org/10.3390/met13121984
Ayub H, Khan LA, McCarthy E, Ahad IU, Fleischer K, Brabazon D. Investigation on Optical Absorption and Reflection of Carbon Nanotubes Mixed Copper Composites for Laser Sintering Process Improvement. Metals. 2023; 13(12):1984. https://doi.org/10.3390/met13121984
Chicago/Turabian StyleAyub, Hasan, Lehar Asip Khan, Eanna McCarthy, Inam Ul Ahad, Karsten Fleischer, and Dermot Brabazon. 2023. "Investigation on Optical Absorption and Reflection of Carbon Nanotubes Mixed Copper Composites for Laser Sintering Process Improvement" Metals 13, no. 12: 1984. https://doi.org/10.3390/met13121984
APA StyleAyub, H., Khan, L. A., McCarthy, E., Ahad, I. U., Fleischer, K., & Brabazon, D. (2023). Investigation on Optical Absorption and Reflection of Carbon Nanotubes Mixed Copper Composites for Laser Sintering Process Improvement. Metals, 13(12), 1984. https://doi.org/10.3390/met13121984

