Machinability Features of Ti-6Al-4V Alloy with Ultrafine-Grained Structure
Abstract
1. Introduction
2. Experimental Procedure and Materials
2.1. ECAP Processing and Sample Size and Shape
2.2. Equipment and Cutting Tool for Turning
2.3. Cutting Regimes and Surface Roughness
2.4. Microstructure, Tensile Properties, and Microhardness
3. Results
3.1. Microstructure and Tensile Properties of Ti-6Al-4V in the Initial State and after ECAP
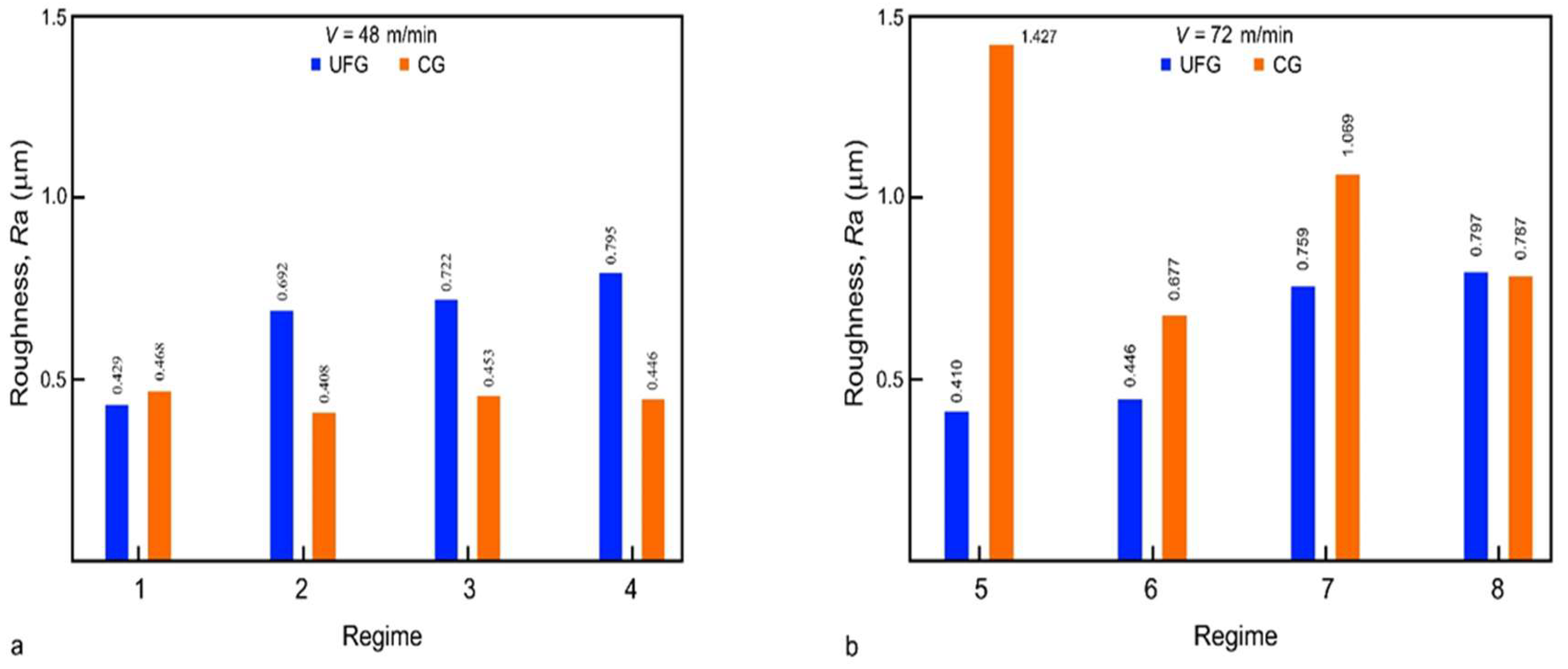
3.2. Surface Roughness after Machining
3.3. Microhardness and Microstructure of the Surface Layer of Turned Billets
3.4. Chip Microstructure
4. Discussion
5. Conclusions
Author Contributions
Funding
Data Availability Statement
Conflicts of Interest
References
- Bran, D.T.; Elefterie, C.F.; Ghiban, B. Aeronautical Industry Requirements for Titanium Alloys. IOP Conf. Ser. Mater. Sci. Eng. 2017, 209, 012059. [Google Scholar] [CrossRef]
- Siregar, I.; Saedon, J.B.; Adenan, M.S.; Nor, N.M.; Azmi, M.F.M.; Jamaludin, M.H.B. Tool wear investigation in drilling titanium alloy. IOP Conf. Ser. Mater. Sci. Eng. 2019, 505, 012043. [Google Scholar] [CrossRef]
- Astakhov, V.P. The assessment of cutting tool wear. Int. J. Mach. Tools Manuf. 2004, 44, 637–647. [Google Scholar] [CrossRef]
- Patil, A.S.; Ingle, S.V.; More, Y.S.; Nathe, M.S. Machining Challenges in Ti-6Al-4V.-A Review. Int. J. Innov. Eng. Technol. 2015, 5, 6–23. [Google Scholar]
- Sun, S.; Brandt, M.; Dargusch, M.S. Thermally enhanced machining of hard-to-machine materials—A review. Int. J. Mach. Tools Manuf. 2010, 50, 663–680. [Google Scholar] [CrossRef]
- Rahman, M.; Wang, Z.-G.; Wong, Y.-S. A Review on High-Speed Machining of Titanium Alloys. JSME Int. J. Ser. C 2006, 49, 11–20. [Google Scholar] [CrossRef]
- Tascioglu, E.; Gharibi, A.; Kaynak, Y. High Speed Machining of Near-beta Titanium Ti-5553 Alloy Under Various Cooling and Lubrication Conditions. Int. J. Adv. Manuf. Technol. 2019, 102, 4257–4271. [Google Scholar] [CrossRef]
- Dargusch, M.S.; Sivarupan, T.; Bermingham, M.; Rizwan, A.R.R.; Palanisamy, S.; Sun, S. Challenges in laser-assisted milling of titanium alloys. Int. J. Extrem. Manuf. 2021, 3, 015001. [Google Scholar] [CrossRef]
- Guo, J.; Goh, M.H.; Wang, P.; Huang, R.; Lee, X.; Wang, B.; Nai, S.M.L.; Wei, J. Investigation on surface integrity of electron beam melted Ti-6Al-4 V by precision grinding and electropolishing. Chin. J. Aeronaut. 2020, 34, 28–38. [Google Scholar] [CrossRef]
- Jiang, G.; Yang, H.; Xiao, G.; Zhao, Z.; Wu, Y. Titanium alloys surface integrity of belt grinding considering different machining trajectory direction. Front. Mater. 2022, 9, 1052523. [Google Scholar] [CrossRef]
- Guo, J.; Shi, Y.Y.; Chen, Z.; Yu, T.; Zhao, P.; Shirinzadeh, B. Optimal parameter selection in robotic belt polishing for aeroengine blade based on GRARSM method. Symmetry 2019, 11, 1526. [Google Scholar] [CrossRef]
- Tao, Z.; Yaoyao, S.; Laakso, S.; Zhou, J.M. Investigation of the effect of grinding parameters on surface quality in grinding of TC4 titanium alloy. Procedia Manuf. 2017, 11, 2131–2138. [Google Scholar] [CrossRef]
- Lutjering, G.; Williams, J.C. Titanium; Springer: Berlin/Heidelberg, Germany, 2007. [Google Scholar]
- Veiga, C.; Davim, J.P.; Loureiro, A.J.R. Properties and applications of titanium alloys: A brief review. Rev. Adv. Mater. Sci. 2012, 32, 133–148. [Google Scholar]
- Denkena, B.; Grove, T. The Effect of Microstructure on the Machinability of Ti-6Al-4V. In Proceedings of the 13th World Conference on Titanium, San Diego, CA, USA, 16–20 August 2015; pp. 905–910. [Google Scholar] [CrossRef]
- Telrandhe, S.V.; Saxena, A.K.; Mishra, S. Effect of microstructure and cutting speed on machining behavior of Ti6Al4V alloy. J. Mech. Sci. Technol. 2017, 31, 2177–2184. [Google Scholar] [CrossRef]
- Suárez Fernández, D.; Wynne, B.P.; Crawforth, P.; Jackson, M. Titanium alloy microstructure fingerprint plots from in-process machining. Mater. Sci. Eng. A 2021, 811, 141074. [Google Scholar] [CrossRef]
- Patil, S.; Kekade, S.; Phapale, K.; Jadhav, S.; Powar, A.; Supare, A.; Singh, R. Effect of α and β Phase Volume Fraction on Machining Characteristics of Titanium Alloy Ti6Al4V. Procedia Manuf. 2016, 6, 63–70. [Google Scholar] [CrossRef][Green Version]
- Arrazolaa, P.-J.; Garay, A.; Iriarte, L.-M.; Armendia, M.; Maryab, S.; Le Maîtrec, F. Machinability of titanium alloys (Ti6Al4V and Ti555.3). J. Mater. Process. Technol. 2009, 209, 2223–2230. [Google Scholar] [CrossRef]
- Suárez Fernández, D.; Jackson, M.; Crawforth, P.; Fox, K.; Wynne, B.P. Using machining force feedback to quantify grain size in beta titanium. Materialia 2020, 13, 100856. [Google Scholar] [CrossRef]
- Valiev, R.Z.; Zhilyaev, A.P.; Langdon, T.G. Bulk Nanostructured Materials: Fundamentals and Applications; Wiley/TMS: Hoboken, NJ, USA, 2014. [Google Scholar]
- Valiev, R.Z.; Estrin, Y.; Horita, Z.; Langdon, T.G.; Zehetbauer, M.J.; Zhu, Y. Producing Bulk Ultrafine-Grained Materials by Severe Plastic Deformation: Ten Years Later. JOM 2016, 68, 1216–1226. [Google Scholar] [CrossRef]
- Zherebtsov, S.; Semenova, I.P.; Halina, G.; Motyka, M. Advanced mechanical properties. In Nanocrystiline Titanium; Garbacz, H., Semenova, I., Eds.; Elsevier Inc.: Amsterdam, The Netherlands, 2019; pp. 103–121. [Google Scholar]
- Zherebtsov, S.V. Strength and ductility-related properties of ultrafine grained two-phase titanium alloy produced by warm multiaxial forging. Mater. Sci. Eng. A 2012, 536, 190–196. [Google Scholar] [CrossRef]
- Semenova, I.P.; Polyakova, V.V.; Dyakonov, G.S.; Polyakov, A.V. Ultrafine-Grained Titanium-Based Alloys: Structure and Service Properties for Engineering Applications. Adv. Eng. Mater. 2019, 22, 1900651. [Google Scholar] [CrossRef]
- Zhu, Y.T.; Stolyarov, V.V.; Shuster, L.S.; Migranov, M.S.; Valiev, R.Z. Reduction of friction coefficient of ultrafine-grained CP titanium. Mater. Sci. Eng. A 2004, 371, 313–317. [Google Scholar] [CrossRef]
- Shuster, L.S.; Migranov, M.S.; Chertovskikh, S.V.; Sadykova, A.Y. Triboengineering Characteristics of Ultra-Fine Granularly Structured Titanium Produced by Intensive Plastic Deformation. Frict. Wear 2005, 26, 208–214. [Google Scholar]
- Zmarzły, P. Technological Heredity of the Turning Process. Teh. Vjesn. 2020, 27, 1194–1203. [Google Scholar] [CrossRef]
- Kent, D.; Rahman Rashid, R.; Bermingham, M.; Attar, H.; Sun, S.; Dargusch, M. Insights into Machining of a β Titanium Biomedical Alloy from Chip Microstructures. Metals 2018, 8, 710. [Google Scholar] [CrossRef]
- Semenova, I.P.; Saitova, L.R.; Dotsenko, T.V.; Kil’mametov, A.R.; Valiev, R.Z.; Islamgaliev, R.K.; Demakov, S.L. Evolution of the structure of the VT6 alloy subjected to equal-channel angular pressing. Phys. Met. Metallogr. 2005, 100, 66–72. [Google Scholar]
- Harun, S.; Burhanuddin, Y.; Ibrahim, G.A. The Effect of Cutting Parameters on Surface Roughness and Morphology of Ti-6Al-4V ELI Titanium Alloy during Turning with Actively Driven Rotary Tools. J. Manuf. Mater. Process. 2022, 6, 105. [Google Scholar] [CrossRef]
- Edkins, K.D.; van Rensburg, N.J.; Laubscher, R.F. Evaluating the Subsurface Microstructure of Machined Ti-6Al-4V. Procedia CIRP 2014, 13, 270–275. [Google Scholar] [CrossRef]







| Name | Value |
|---|---|
| Length, L (mm) | 150 (M) |
| Plate size | 16 |
| Turning type | External |
| Fixing system | P—lever clamp by a whole |
| Section a × b (mm) | 25 × 25 |
| Shape of plate | C-rhombic 80° |
| e | 33 |
| S | 32 |
| h | 25 |
| No. | Cutting Speed, V (m/min) | Feed Rate, Fz (mm/rev) | Cutting Depth, t (mm) |
|---|---|---|---|
| 1 | 48 | 0.06 | 0.25 |
| 2 | 48 | 0.06 | 0.50 |
| 3 | 48 | 0.11 | 0.25 |
| 4 | 48 | 0.11 | 0.50 |
| 5 | 72 | 0.06 | 0.25 |
| 6 | 72 | 0.06 | 0.50 |
| 7 | 72 | 0.11 | 0.25 |
| 8 | 72 | 0.11 | 0.50 |
| Structural State | Yield Strength, σ0.2 (MPa) | Ultimate Strength, σ (MPa) | Elongation, δ (%) |
|---|---|---|---|
| Coarse-grained | 909 ± 14 | 982 ± 8 | 14.5 ± 1.0 |
| Ultrafine-grained | 1210 ± 15 | 1260 ± 10 | 9.4 ± 0.7 |
| Cutting Speed, V (m/min) | Microhardness, HV(CG Billet) | Microhardness, HV (UFG Billet) | ||
|---|---|---|---|---|
| Surface | Center | Surface | Center | |
| 48 | 336 ± 8 | 335 ± 10 | 379 ± 9 | 380 ± 10 |
| 72 | 332 ± 8 | 335 ± 10 | 382 ± 10 | 380 ± 10 |
Disclaimer/Publisher’s Note: The statements, opinions and data contained in all publications are solely those of the individual author(s) and contributor(s) and not of MDPI and/or the editor(s). MDPI and/or the editor(s) disclaim responsibility for any injury to people or property resulting from any ideas, methods, instructions or products referred to in the content. |
© 2023 by the authors. Licensee MDPI, Basel, Switzerland. This article is an open access article distributed under the terms and conditions of the Creative Commons Attribution (CC BY) license (https://creativecommons.org/licenses/by/4.0/).
Share and Cite
Semenova, I.; Polyakov, A.; Gareev, A.; Makarov, V.; Kazakov, I.; Pesin, M. Machinability Features of Ti-6Al-4V Alloy with Ultrafine-Grained Structure. Metals 2023, 13, 1721. https://doi.org/10.3390/met13101721
Semenova I, Polyakov A, Gareev A, Makarov V, Kazakov I, Pesin M. Machinability Features of Ti-6Al-4V Alloy with Ultrafine-Grained Structure. Metals. 2023; 13(10):1721. https://doi.org/10.3390/met13101721
Chicago/Turabian StyleSemenova, Irina, Alexander Polyakov, Alfiz Gareev, Vladimir Makarov, Ivan Kazakov, and Mikhail Pesin. 2023. "Machinability Features of Ti-6Al-4V Alloy with Ultrafine-Grained Structure" Metals 13, no. 10: 1721. https://doi.org/10.3390/met13101721
APA StyleSemenova, I., Polyakov, A., Gareev, A., Makarov, V., Kazakov, I., & Pesin, M. (2023). Machinability Features of Ti-6Al-4V Alloy with Ultrafine-Grained Structure. Metals, 13(10), 1721. https://doi.org/10.3390/met13101721

