Low-Temperature Deformation and Fracture of Cr-Mn-N Stainless Steel: Tensile and Impact Bending Tests
Abstract
1. Introduction
2. Materials and Methods
3. Results
3.1. The Tensile Tests
3.1.1. Temperature Dependences of a Strain
3.1.2. Microstructural Studies
3.1.3. Fractographic Investigations
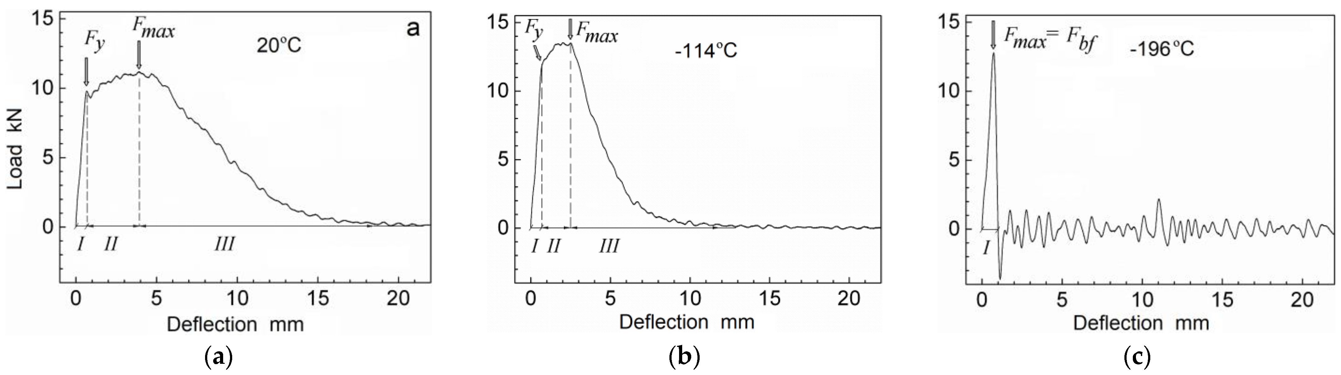
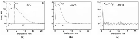
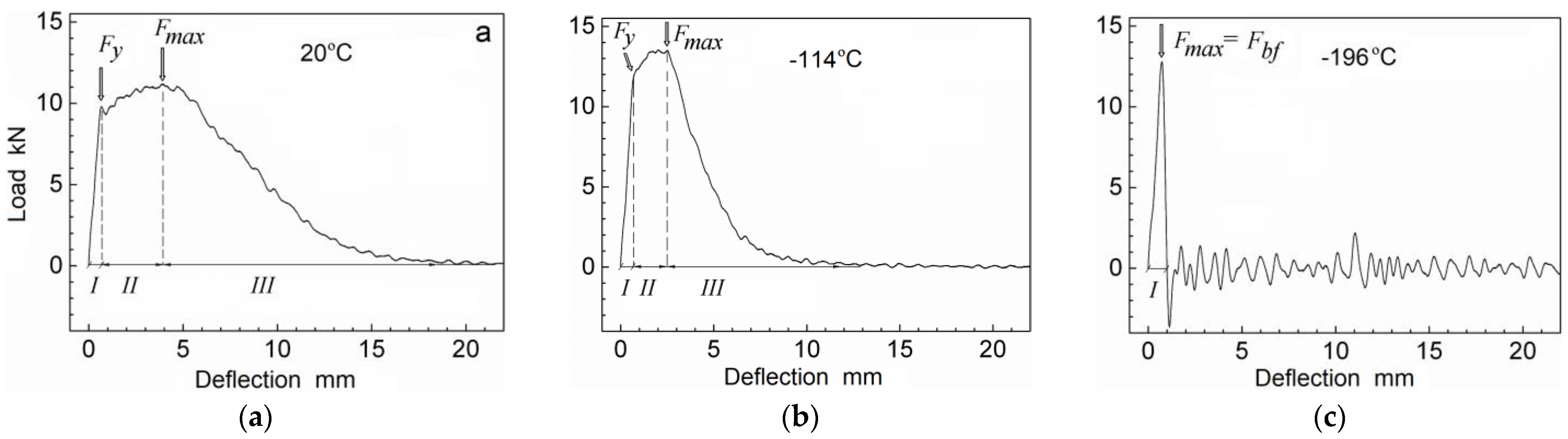
3.2. The Charpy Impact Tests
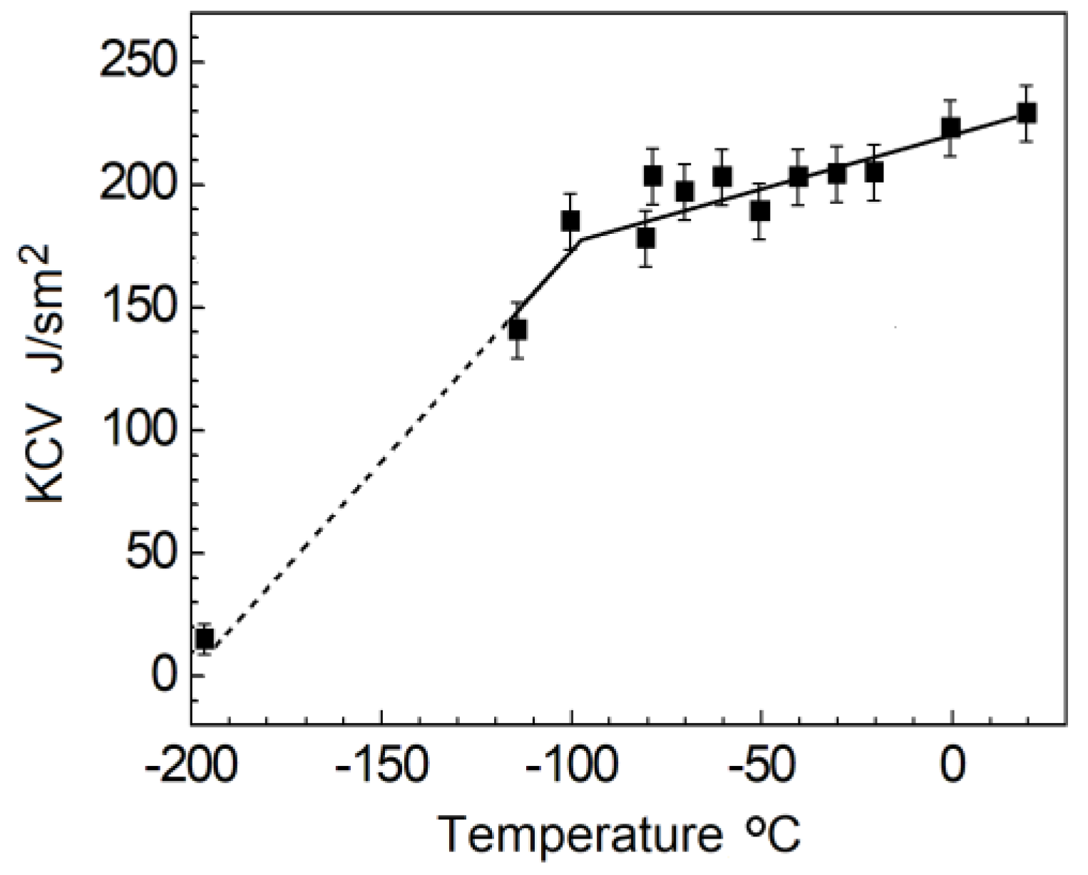
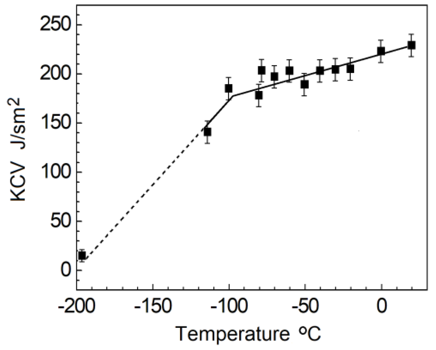
3.2.1. Temperature Dependences on Impact Toughness
3.2.2. Fractographic Investigations
3.2.3. X-Ray Diffraction
4. Discussion
5. Conclusions
- Cr-Mn-N steel demonstrated a high ductility in the tensile tests at the constant load rate of 0.002 mm/s over the entire temperature range with a change in the fracture behavior from a ductile at T = −80–20 °C to a brittle transgranular at T = −196 °C. At the cryogenic level, the ductility of 30% was achieved due to the development of γ→ε transformation, while ε-martensite provoked a brittle fracture;
- In the impact bending tests under the load rate of 59.4 m/s, the fracture pattern changed from ductile in the temperature range from −114 up to 20 °C to brittle intergranular one (predominantly by cleavage) at T = −196 °C. This failure type was characteristic to the absence of γ→ε transformation;
- The analysis of the impact loading diagrams showed that the plastic strain work related to the nucleation and propagation of the main crack from the Charpy notch decreased with lowering the test temperature from T = 20 down to −114 °C. At T = −196 °C, the failure occurred immediately after the end of the elastic deflection stage. The external load work associated with the crack propagation sharply reduced at the temperatures below −100 °C, reaching the zero level at T = −196 °C;
- A possible reason for the DBT process in the high-nitrogen steel at low temperatures was great stresses formed due to: (i) enrichment of near-boundary zones with nitrogen, chromium, and manganese; (ii) a low thermal conductivity, which contributed to the formation of the quenching stresses, and (iii) a decrease in the volume of fcc lattice with lowering the test temperature. At T = 20 °C, the equilibrium content of nitrogen, forming an interstitial solid solution, transformed to the super-equilibrium one at T = −196 °C. In this case, the stresses reached the critical values, the relaxation of which could take place only by breaking the interatomic bonds without a significant effect of the dislocation mechanisms due to the plastic strains.
Author Contributions
Funding
Data Availability Statement
Acknowledgments
Conflicts of Interest
References
- Gavriliuk, V.G.; Berns, H. High Nitrogen Steels: Structure, Properties, Manufacture, Applications; Springer: Berlin, Germany, 1999; p. 135. [Google Scholar]
- Nordberg, H.; Bjorklund, J. Application of Stainless Steels; Avesta Research Foundation: Stockholm, Sweden, 1992; pp. 62–71. [Google Scholar]
- Katada, Y.; Sagara, M.; Kobayashi, Y.; Kodama, T. Fabrication of High Strength High Nitrogen Stainless Steel with Excellent Corrosion Resistance and Its Mechanical Properties. Mater. Manuf. Process. 2004, 19, 19–30. [Google Scholar] [CrossRef]
- Narkevich, N.A.; Deryugin, E.E.; Perevalova, O.B.; Vlasov, I.V. Effect of Ultrasonic Forging Strain Processing on the Surface Layer Microstructure and Temperature-Dependent Mechanical Properties of High Nitrogen Austenitic Steel. Mater. Sci. Eng. A 2022, 834, 142590. [Google Scholar] [CrossRef]
- Korshunov, L.G.; Goikhenberg, Y.N.; Tereshchenko, N.A.; Uvarov, A.I.; Makarov, A.V.; Chernenko, N.L. Wear Resistance and Surface Structure of Nitrogen-Containing Stainless Austenitic Steels upon Friction and Abrasive Wear. Phys. Met. Metallogr. 1997, 84, 554–561. [Google Scholar]
- Layus, P.; Kah, P.; Martikainen, J.; Pirinen, M.; Khlushova, E.; Ilyin, A. European and Russian Metals for Arctic Offshore Structures. In Proceedings of the International Offshore and Polar Engineering Conference, Anchorage, AK, USA, 30 June–5 July 2013. [Google Scholar]
- Tanaka, M.; Onomoto, T.; Tsuchiyama, T.; Higashida, K. Brittle-to-Ductile Transition in Nickel-Free Austenitic Stainless Steels with High Nitrogen. ISIJ Int. 2012, 52, 915–921. [Google Scholar] [CrossRef]
- Milititsky, M.; Matlock, D.K.; Regully, A.; Dewispelaere, N.; Penning, J.; Hanninen, H. Impact toughness properties of nickel-free austenic stainless steels. Mater. Sci. Eng. A 2008, 496, 189–199. [Google Scholar] [CrossRef]
- Xu, M.; Wang, J.; Liu, C. Low Temperature Deformation Behavior of High-Nitrogen Nickel-Free Austenitic Stainless Steels. Jinshu Xuebao/Acta Metall. Sin. 2011, 47, 1335–1341. [Google Scholar] [CrossRef]
- Tomota, Y.; Xia, Y.; Inoue, K. Mechanism of Low Temperature Brittle Fracture in High Nitrogen Bearing Austenitic Steels. Acta Mater. 1998, 46, 1577–1587. [Google Scholar] [CrossRef]
- Hwang, B.; Lee, T.H.; Park, S.J.; Oh, C.S.; Kim, S.J. Ductile-to-Brittle Transition Behavior of High-Nitrogen 18Cr-10Mn-0.35N Austenitic Steels Containing Ni and Cu. Mater. Sci. Forum 2010, 654, 158–161. [Google Scholar] [CrossRef]
- Hwang, B.; Lee, T.H.; Kim, S.J. Effect of Alloying Elements on Ductile-to-Brittle Transition Behavior of High-Interstitial-Alloyed 18Cr-10Mn Austenitic Steels. Procedia Eng. 2011, 10, 409–414. [Google Scholar] [CrossRef]
- Tian, K.V.; Passaretti, F.; Nespoli, A.; Placidi, E.; Condò, R.; Andreani, C.; Licoccia, S.; Chass, G.A.; Senesi, R.; Cozza, P. Composition—Nanostructure steered performance predictions in steel wires. Nanomaterials 2019, 9, 1119. [Google Scholar] [CrossRef]
- Tomota, Y.; Nakano, J.; Xia, Y.; Inoue, K. Unusual Strain Rate Dependence of Low Temperature Fracture Behavior in High Nitrogen Bearing Austenitic Steels. Acta Mater. 1998, 46, 3099–3108. [Google Scholar] [CrossRef]
- Sun, G.; Zhang, Y.; Sun, S.; Hu, J.; Jiang, Z.; Ji, C.; Lian, J. Plastic Flow Behavior and Its Relationship to Tensile Mechanical Properties of High Nitrogen Nickel-Free Austenitic Stainless Steel. Mater. Sci. Eng. A 2016, 662, 432–442. [Google Scholar] [CrossRef]
- Sun, G.; Yu, A.; Sun, S.; Ji, C.; Jiang, Z.; Lian, J. Plastic Deformation and Fracture Behaviour of High-Nitrogen Nickel-Free Austenitic Stainless Steel. Mater. Sci. Technol. 2017, 33, 1635–1644. [Google Scholar] [CrossRef]
- Williamson, G.K.; Hall, W.H. X-Ray Line Broadening from Filed Aluminium and Wolfram. Acta Metall. 1953, 1, 22–31. [Google Scholar] [CrossRef]
- Narkevich, N.; Deryugin, Y.; Mironov, Y. Effect of the Γ→ɛ Phase Transition on Transformation-induced Plasticity (Trip) of Nickel-free High Nitrogen Steel at Low Temperatures. Metals 2021, 11, 710. [Google Scholar] [CrossRef]
- Martin, S.; Wolf, S.; Martin, U.; Krüger, L.; Rafaja, D. Deformation Mechanisms in Austenitic TRIP/TWIP Steel as a Function of Temperature. Metall. Mater. Trans. A Phys. Metall. Mater. Sci. 2016, 47, 49–58. [Google Scholar] [CrossRef]
- Wang, W.; Yan, W.; Yang, K.; Shan, Y.; Jiang, Z. Temperature Dependence of Tensile Behaviors of Nitrogen-Alloyed Austenitic Stainless Steels. J. Mater. Eng. Perform. 2010, 19, 1214–1219. [Google Scholar] [CrossRef]
- Sagaradze, V.V.; Kataeva, N.V.; Kabanova, I.G.; Afanasev, S.V.; Pavlenko, A.V. Effect of the Temperature of Shock-Wave Loading on Structure and Phase Transformations in Nitrogen-Containing Austenitic Cr–Mn–Ni Steel. Phys. Met. Metallogr. 2020, 121, 683–688. [Google Scholar] [CrossRef]
- Narkevich, N.A.; Surikova, N.S. Deformation Behavior and Structural Evolution of Stainless Cr–Mn–N Steel during Low-Temperature Tension. Phys. Met. Metallogr. 2020, 121, 1175–1181. [Google Scholar] [CrossRef]
- Lee, T.H.; Shin, E.; Oh, C.S.; Ha, H.Y.; Kim, S.J. Correlation between Stacking Fault Energy and Deformation Microstructure in High-Interstitial-Alloyed Austenitic Steels. Acta Mater. 2010, 58, 3173–3186. [Google Scholar] [CrossRef]
- Panin, S.V.; Maruschak, P.O.; Vlasov, I.V.; Sergeev, V.P.; Ovechkin, B.B.; Neifeld, V.V. Impact Toughness of 12Cr1MoV Steel. Part 2—Influence of High Intensity Ion Beam Irradiation on Energy and Deformation Parameters and Mechanisms of Fracture. Theor. Appl. Fract. Mech. 2016, 83, 82–92. [Google Scholar] [CrossRef]
- Ojima, M.; Adachi, Y.; Tomota, Y.; Ikeda, K.; Kamiyama, T.; Katada, Y. Work Hardening Mechanism in High Nitrogen Austenitic Steel Studied by in Situ Neutron Diffraction and in Situ Electron Backscattering Diffraction. Mater. Sci. Eng. A 2009, 527, 16–24. [Google Scholar] [CrossRef]
- Gandhi, C.; Ashby, M.F. Fracture-Mechanism Maps for Materials which Cleave: F.C.C., B.C.C. and H.C.P. Metals and Ceramics. In Perspectives in Creep Fracture; Elsevier: Amsterdam, The Netherlands, 1983. [Google Scholar] [CrossRef]
- Hwang, B.; Lee, T.H.; Park, S.J.; Oh, C.S.; Kim, S.J. Correlation of Austenite Stability and Ductile-to-Brittle Transition Behavior of High-Nitrogen 18Cr-10Mn Austenitic Steels. Mater. Sci. Eng. A 2011, 528, 7257–7266. [Google Scholar] [CrossRef]
- Kim, J.M.; Kim, S.J.; Kang, J.H. Effects of Short-Range Ordering and Stacking Fault Energy on Tensile Behavior of Nitrogen-Containing Austenitic Stainless Steels. Mater. Sci. Eng. A 2022, 836, 142730. [Google Scholar] [CrossRef]
- Masumura, T.; Seto, Y.; Tsuchiyama, T.; Kimura, K. Work-Hardening Mechanism in High-Nitrogen Austenitic Stainless Steel. Mater. Trans. 2020, 61, 678–684. [Google Scholar] [CrossRef]
- Kubota, S.; Xia, Y.; Tomota, Y. Work-Hardening Behavior and Evolution of Dislocation-Microstructures in High-Nitrogen Bearing Austenitic Steels. ISIJ Int. 1998, 38, 474–481. [Google Scholar] [CrossRef]
- Simmons, J.W. Overview: High-Nitrogen Alloying of Stainless Steels. Mater. Sci. Eng. A 1996, 207, 159–169. [Google Scholar] [CrossRef]
- Narkevich, N.; Surikova, N.; Vlasov, I.; Narkevich, V.; Deryugin, Y.; Perevalova, O. Effect of Electron-Beam Treatment on the Elemental Composition and Static Displacements of Atoms in the Nearsurface Layer of Cr-Mn-N Austenitic Steel. AIP Conf. Proc. 2019, 2167, 020238. [Google Scholar] [CrossRef]
- Lee, T.H.; Oh, C.S.; Kim, S.J. Effects of Nitrogen on Deformation-Induced Martensitic Transformation in Metastable Austenitic Fe-18Cr-10Mn-N Steels. Scr. Mater. 2008, 58, 110–113. [Google Scholar] [CrossRef]
- Lee, T.H.; Ha, H.Y.; Hwang, B.; Kim, S.J.; Shin, E. Effect of Carbon Fraction on Stacking Fault Energy of Austenitic Stainless Steels. Metall. Mater. Trans. A 2012, 43, 4455–4459. [Google Scholar] [CrossRef]
- Wang, S.; Yang, K.; Shan, Y.; Li, L. Plastic Deformation and Fracture Behaviors of Nitrogen-Alloyed Austenitic Stainless Steels. Mater. Sci. Eng. A 2008, 490, 95–104. [Google Scholar] [CrossRef]
- Liu, S.; Liu, D.; Liu, S. Transgranular Fracture in Low Temperature Brittle Fracture of High Nitrogen Austenitic Steel. J. Mater. Sci. 2007, 42, 7514–7519. [Google Scholar] [CrossRef]
- Vologzhanina, S.A.; Ermakov, B.S.; Peregudov, A.A. Research of Properties of Cast Austenitic Steels for Low-Temperature Equipment. In IOP Conference Series: Earth and Environmental Science; IOP Publishing: Bristol, UK, 2022; Volume 459. [Google Scholar] [CrossRef]
- Petrov, Y.N.; Ryzhkov, Y.T. Influence of alloying elements on the structural sensitivity of stacking fault energy in stainless steels. Metallophysics 1983, 5, 66–70. (In Russian) [Google Scholar]
- Narkevich, N.A.; Durakov, V.G.; Surikova, N.S.; Mironov, Y.P.; Mel’nikov, A.G.; Perevalova, O.B.; Shugurov, A.R.; Shulepov, I.A.; Narkevich, V.V. Structure and Lattice Strains in the Surface Cr–Mn–N Steel Layer Formed by a Combination of Friction and Electron-Beam Treatments. Phys. Met. Metallogr. 2019, 120, 1071–1077. [Google Scholar] [CrossRef]
- Sabzi, M.; Farzam, M. Hadfield Manganese Austenitic Steel: A Review of Manufacturing Processes and Properties. Mater. Res. Express 2019, 6, 1065c2. [Google Scholar] [CrossRef]
- Yan, J.-B.; Geng, Y.; Xie, P.; Xie, J. Low-temperature mechanical properties of stainless steel 316L: Tests and constitutive models. Constr. Build. Mater. 2022, 343, 128122. [Google Scholar] [CrossRef]












| Element | Cr | Mn | Si | Ni | C | N | P | S | Fe |
|---|---|---|---|---|---|---|---|---|---|
| Weight, % | 16.50 | 18.81 | 0.52 | 0.24 | 0.07 | 0.53 | 0.01 | 0.001 | Bal. |
Disclaimer/Publisher’s Note: The statements, opinions and data contained in all publications are solely those of the individual author(s) and contributor(s) and not of MDPI and/or the editor(s). MDPI and/or the editor(s) disclaim responsibility for any injury to people or property resulting from any ideas, methods, instructions or products referred to in the content. |
© 2023 by the authors. Licensee MDPI, Basel, Switzerland. This article is an open access article distributed under the terms and conditions of the Creative Commons Attribution (CC BY) license (https://creativecommons.org/licenses/by/4.0/).
Share and Cite
Narkevich, N.; Vlasov, I.; Volochaev, M.; Gomorova, Y.; Mironov, Y.; Panin, S.; Berto, F.; Maksimov, P.; Deryugin, E. Low-Temperature Deformation and Fracture of Cr-Mn-N Stainless Steel: Tensile and Impact Bending Tests. Metals 2023, 13, 95. https://doi.org/10.3390/met13010095
Narkevich N, Vlasov I, Volochaev M, Gomorova Y, Mironov Y, Panin S, Berto F, Maksimov P, Deryugin E. Low-Temperature Deformation and Fracture of Cr-Mn-N Stainless Steel: Tensile and Impact Bending Tests. Metals. 2023; 13(1):95. https://doi.org/10.3390/met13010095
Chicago/Turabian StyleNarkevich, Natalia, Ilya Vlasov, Mikhail Volochaev, Yulia Gomorova, Yury Mironov, Sergey Panin, Filippo Berto, Pavel Maksimov, and Evgeny Deryugin. 2023. "Low-Temperature Deformation and Fracture of Cr-Mn-N Stainless Steel: Tensile and Impact Bending Tests" Metals 13, no. 1: 95. https://doi.org/10.3390/met13010095
APA StyleNarkevich, N., Vlasov, I., Volochaev, M., Gomorova, Y., Mironov, Y., Panin, S., Berto, F., Maksimov, P., & Deryugin, E. (2023). Low-Temperature Deformation and Fracture of Cr-Mn-N Stainless Steel: Tensile and Impact Bending Tests. Metals, 13(1), 95. https://doi.org/10.3390/met13010095

