Enhanced Magnetocaloric Properties of Annealed Melt-Extracted Mn1.3Fe0.6P0.5Si0.5 Microwires
Abstract
1. Introduction
2. Materials and Methods
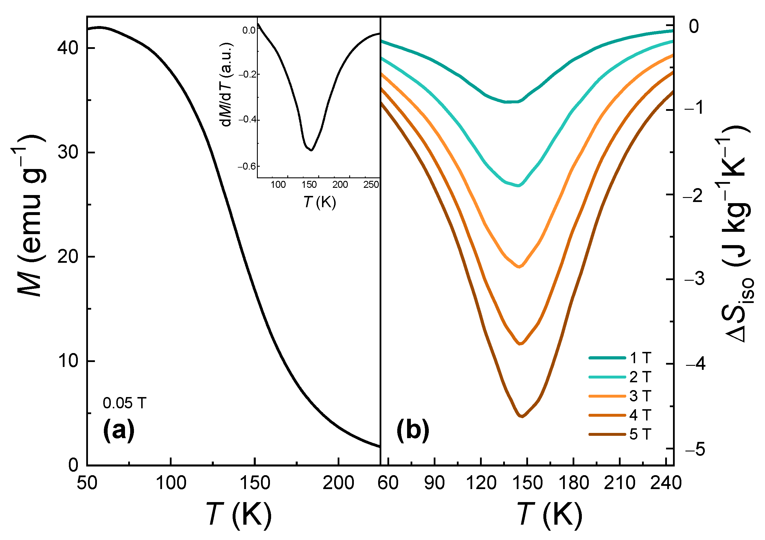
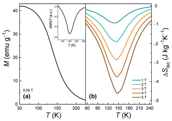
3. Results and Discussion
4. Conclusions
Author Contributions
Funding
Institutional Review Board Statement
Informed Consent Statement
Data Availability Statement
Conflicts of Interest
References
- Franco, V.; Blázquez, J.S.; Ipus, J.J.; Law, J.Y.; Moreno-Ramírez, L.M.; Conde, A. Magnetocaloric effect: From materials research to refrigeration devices. Prog. Mater. Sci. 2018, 93, 112–232. [Google Scholar] [CrossRef]
- Phan, M.H.; Yu, S.C. Review of the magnetocaloric effect in manganite materials. J. Magn. Magn. Mater. 2007, 308, 325–340. [Google Scholar] [CrossRef]
- Waske, A.; Gruner, M.E.; Gottschall, T.; Gutfleisch, O. Magnetocaloric materials for refrigeration near room temperature. Mrs Bull. 2018, 43, 269–273. [Google Scholar] [CrossRef]
- Franco, V.; Blázquez, J.S.; Ingale, B.; Conde, A. The Magnetocaloric effect and magnetic refrigeration near room temperature: Materials and models. Annu. Rev. Mater. Res. 2012, 42, 305–342. [Google Scholar] [CrossRef]
- Kitanovski, A. Energy Applications of Magnetocaloric Materials. Adv. Energy Mater. 2020, 10, 1903741. [Google Scholar] [CrossRef]
- Law, J.Y.; Franco, V. Pushing the limits of magnetocaloric high-entropy alloys. APL Mater. 2021, 9, 80702. [Google Scholar] [CrossRef]
- Law, J.Y.; Franco, V. Review on magnetocaloric high-entropy alloys: Design and analysis methods. J. Mater. Res. 2022; in press. [Google Scholar] [CrossRef]
- Zarkevich, N.A.; Zverev, V.I. Viable materials with a giant magnetocaloric effect. Crystals 2020, 10, 815. [Google Scholar] [CrossRef]
- Lai, J.; Tang, X.; Sepehri-Amin, H.; Hono, K. Tuning transition temperature of magnetocaloric Mn1.8Fe0.2(P0.59Si0.41)x alloys for cryogenic magnetic refrigeration. Scr. Mater. 2020, 183, 127–132. [Google Scholar] [CrossRef]
- Zhang, F.; Taake, C.; Huang, B.; You, X.; Ojiyed, H.; Shen, Q.; Dugulan, I.; Caron, L.; van Dijk, N.; Brück, E. Magnetocaloric effect in the (Mn,Fe)2(P,Si) system: From bulk to nano. Acta Mater. 2022, 224, 117532. [Google Scholar] [CrossRef]
- Miao, X.F.; Hu, S.Y.; Xu, F.; Brück, E. Overview of magnetoelastic coupling in (Mn, Fe)2(P, Si)-type magnetocaloric materials. Rare Metals 2018, 37, 723–733. [Google Scholar] [CrossRef]
- Lai, J.W.; Zheng, Z.G.; Huang, B.W.; Yu, H.Y.; Qiu, Z.G.; Mao, Y.L.; Zhang, S.; Xiao, F.M.; Zeng, D.C.; Goubitz, K.; et al. Microstructure formation and magnetocaloric effect of the Fe2P-type phase in (Mn,Fe)2(P,Si,B) alloys. J. Alloys Compd. 2018, 735, 2567–2573. [Google Scholar] [CrossRef]
- Zhang, F.; Batashev, I.; Shen, Q.; Wu, Z.; Smith, R.I.; de Wijs, G.A.; van Dijk, N.; Brück, E. Impact of F and S doping on (Mn,Fe)2(P,Si) giant magnetocaloric materials. Acta Mater. 2022, 234, 118057. [Google Scholar] [CrossRef]
- Kim, S.; Shin, H.; Chu, I.; Lee, K.; Lee, K.H.; Lee, W. Tunable Curie temperature in Mn1.15Fe0.85P0.55Si0.45 via lattice engineering by Al addition. J. Alloys Compd. 2022, 890, 161798. [Google Scholar] [CrossRef]
- Zheng, Z.G.; Tan, Z.C.; Yu, H.Y.; Zhang, J.L.; Zeng, D.C.; Franco, V. Structural, magnetic properties and magnetocaloric effect of Mn1.2Fe0.8P1−xSixB0.03 compounds. Mater. Res. Bull. 2016, 77, 29–34. [Google Scholar] [CrossRef]
- Zheng, Z.G.; Wang, W.H.; Zhou, Q.; Lei, L.; Hong, Y.; Zeng, D.C.; Mozharivskyj, Y. Microstructure and magnetocaloric effects of Mn1.2Fe0.8P0.6Si0.4B0.05 alloys prepared by ball milling and spinning methods. J. Magn. Magn. Mater. 2019, 477, 203–208. [Google Scholar] [CrossRef]
- Tu, D.; Li, J.; Zhang, R.; Hu, Q.; Li, J. Microstructure evolution, solidification characteristic and magnetocaloric properties of MnFeP0.5Si0.5 particles by droplet melting. Intermetallics 2021, 131, 107102. [Google Scholar] [CrossRef]
- Tu, D.; Li, J.; Dong, Z.; Zeng, L.; Xia, M.; Hu, Q.; Li, J. Effect of heat treatment on microstructure evolution and magnetocaloric properties of droplet melted Mn-Fe-P-Si alloys. J. Mater. Res. Technol. 2022, 20, 1593–1602. [Google Scholar] [CrossRef]
- Shen, H.; Wang, H.; Liu, J.; Xing, D.; Qin, F.; Cao, F.; Chen, D.; Liu, Y.; Sun, J. Enhanced magnetocaloric and mechanical properties of melt-extracted Gd55Al25Co20 micro-fibers. J. Alloys Compd. 2014, 603, 167–171. [Google Scholar] [CrossRef]
- Qin, F.X.; Bingham, N.S.; Wang, H.; Peng, H.X.; Sun, J.F.; Franco, V.; Yu, S.C.; Srikanth, H.; Phan, M.H. Mechanical and magnetocaloric properties of Gd-based amorphous microwires fabricated by melt-extraction. Acta Mater. 2013, 61, 1284–1293. [Google Scholar] [CrossRef]
- Yin, H.; Law, J.Y.; Huang, Y.; Shen, H.; Jiang, S.; Guo, S.; Franco, V.; Sun, J. Enhancing the magnetocaloric response of high-entropy metallic-glass by microstructural control. Sci. China Mater. 2022, 65, 1134–1142. [Google Scholar] [CrossRef]
- Yin, H.; Law, J.; Huang, Y.; Franco, V.; Shen, H.; Jiang, S.; Bao, Y.; Sun, J. Design of Fe-containing GdTbCoAl high-entropy-metallic-glass composite microwires with tunable Curie temperatures and enhanced cooling efficiency. Mater. Des. 2021, 206, 109824. [Google Scholar] [CrossRef]
- Shen, H.; Luo, L.; Bao, Y.; Yin, H.; Jiang, S.; Zhang, L.; Huang, Y.; Feng, S.; Xing, D.; Liu, J.; et al. New DyHoCo medium entropy amorphous microwires of large magnetic entropy change. J. Alloys Compd. 2020, 837, 155431. [Google Scholar] [CrossRef]
- Vuarnoz, D.; Kawanami, T. Numerical analysis of a reciprocating active magnetic regenerator made of gadolinium wires. Appl. Therm. Eng. 2012, 37, 388–395. [Google Scholar] [CrossRef]
- Kuz’Min, M.D. Factors limiting the operation frequency of magnetic refrigerators. Appl. Phys. Lett. 2007, 90, 251916. [Google Scholar] [CrossRef]
- He, A.; Mozharivskyj, Y. Structural and magnetic properties of the MnFeSixP1−x magnetocaloric phases. Intermetallics 2019, 105, 56–60. [Google Scholar] [CrossRef]
- He, A.; Svitlyk, V.; Mozharivskyj, Y. Synthetic Approach for (Mn,Fe)2(Si,P) Magnetocaloric Materials: Purity, Structural, Magnetic, and Magnetocaloric Properties. Inorg. Chem. 2017, 56, 2827–2833. [Google Scholar] [CrossRef]
- Pęczkowski, P.; Zachariasz, P.; Kowalik, M.; Tokarz, W.; Naik, S.P.K.; Żukrowski, J.; Jastrzębski, C.; Dadiel, L.J.; Tabiś, W.; Gondek, A. Iron diffusivity into superconducting YBa2Cu3O7−δ at oxygen-assisted sintering: Structural, magnetic, and transport properties. J. Eur. Ceram. Soc. 2021, 41, 7085–7097. [Google Scholar] [CrossRef]
- Li, C.F.; Zheng, Z.G.; Wang, W.H.; Liu, J.Y.; Lei, L.; Zeng, D.C. Effect of M/NM ratios on structural and magnetic properties of (Mn,Fe)2(P,Si) compounds. Phys. B Condens. Matter 2020, 594, 412309. [Google Scholar] [CrossRef]
- Grebenkemper, J.H.; Bocarsly, J.D.; Levin, E.E.; Seward, G.; Heikes, C.; Brown, C.; Misra, S.; Seeler, F.; Schierle-Arndt, K.; Wilson, S.D.; et al. Rapid Microwave Preparation and Composition Tuning of the High-Performance Magnetocalorics (Mn,Fe)2(P,Si). ACS Appl. Mater. Inter. 2018, 10, 7208–7213. [Google Scholar] [CrossRef]
- Franco, V. Determination of the Magnetic Entropy Change from Magnetic Measurements: The Importance of the Measurement Protocol. Available online: http://www.lakeshore.com/docs/default-source/software/vsm/mce-software/determination-of-the-magnetic-entropy-change-from-magnetic-measurements.pdf?sfvrsn=d14f68c1_2 (accessed on 16 September 2014).
- Zheng, Z.; Wang, H.; Li, C.; Chen, X.; Zeng, D.; Yuan, S. Enhancement of Magnetic Properties and Magnetocaloric Effects for Mn0.975Fe0.975P0.5Si0.5 Alloys by Optimizing Quenching Temperature. Adv. Eng. Mater. 2022, 2022, 2200160. [Google Scholar] [CrossRef]
- Pęczkowski, P.; Buszczek, M.; Szostak, E.; Muniraju, N.K.C.; Krztoń-Maziopa, A.; Gondek, A. Superconductivity and appearance of negative magnetocaloric effect in Ba1−XKXBiO3 perovskites, doped by Y, La and Pr. Acta Mater. 2022, 222, 117437. [Google Scholar] [CrossRef]
- Habiba, U.E.; Khattak, K.S.; Ali, S.; Khan, Z.H. MnAs and MnFeP1−xAsx-based magnetic refrigerants: A review. Mater. Res. Express 2020, 7, 46106. [Google Scholar] [CrossRef]




Publisher’s Note: MDPI stays neutral with regard to jurisdictional claims in published maps and institutional affiliations. |
© 2022 by the authors. Licensee MDPI, Basel, Switzerland. This article is an open access article distributed under the terms and conditions of the Creative Commons Attribution (CC BY) license (https://creativecommons.org/licenses/by/4.0/).
Share and Cite
Luo, L.; Law, J.Y.; Shen, H.; Moreno-Ramírez, L.M.; Franco, V.; Guo, S.; Duc, N.T.M.; Sun, J.; Phan, M.-H. Enhanced Magnetocaloric Properties of Annealed Melt-Extracted Mn1.3Fe0.6P0.5Si0.5 Microwires. Metals 2022, 12, 1536. https://doi.org/10.3390/met12091536
Luo L, Law JY, Shen H, Moreno-Ramírez LM, Franco V, Guo S, Duc NTM, Sun J, Phan M-H. Enhanced Magnetocaloric Properties of Annealed Melt-Extracted Mn1.3Fe0.6P0.5Si0.5 Microwires. Metals. 2022; 12(9):1536. https://doi.org/10.3390/met12091536
Chicago/Turabian StyleLuo, Lin, Jia Yan Law, Hongxian Shen, Luis M. Moreno-Ramírez, Victorino Franco, Shu Guo, Nguyen Thi My Duc, Jianfei Sun, and Manh-Huong Phan. 2022. "Enhanced Magnetocaloric Properties of Annealed Melt-Extracted Mn1.3Fe0.6P0.5Si0.5 Microwires" Metals 12, no. 9: 1536. https://doi.org/10.3390/met12091536
APA StyleLuo, L., Law, J. Y., Shen, H., Moreno-Ramírez, L. M., Franco, V., Guo, S., Duc, N. T. M., Sun, J., & Phan, M.-H. (2022). Enhanced Magnetocaloric Properties of Annealed Melt-Extracted Mn1.3Fe0.6P0.5Si0.5 Microwires. Metals, 12(9), 1536. https://doi.org/10.3390/met12091536

