Effect of Annealing Temperatures on Phase Stability, Mechanical Properties, and High-Temperature Steam Corrosion Resistance of (FeNi)67Cr15Mn10Al5Ti3 Alloy
Abstract
1. Introduction
2. Materials and Methods
3. Results and Discussion
3.1. Analysis of Phase and Microstructure Evolution
3.2. Hardness and Tensile Properties
3.3. Hot Corrosion Properties
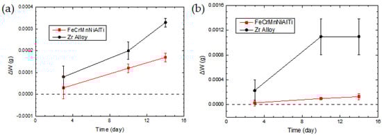
3.3.1. Corrosion Weight Loss Curve
3.3.2. Hot Corrosion Morphology
4. Conclusions
Author Contributions
Funding
Institutional Review Board Statement
Informed Consent Statement
Data Availability Statement
Acknowledgments
Conflicts of Interest
References
- George, E.P.; Raabe, D.; Ritchie, R.O. High-entropy Alloys. Nat. Rev. Mater. 2019, 4, 515–534. [Google Scholar] [CrossRef]
- Tianxin, L.I.; Yiping, L.U.; Zhiqiang, C.A.O.; Tongmin, W.A.N.G.; Tingju, L.I. Opportunity and Challenge of Refractory High-Entropy Alloys in the Field of Reactor Structural Materials. Acta Met. Sin. 2021, 57, 42–54. [Google Scholar]
- Tsai, M.H.; Yeh, J.W. High-Entropy Alloys: A Critical Review. Mater. Res. Lett. 2014, 2, 107–123. [Google Scholar] [CrossRef]
- Lu, Z.; Wang, H.; Chen, M.; Baker, I.; Yeh, J.; Liu, C.; Nieh, T. An Assessment on the Future Development of High-entropy Alloys: Summary from a Recent Workshop. Intermetallics 2015, 66, 67–76. [Google Scholar] [CrossRef]
- Senkov, O.; Zhang, C.; Pilchak, A.; Payton, E.; Woodward, C.; Zhang, F. CALPHAD-aided Development of Quaternary Multi-principal Element Refractory Alloys based on NbTiZr. J. Alloys Compd. 2019, 783, 729–742. [Google Scholar] [CrossRef]
- Choi, W.-M.; Jo, Y.H.; Sohn, S.S.; Lee, S.; Lee, B.-J. Understanding the Physical Metallurgy of the CoCrFeMnNi High-entropy Alloy: An Atomistic Simulation Study. NPJ Comput. Mater. 2018, 4, 9. [Google Scholar] [CrossRef]
- Tsai, M.-H.; Tsai, K.-Y.; Tsai, C.-W.; Lee, C.; Juan, C.-C.; Yeh, J.-W. Criterion for Sigma Phase Formation in Cr- and V-Containing High-Entropy Alloys. Mater. Res. Lett. 2013, 1, 207–212.S. [Google Scholar] [CrossRef]
- Levenets, A.; Kolodiy, I.; Berezhnaya, N.; Lipovskaya, Y. Influence of Composition and Microstructure on the Features of Mechanical Properties of Co-Cr-Fe-Mn-Ni High Entropy Alloys. East Eur. J. Phys. 2017, 4, 70. [Google Scholar] [CrossRef][Green Version]
- Laplanche, G.; Volkert, U.F.; Eggeler, G.; George, E. Oxidation Behavior of the CrMnFeCoNi High-Entropy Alloy. Oxid. Met. 2016, 85, 629–645. [Google Scholar] [CrossRef]
- Varvenne, C.; Luque, A.; Curtin, W.A. Theory of Strengthening in fcc High Entropy Alloys. Acta Mater. 2016, 118, 164–176. [Google Scholar] [CrossRef]
- Laplanche, G.; Bonneville, J.; Varvenne, C.; Curtin, W.A.; George, E.P. Thermal Activation Parameters of Plastic Flow Reveal Deformation Mechanisms in the CrMnFeCoNi High-entropy Alloy. Acta Mater. 2018, 143, 257–264. [Google Scholar] [CrossRef]
- Pickering, E.; Muñoz-Moreno, R.; Stone, H.; Jones, N. Precipitation in the Equiatomic High-entropy Alloy CrMnFeCoNi. Scr. Mater. 2016, 113, 106–109. [Google Scholar] [CrossRef]
- Otto, F.; Dlouhý, A.; Pradeep, K.; Kuběnová, M.; Raabe, D.; Eggeler, G.; George, E. Decomposition of the Single-phase High-entropy Alloy CrMnFeCoNi after Prolonged Anneals at Intermediate Temperatures. Acta Mater. 2016, 112, 40–52. [Google Scholar] [CrossRef]
- Shahmir, H.; He, J.; Lu, Z.; Kawasaki, M.; Langdon, T.G. Effect of Annealing on Mechanical Properties of a Nanocrystalline CoCrFeNiMn High-entropy Alloy Processed by High-pressure Torsion. Mater. Sci. Eng. 2016, 676, 294–303. [Google Scholar] [CrossRef]
- Yao, X.F.; Wei, J.P.; Lv, Y.K.; LI, T. Precipitation σ Phase Evoluation and Mechanical Properties of (CoCrFeMnNi)97.02Mo2.98 High Entropy Alloy. Acta Metall. Sin. 2020, 56, 769–775. [Google Scholar]
- Tang, Z.; Gao, M.C.; Diao, H.; Yang, T.; Liu, J.; Zuo, T.; Zhang, Y.; Lu, Z.; Cheng, Y.; Zhang, Y.; et al. Aluminum Alloying Effects on Lattice Types, Microstructures, and Mechanical Behavior of High-Entropy Alloys Systems. JOM 2013, 65, 1848–1858. [Google Scholar] [CrossRef]
- Cao, Y.H.; Wang, L.L.; Wu, Q.F.; He, F.; Zhang, Z.; Wang, Z. Partially Recrystallized Structure and Mechanical Properties of CoCrFeNiMo0.2 High-Entropy Alloy. Acta Metall. Sin. 2020, 56, 333–339. [Google Scholar]
- Wang, W.R.; Lin, W.; Yeh, J.W. Phases, Microstructure and Mechanical Properties of AlxCoCrFeNi High-entropy Alloys at Elevated Temperatures. J. Alloys Compd. 2014, 589, 143–152. [Google Scholar] [CrossRef]
- Ke, G.Y.; Chen, S.W.; Hsu, T.; Yeh, J.W. FCC and BCC Equivalents in as-cast Solid Solutions of AlxCoyCrzCu0.5FevNiW High-entropy Alloys. Proc. Prehist. Soc. 2006, 31, 669–681. [Google Scholar] [CrossRef]
- Hou, L.L.; Yao, Y.H.; Liang, X.Y.; Jian, C. Microstructure and Mechanical Properties of AlxFeCoNiB0.1 High Entropy Alloy. Rare Met. Mater. Eng. 2019, 48, 111–115. [Google Scholar]
- Zaddach, A.; Niu, C.; Koch, C.C.; Irving, D.L. Mechanical Properties and Stacking Fault Energies of NiFeCrCoMn High-entropy Alloy. JOM 2013, 65, 1780–1789. [Google Scholar] [CrossRef]
- Zaddach, A.J.; Scattergood, R.O.; Koch, C.C. Tensile Properties of Low-stacking Fault Energy High-entropy Alloys. Mater. Sci. Eng. 2015, 636, 373–378. [Google Scholar] [CrossRef]
- Ming, K.; Bi, X.; Wang, J. Microstructures and Deformation Mechanisms of Cr26Mn20Fe20Co20Ni14 Alloys. Mater. Charact. 2017, 134, 194–201. [Google Scholar] [CrossRef]
- Wang, H.W.; He, Z.F.; Jia, N. Microstructure and Mechanical Properties of a FeMnCoCr High-Entropy Alloy with Heterogeneous Structure. Acta Metall. Sin. 2021, 57, 632–640. [Google Scholar]
- Qian, Y.U.; Yujie, C.H.E.N.; Yan, F.A.N.G. Heterogeneity in Chemical Distribution and Its Impact in High-Entropy Alloys. Acta Metall. Sin. 2021, 57, 393–402. [Google Scholar]
- Braeckman, B.; Misják, F.; Radnóczi, G.; Depla, D. The Influence of Ge and in Addition on the Phase Formation of CoCrCuFeNi High-entropy Alloy Thin Films. Thin Solid Film. 2016, 616, 703–710. [Google Scholar] [CrossRef]
- Hou, L.L.; Hui, J.T.; Yao, Y.H.; Chen, J.; Liu, J. Effects of Boron Content on microstructure and mechanical properties of CoFeNiAlBx High Entropy Alloy Prepared by vacuum arc melting. Vaccum 2019, 164, 212–218. [Google Scholar] [CrossRef]
- Zhao, W.-L.; Miao, D.-H.; Zhang, Y.; He, Z.-B. Big-data Analysis of Phase-formation Rules in High-entropy Alloys. J. Iron Steel Res. 2017, 24, 358–365. [Google Scholar] [CrossRef]
- Prasad, H.; Singh, S.; Panigrahi, B. Mechanical Activated Synthesis of Alumina Dispersed FeNiCoCrAlMn High Entropy Alloy. J. Alloys Compd. 2017, 692, 720–726. [Google Scholar] [CrossRef]
- Wang, Z.; Huang, Y.; Yang, Y.; Wang, J.; Liu, C. Atomic-size Effect and Solid Solubility of Multicomponent Alloys. Scr. Mater. 2015, 94, 28–31. [Google Scholar] [CrossRef]
- Guo, S.; Hu, Q.; Ng, C.; Liu, C. More than Entropy in High-entropy Alloys: Forming Solid Solutions or Amorphous Phase. Intermetallics 2013, 41, 96–103. [Google Scholar] [CrossRef]
- Kamachali, R.D.; Wang, L. Elastic Energy of Multi-component Solid Solutions and Strain Origins of Phase Stability in High-entropy Alloys. Scr. Mater. 2022, 206, 114226. [Google Scholar] [CrossRef]
- Ye, J.W.; Chen, S.K.; Lin, S.J.; Gan, J.Y.; Chin, T.S.; Shun, T.T.; Tsau, C.-H.; Chang, S.-Y. Nanostructured High-entropy Alloys with Multi-principal Elements-novel Alloy Design Concepts and Outcomes. Adv. Eng. Mater. 2004, 6, 299–303. [Google Scholar]
- Yeh, J.W.; Lin, S.J.; Chi, T.S.; Gan, J.Y.; Chen, S.K.; Shun, T.T.; Tsau, C.-H.; Chou, S.-Y. Formation of Simple Crystal Structures in Solid-solution Alloys with Multi-principal Metallic Elements. Metall. Mater. Trans. 2004, 35, 2533–2536. [Google Scholar] [CrossRef]
- Liu, W.H.; Wu, Y.; He, J.Y.; Nieh, T.G.; Lu, Z.P. Grain Growth and the Hall-Petch Relationship in a High Entropy FeCrNiCoMn Alloy. Scr. Mater. 2013, 68, 2628–2638. [Google Scholar] [CrossRef]
- Pavlina, E.J.; Tyne, C.J.V. Correlation of Yield Strength and Tensile Strength with Hardness for Steels. J. Mater. Eng. Perform. 2008, 17, 888–893. [Google Scholar] [CrossRef]
- Zhu, Z.G.; Ma, K.H.; Yang, X.; Shek, C.H. Annealing Effect on the Phase Stability and Mechanical Properties of (FeNiCrMn)(100 − x)Cox High Entropy Alloys. J. Alloys Compd. 2017, 695, 2945–2950. [Google Scholar] [CrossRef]
- Salishchev, G.; Tikhonovsky, M.; Shaysultanov, D.; Stepanov, N.; Kuznetsov, A.; Kolodiy, I.; Tortika, A.; Senkov, O. Effect of Mn and V on Structure and Mechanical Properties of High-entropy Alloys based on CoCrFeNi System. J. Alloys Compd. 2014, 591, 11–21. [Google Scholar] [CrossRef]














| Elements | A | B |
|---|---|---|
| Al/wt.% | 3.51 | 2.62 |
| Ti/wt.% | 6.74 | 3.50 |
| Cr/wt.% | 7.93 | 12.70 |
| Mn/wt.% | 14.84 | 11.06 |
| Fe/wt.% | 18.78 | 29.75 |
| Ni/wt.% | 48.20 | 40.36 |
| Total | 100 | |
| Samples | Elongation after Breaking (%) | Tensile Strength (MPa) | Yield Strength (MPa) | Specified Plastic Elongation Strength (MPa) |
|---|---|---|---|---|
| as-cast | 29.1 | 821.3 | 694.7 | 570.9 |
| 700 °C | 26.3 | 919.2 | 777.9 | 302.7 |
| 800 °C | 55.6 | 645.2 | 381.8 | 190.9 |
| 900 °C | 50.3 | 666.6 | 402.2 | 216.1 |
| 1000 °C | 72.6 | 688.7 | 363.0 | 224.2 |
| Particles Size | Analysis Point | O | Fe | Cr | Mn | Ni | Al | Ti |
|---|---|---|---|---|---|---|---|---|
| Large particle | 36 | 40.0 | 17.5 | 12.8 | 6.5 | 20.2 | 1.7 | 1.3 |
| Large particle | 41 | 25.7 | 21.9 | 13.7 | 8.4 | 26.8 | 1.5 | 1.9 |
| base | 37 | 17.4 | 23.2 | 11.9 | 10.4 | 32.9 | 1.5 | 2.6 |
| base | 40 | 15.6 | 23.5 | 12.1 | 10.7 | 33.9 | 1.6 | 2.6 |
| base | 42 | 12.2 | 24.1 | 12.2 | 11.5 | 35.6 | 1.5 | 2.8 |
| base | 43 | 13.9 | 24.9 | 12.6 | 10.9 | 33.8 | 1.5 | 2.5 |
| base | 44 | 24.4 | 22.5 | 12.1 | 9.0 | 28.5 | 1.3 | 2.2 |
| granule | 38 | 24.1 | 24.4 | 15.4 | 7.9 | 25.1 | 1.6 | 1.5 |
| granule | 39 | 25.7 | 24.2 | 15.0 | 7.8 | 24.3 | 1.6 | 1.3 |
| granule | 45 | 29.5 | 23.0 | 14.5 | 7.3 | 22.8 | 1.5 | 1.4 |
| granule | 46 | 26.5 | 23.7 | 15.2 | 7.6 | 23.8 | 1.7 | 1.3 |
Publisher’s Note: MDPI stays neutral with regard to jurisdictional claims in published maps and institutional affiliations. |
© 2022 by the authors. Licensee MDPI, Basel, Switzerland. This article is an open access article distributed under the terms and conditions of the Creative Commons Attribution (CC BY) license (https://creativecommons.org/licenses/by/4.0/).
Share and Cite
Cai, Z.; Jiang, F.; Wei, N.; Mi, L.; Zhang, C.; Liu, X.; Si, F.; Wu, T. Effect of Annealing Temperatures on Phase Stability, Mechanical Properties, and High-Temperature Steam Corrosion Resistance of (FeNi)67Cr15Mn10Al5Ti3 Alloy. Metals 2022, 12, 1467. https://doi.org/10.3390/met12091467
Cai Z, Jiang F, Wei N, Mi L, Zhang C, Liu X, Si F, Wu T. Effect of Annealing Temperatures on Phase Stability, Mechanical Properties, and High-Temperature Steam Corrosion Resistance of (FeNi)67Cr15Mn10Al5Ti3 Alloy. Metals. 2022; 12(9):1467. https://doi.org/10.3390/met12091467
Chicago/Turabian StyleCai, Zhen, Fengyang Jiang, Na Wei, Lei Mi, Chenhui Zhang, Xiaohua Liu, Fang Si, and Tiandong Wu. 2022. "Effect of Annealing Temperatures on Phase Stability, Mechanical Properties, and High-Temperature Steam Corrosion Resistance of (FeNi)67Cr15Mn10Al5Ti3 Alloy" Metals 12, no. 9: 1467. https://doi.org/10.3390/met12091467
APA StyleCai, Z., Jiang, F., Wei, N., Mi, L., Zhang, C., Liu, X., Si, F., & Wu, T. (2022). Effect of Annealing Temperatures on Phase Stability, Mechanical Properties, and High-Temperature Steam Corrosion Resistance of (FeNi)67Cr15Mn10Al5Ti3 Alloy. Metals, 12(9), 1467. https://doi.org/10.3390/met12091467
