Investigation of Hot Deformation Behavior and Microstructure Evolution of Lightweight Fe-35Mn-10Al-1C Steel
Abstract
:1. Introduction
2. Materials and Methods
3. Results
3.1. Initial Microstructure and Phase Composition of the Fe-35Mn-10Al-1C Steel
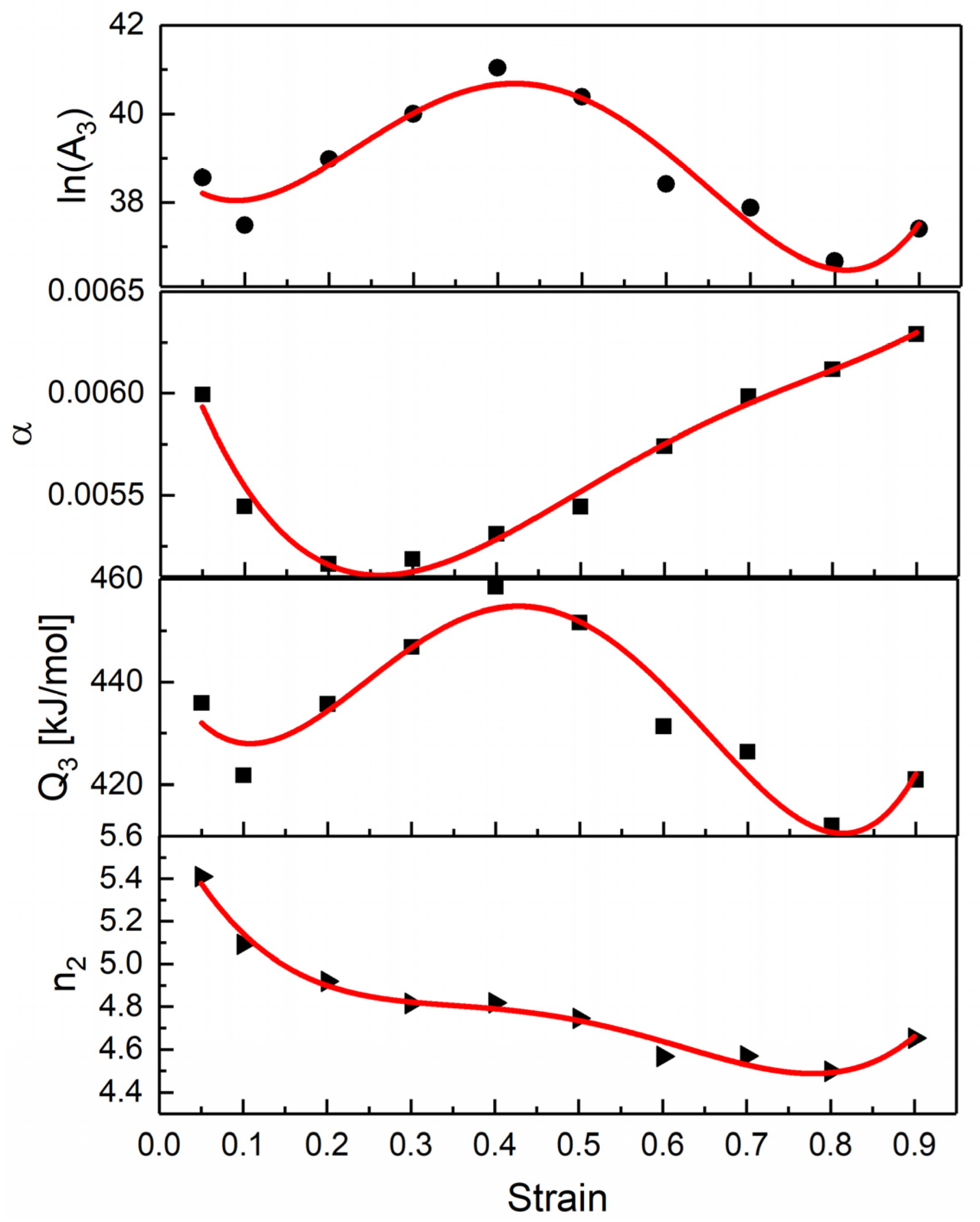
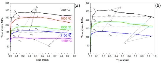
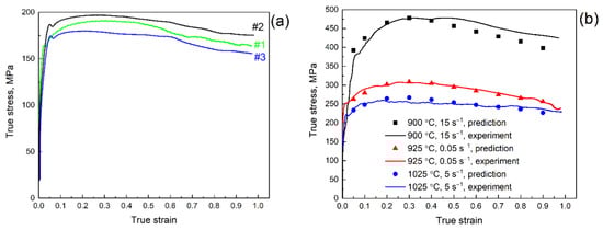
3.2. Hot Deformation Behaviour of the Fe-35Mn-10Al-1C Steel and Constitutive Modeling
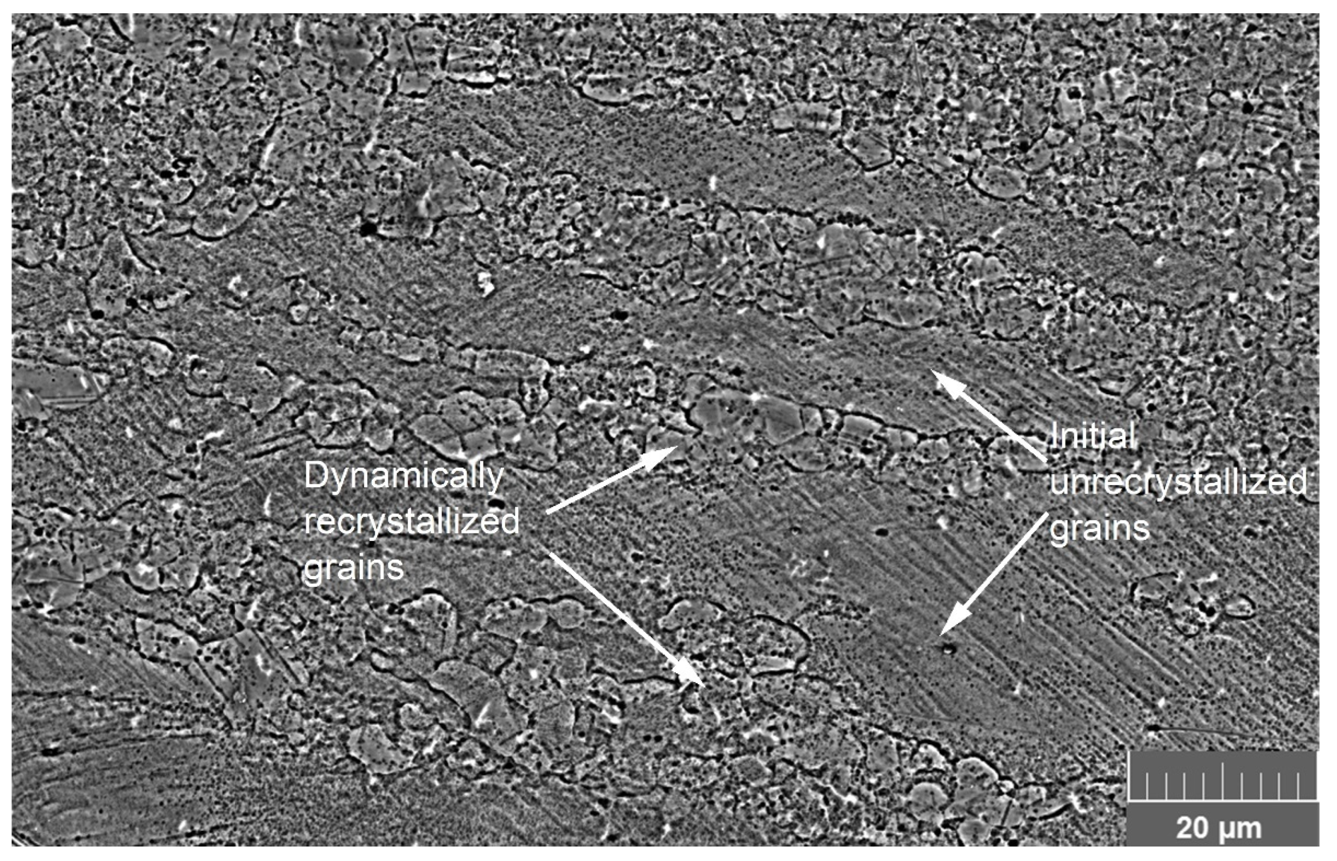
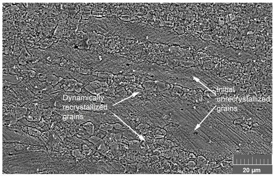
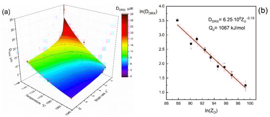
3.3. Microstructure Evolution during the Hot Deformation
4. Conclusions
- The hot deformation behavior and microstructure evolution of the lightweight Fe-35Mn-10Al-1C steel with an elevated concentration of the Mn were investigated and modeled.
- It was shown that the as-cast austenite/ferrite microstructure of the steel transforms to the one-phase austenite equiaxed grains after the deformation on a true strain of 0.1 and annealing for 60 s.
- The high-accuracy constitutive model has shown that the effective activation energy of the investigated steel (410–460 kJ/mol) has a larger value than for the similar lightweight steels with a lower Mn content.
- The grain microstructure of the steel is significantly influenced by hot deformation conditions. The grain size decreases from the initial value of 42 ± 6 μm to the value of 3.5 ± 0.7 μm after the deformation at 1050 °C and 10 s−1.
- Constructed constitutive models may be applied in finite element simulation to develop the hot deformation technologies for new Fe-35Mn-10Al-1C steel with an elevated concentration of Mn.
Author Contributions
Funding
Institutional Review Board Statement
Informed Consent Statement
Data Availability Statement
Conflicts of Interest
Appendix A

References
- Song, C.; Wang, H.; Sun, Z.; Xu, J.; Chen, H.; Yin, W. A New Hot-Rolled Lightweight Steel with Ultra-High Strength and Good Ductility Designed by Dislocation Character and Transformation Strain. Scr. Mater. 2022, 212, 114583. [Google Scholar] [CrossRef]
- Chen, S.; Rana, R.; Haldar, A.; Ray, R.K. Current State of Fe-Mn-Al-C Low Density Steels. Prog. Mater. Sci. 2017, 89, 345–391. [Google Scholar] [CrossRef]
- Savaedi, Z.; Motallebi, R.; Mirzadeh, H. A Review of Hot Deformation Behavior and Constitutive Models to Predict Flow Stress of High-Entropy Alloys. J. Alloys Compd. 2022, 903, 163964. [Google Scholar] [CrossRef]
- Kong, X.-H.; Liu, J.-Z.; Liu, Z.-L.; Wang, D.-J.; Sun, H. Effect of High Temperature Deformation on Liquation Carbide of GCr15 Bearing Steel. Trans. Mater. Heat Treat. 2014, 35, 173–176. [Google Scholar]
- Xing, J.; Ding, H.; Zhu, G.; Li, F.; Li, J. Modeling of Critical Strain for Dynamic Recrystallization of Niobium Microalloyed Steels. Mater. Res. Express 2022, 9, 016501. [Google Scholar] [CrossRef]
- Griffin, P.W.; Hammond, G.P. The Prospects for ‘Green Steel’ Making in a Net-Zero Economy: A UK Perspective. Glob. Trans. 2021, 3, 72–86. [Google Scholar] [CrossRef]
- Cai, X.; Hu, X.Q.; Zheng, L.G.; Li, D.Z. Hot Deformation Behavior and Processing Maps of 0.3C–15Cr–1Mo–0.5N High Nitrogen Martensitic Stainless Steel. Acta Metall. Sin. (Engl. Lett.) 2020, 33, 693–704. [Google Scholar] [CrossRef]
- Churyumov, A.Y.; Pozdnyakov, A.V.; Churyumova, T.A.; Cheverikin, V.V. Hot Plastic Deformation of Heat-Resistant Austenitic Aisi 310s Steel. Part 1. Simulation of Flow Stress and Dynamic Recrystallization. Chernye Met. 2020, 2020, 48–55. [Google Scholar]
- Lei, B.; Chen, G.; Liu, K.; Wang, X.; Jiang, X.; Pan, J.; Shi, Q. Constitutive Analysis on High-Temperature Flow Behavior of 3Cr-1Si-1Ni Ultra-High Strength Steel for Modeling of Flow Stress. Metals 2019, 9, 42. [Google Scholar] [CrossRef] [Green Version]
- Prosviryakov, A.; Mondoloni, B.; Churyumov, A.; Pozdniakov, A. Microstructure and Hot Deformation Behaviour of a Novel Zr-Alloyed High-Boron Steel. Metals 2019, 9, 218. [Google Scholar] [CrossRef] [Green Version]
- Pernis, R. Simple Methodology for Calculating the Constants of Garofalo Equation. Acta Metall. Slov. 2017, 23, 319–329. [Google Scholar] [CrossRef] [Green Version]
- Gorbunova, Y.D.; Orlov, G.A. Simulation of Hot Stamping of Elliptical Steel Bottoms. Chernye Met. 2019, 2019, 58–62. [Google Scholar]
- Churyumov, A.Y.; Medvedeva, S.V.; Mamzurina, O.I.; Kazakova, A.A.; Churyumova, T.A. United Approach to Modelling of the Hot Deformation Behavior, Fracture, and Microstructure Evolution of Austenitic Stainless AISI 316Ti Steel. Appl. Sci. 2021, 11, 3204. [Google Scholar] [CrossRef]
- Lisunets, N.L. Improving the Efficiency of the Processes of Billets Manufacture from Rolled Metal via Shift Cutting Based on Simulation. Chernye Met. 2018, 6, 31–35. [Google Scholar]
- Zhong, L.; Wang, B.; Hu, C.; Zhang, J.; Yao, Y. Hot Deformation Behavior and Dynamic Recrystallization of Ultra High Strength Steel. Metals 2021, 11, 1239. [Google Scholar] [CrossRef]
- Churyumov, A.Y.; Pozdnyakov, A.V.; Churyumova, T.A.; Cheverikin, V.V. Hot Plastic Deformation of Heat-Resistant Austenitic Aisi 310s Steel. Part 2. Tensile Torsional Fracture Simulation. Chernye Met. 2020, 2020, 32–38. [Google Scholar]
- Zhang, J.; Di, H.; Wang, X.; Cao, Y.; Zhang, J.; Ma, T. Constitutive Analysis of the Hot Deformation Behavior of Fe-23Mn-2Al-0.2C Twinning Induced Plasticity Steel in Consideration of Strain. Mater. Des. 2013, 44, 354–364. [Google Scholar] [CrossRef]
- Yang, F.Q.; Song, R.B.; Zhang, L.F.; Zhao, C. Hot Deformation Behavior of Fe-Mn-Al Light-Weight Steel. Procedia Eng. 2014, 81, 456–461. [Google Scholar] [CrossRef] [Green Version]
- Li, Y.P.; Song, R.B.; Wen, E.D.; Yang, F.Q. Hot Deformation and Dynamic Recrystallization Behavior of Austenite-Based Low-Density Fe-Mn-Al-C Steel. Acta Metall. Sin. (Engl. Lett.) 2016, 29, 441–449. [Google Scholar] [CrossRef] [Green Version]
- Renault, C.; Churyumov, A.Y.; Pozdniakov, A.V.; Churyumova, T.A. Microstructure and Hot Deformation Behavior of FeMnAlCMo Steel. J. Mater. Res. Technol. 2020, 9, 4440–4449. [Google Scholar] [CrossRef]
- Liu, D.; Ding, H.; Hu, X.; Han, D.; Cai, M. Dynamic Recrystallization and Precipitation Behaviors during Hot Deformation of a κ-Carbide-Bearing Multiphase Fe–11Mn–10Al–0.9C Lightweight Steel. Mater. Sci. Eng. A 2020, 772, 138682. [Google Scholar] [CrossRef]
- Wu, Z.; Tang, Y.; Chen, W.; Lu, L.; Li, E.; Li, Z.; Ding, H. Exploring the Influence of Al Content on the Hot Deformation Behavior of Fe-Mn-Al-C Steels through 3D Processing Map. Vacuum 2019, 159, 447–455. [Google Scholar] [CrossRef] [Green Version]
- Wan, Z.; Hu, L.; Sun, Y.; Wang, T.; Li, Z. Hot Deformation Behavior and Processing Workability of a Ni-Based Alloy. J. Alloys Compd. 2018, 769, 367–375. [Google Scholar] [CrossRef]
- Churyumov, A.Y.; Khomutov, M.G.; Tsar’Kov, A.A.; Pozdnyakov, A.V.; Solonin, A.N.; Efimov, V.M.; Mukhanov, E.L. Study of the Structure and Mechanical Properties of Corrosion-Resistant Steel with a High Concentration of Boron at Elevated Temperatures. Phys. Met. Metallogr. 2014, 115, 809–813. [Google Scholar] [CrossRef]
- Zener, C.; Hollomon, J.H. Effect of Strain Rate upon Plastic Flow of Steel. J. Appl. Phys. 1944, 15, 22–32. [Google Scholar] [CrossRef]
- Xiao, B.; Xu, L.; Zhao, L.; Jing, H.; Han, Y.; Tang, Z. Strain Dependent Constitutive Model and Microstructure Evolution of a Novel 9Cr Martensitic Steel during High-Temperature Deformation. Mater. Sci. Eng. A 2019, 756, 336–345. [Google Scholar] [CrossRef]
- Churyumov, A.Y.; Khomutov, M.G.; Solonin, A.N.; Pozdniakov, A.V.; Churyumova, T.A.; Minyaylo, B.F. Hot Deformation Behaviour and Fracture of 10CrMoWNb Ferritic-Martensitic Steel. Mater. Des. 2015, 74, 44–54. [Google Scholar] [CrossRef]
- Mandal, S.; Sivaprasad, P.V.; Venugopal, S.; Murthy, K.P.N. Artificial Neural Network Modeling to Evaluate and Predict the Deformation Behavior of Stainless Steel Type AISI 304L during Hot Torsion. Appl. Soft Comput. J. 2009, 9, 237–244. [Google Scholar] [CrossRef]
- Chen, L.; Zhang, Y.; Li, F.; Liu, X.; Guo, B.; Jin, M. Modeling of Dynamic Recrystallization Behavior of 21Cr-11Ni-N-RE Lean Austenitic Heat-Resistant Steel during Hot Deformation. Mater. Sci. Eng. A 2016, 663, 141–150. [Google Scholar] [CrossRef]
- Kim, S.I.; Lee, Y.; Jang, B.L. Modeling of Recrystallization and Austenite Grain Size for AISI 316 Stainless Steel and Its Application to Hot Bar Rolling. Mater. Sci. Eng. A 2003, 357, 235–239. [Google Scholar] [CrossRef]
- Churyumov, A.Y.; Pozdniakov, A.V. Simulation of Microstructure Evolution in Metal Materials under Hot Plastic Deformation and Heat Treatment. Phys. Met. Metallogr. 2020, 121, 1064–1086. [Google Scholar] [CrossRef]












Publisher’s Note: MDPI stays neutral with regard to jurisdictional claims in published maps and institutional affiliations. |
© 2022 by the authors. Licensee MDPI, Basel, Switzerland. This article is an open access article distributed under the terms and conditions of the Creative Commons Attribution (CC BY) license (https://creativecommons.org/licenses/by/4.0/).
Share and Cite
Churyumov, A.Y.; Kazakova, A.A.; Pozdniakov, A.V.; Churyumova, T.A.; Prosviryakov, A.S. Investigation of Hot Deformation Behavior and Microstructure Evolution of Lightweight Fe-35Mn-10Al-1C Steel. Metals 2022, 12, 831. https://doi.org/10.3390/met12050831
Churyumov AY, Kazakova AA, Pozdniakov AV, Churyumova TA, Prosviryakov AS. Investigation of Hot Deformation Behavior and Microstructure Evolution of Lightweight Fe-35Mn-10Al-1C Steel. Metals. 2022; 12(5):831. https://doi.org/10.3390/met12050831
Chicago/Turabian StyleChuryumov, Alexander Yu., Alena A. Kazakova, Andrey V. Pozdniakov, Tatiana A. Churyumova, and Alexey S. Prosviryakov. 2022. "Investigation of Hot Deformation Behavior and Microstructure Evolution of Lightweight Fe-35Mn-10Al-1C Steel" Metals 12, no. 5: 831. https://doi.org/10.3390/met12050831
APA StyleChuryumov, A. Y., Kazakova, A. A., Pozdniakov, A. V., Churyumova, T. A., & Prosviryakov, A. S. (2022). Investigation of Hot Deformation Behavior and Microstructure Evolution of Lightweight Fe-35Mn-10Al-1C Steel. Metals, 12(5), 831. https://doi.org/10.3390/met12050831

